The Gamma-Topp-Leone-Type II-Exponentiated Half Logistic-G Family of Distributions with Applications
Abstract
1. Introduction
2. Gamma-Topp-Leone-Type II-Exponentiated Half Logistic-G (RB-TL-TII-EHL-G) Distribution
Sub-Families
- When we obtain the Topp-Leone-Type II-Exponentiated Half Logistic-G (TL-TII-EHL-G) family of distributions with the cdffor , and parameter vector (see [35]).
- When we obtain the Gamma-Topp-Leone-Type II-Half Logistic-G (RB-TL-TII-HL-G) family of distributions with the cdffor , and parameter vector This is a new family of distributions.
- When we obtain the Gamma-Type II-Exponentiated Half Logistic-G (RB-TII-EHL-G) family of distributions with the cdffor , and parameter vector This is a new family of distributions.
- When we obtain the Gamma-Type II-Half Logistic-G (RB-TII-HL-G) family of distributions with the cdffor and parameter vector This is a new family of distributions.
- When we obtain the Topp-Leone-Type II-Half Logistic-G (TL-TII-HL-G) family of distributions with the cdffor and parameter vector This is a new family of distributions.
- When we obtain the Type II-Exponentiated Half Logistic-G (TII-EHL-G) family of distributions with the cdffor and parameter vector (see [18]).
- When we obtain the new family of distributions with the cdffor parameter vector
3. Expansion of Density Function
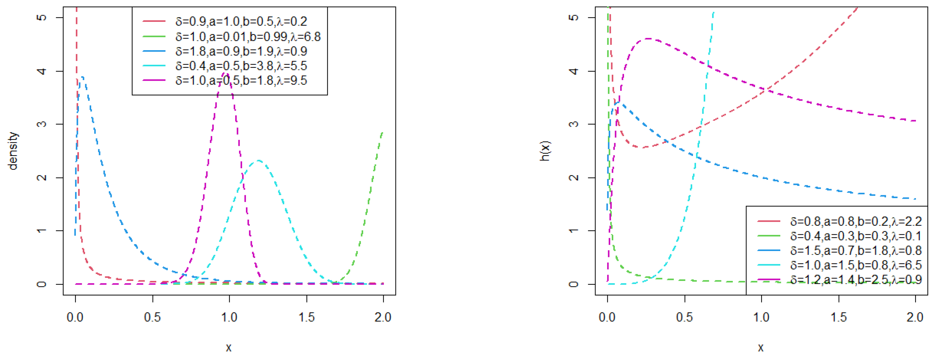
Reliability, Hazard Rate and Quantile Functions
4. Mathematical Properties
4.1. Moments and Generating Function
4.2. Moment of Residual and Reversed Residual Life
4.3. Rényi Entropy
4.4. Order Statistics
4.5. Probability Weighted Moments (PWMs)
4.6. Stochastic Orderings
4.7. Maximum Likelihood Estimation
5. Monte Carlo Simulation Results
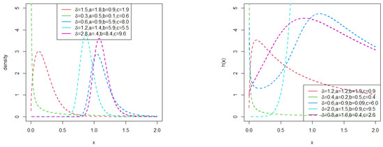
6. Special Cases
6.1. Gamma-Topp-Leone-Type II-Exponentiated Half Logistic-Weibull (RB-TL-TII-EHL-W) Distribution
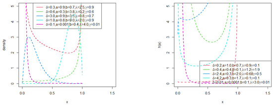
6.2. Gamma-Topp-Leone-Type II-Exponentiated Half Logistic-Log Logistic (RB-TL-TII-EHL-LLoG) Distribution
6.3. Gamma-Topp-Leone-Type II-Exponentiated Half Logistic-Kumaraswamy (RB-TL-TII-EHL-Kum) Distribution
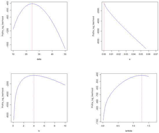
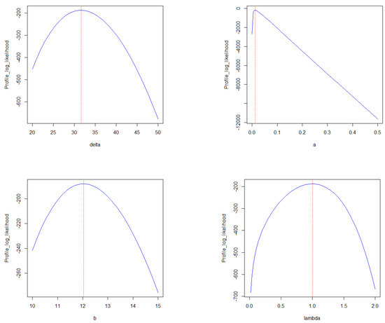
7. Applications
7.1. COVID-19 Data
7.2. Vehicle Fatalities Data
7.3. Remission Times Data
8. Conclusions
Author Contributions
Funding
Institutional Review Board Statement
Informed Consent Statement
Data Availability Statement
Conflicts of Interest
Appendix A
References
- Mastor, A.B.S.; Alghamdi, A.S.; Ngesa, O.; Mung’atu, J.; Chesneau, C.; Afify, A.Z. The extended exponential-Weibull accelerated failure time model with application to Sudan COVID-19 Data. Mathematics 2023, 11, 460. [Google Scholar] [CrossRef]
- Khaleel, M.; Ibrahim, N.; Shitan, M.; Merovci, F.; Rehman, E. Beta Burr type X with application to rainfall data. Malays. J. Math. Sci. 2017, 11, 73–86. [Google Scholar]
