Residual Analysis for Poisson-Exponentiated Weibull Regression Models with Cure Fraction
Abstract
1. Introduction
2. PEW Regression Model with Cure Fraction
3. Cox–Snell Residuals for the PEW Regression Model
- Fit the new PEW regression to the data and calculate ;
- Generate k data sets from this regression model using the parameter estimates found in the previous fit;
- Adjust the PEW model for each generated data point and calculate the residuals for each of the k generated samples;
- Use the residuals as a censored sample from a censored standard exponential in the interval and estimate the parametric survival function for each of the k samples using the method in [41];
- Arrange the residuals for the ith individual, and obtain (for and );
- For each i, calculate , the mean (M), minimum (I), and maximum (II), namely,and
- The minimum and maximum values of the define the envelope; if the current regression model is adequate, the residuals should be distributed randomly inside their bands.
3.1. Simulation Study
- Generate occurrences from the Poisson distribution with , where the covariates in x are fixed, and the parameters are chosen to preserve the levels of the censorship proportions.
- Generate the random censoring from the uniform distribution, where u is chosen to preserve the censoring proportions and cure fraction. Table 1 provides the levels of censoring, percentages of censoring, and percentages of the cure fraction.
- The observed times are determined as
- Generate a censoring indicator variable as follows:
- The generated samples without covariates will be composed of the observed times and the censorship indicator variable, i.e., (y,). For the case of covariates, the data are (y, , x).
- Scenario : generate data from the PEW regression with cure fraction without covariates and fit the data using the same model;
- Scenario : generate data from the PEW regression with cure fraction with covariates and fit the data using the same model;
- Scenario : generate data from the PEW regression with cure fraction without covariates and fit the log-logistic regression with cure fraction under the same structure to them;
- Scenario : generate data from the PEW regression with cure fraction with covariates and fit the log-logistic regression with cure fraction under the same structure for them. For both scenarios and , we show how the proposed residuals can verify the model misspecification.
- The proposed residuals have a linear behavior with unity slope.
- The linear behavior of the residuals becomes more evident when the sample size increases.
3.2. Misspecification (Scenario B)
4. Application to Melanoma Data
4.1. Marginal Analysis of the Response Variable
4.2. The PEW-Adjusted Regression
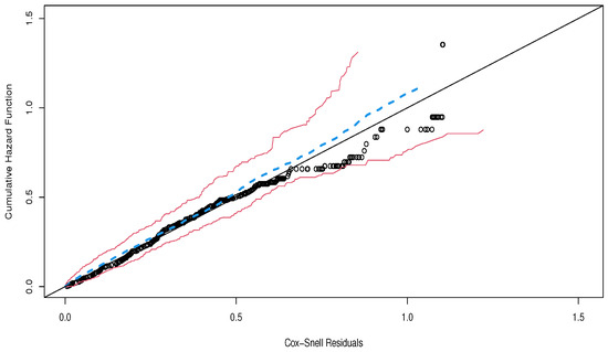
4.3. Adequacy
5. Conclusions
Author Contributions
Funding
Institutional Review Board Statement
Informed Consent Statement
Data Availability Statement
Acknowledgments
Conflicts of Interest
Appendix A. Proof for Basal Distribution of Cox–Snell Residuals
References
- Berkson, J.; Gage, R.P. Survival curve for cancer patients following treatment. J. Am. Stat. Assoc. 1952, 47, 501–515. [Google Scholar] [CrossRef]
- Boag, J.W. The presentation and analysis of the results of radiotherapy. Br. J. Radiol. 1948, 21, 128–138. [Google Scholar] [CrossRef] [PubMed]
- Boag, J.W. Maximum likelihood estimates of the proportion of patients cured by cancer therapy. J. R. Stat. Soc. Ser. B (Methodol.) 1949, 11, 15–53. [Google Scholar] [CrossRef]
