Next Article in Journal
Fructose-Derived Carbon Dots as Selective Antitumor Agents in Breast Cancer Therapy: Synthesis, Characterization, and Biological Evaluation
Previous Article in Journal
Hydrogen as an Energy Carrier—An Overview over Technology, Status, and Challenges in Germany
 
 
Font Type:
Arial Georgia Verdana
Font Size:
Aa Aa Aa
Line Spacing:
Column Width:
Background:
Article

Investigating the Iron Plating and Stripping of Anolytes for All-Iron Redox-Flow Batteries

Electrochemistry and Electroplating Group, Institute of Materials Science and Engineering, Technische Universität Ilmenau, 98693 Ilmenau, Germany
*
Author to whom correspondence should be addressed.
J 2024, 7(4), 571-583; https://doi.org/10.3390/j7040034
Submission received: 29 October 2024 / Revised: 27 November 2024 / Accepted: 6 December 2024 / Published: 11 December 2024
(This article belongs to the Section Chemistry & Material Sciences)

Abstract

All-iron redox-flow batteries (AIRFB) are capable of addressing the needs for cost-effective long-term storage of renewable energies. Currently, a major limitation of AIRFB performance is the half-cell reaction of the anolyte utilising the redox couple Fe/Fe2+. In this work, the performance of sulphate and chloride-based iron electrolytes was investigated by combining cyclic voltammetry (CV) and electrochemical quartz crystal microbalance (EQCM). The investigations demonstrate that complexing agents exert a detrimental influence on the kinetics of plating/stripping reactions, resulting in diffusivity reduction, while favouring hydrogen evolution reaction (HER). The coulombic (plating) efficiency was found to be 87.1% at −1.2 V vs. Ag/AgCl (sat’d) at pH 3.5, while the coulombic efficiency in oxidation sweep (stripping) was observed to be 100% in an electrolyte containing 0.8 M FeCl2 and 3 M NH4Cl. In the context of iron deposition, the most crucial factors are the suppression of HER, and the influence of diffusion limitations, as well as the role of additives in this process to achieve a high reversibility. It is evident that the investigated complexing agents of glycine, malic acid and malonic acid are inadequate for battery-compatible, efficient properties, given that the overvoltages for the charge transfer reaction are too high and parasitic HER reduces coulombic efficiencies. Ultimately, the choice of deposition parameters from EQCM and electrolyte composition reduced to 0.8 M FeCl2, and 3 M NH4Cl can optimise the battery efficiencies as such.