- Teamah, A.E.A.; Elbanna, A.A.; Gemeay, A.M. Heavy-tailed log-logistic distribution: Properties, risk measures and applications. Stat. Optim. Inf. Comput. 2021, 9, 910–941. [Google Scholar] [CrossRef]
- Chaudhary, A.K.; Sapkota, L.P.; Kumar, V. Half-Cauchy generalized exponential distribution: Theory and application. J. Nepal Math. Soc. 2022, 5, 1–10. [Google Scholar] [CrossRef]
- Hossam, E.; Abdulrahman, A.T.; Gemeay, A.M.; Alshammari, N.; Alshawarbeh, E.; Mashaqbah, N.K. A novel extension of Gumbel distribution: Statistical inference with COVID-19 application. Alex. Eng. J. 2022, 61, 8823–8842. [Google Scholar] [CrossRef]
- Bourguignon, M.; Silva, R.B.; Cordeiro, G.M. The Weibull-G family of probability distributions. J. Data Sci. 2014, 12, 53–68. [Google Scholar] [CrossRef]
- Hamedani, G.; Korkmaz, M.; Butt, N.; Yousof, H. The type II Quasi Lambert-G family of probability distributions. Pak. J. Stat. Oper. Res. Forthcom. 2022, 18, 963–983. [Google Scholar] [CrossRef]
- Ahmed, B.; Ali, M.M.; Yousof, H.M. A novel-G family for single acceptance sampling plan with application in quality and risk decisions. Ann. Data Sci. 2022, 1–19. [Google Scholar] [CrossRef]
- Raya, M.A. A new one-parameter-G family of compound distributions: Copulas, statistical properties and applications. Stat. Optim. Inf. Comput. 2021, 9, 942–962. [Google Scholar] [CrossRef]
- Khedr, A.M.; Nofal, Z.M.; El Gebaly, Y.M. A new two-parameter compound-G family: Copulas, properties and applications. Int. J. Probab. Stat. 2021, 10, 46–62. [Google Scholar]
- Maurya, S.K.; Nadarajah, S. Poisson generated family of distributions: A review. Sankhya B 2021, 83, 484–540. [Google Scholar] [CrossRef]
- Alizadeh, M.; Cordeiro, G.M.; Pinho, L.G.B.; Ghosh, I. The Gompertz-G family of distributions. J. Stat. Theory Pract. 2017, 11, 179–207. [Google Scholar] [CrossRef]
- Cordeiro, G.M.; Afify, A.Z.; Yousof, H.M.; Pescim, R.R.; Aryal, G.R. The exponentiated Weibull-H family of distributions: Theory and applications. Mediterr. J. Math. 2017, 14, 1–22. [Google Scholar] [CrossRef]
- Hassan, A.S.; Nassr, S.G. Power Lindley-G family of distributions. Ann. Data Sci. 2019, 6, 189–210. [Google Scholar] [CrossRef]
- Chipepa, F.; Moakofi, T.; Oluyede, B. The Marshall-Olkin-odd power generalized Weibull-G family of distributions with applications of COVID-19 data. J. Probab. Stat. Sci. 2022, 20, 1–20. [Google Scholar] [CrossRef]
- Ahmad, Z.; Mahmoudi, E.; Alizadeh, M.; Roozegar, R.; Afify, A.Z. The exponential T-X family of distributions: Properties and an application to insurance data. J. Math. 2021, 2021, 3058170. [Google Scholar] [CrossRef]
- Moakofi, T.; Oluyede, B.; Chipepa, F. Type II exponentiated half-logistic-Topp-Leone-G power series class of distributions with applications. Pak. J. Stat. Oper. Res. 2021, 17, 885–909. [Google Scholar] [CrossRef]
