Optimal Sampling Regimes for Estimating Population Dynamics
Abstract
1. Introduction
2. Logistic Growth Model
3. Methods
3.1. Statistical Model
3.2. Optimal Designs
3.3. Sequential Optimality
| Algorithm 1: Sequential Optimality. |
Begin Choose an initial design Set a design budget, b Set a design window, w Set criteria, C: (i). (ii). (iii). I = For : (a) Draw a sample (b) Accept the new state Repeat until End |
3.4. Worked Example
- Step 1:
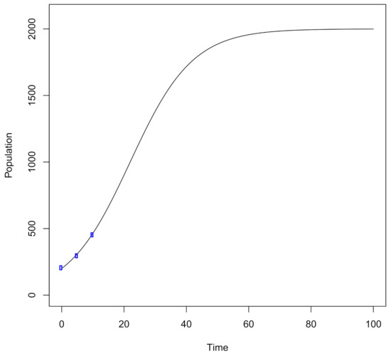
- Choose an initial designLogistic growth has two parameters, growth rate and carrying capacity. Therefore, three initial design points, and , are selected as shown in Figure 1 representing samples collected on days 0, 5 and 10 of the season. The population size is calculated at these time points using the analytic solution from Equation (2) with random Poisson noise. In this example the coordinates are (0, 205), (5, 295) and (10, 453).
- Step 2:
- Set a design budget, bThe design budget is chosen at the discretion of the expert based on available resources. In this example, we select a budget of ten, .
- Step 3:
- Set a design window, wThis study focuses on sampling across a one hundred day season with a design budget of size ten. A practical design window would be to search ten days into the future. Thus, we set .
- Step 4:
- Set criteria, CFor demonstration purposes, A-optimal criterion is selected as .
- Step 5:
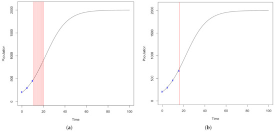
- Draw a sampleThe initial design consists of three points. Therefore, represents a window of the ten consecutive points following the last point sampled from Day 11, …, Day 20.
- Step 6:
- Accept the new stateHere, we calculate the trace of the covariance matrix for each point in , which comes from the MH algorithm producing estimates for the carrying capacity and growth rate.Based on the calculations, the optimal point selected in the design window is Day 16, which leads to the selected design point (16, 661) calculated by the analytic solution with random Poisson noise. Figure 2 illustrates the candidate sample region in red and the selected point among the candidates.
- Step 7:
- Repeat untilSteps 5 and 6 are repeated until all ten points in the budget are exhausted. The parameter estimates are updated as each new design point is added as shown in Figure 3. The final design consists of ten points calculated by the analytic solution as follows: (0, 205), (5, 295), (10, 453), (16, 661), (26, 1202), (36, 1498), (46, 1885), (56, 1927), (64, 2019) and (68, 1961).The sequential optimality algorithm is intended to search the design space of temporal models. The above example demonstrates the procedure learning about a temporal system in a sequential manner. The proposed method will be implemented later across various logistic growth models using all design criteria from Equation (9) to compare the technique in reference to simulated annealing. The purpose of this design study is to develop and demonstrate statistical methods that can optimize sampling procedures for ecologists.
4. Simulation Results
4.1. Simulated Annealing
4.2. Sequential Design
4.3. Potential Difficulties
5. Discussion
6. Conclusions
Author Contributions
Funding
Conflicts of Interest
References
- Hsu, F.; Nelson, C.; Chow, W. A mathematical model to utilize the logistic function in germination and seedling growth. J. Exp. Bot. 1984, 35, 1629–1640. [Google Scholar] [CrossRef]
- Huang, Z.; Liu, S.; Bradford, K.J.; Huxman, T.E.; Venable, D.L. The contribution of germination functional traits to population dynamics of a desert plant community. Ecology 2016, 97, 250–261. [Google Scholar] [CrossRef] [PubMed]
- Gamito, S. Growth models and their use in ecological modelling: An application to a fish population. Ecol. Model. 1998, 113, 83–94. [Google Scholar] [CrossRef]
- Kennard, M.; Arthington, A.; Pusey, B.; Harch, B. Are alien fish a reliable indicator of river health? Freshw. Biol. 2005, 50, 174–193. [Google Scholar] [CrossRef]
- Leigh, C.; Hiep, L.H.; Stewart-Koster, B.; Vien, D.M.; Condon, J.; Sang, N.V.; Sammut, J.; Burford, M.A. Concurrent rice-shrimp-crab farming systems in the Mekong Delta: Are conditions (sub) optimal for crop production and survival? Aquac. Res. 2017, 48, 5251–5262. [Google Scholar] [CrossRef]
- Pagendam, D.; Pollett, P. Optimal sampling and problematic likelihood functions in a simple population model. Environ. Model. Assess. 2009, 14, 759–767. [Google Scholar] [CrossRef]
- Gilks, W.R.; Richardson, S.; Spiegelhalter, D. Markov Chain Monte Carlo in Practice; Chapman and Hall/CRC: Boca Raton, FL, USA, 1995. [Google Scholar]