- Tsodikov, A.D.; Yakovlev, A.Y.; Asselain, B. Stochastic Models of Tumor Latency and Their Biostatistical Applications; World Scientific: Singapore, 1996; Volume 1. [Google Scholar]
- Mudholkar, G.S.; Srivastava, D.K. Exponentiated Weibull family for analyzing bathtub failure-rate data. IEEE Trans. Reliab. 1993, 42, 299–302. [Google Scholar] [CrossRef]
- Nadarajah, S.; Cordeiro, G.M.; Ortega, E.M. The exponentiated Weibull distribution: A survey. Stat. Pap. 2013, 54, 839–877. [Google Scholar] [CrossRef]
- Mudholkar, G.S.; Hutson, A.D. The exponentiated Weibull family: Some properties and a flood data application. Commun. Stat. Methods 1996, 25, 3059–3083. [Google Scholar] [CrossRef]
- Khan, S.A. Exponentiated Weibull regression for time-to-event data. Lifetime Data Anal. 2018, 24, 328–354. [Google Scholar] [CrossRef] [PubMed]
- Yoosefi, M.; Baghestani, A.R.; Khadembashi, N.; Pourhoseingholi, M.A.; Akbarzadeh Baghban, A.; Khosrovirad, A. Survival analysis of colorectal cancer patients using exponentiated Weibull distribution. Int. J. Cancer Manag. 2018, 11, e8686. [Google Scholar] [CrossRef]
- Castro, M.d.; Cancho, V.G.; Rodrigues, J. A note on a unified approach for cure rate models. Braz. J. Probab. Stat. 2010, 24, 100–103. [Google Scholar] [CrossRef]
- Rodrigues, J.; de Castro, M.; Balakrishnan, N.; Cancho, V.G. Destructive weighted Poisson cure rate models. Lifetime Data Anal. 2011, 17, 333–346. [Google Scholar] [CrossRef]
- Cancho, V.G.; Louzada, F.; Barriga, G.D. The geometric Birnbaum–Saunders regression model with cure rate. J. Stat. Plan. Inference 2012, 142, 993–1000. [Google Scholar] [CrossRef]
- Ortega, E.M.; Cordeiro, G.M.; Kattan, M.W. The log-beta Weibull regression model with application to predict recurrence of prostate cancer. Stat. Pap. 2013, 54, 113–132. [Google Scholar] [CrossRef]
- Ortega, E.M.; Cordeiro, G.M.; Campelo, A.K.; Kattan, M.W.; Cancho, V.G. A power series beta Weibull regression model for predicting breast carcinoma. Stat. Med. 2015, 34, 1366–1388. [Google Scholar] [CrossRef] [PubMed]
- Ramires, T.G.; Hens, N.; Cordeiro, G.M.; Ortega, E.M. Estimating nonlinear effects in the presence of cure fraction using a semi-parametric regression model. Comput. Stat. 2018, 33, 709–730. [Google Scholar] [CrossRef]
- Pescim, R.R.; Ortega, E.M.; Suzuki, A.K.; Cancho, V.G.; Cordeiro, G.M. A new destructive Poisson odd log-logistic generalized half-normal cure rate model. Commun. Stat. Theory Methods 2019, 48, 2113–2128. [Google Scholar] [CrossRef]
- Cancho, V.G.; Macera, M.A.; Suzuki, A.K.; Louzada, F.; Zavaleta, K.E. A new long-term survival model with dispersion induced by discrete frailty. Lifetime Data Anal. 2020, 26, 221–244. [Google Scholar] [CrossRef] [PubMed]
- Silva, G.O.; Cordeiro, G.M.; Ortega, E.M. Surviving and non surviving fraction regression models based on the beta modified Weibull distribution. Model Assist. Stat. Appl. 2020, 15, 111–126. [Google Scholar] [CrossRef]
- Cancho, V.G.; Barriga, G.D.; Cordeiro, G.M.; Ortega, E.M.; Suzuki, A.K. Bayesian survival model induced by frailty for lifetime with long-term survivors. Stat. Neerl. 2021, 75, 299–323. [Google Scholar] [CrossRef]
- Sy, J.P.; Taylor, J.M. Estimation in a Cox proportional hazards cure model. Biometrics 2000, 56, 227–236. [Google Scholar] [CrossRef]
- Balakrishnan, N.; Pal, S. EM algorithm-based likelihood estimation for some cure rate models. J. Stat. Theory Pract. 2012, 6, 698–724. [Google Scholar] [CrossRef]
- Balakrishnan, N.; Pal, S. Lognormal lifetimes and likelihood-based inference for flexible cure rate models based on COM-Poisson family. Comput. Stat. Data Anal. 2013, 67, 41–67. [Google Scholar] [CrossRef]