- Al-Mofleh, H.; Elgarhy, M.; Afify, A.; Zannon, M. Type II exponentiated half logistic generated family of distributions with applications. Electron. J. Appl. Stat. Anal. 2020, 13, 536–561. [Google Scholar]
- Elgarhy, M.u.; ul Haq, M.A.; Perveen, I. Type II half logistic exponential distribution with applications. Ann. Data Sci. 2019, 6, 245–257. [Google Scholar] [CrossRef]
- Oluyede, B.; Moakofi, T. Type II exponentiated half-logistic-Gompertz Topp-Leone-G family of distributions with applications. Cent. Eur. J. Econ. Model. Econom. 2022, 14, 415–461. [Google Scholar]
- Reis, L.D.R.; Cordeiro, G.M.; Lima, M.D.C.S. The unit gamma-G class: Properties, simulations, regression and applications. Commun. Stat.-Simul. Comput. 2022, 1–28. [Google Scholar] [CrossRef]
- Nadarajah, S.; Cordeiro, G.M.; Ortega, E.M. The Zografos–Balakrishnan-G family of distributions: Mathematical properties and applications. Commun. Stat.-Theory Methods 2015, 44, 186–215. [Google Scholar] [CrossRef]
- Gabanakgosi, M.; Moakofi, T.; Oluyede, B.; Makubate, B. The gamma odd power generalized Weibull-G family of distributions with applications. J. Stat. Model. Theory Appl. 2021, 2, 79–101. [Google Scholar]
- Oluyede, B.O.; Makubate, B.; Wanduku, D.; Elbatal, I.; Sherina, V. The gamma-generalized inverse Weibull distribution with applications to pricing and lifetime data. J. Comput. Model. 2017, 7, 1–28. [Google Scholar]
- Fagbamigbe, A.F.; Melamu, P.; Oluyede, B.O.; Makubate, B. The Ristić and Balakrishnan Lindley-Poisson distribution: Model, theory and applications. Afr. Stat. 2018, 13, 1837–1864. [Google Scholar]
- Peter, P.O.; Oluyede, B.; Bindele, H.F.; Ndwapi, N.; Mabikwa, O. The gamma odd Burr III-G family of distributions: Model, properties and applications. Rev. Colomb. Estadística 2021, 44, 331–368. [Google Scholar] [CrossRef]
- Altun, E.; Yousof, H.M.; Chakraborty, S.; Handique, L. Zografos-Balakrishnan Burr XII distribution: Regression modeling and applications. Int. J. Math. Stat. 2018, 19, 46–70. [Google Scholar]
- Irshad, M.R.; D’cruz, V.; Maya, R. The Zografos-Balakrishnan Lindley distribution: Properties and applications. Statistica 2021, 81, 45–64. [Google Scholar]
- Tlhaloganyang, B.P.; Sengweni, W.; Oluyede, B. The gamma odd Burr X-G family of distributions with applications. Pak. J. Stat. Oper. Res. 2022, 18, 721–746. [Google Scholar] [CrossRef]
- Zeghdoudi, H.; Nedjar, S. Gamma Lindley distribution and its application. J. Appl. Probab. Stat. 2016, 11, 129–138. [Google Scholar]
- Oluyede, B.; Shusen, P.; Makubate, B.; Qiu, Y. The gamma-Weibull-G family of distributions with applications. Austrian J. Stat. 2018, 47, 45–76. [Google Scholar] [CrossRef]
- Arshad, R.M.I.; Tahir, M.H.; Chesneau, C.; Jamal, F. The gamma Kumaraswamy-G family of distributions: Theory, inference and applications. Stat. Transit. New Ser. 2020, 21, 17–40. [Google Scholar] [CrossRef]