1. Introduction

As part of the energy transition to a more sustainable, durable and reliable energy grid, an increased installation of stationary electrical energy storage systems is crucial. The change demands an increase in safety requirements, reliability and cost efficiency for future grid development needs. One stationary storage solution that could meet these requirements is the redox-flow battery (RFB) technology [1,2]. In contrast to the popular vanadium RFB, all-iron RFB (AIRFB) use the cheap and earth-abundant iron. This battery technology is safe, environmentally friendly and easily scalable. However, commercialisation has yet to be achieved and research into electrolytes is an important aspect of bringing AIRFBs to market [2,3].
A RFB operates by the transfer of electrons between two liquid electrolytes, which are stored in separate external tanks. The electrolytes contain the chemical redox compounds in various oxidation states, usually in solution. During charging or discharging, the electrolytes are pumped through a reaction cell where the redox reaction takes place, facilitating the energy conversion. Ions are exchanged across a membrane. In classical RFBs, the energy of the battery depends on the amount of electrolytes stored, while the power is scaled by the size of the reaction cells [4]. In contrast, an AIRFB is a hybrid RFB technology as the dissolved ferrous ions (Fe2+) in aqueous solution are deposited as metallic iron during charging (Equation (1)). In the positive half cell, the second redox couple between ferrous iron and ferric iron (Fe3+) completes the battery (Equation (2)) to an overall nominal standard cell voltage of 1.21 V [2,5]:
F e ( a q ) 2 + + 2 e discharge charge F e ( s ) E 0 = 0.44 V vs . SHE ,
2 F e ( a q ) 2 + discharge charge 2 F e ( a q ) 3 + + 2 e E 0 = + 0.77 V vs . SHE .
The negative electrolyte (anolyte) is responsible for iron deposition and dissolution within the cell. This is followed by the issue of the competing hydrogen evolution reaction (HER), which is associated with iron deposition and reduces coulombic efficiencies. In this case, iron deposition in electrolytes with a pH above 3.0 is favoured to reduce HER. This is offset by the limited solubility of the Fe3+, which is confined to a pH of around 2.0 and below without complexing agents [2,5,6].
The HER is the main side reaction in the iron deposition and the main contributor to coulombic losses in the AIRFB overall [5]. Additionally, ferric ions can become present in the anolyte compartment either due to the oxidation of ferric ions in the presence of oxygen or due to diffusion from the cathode. These ferric ions can react with the iron plate according to [5] and reduce the coulombic efficiency:
F e 0 + 2 F e 3 + 3 F e 2 + .
Also, chemical corrosion between the iron plate and the electrolyte, e.g., with the hydrochloric acid, can reduce the coulombic efficiency [5]:
F e 0 + 2 H C l F e C l 2 + H 2 .
In 1981, Hruska and Savinell [5] were the first to investigate AIRFB technology and found that the main loss in its coulombic efficiency was at the iron plating electrode. They presented an AIRFB operating at 60 °C and 60 mA cm−2 using a microporous separator to be found operating with a current efficiency of 90%.The use of a pH window for the anolyte is limited by the half-cell of the catholyte, as fouling of the membrane would occur if different pH values were maintained [5]. Later on, the addition of complexing agents was found to reduce the charging efficiency of iron deposition and dissolution [7]. At present, glycine is discussed as a possible candidate for the use of AIRFB as glycine showed the best kinetic properties and diffusion coefficients comparable to pure iron electrolytes in the study by Hawthrone et al. [7] in a molar ratio between 0.5:1 and 1:1 glycine to total iron (0.2 M). Other complexing agents need to be investigated and the influence on the overall efficiencies is one of the determining criteria for selection [2,7]. Jayathilake et al. [8] showed efficiencies of the anolyte at pH 3.0 and the use of ascorbic acid and ammonium chloride of 97.9% when the deposition is performed at 60 °C. Ascorbic acid acts as a suppressor of HER at pH 0 and at the same time as a buffer of the electrolyte. Both ascorbic acid and citric acid, which are considered promising additives by other studies [8,9], were not investigated further in our work, as these have already been excluded by initial tests. Probably the mode of action shows poor performance in the relevant pH range. The reason may lie in the degree of dissociation of the acid, as the pKs value is found to be 4.25 and 4.76 for ascorbic acid and citric acid, respectively, and therefore the equilibrium is shifted towards the protonated (undissociated) acid.
Historically, iron plating has been known to be used as pure iron or in iron-metal electrolytes, such as iron-nickel, iron-zinc, etc., for various applications [9]. The electroplating of iron is usually carried out from ferrous iron (Fe2+) electrolyte. The electrochemical deposition of iron is characterised by the participation of hydrogen and hydroxide ions in the reaction mechanism [10,11]. Since the 1950s, this reaction process has been known as the non-catalysed Bockris mechanism in acidic medium (pH < 5) [12], where the adsorption step of FeOH on the electrode represents the rate-determining step [5,11].
Izaki [9] reviews the literature on iron plating and summarises commonly used iron plating baths. He presents the principle of deposition from acid electrolytes based on iron sulphate or iron chloride salts, as these are suitable for most applications and purposes. The addition of alkali or alkaline earth salts and organic acids such as citric, malic or malonic acid for preventing the precipitation of ferric hydroxide is recommended. However, impurities influence the quality of the deposits and without impurities, better corrosion resistance is shown. Additives for finer grain sizes are common. The greatest challenge of the baths is the gradual oxidation of the ferrous iron, so that this must be prevented for the cyclisation in AIRFB in order to minimise the effort of restoring the electrolyte [9].
Sulphate-based baths are operable at room temperature, but show lower deposition rates than chloride baths, which usually deposit at elevated temperatures and low pH. The internal stresses increase at lower temperature and higher currents. Higher currents are only possible at higher temperatures, which cannot be realised in commercial applications of an AIRFB. Ferric ions must be kept in small concentrations (0.09 Fe(III) to Fe(II) ratio [13]) for good plating results, due to better throwing power and less pitting tendency [9].
The aim of this study is to investigate the influence of different electrolyte compositions on iron deposition and stripping to be determined in real time using cyclic voltammetry (CV) and electrochemical quartz crystal microbalance (EQCM) simultaneously. The iron electrolytes for deposition and the influence of additives will be reviewed.