- Balakrishnan, N.; Pal, S. An EM algorithm for the estimation of parameters of a flexible cure rate model with generalized gamma lifetime and model discrimination using likelihood-and information-based methods. Comput. Stat. 2015, 30, 151–189. [Google Scholar] [CrossRef]
- Pal, S.; Balakrishnan, N. Likelihood inference for the destructive exponentially weighted Poisson cure rate model with Weibull lifetime and an application to melanoma data. Comput. Stat. 2017, 32, 429–449. [Google Scholar] [CrossRef]
- Pal, S.; Barui, S.; Davies, K.; Mishra, N. A stochastic version of the EM algorithm for mixture cure model with exponentiated Weibull family of lifetimes. J. Stat. Theory Pract. 2022, 16, 48. [Google Scholar] [CrossRef]
- Wileyto, E.P.; Li, Y.; Chen, J.; Heitjan, D.F. Assessing the fit of parametric cure models. Biostatistics 2013, 14, 340–350. [Google Scholar] [CrossRef] [PubMed]
- Scolas, S.; Legrand, C.; Oulhaj, A.; El Ghouch, A. Diagnostic checks in mixture cure models with interval-censoring. Stat. Methods Med Res. 2018, 27, 2114–2131. [Google Scholar] [CrossRef] [PubMed]
- Peng, Y.; Taylor, J.M. Residual-based model diagnosis methods for mixture cure models. Biometrics 2017, 73, 495–505. [Google Scholar] [CrossRef] [PubMed]
- Yakovlev, A.Y.; Asselain, B.; Bardou, V.; Fourquet, A.; Hoang, T.; Rochefediere, A.; Tsodikov, A. A simple stochastic model of tumor recurrence and its application to data on premenopausal breast cancer. Biom. Anal. Donnees Spatio Temporelles 1993, 12, 66–82. [Google Scholar]
- Tsodikov, A.D.; Asselain, B.; Fourque, A.; Hoang, T.; Yakovlev, A.Y. Discrete strategies of cancer post-treatment surveillance. Estimation and optimization problems. Biometrics 1995, 51, 437–447. [Google Scholar] [CrossRef]
- Yin, G.; Ibrahim, J.G. Cure rate models: A unified approach. Can. J. Stat. 2005, 33, 559–570. [Google Scholar] [CrossRef]
- Tsodikov, A.; Ibrahim, J.; Yakovlev, A. Estimating cure rates from survival data: An alternative to two-component mixture models. J. Am. Stat. Assoc. 2003, 98, 1063–1078. [Google Scholar] [CrossRef] [PubMed]
- Rodrigues, J.; Cancho, V.G.; de Castro, M.; Louzada-Neto, F. On the unification of long-term survival models. Stat. Probab. Lett. 2009, 79, 753–759. [Google Scholar] [CrossRef]
- Cancho, V.G.; Ortega, E.M.; Bolfarine, H. The log-exponentiated-Weibull regression models with cure rate: Local influence and residual analysis. J. Data Sci. 2009, 7, 433–458. [Google Scholar] [CrossRef]
- Liu, D.C.; Nocedal, J. On the limited memory BFGS method for large scale optimization. Math. Program. 1989, 45, 503–528. [Google Scholar] [CrossRef]
- Henningsen, A.; Toomet, O. maxLik: A package for maximum likelihood estimation in R. Comput. Stat. 2011, 26, 443–458. [Google Scholar] [CrossRef]
- R Core Team. R: A Language and Environment for Statistical Computing; R Foundation for Statistical Computing: Vienna, Austria, 2020. [Google Scholar]
- Lawless, J.F. Statistical Models and Methods for Lifetime Data; John Wiley & Sons: Hoboken, NJ, USA, 2003; Volume 362. [Google Scholar]
- Cox, D.R.; Snell, E.J. A general definition of residuals. J. R. Stat. Soc. Ser. B (Methodol.) 1968, 30, 248–265. [Google Scholar] [CrossRef]
- Atkinson, A.C. Plots, Transformations and Regression: An Introduction to Graphical Methods of Diagnostic Regression Analysis; Technical Report; Oxford University Press: Oxford, UK, 1985. [Google Scholar]
- Kaplan, E.L.; Meier, P. Nonparametric estimation from incomplete observations. J. Am. Stat. Assoc. 1958, 53, 457–481. [Google Scholar] [CrossRef]