- Nascimento, A.D.; Bourguignon, M.; Zea, L.M.; Santos-Neto, M.; Silva, R.B.; Cordeiro, G.M. The gamma extended Weibull family of distributions. J. Stat. Theory Appl. 2014, 13, 1–16. [Google Scholar] [CrossRef]
- Akarawak, E.; Adeleke, I.; Okafor, R. The gamma-Rayleigh distribution and applications to survival data. Niger. J. Basic Appl. Sci. 2017, 25, 130–142. [Google Scholar] [CrossRef]
- Gabanakgosi, M.; Oluyede, B. Topp-Leone type II exponentiated half-logistic-G family of distributions with applications. Int. J. Math. Oper. Res. 2022, 25, 85–117. [Google Scholar] [CrossRef]
- Ristić, M.M.; Balakrishnan, N. The gamma-exponentiated exponential distribution. J. Stat. Comput. Simul. 2012, 82, 1191–1206. [Google Scholar] [CrossRef]
- Gradshteyn, I.S.; Ryzhik, I.M. Table of Integrals, Series, and Products; Academic Press: Cambridge, MA, USA, 2014. [Google Scholar]
- Szekli, R. Stochastic Ordering and Dependence in Applied Probability; Springer Science & Business Media: Berlin/Heidelberg, Germany, 2012; Volume 97. [Google Scholar]
- Chipepa, F.; Oluyede, B.; Makubate, B. The Topp-Leone-Marshall-Olkin-G family of distributions with applications. Int. J. Stat. Probab. 2020, 9, 15–32. [Google Scholar] [CrossRef]
- Benkhelifa, L. Alpha power Topp-Leone Weibull distribution: Properties, characterizations, regression modeling and applications. J. Stat. Manag. Syst. 2022, 1–26. [Google Scholar] [CrossRef]
- Chipepa, F.; Oluyede, B.; Makubate, B. The odd generalized half-logistic Weibull-G family of distributions: Properties and applications. J. Stat. Model. Theory Appl. 2020, 1, 65–89. [Google Scholar]
- Pogány, T.K.; Saboor, A.; Provost, S. The Marshall–Olkin exponential Weibull distribution. Hacet. J. Math. Stat. 2015, 44, 1579–1594. [Google Scholar] [CrossRef]
- Sapkota, L.P.; Kumar, V. Odd Lomax generalized exponential distribution: Application to engineering and COVID-19 data. Pak. J. Stat. Oper. Res. 2022, 18, 883–900. [Google Scholar] [CrossRef]
- Almongy, H.M.; Almetwally, E.M.; Aljohani, H.M.; Alghamdi, A.S.; Hafez, E. A new extended Rayleigh distribution with applications of COVID-19 data. Results Phys. 2021, 23, 104012. [Google Scholar] [CrossRef] [PubMed]
- Zhou, Y.; Ahmad, Z.; Almaspoor, Z.; Khan, F.; Iqbal, Z.; El-Morshedy, M. On the implementation of a new version of the Weibull distribution and machine learning approach to model the COVID-19 data. Math. Biosci. Eng. 2023, 20, 337–364. [Google Scholar] [CrossRef] [PubMed]
- Ikechukwu, A.F.; Eghwerido, J.T. Marshall-Olkin Sujatha distribution and its applications. Thail. Stat. 2022, 20, 36–52. [Google Scholar]
- Lee, E.T.; Wang, J. Statistical Methods for Survival Data Analysis; John Wiley & Sons: Hoboken, NJ, USA, 2003; Volume 476. [Google Scholar]














| (0.4, 2.0, 1.0, 0.6) | (1.0, 1.0, 2.0, 0.6) | ||||||
|---|---|---|---|---|---|---|---|
| Parameter | Sample Size | Mean | RMSE | ABIAS | Mean | RMSE | ABIAS |