2. Materials and Methods

2.1. Chemicals and Reagents

As iron salts, iron(II)-sulphate heptahydrate pro analysi (p. a.) from Riedel-de Haën AG (Seelze, Germany) and iron(II)-chloride hydrate (≥98%, extra pure) from Carl Roth GmbH & Co. KG (Karlsruhe, Germany) have been selected. As a supporting electrolyte, ammonium chloride p. a. was utilised from VWR Chemicals (Darmstadt, Germany) and ammonium sulphate (≥99.0%, crystalline) from VEB Laborchemie Apolda (Apolda, Germany). The additives used were glycine (≥99.0%) from Sigma-Aldrich (Darmstadt, Germany) and both lactic acid p. a. and glycerol (≥99.5%, p. a.) from VEB Laborchemie Apolda (Apolda, Germany). Further chemicals used in this study were citric acid monohydrate p. a. from Fluka Chemie AG (Schwerte, Germany), malonic acid (>99%) and DL-malic acid (>99.5%, p. a.) both from Merck Schuchardt OHG (Hohenbrunn, Germany) and L-ascorbic acid sodium salt (>99%) from Alfa Aesar GmbH & Co. KG. (Karlsruhe, Germany) Ammonia (25%) from Carl Roth GmbH & Co. KG (Karlsruhe, Germany) and hydrochloric acid (37%) from VWR Chemicals (Darmstadt, Germany) were used to adjust the pH of the solutions.

2.2. Instrumentation

The main methods that were used are CV in simultaneous combination with EQCM. CV was performed with three cycles between −1.2 and 0.0 V vs. Ag/AgCl (sat’d) at 10 or 20 mV/s, using a three-electrode arrangement with the galvanostat and amplifier VSPB-5A with EC-Lab Software version 11.43 from BioLogic Science Instruments. The second CV cycle was always analysed. The measurements were conducted using a Ag/AgCl reference electrode in saturated KCl (SE10) from Sensortechnik Meinsberg. All specified potentials are given in reference to this Ag/AgCl electrode. The working electrode was a 5 MHz gold-coated quartz crystal (1 inch) from Inficon, assembled in a crystal holder for an EQCM during CV. EQCM is known as a method for weighing thin layers deposited or stripped during electrochemical reactions. For iron deposition, the simultaneously occurring HER can thus be eliminated from the entire current in the evaluation, so that the partial current used for iron deposition can be analysed via the analysis of the deposited and dissolved masses. The EQCM measurement data were recorded using a handheld vector network analyser (NanoVNA, designed by edy555; open access to NanoVNA firmware and hardware is available online at: https://nanovna.com/?page_id=21 (accessed on 1 September 2024) identifying the resonance frequency of the crystal. The resonance frequency change Δ f allows conclusions about the deposited mass from the Sauerbrey equation [14]:
Δ f = C f · Δ m ,
where the C f represents a layer weighing sensitivity in units of [ Hz μ g 1 c m 2 ], which is composed of material constants of the oscillating quartz and establishes the relationship to the mass coverage Δ m as an area-specific quantity. Via Faraday’s law of electrolysis, the partial current of iron deposition can be determined using the deposited mass Δ m , the time steps of the measurement recordings and the molar mass of iron.
An iron sheet served as a soluble counter electrode. Data were analysed with OriginPro 2021 from OriginLab in version 9.8.0.200 and raw data from the EQCM measurements, i.e., the partial iron currents, were smoothed using the Savitzky–Golay algorithm.
The pH was determined using a Metrohm 654 pH meter in combination with a SenTix 21 pH electrode from WTW 103632. The conductivity of the electrolytes was measured using the Mettler Toledo Seven Multi in combination with the Mettler Toledo InLab 730 conductivity electrode.
Diffusion coefficients were determined using a EDI101 rotating disc electrode (RDE) from Radiometer Copenhagen and the CTV101 speed control unit from radiometer analytical S.A. A glassy carbon electrode with a diameter d = 5 mm was used. A single CV cycle was carried out with a scan rate of 20 mV/s. The diffusivity in the electrolyte was examined using RDE analysis of the Levich plot method. The rotation speed was chosen between 100 rpm and 4900 rpm.
The exchange current densities j 0 were determined by applying linear approximation to the equilibrium potential. The charge transfer resistance R c t is calculated from the slope of the linear fit for sufficiently small overvoltages η [15]:
j 0 = R · T F · R c t with R c t = η i .