- Ibrahim, J.G.; Chen, M.H.; Sinha, D. Bayesian Survival Analysis; Springer Science & Business Media: Berlin/Heidelberg, Germany, 2001. [Google Scholar]
- Mizoi, M.F.; Bolfarine, H.; Pedroso-De-Lima, A.C. Cure rate model with measurement error. Commun. Stat. Comput. 2007, 36, 185–196. [Google Scholar] [CrossRef]
- Maller, R.A.; Zhou, X. Survival Analysis with Long-Term Survivors; Wiley: New York, NY, USA, 1996. [Google Scholar]
- Rodrigues, J.; de Castro, M.; Cancho, V.G.; Balakrishnan, N. COM–Poisson cure rate survival models and an application to a cutaneous melanoma data. J. Stat. Plan. Inference 2009, 139, 3605–3611. [Google Scholar] [CrossRef]
- Ortega, E.M.; Barriga, G.D.; Hashimoto, E.M.; Cancho, V.G.; Cordeiro, G.M. A New Class of Survival Regression Models with Cure Fraction. J. Data Sci. 2014, 12, 107–136. [Google Scholar] [CrossRef]
















| Level of Censoring | Percentage of Censoring | Percentage of Cure Fraction |
|---|---|---|
| Light | 20% | 10% |
| Moderate | 30% | 20% |
| High | 40% | 30% |
| Level of Censoring | u | |
|---|---|---|
| Light | 0.50 | 3.45 |
| Moderate | 0.18 | 2.05 |
| High | −0.10 | 1.42 |
| Level of Censoring | u | ||||
|---|---|---|---|---|---|
| Light | 0.25 | 1.20 | 1.80 | 1.00 | 2.70 |
| Moderate | 0.50 | 1.35 | 1.20 | −0.90 | 1.40 |
| High | −0.35 | 1.00 | 1.20 | −0.90 | 1.10 |
| Parameter | Estimate | SE |
|---|---|---|
| −0.3828 | 0.0820 | |
| 1.8781 | 0.3646 | |
| 0.8734 | 0.2474 | |
| 0.3769 | 0.0562 |
| Parameter | Estimate | SE | p-Value |
|---|---|---|---|
| −0.3861 | 0.3512 | 0.2715 | |
| 0.0192 | 0.1441 | 0.8937 | |
| −0.0089 | 0.0056 | 0.1096 | |
| 0.2204 | 0.0688 | 0.0013 | |
| −0.1042 | 0.1491 | 0.4848 | |
| 0.0625 | 0.2144 | 0.7706 | |
| −0.0015 | 0.0226 | 0.9464 | |
| 1.8784 | 0.3684 | - | |
| 0.776 | 0.2458 | - | |
| 0.3678 | 0.0544 | - |
| Parameter | Estimate | SE | p-Value |
|---|---|---|---|
| −0.9973 | 0.1889 | <0.001 | |
| 0.2773 | 0.0672 | <0.001 | |
| 1.7489 | 0.4416 | - | |
| 0.9964 | 0.3671 | - | |
| 0.3843 | 0.0713 | - |
Disclaimer/Publisher’s Note: The statements, opinions and data contained in all publications are solely those of the individual author(s) and contributor(s) and not of MDPI and/or the editor(s). MDPI and/or the editor(s) disclaim responsibility for any injury to people or property resulting from any ideas, methods, instructions or products referred to in the content. |
© 2024 by the authors. Licensee MDPI, Basel, Switzerland. This article is an open access article distributed under the terms and conditions of the Creative Commons Attribution (CC BY) license (https://creativecommons.org/licenses/by/4.0/).
Share and Cite
Fidelis, C.R.; Ortega, E.M.M.; Cordeiro, G.M. Residual Analysis for Poisson-Exponentiated Weibull Regression Models with Cure Fraction. Stats 2024, 7, 492-507. https://doi.org/10.3390/stats7020030
Fidelis CR, Ortega EMM, Cordeiro GM. Residual Analysis for Poisson-Exponentiated Weibull Regression Models with Cure Fraction. Stats. 2024; 7(2):492-507. https://doi.org/10.3390/stats7020030
Chicago/Turabian StyleFidelis, Cleanderson R., Edwin M. M. Ortega, and Gauss M. Cordeiro. 2024. "Residual Analysis for Poisson-Exponentiated Weibull Regression Models with Cure Fraction" Stats 7, no. 2: 492-507. https://doi.org/10.3390/stats7020030
APA StyleFidelis, C. R., Ortega, E. M. M., & Cordeiro, G. M. (2024). Residual Analysis for Poisson-Exponentiated Weibull Regression Models with Cure Fraction. Stats, 7(2), 492-507. https://doi.org/10.3390/stats7020030