| 25 | 0.6877 | 3.1506 | 0.2877 | 1.3229 | 0.8782 | 0.3229 | |
| 50 | 0.3709 | 0.1177 | 0.0290 | 1.2402 | 0.6605 | 0.2402 | |
| 100 | 0.3787 | 0.0802 | 0.0212 | 1.1232 | 0.3570 | 0.1232 | |
| 200 | 0.3822 | 0.0603 | 0.0177 | 1.1006 | 0.2738 | 0.1006 | |
| 400 | 0.3922 | 0.0433 | 0.0077 | 1.0952 | 0.2100 | 0.0952 | |
| 800 | 0.3951 | 0.0365 | 0.0048 | 1.0925 | 0.2000 | 0.0925 | |
| 1600 | 0.3981 | 0.0274 | 0.0018 | 1.0491 | 0.1333 | 0.0491 | |
| a | 25 | 2.5400 | 1.3914 | 0.5400 | 1.1886 | 0.6130 | 0.1886 |
| 50 | 2.3977 | 0.9355 | 0.3977 | 1.1187 | 0.4540 | 0.1187 | |
| 100 | 2.2693 | 0.7333 | 0.2693 | 1.0664 | 0.2516 | 0.0664 | |
| 200 | 2.2078 | 0.5503 | 0.2078 | 1.0298 | 0.1603 | 0.0298 | |
| 400 | 2.1536 | 0.4217 | 0.1536 | 1.0125 | 0.0996 | 0.0125 | |
| 800 | 2.1325 | 0.3502 | 0.1325 | 1.0010 | 0.0549 | 0.0010 | |
| 1600 | 2.0891 | 0.2558 | 0.0891 | 0.9990 | 0.0295 | -0.0009 | |
| b | 25 | 1.3057 | 0.8845 | 0.3057 | 2.7881 | 2.8433 | 0.7881 |
| 50 | 1.2950 | 0.6806 | 0.2950 | 2.6862 | 1.5921 | 0.6862 | |
| 100 | 1.2521 | 0.4924 | 0.2521 | 2.6663 | 1.5291 | 0.6663 | |
| 200 | 1.2051 | 0.3896 | 0.2051 | 2.5486 | 1.2348 | 0.5486 | |
| 400 | 1.1270 | 0.2615 | 0.1270 | 2.3736 | 0.9899 | 0.3736 | |
| 800 | 1.0838 | 0.1916 | 0.0838 | 2.3047 | 0.8254 | 0.3047 | |
| 1600 | 1.0497 | 0.1160 | 0.0497 | 2.1826 | 0.5966 | 0.1826 | |
| 25 | 1.6935 | 2.4098 | 1.0935 | 1.1408 | 1.4770 | 0.5408 | |
| 50 | 1.5659 | 2.1364 | 0.9659 | 1.0127 | 1.2357 | 0.4127 | |
| 100 | 1.4300 | 1.8248 | 0.8300 | 0.9742 | 1.1543 | 0.3742 | |
| 200 | 0.9253 | 1.0925 | 0.3253 | 0.7660 | 0.9116 | 0.1660 | |
| 400 | 0.8234 | 0.8786 | 0.2234 | 0.7619 | 0.8445 | 0.1619 | |
| 800 | 0.6774 | 0.5516 | 0.0774 | 0.6842 | 0.6534 | 0.0842 | |
| 1600 | 0.5944 | 0.3520 | 0.0055 | 0.6821 | 0.5891 | 0.0821 | |
| (1.3, 2.5, 1.3, 0.2) | (0.4, 2.0, 0.4, 0.6) | ||||||
|---|---|---|---|---|---|---|---|
| Parameter | Sample Size | Mean | RMSE | ABIAS | Mean | RMSE | ABIAS |
| 25 | 1.8712 | 1.0697 | 0.5712 | 0.5461 | 0.5260 | 0.1461 | |
| 50 | 1.5872 | 0.8045 | 0.2872 | 0.4494 | 0.2333 | 0.0494 | |
| 100 | 1.5855 | 0.7239 | 0.2855 | 0.4226 | 0.1363 | 0.0226 | |
| 200 | 1.4840 | 0.5620 | 0.1840 | 0.4178 | 0.0899 | 0.0178 | |
| 400 | 1.4472 | 0.4748 | 0.1472 | 0.4112 | 0.0667 | 0.0112 | |
| 800 | 1.3721 | 0.3075 | 0.0721 | 0.4102 | 0.0397 | 0.0102 | |
| 1600 | 1.3202 | 0.1560 | 0.0202 | 0.4070 | 0.0292 | 0.0070 | |
| a | 25 | 1.8861 | 1.2069 | 0.6138 | 2.5733 | 1.1101 | 0.5733 |
| 50 | 1.9280 | 1.2898 | 0.5719 | 2.4370 | 0.8351 | 0.4370 | |
| 100 | 2.0105 | 1.2688 | 0.4894 | 2.3850 | 0.6897 | 0.3850 | |
| 200 | 2.1445 | 1.2661 | 0.3554 | 2.2559 | 0.5008 | 0.2559 | |
| 400 | 2.2502 | 1.1785 | 0.2497 | 2.1381 | 0.2995 | 0.1381 | |
| 800 | 2.4325 | 1.0837 | 0.0674 | 2.0626 | 0.1716 | 0.0626 | |
| 1600 | 2.5389 | 0.7505 | 0.0389 | 2.0387 | 0.1308 | 0.0387 | |