2.3. Preparation

The electrolytes were prepared at room temperature under constant stirring using a magnetic stirrer with mono-distilled water, which was first adjusted to pH < 2 with HCl so that the iron salts dissolved completely and precipitations of iron hydroxides were avoided. Ammonia was used to adjust the desired pH for the EQCM tests. All experiments were conducted at room temperature (25 °C).
CV experiments were conducted while slowly stirring (approx. 100 min−1) in 250 mL of electrolyte in a beaker. Once all electrodes were positioned in the electrolyte and free of gas bubbles, the measurements started. The reference electrode was positioned directly in front of the quartz crystal. The counter electrode was positioned on the opposite side of the beaker so that there was a distance of approximately 3 to 4 cm to the working electrode. The same test setup was used for long-term deposition, in which the deposition of a 100 µm thick iron layer was aimed for using chronopotentiometry (CP). The operational current density was determined from previous Hull cell experiments determining the local current density according to DIN 50957-1 [16]. Hull cells plates from Ossian with a size of 100 × 75 mm2 made of stainless steel were used. Their protective zinc layer was previously removed using 10% hydrochloric acid. The plated electrodes were cleaned with distilled water and then dried with a fan for a few seconds until any remaining water has completely vaporised. The electrodes were weighed before and after the experiment.