- Verhulst, P.F. Notice sur la loi que la population suit dans son accroissement. Corresp. Math. Phys. 1838, 10, 113–126. [Google Scholar]
- Hedge, J.; Lycett, S.J.; Rambaut, A. Real-time characterization of the molecular epidemiology of an influenza pandemic. Biol. Lett. 2013, 9, 20130331. [Google Scholar] [CrossRef]
- Lin, B.Q.; Liu, J.H. Estimating coal production peak and trends of coal imports in China. Energy Policy 2010, 38, 512–519. [Google Scholar] [CrossRef]
- Hubbert, M.K. Nuclear energy and the fossil fuel. In Drilling and Production Practice; American Petroleum Institute: Washington, DC, USA, 1956. [Google Scholar]
- Reed, L.J.; Pearl, R. On the summation of logistic curves. J. R. Stat. Soc. 1927, 90, 729–746. [Google Scholar] [CrossRef]
- Oliver, F. Methods of estimating the logistic growth function. J. R. Stat. Soc. Ser. Appl. Stat. 1964, 13, 57–66. [Google Scholar] [CrossRef]
- Heydari, J.; Lawless, C.; Lydall, D.A.; Wilkinson, D.J. Fast Bayesian parameter estimation for stochastic logistic growth models. Biosystems 2014, 122, 55–72. [Google Scholar] [CrossRef]
- Hobbs, N.T.; Hooten, M.B. Bayesian Models: A Statistical Primer for Ecologists; Princeton University Press: Cambridge, MA, USA, 2015. [Google Scholar]
- Bayes, T. An essay towards solving a problem in the doctrine of chances. Philos. Trans. R. Soc. Lond. 1763, 370–418. [Google Scholar] [CrossRef]
- Kiefer, J. Optimum experimental designs. J. R. Stat. Soc. Ser. B Methodol. 1959, 21, 272–304. [Google Scholar] [CrossRef]
- Abt, M.; Welch, W.J. Fisher information and maximum-likelihood estimation of covariance parameters in Gaussian stochastic processes. Can. J. Stat. 1998, 26, 127–137. [Google Scholar] [CrossRef]
- Atkinson, A.; Donev, A.; Tobias, R. Optimum Experimental Designs, with SAS; Oxford University Press: Oxford, UK, 2007; Volume 34. [Google Scholar]
- Laarhoven, P.J.; Aarts, E.H. Simulated annealing. In Simulated Annealing: Theory and Applications; Springer: New York, NY, USA, 1987; pp. 7–15. [Google Scholar]
- Metropolis, N.; Rosenbluth, A.W.; Rosenbluth, M.N.; Teller, A.H.; Teller, E. Equation of state calculations by fast computing machines. J. Chem. Phys. 1953, 21, 1087–1092. [Google Scholar] [CrossRef]
- R Core Team R. A Language and Environment for Statistical Computing; R Foundation for Statistical Computing: Vienna, Austria, 2013. [Google Scholar]
- Chaloner, K.; Verdinelli, I. Bayesian experimental design: A review. Stat. Sci. 1995, 10, 273–304. [Google Scholar] [CrossRef]
- Müller, P.; Berry, D.A.; Grieve, A.P.; Smith, M.; Krams, M. Simulation-based sequential Bayesian design. J. Stat. Plan. Inference 2007, 137, 3140–3150. [Google Scholar] [CrossRef]
- Williamson, D.; Goldstein, M. Bayesian policy support for adaptive strategies using computer models for complex physical systems. J. Oper. Res. Soc. 2012, 63, 1021–1033. [Google Scholar] [CrossRef]
- Jones, M.; Goldstein, M.; Jonathan, P.; Randell, D. Bayes linear analysis of risks in sequential optimal design problems. Electron. J. Stat. 2018, 12, 4002–4031. [Google Scholar] [CrossRef]
- Ford, I.; Titterington, D.; Kitsos, C.P. Recent advances in nonlinear experimental design. Technometrics 1989, 31, 49–60. [Google Scholar] [CrossRef]













| Label | Growth Rate | Carrying Capacity | Initial Population |
|---|---|---|---|
| Normal | 0.10 | 2000 | 200 |
| Fast | 1.00 | 2000 | 200 |
| Slow | 0.05 | 2000 | 200 |
Publisher’s Note: MDPI stays neutral with regard to jurisdictional claims in published maps and institutional affiliations. |
© 2021 by the authors. Licensee MDPI, Basel, Switzerland. This article is an open access article distributed under the terms and conditions of the Creative Commons Attribution (CC BY) license (https://creativecommons.org/licenses/by/4.0/).
Share and Cite
Atanga, R.E.; Boone, E.L.; Ghanam, R.A.; Stewart-Koster, B. Optimal Sampling Regimes for Estimating Population Dynamics. Stats 2021, 4, 291-307. https://doi.org/10.3390/stats4020020
Atanga RE, Boone EL, Ghanam RA, Stewart-Koster B. Optimal Sampling Regimes for Estimating Population Dynamics. Stats. 2021; 4(2):291-307. https://doi.org/10.3390/stats4020020
Chicago/Turabian StyleAtanga, Rebecca E., Edward L. Boone, Ryad A. Ghanam, and Ben Stewart-Koster. 2021. "Optimal Sampling Regimes for Estimating Population Dynamics" Stats 4, no. 2: 291-307. https://doi.org/10.3390/stats4020020
APA StyleAtanga, R. E., Boone, E. L., Ghanam, R. A., & Stewart-Koster, B. (2021). Optimal Sampling Regimes for Estimating Population Dynamics. Stats, 4(2), 291-307. https://doi.org/10.3390/stats4020020