| b | 25 | 1.6020 | 2.0325 | 0.3020 | 1.1007 | 1.2914 | 0.7007 |
| 50 | 1.5671 | 1.0407 | 0.2671 | 0.8581 | 0.8695 | 0.4581 | |
| 100 | 1.5539 | 0.7707 | 0.2539 | 0.7758 | 0.6698 | 0.3758 | |
| 200 | 1.5071 | 0.5967 | 0.2071 | 0.6940 | 0.5466 | 0.2940 | |
| 400 | 1.4872 | 0.5199 | 0.1872 | 0.5694 | 0.3332 | 0.1694 | |
| 800 | 1.4103 | 0.3495 | 0.1103 | 0.4961 | 0.2103 | 0.0961 | |
| 1600 | 1.3553 | 0.2097 | 0.0553 | 0.4691 | 0.1741 | 0.0691 | |
| 25 | 1.9015 | 1.8505 | 1.7015 | 3.1446 | 3.9098 | 2.5446 | |
| 50 | 0.5098 | 1.6226 | 0.3098 | 2.0028 | 2.9795 | 1.4028 | |
| 100 | 0.2969 | 0.3970 | 0.0969 | 1.2378 | 1.6666 | 0.6378 | |
| 200 | 0.2472 | 0.1398 | 0.0472 | 0.8019 | 0.6485 | 0.2019 | |
| 400 | 0.2255 | 0.0846 | 0.0255 | 0.6875 | 0.2265 | 0.0875 | |
| 800 | 0.2169 | 0.0568 | 0.0169 | 0.6418 | 0.1240 | 0.0418 | |
| 1600 | 0.2132 | 0.0374 | 0.0132 | 0.6250 | 0.0722 | 0.0250 | |
| Estimates | Statistics | |||||||||||
|---|---|---|---|---|---|---|---|---|---|---|---|---|
| Model | a | K-S | p-Value | |||||||||
| RB-TL-TII-EHL-W | 31.5910 | 0.0119 | 12.0320 | 1.0019 | 375.7258 | 383.7257 | 384.1218 | 394.3795 | 0.0460 | 0.2574 | 0.0646 | 0.7669 |
| (7.4281 ) | (8.8791 ) | (4.3483 ) | (6.3719 ) | |||||||||
| k | ||||||||||||
| RB-OPGW-Lx | 2.3656 | 53.9060 | 1.0790 | 0.0999 | 383.0791 | 391.0791 | 391.4751 | 401.7328 | 0.1156 | 0.7575 | 0.0733 | 0.6187 |
| (1.6820 ) | (1.3300 ) | () | (1.0572 ) | |||||||||
| k | ||||||||||||
| GGIW | 7.3731 | 0.2671 | 0.0026 | 1.5621 | 376.2939 | 384.2939 | 384.6900 | 394.9477 | 0.0515 | 0.2869 | 0.0670 | 0.7269 |
| (0.0012) | (0.0259) | (0.00048) | (0.0035) | |||||||||
| RB-BIII-LLoG | 0.0146 | 36.9600 | 18.3780 | 34.8890 | 378.785 | 386.7852 | 387.1812 | 397.439 | 0.0759 | 0.4398 | 0.0706 | 0.6656 |
| (1.0707 ) | (2.8804 ) | (4.9356 ) | (6.2419 ) | |||||||||
| b | ||||||||||||
| TLMOW | 2.5861 | 0.5294 | 0.1205 | 1.3825 | 376.4293 | 384.4293 | 384.8254 | 395.0831 | 0.0535 | 0.2981 | 0.0678 | 0.7133 |
| (2.3351) | (0.6827) | (0.2658) | (0.7581) | |||||||||
| APTLW | 5.8553 | 2.7609 | 0.5942 | 0.2816 | 377.9029 | 385.903 | 386.299 | 396.5567 | 0.0637 | 0.3624 | 0.0673 | 0.7215 |
| (4.5983 ) | (2.2908 ) | (0.0985) | (0.0475) | |||||||||
| a | ||||||||||||
| TIIEHLW | 21.7121 | 197.2789 | 3.4401 | 0.1250 | 376.5885 | 384.5885 | 384.9845 | 395.2423 | 0.0540 | 0.3030 | 0.0693 | 0.6885 |
| (37.3034) | (1.0424) | (0.2509) | (0.0413) | |||||||||
| OGHLW | 2.4469 | 1.0482 | 8.8095 | 0.1456 | 390.3392 | 398.3391 | 398.7351 | 408.9928 | 0.1887 | 1.2185 | 0.0801 | 0.5044 |
| (4.6219 ) | (1.0925 ) | (1.2995 ) | (9.3622 ) | |||||||||
| k | ||||||||||||
| MOEW | 2.8837 | 1.7441 | 1.4516 | 1.4997 ) | 380.8861 | 388.8859 | 389.2819 | 399.5396 | 0.0912 | 0.528 | 0.0722 | 0.6367 |
| (9.7681 ) | (2.4798 ) | (2.8610 ) | (3.6792 ) | |||||||||
| b | ||||||||||||
| OGLE | 106.3274 | 0.3341 | 2.7092 | 0.2189 | 380.4094 | 388.4094 | 388.8054 | 399.0631 | 0.0869 | 0.4843 | 0.0738 | 0.6097 |