3. Results

3.1. General Analysis

The results of the CV and EQCM measurements for the fundamental two electrolytes, comprising 0.8 M of the sulphate and chloride iron salt and a corresponding supporting electrolyte of 1.5M (NH4)2SO4 and 3 M NH4Cl, are initially discussed and subsequently categorised within the existing literature (Figure 1).
The total currents j t o t from the CV (solid lines) and the partial currents for the iron deposition and stripping j F e (dashed lines) from the EQCM evaluation are shown. These separated currents indicate the deposition efficiency by analysing both measurements and interpreting the discrepancy between the two curves, allowing conclusions about parasitic side reactions and reaction behaviour of a non-faradaic nature to be drawn.
Analysing the CV scan starting from 0.0 V, a reduction sweep is performed down to −1.2 V. In the reverse sweep, the oxidation reaction starts at approx. −0.6 V, which is associated with the iron dissolution and returns to 0.0 V.
In both electrolytes, the onset of iron deposition starts between −0.95 and −1.05 V. The onset of iron deposition is prevented by covering the electrode surface with anions (SO42− and Cl) [6]. The adsorption behaviour of Cl and SO42− ions has been shown to differ substantially on iron surfaces, with a much higher Cl adsorption at low pH values. This is assumed to be related to the higher preference of Cl to be adsorbed on bare metal surface sites, while SO42− interacts more with surface oxide sites, forming at higher pH values [17]. Additionally, it has been shown that increasing the concentration of Cl in an electrolyte with constant pH suppresses HER on an iron electrode. It has thus been speculated that Cl occupies surface sites which are involved in the HER [6].
The results are in accordance with literature on the two electrolytes and show the advantages of the chloride-based electrolyte [9,10]. For commercial iron electroplating, chloride-based electrolytes operate at higher temperatures, between 60 and 70 °C, with plating efficiencies >95%, high iron content in the layers close to 100% with low pH, and a maintaining system for pH. Sulphate-based electrolytes are used at room and slightly elevated temperatures where it is possible to operate at a larger pH range. It is known that the sulphate bath exhibits approximately half of the current densities observed in a hot-chloride bath [9], but in this experiment at room temperature the chloride-based electrolyte shows already twice as high current densities than the sulphate-based electrolyte at −1.2 V. This result is in accordance with our findings on the better electrolyte conductivity and higher Fe2+ mobility of the chloride electrolytes (Table 1).
Utilising the relationship η = j F e / j t o t , better current efficiencies for iron deposition are shown for chloride-based electrolytes. The base electrolytes without further additives show current efficiencies for the deposition at −1.2 V of approx. 73% and 87% for the sulphate and chloride electrolytes, respectively.
The cathodic scan from −1.2 V to −0.8 V consistently shows higher currents than in the forward scan direction. This is due to the initial inhibition of the deposition reaction and due to different deposition kinetics of iron on the gold-coated crystal and the existing iron layer, which is formed during the initial deposition. This can be interpreted as indicating that the better catalytic effect of the gold electrode is recognisable when examining the exchange current densities in the volcano curve for the HER [15]. In addition, the changing pH at the electrode surface contributes to higher deposition currents [11]. As the potential increases starting from −1.2 V, the proportion of HER decreases and the iron coating becomes more favourable, resulting in higher deposition currents. This leads to a better correspondence between j g e s and j F e starting from −1.2 V.
During the anodic sweep, the previously deposited iron layer is stripped. The oxidation reaction starts at around −0.6 V for both electrolytes with better kinetics for chloride-based electrolyte again. The increase in j F e , derived from the EQCM data, shortly before the iron layer was completely dissolved (approx. −0.3 V) exceeds j t o t (CV) and is an measurement artefact that could not be further investigated in this study.
The method is only applicable when considering a single species, in this case the molar mass of iron, in the calculation of j F e . Corrections to the current density calculations are possible when the iron layer composition is specified. Uncertainties were affected by changes in electrode roughness and surface pores, which introduced noise into the data (Figure 2a).

3.2. Impact of Electrolyte pH

The iron deposition at low pH is known to result in hard layers with low ductility, whereas iron layers deposited at a higher pH (towards a more neutral direction) are softer and less porous while maintaining the pH in chloride electrolytes [9]. The impact of pH on iron deposition and its efficiencies is shown in Figure 2.
The investigation of the pH influence on iron deposition from an electrolyte containing 0.8 M FeCl2 shows that the total current density ( j t o t ) during reduction is considerably higher at pH 3.5 than at pH 1.5 (Figure 2a). The deposition efficiencies at −1.2 V are 61.0% and 67.2% for pH 1.5 and 3.5, respectively. This shows a lower dependence of the HER on the pH than can be expected with the span of proton concentration of both pH levels. Utilising supporting electrolytes (Figure 1), the result of the difference in current efficiencies becomes clearer and more significant when using additives (Figure 2b).
In comparison, using a sulphate-based electrolyte with additives (Figure 2b) consisting of 0.8 M FeSO4 + 3 M NH4Cl + 1 M glycine at −1.2 V, the deposition efficiency at pH 1.5 is only 15.0%, while for pH 4.5 it is 75.5%, although initially the lower total current density of −28.7 mA cm−2 instead of −50.5 mA cm−2 was achieved in CV. The partial current densities for iron plating ( j F e ), however, show that less iron is deposited at pH 1.5 and that the higher total current density is mainly due to hydrogen evolution. The evaluation of the charge for the reduction branch (area under the reduction curve, resulting in η C , r e d ) shows an efficiency of 12.5% for pH 1.5 compared to 82.7% at pH 4.5, meaning that hydrogen evolution is more than 4.5 times higher with this electrolyte. This confirms that low pH values at the anode are not suitable for an efficient AIRFB, especially for electrolytes with additives. It can also be seen that a reduction peak occurs before the iron deposition starts, which initially indicates competing HER and a possible reduction of ferric iron, as the partial iron deposition current starts with a delay.

3.3. Evaluation of Supporting Electrolyte and Additives

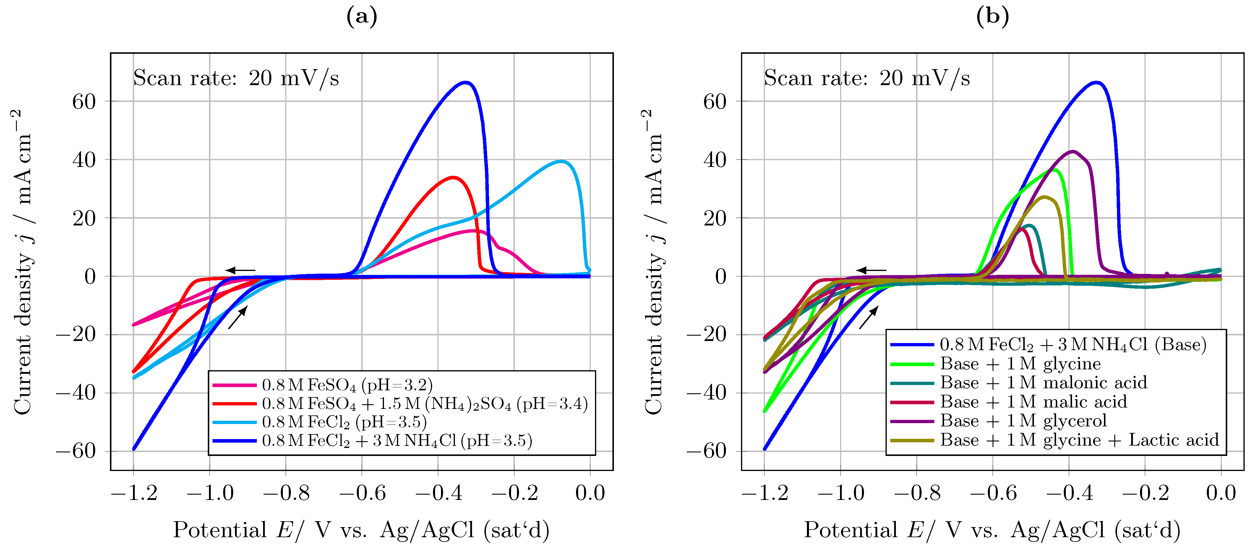
The main focus was put on analysing the effects of electrolyte additives. The aim is to increase the deposition kinetics by supporting electrolytes, enhance the electrolyte stability through complexing agents, and maintain a consistent electrolyte pH in operation by using a buffering agent. The addition of complexing agents and buffering agents was investigated regarding their performance for iron deposition in the AIRFB (Figure 3).
Figure 3a shows the influence of different iron salts and the addition of an ammonium supporting electrolyte of the corresponding anion. The sulphate-based electrolytes show a negative shift compared to the chloride-based electrolyte at the start of the reduction sweep by about 50 mV without and by about 100 mV with a supporting electrolyte. This corresponds with the shifted start of iron deposition, confirmed by the EQCM. The delayed onset is attributed to the desorption of anions due to a negative potential and the influence of cations from a supporting electrolyte [6]. We speculate that the larger radius of the sulphate ions appears to inhibit the start of iron deposition as well as the migration in the electrolyte (Table 1).
Without supporting electrolytes, the reaction kinetics of iron deposition are lower (Figure 3a pink and cyan and Table 1), whereas with a supporting electrolyte (Figure 3a red and blue) the current densities were about twice as high at −1.2 V.
Stripping also shows faster dissolution behaviour with a supporting electrolyte. The increase in conductivity is a contributing factor, which indicates higher mobility for chloride-based electrolytes. The smaller ionic radius of the chloride anion compared to the sulphate ion is crucial, which also influences the diffusion coefficients in the electrolytes (Table 1).
The composition for these experiments (Figure 3a) shows advantages for the chloride electrolyte, as the corresponding sulphate supporting electrolyte was soluble to 1.5 M. This shows an additional advantage of the chloride-based electrolytes in AIRFBs by increasing the electrolyte capacity.
Figure 3b shows the influence in the CV of selected additives in the chloride-based electrolyte. It is clear that the kinetic properties are strongly influenced in some cases due to the addition of glycine and lactic acid (Figure 3b, olive), so that only a third of the current densities are measured in the CV of the original electrolyte with iron salt and supporting electrolyte (Figure 3b, blue). As