| (158.6800) | (0.4618) | (0.8918) | (0.0922) | |||||||||
| Estimates | Statistics | |||||||||||
|---|---|---|---|---|---|---|---|---|---|---|---|---|
| Model | a | K-S | p-Value | |||||||||
| RB-TL-TII-EHL-W | 12.2752 | 0.0057 | 5.3660 | 0.8217 | 305.9453 | 313.9453 | 315.1218 | 320.5995 | 0.0368 | 0.2677 | 0.0886 | 0.9192 |
| (0.0018) | (0.0014) | (0.0095) | (0.0826) | |||||||||
| k | ||||||||||||
| RB-OPGW-Lx | 3.9177 | 5.1996 | 2.6947 | 1.0968 | 380.0707 | 388.0708 | 389.2473 | 394.7251 | 0.1403 | 0.8925 | 0.3341 | 0.0003 |
| (4.3035 ) | (2.8295 ) | ( 2.5178 ) | (4.6193 ) | |||||||||
| k | ||||||||||||
| GGIW | 1.6099 | 1.0006 | 8.0186 | 1.4139 | 309.3782 | 317.378 | 318.5545 | 324.0322 | 0.0606 | 0.42001 | 0.1132 | 0.6993 |
| (1.7939 ) | (5.3681 ) | (7.9390 ) | (2.6831 ) | |||||||||
| RB-BIII-LLoG | 8.1979 | 9.4819 | 4.0700 | 8.6497 | 709.0801 | 717.0806 | 718.257 | 723.7348 | 0.2085 | 1.3047 | 0.3004 | 0.0017 |
| (8.0682 ) | ( 7.7779 ) | (8.4369 ) | (1.4133 ) | |||||||||
| b | ||||||||||||
| TLMOW | 35.1447 | 0.2747 | 0.3352 | 0.4224 | 310.2705 | 318.2705 | 319.447 | 324.9248 | 0.0716 | 0.4849 | 0.1230 | 0.5966 |
| (0.0010) | (0.2166) | (0.2353) | (0.0900) | |||||||||
| APTLW | 5.8809 | 4.7573 | 1.5583 | 1.0793 | 308.4781 | 316.4766 | 317.653 | 323.1308 | 0.0402 | 0.3019 | 0.1178 | 0.6514 |
| (5.2275 ) | (2.4522 ) | (3.4123 ) | (6.4652 ) | |||||||||
| a | ||||||||||||
| TIIEHLW | 0.0597 | 0.0789 | 3.0136 | 0.5026 | 360.9537 | 368.9538 | 370.1302 | 375.608 | 0.0371 | 0.2727 | 0.3485 | 0.0002 |
| (0.0157) | (0.0452) | (0.7527) | (0.0691) | |||||||||
| OGHLW | 2.3879 | 0.6967 | 11.8160 | 0.0952 | 309.7039 | 317.7039 | 318.8804 | 324.3582 | 0.1143 | 0.7240 | 0.1221 | 0.6053 |
| (9.7110 ) | (1.0280 ) | (6.0584 ) | (9.2143 ) | |||||||||
| k | ||||||||||||
| MOEW | 54.1287 | 0.0192 | 1.3654 | 0.3773 | 309.2931 | 317.2931 | 318.4696 | 323.9473 | 0.0670 | 0.4676 | 0.0973 | 0.8539 |
| (49.8948) | (0.0476) | (0.7965) | (0.1854) | |||||||||
| b | ||||||||||||
| OGLE | 0.1170 | 10.025 | 0.4439 | 0.1237 | 315.6349 | 323.6372 | 324.8136 | 330.2914 | 0.1351 | 0.8479 | 0.1408 | 0.4217 |
| (0.3395) | (18.7865) | (0.3848) | (0.1274) | |||||||||
| Estimates | Statistics | |||||||||||
|---|---|---|---|---|---|---|---|---|---|---|---|---|
| Model | a | K-S | p-Value | |||||||||
| RB-TL-TII-EHL-W | 24.6260 | 0.00010 | 4.0077 | 1.2704 | 822.8816 | 830.8816 | 831.2068 | 842.2897 | 0.0579 | 0.3833 | 0.0522 | 0.8752 |
| (0.0015) | (1.5862 ) | (0.0189) | (0.0665) | |||||||||
| k | ||||||||||||
| RB-OPGW-Lx | 1.8034 | 592.3000 | 1.0001 | 0.0100 | 825.8694 | 833.8694 | 834.1946 | 845.2776 | 0.0916 | 0.5778 | 0.0690 | 0.5744 |
| (1.2081 ) | (2.1182 ) | (1.8869 ) | (2.2921 ) | |||||||||
| k | ||||||||||||
| GGIW | 12.7271 | 0.1990 | 0.0016 | 0.2197 | 877.5066 | 836.542 | 836.8672 | 847.9502 | 0.1316 | 0.8126 | 0.0702 | 0.552 |