a result, lower oxidation peaks can be observed. On the one hand, higher offset current densities are recorded in the reduction sweep before the iron deposition starts, meaning that further additives also appear to trigger parasitic reactions. On the other hand, the processes of complex formation and decomplexation processes determine the electron transfer inhibition and lead to an increase in the overvoltage during deposition [4].
The values in Table 2 show higher j 0 under the influence of additives and suggest faster kinetics. However, this does not correlate with an increased deposition of iron (see Table 3). Testing electrolytes with more additives leads to lower plated masses and efficiencies (Figure 4a). Instead, several reactions are superimposed and only the HER is amplified. The reason for this lies in the buffering effect of the complexing agents, which prevent/reduce a pH increase in front of the cathode, thereby increasing the HER, as this correlates directly with the concentration of H+ ions (Figure 2).
Table 3 shows the coulombic efficiencies η C by charge analysis from the most important sulphate-based and chloride-based electrolytes with additives (complexing agents and buffering agent), also shown in Figure 3 for comparison. Additionally, η C , r e d compares the charges directly measured in CV for reduction sweep and those used for iron deposition analysed by EQCM, and vice versa for η C , o x in oxidation sweep.
For the sake of completeness, the data for all important electrolytes is displayed so that the analyses of the influences of the choice of electrolyte, pH and additives can be substantiated with numerical data. It can be observed from Figure 3b analysing η C , j t o t that complexing agents are hindering the deposition of iron layers and more charge is consumed in side reactions, e.g., HER. The comparison of these aforementioned efficiencies allows conclusions to be drawn about the parasitic reactions during iron deposition and in the oxidation branch. Mainly, the HER is indicated due to η C , r e d , which leads to the general conclusion of better chloride-based anolyte performance for higher pH and without complexing agents. The stripping reaction shows a consistent approximate efficiency of 100% ( η C , j F e ) which means that the deposited iron layers are completely stripped. Comparing the efficiencies in the oxidation sweep ( η C , o x ) non-faradaic incorporations in the layer are indicated by values greater than 100%, which especially occurs for complexing agents like glycine or malic acid.