| (1.0673) | (0.0206) | (0.0012) | (0.0241) | |||||||||
| RB-BIII-LLoG | 0.2066 | 35.6475 | 17.4118 | 1.3549 | 832.1743 | 840.1743 | 840.4995 | 851.5824 | 0.1428 | 0.9589 | 0.0676 | 0.6004 |
| (0.2573) | (23.6792) | (13.7133) | (1.6875) | |||||||||
| b | ||||||||||||
| TLMOW | 16.1350 | 0.2540 | 0.3205 | 0.4398 | 837.4597 | 845.4595 | 845.7847 | 856.8676 | 0.1979 | 1.2993 | 0.0811 | 0.3679 |
| (32.4118) | (0.1033) | (0.4540) | (0.2468) | |||||||||
| APTLW | 0.3632 | 2.6272 | 0.8610 | 0.1120 | 827.4507 | 835.4507 | 835.7759 | 846.8588 | 0.1275 | 0.7620 | 0.0727 | 0.5065 |
| (0.1239) | (4.8767 ) | (0.1241) | (0.0540) | |||||||||
| a | ||||||||||||
| TIIEHLW | 1.0297 | 1.0759 | 2.4004 | 0.0500 | 823.0934 | 831.0934 | 831.4186 | 842.5015 | 0.0710 | 0.4392 | 0.0549 | 0.8351 |
| (1.8761 ) | (1.9066 ) | (2.1528 ) | (3.2111 ) | |||||||||
| OGHLWW | 2.1269 | 0.6471 | 14.4550 | 0.0774 | 838.0349 | 846.0347 | 846.3599 | 857.4428 | 0.2477 | 1.4603 | 0.0952 | 0.1962 |
| (3.4793 ) | (4.2738 ) | (1.9132 ) | (4.3136 ) | |||||||||
| k | ||||||||||||
| MOEW | 2.3544 | 0.0714 | 1.0415 | 0.2405 | 948.2204 | 956.2204 | 956.5456 | 967.6285 | 0.2321 | 1.3721 | 0.4481 | 0.0000 |
| (1.2446) | (0.0372) | (1.0080) | (0.2691) | |||||||||
| b | ||||||||||||
| OGLE | 8.8103 | 0.2220 | 0.3397 | 0.3668 | 836.6097 | 844.6097 | 844.9349 | 856.0178 | 0.2298 | 1.3899 | 0.0880 | 0.2745 |
| (8.3076) | (0.1826) | (0.0966) | (0.1147) | |||||||||
Disclaimer/Publisher’s Note: The statements, opinions and data contained in all publications are solely those of the individual author(s) and contributor(s) and not of MDPI and/or the editor(s). MDPI and/or the editor(s) disclaim responsibility for any injury to people or property resulting from any ideas, methods, instructions or products referred to in the content. |
© 2023 by the authors. Licensee MDPI, Basel, Switzerland. This article is an open access article distributed under the terms and conditions of the Creative Commons Attribution (CC BY) license (https://creativecommons.org/licenses/by/4.0/).
Share and Cite
Oluyede, B.; Moakofi, T. The Gamma-Topp-Leone-Type II-Exponentiated Half Logistic-G Family of Distributions with Applications. Stats 2023, 6, 706-733. https://doi.org/10.3390/stats6020045
Oluyede B, Moakofi T. The Gamma-Topp-Leone-Type II-Exponentiated Half Logistic-G Family of Distributions with Applications. Stats. 2023; 6(2):706-733. https://doi.org/10.3390/stats6020045
Chicago/Turabian StyleOluyede, Broderick, and Thatayaone Moakofi. 2023. "The Gamma-Topp-Leone-Type II-Exponentiated Half Logistic-G Family of Distributions with Applications" Stats 6, no. 2: 706-733. https://doi.org/10.3390/stats6020045
APA StyleOluyede, B., & Moakofi, T. (2023). The Gamma-Topp-Leone-Type II-Exponentiated Half Logistic-G Family of Distributions with Applications. Stats, 6(2), 706-733. https://doi.org/10.3390/stats6020045