3.4. Deposition and Stripping Analysis

The data from EQCM during CV is presented in a massogram for the iron deposition and the stripping. Figure 4a shows the progression of the masses on the electrode (gold-coated quartz) so that the increase in mass (deposition) and decrease in mass (stripping) can be recognised.
The two sulphate- and chloride-based electrolytes are shown, as well the chloride electrolyte with the influence of the complexing agent glycine and lactic acid as a buffering agent. It can be seen that the chloride electrolyte, consisting of only iron salt and a supporting electrolyte, deposited the highest specific mass (1.54 µm layer thickness) and was completely dissolved again (Figure 4a blue, solid line).
The addition of the complexing agent glycine reduced the deposited mass by more than 50% for the chloride-based electrolyte (Figure 4a blue, dashed line). The dissolution behaviour is similar, but the stripping is completed more quickly due to the lower mass. The addition of lactic acid has the effect of further reducing the deposited mass by more than 75% and thus on the deposition efficiencies (Figure 4a, olive). The comparison of the black and blue curves demonstrates the better deposition kinetics of the chloride-based electrolyte.
The difference in the influences of additives was thus analysed and the deposition efficiency was determined by comparing with the total current density j t o t from CV measurements (Figure 4b).
The evaluation of the deposition efficiencies shows the best efficiency for the chloride-based electrolyte with 3 M NH4Cl as a supporting electrolyte of 87.2% at −1.2 V. The deposition also started earlier, which in other investigated electrolytes only started at −1.0 V and is further delayed by the addition of complexing and buffering agents (Figure 4b, olive). Lactic acid shows the worst efficiency (52% at −1.2 V) and low deposition masses, which indicates an increased HER and makes it inefficient for an AIRFB.
For the sake of clarity, the reverse sweeps from −1.2 V to −0.4 V were not shown. For electrolytes with additives, it was recognisable that the deposition efficiency initially stagnated and then fell back towards zero at approx. −1.0 V. In contrast, the chloride electrolyte without additives (Figure 4b blue, circular dots) showed a further increase in deposition efficiency to just under 100%, which then fell back to zero at −0.8 V. An increasing plating efficiency confirms the progressively congruent course of the partial and total currents from Figure 1. This indicates a favoured deposition on the existing iron layer in this electrolyte and a suppressing effect on HER.

3.5. Visual Appearance and Efficiencies of Iron Deposits

The objective was to investigate the structures of the iron layers from long-term depositions by plating a 100 μ m thick layer on a stainless-steel electrode with an area of 4.00 × 3.33 cm2 from the electrolyte using CP with a defined charge of 575 mAh. The analysis of the surface, colouring, cracks, etc. allows conclusions to be drawn about the cycling stability for their use in AIRFB.
The results of the coated steel electrodes are shown in Figure 5. The sulphate-based electrolyte (a) shows dark grey layers with slight unevenness, caused by operating at pH 3.5 incorporating ferric iron salts leading to dark layers with higher internal stresses [9]. In contrast, the layer of the chloride electrolyte (b) with a supporting electrolyte is very smooth and of silver colour with a matt pattern in the middle. No unevenness or cracks are observed in the layer, but electrode bending indicates high internal stresses at the edges, where the layer is shiny. These results are already known in the literature and confirm the better filling behaviour of the chloride-based electrolyte for levelling the iron layer and higher internal stresses for depositions at room temperature [9,10]. In contrast to Izaki [9], light-coloured metallic layers could be deposited at room temperature with chloride-based electrolytes without complexing agents (Figure 5b,c).
If additives are used in the electrolytes, the appearance of the coatings deteriorates. Stripes at the surface and unevenness appear in the edge area of the electrode for the electrolyte with lactic acid (c), whereas for (d) very dark discolouration and circular flaking of the iron layer on the surface can be found if glycine is also added. In (c) and (d), rough surfaces with circular pits can be recognised, which indicate increased hydrogen evolution. This proves that the addition of the used additives above one mol/L concentrations has clear negative effects on the properties of the iron layers and would probably also worsen the reversibility for an AIRFB.
The effects on the deposition efficiencies by mass η m calculated from the theoretically deposited masses and the actual layer weight on the electrodes are shown in Table 4.
Without the use of additives, high possible deposition currents and, in combination with Figure 5, the best deposition conditions are shown. Electrode (a) indicates the incorporation of sulphate ions into the layer, while reaching a high efficiency by mass, but lower thickness. The chloride-based electrolyte (b) matches the expectations best and leads to the assumptions that both high iron content as well as high plating efficiencies are achieved for operation at room temperature.
If organic acids are added, the overall efficiencies are reduced due to lower possible operational current densities and longer deposition times. The electrolytes with glycine and lactic acid (d) show significantly higher layer thicknesses than expected (110 μ m ) with a lower total mass at the same time, which indicates the incorporation of foreign substances.
Complexing agents not only change the chemical properties but also the deposition conditions. They are primarily used to improve the stability of the electrolyte so that the precipitation of iron hydroxides is prevented and the iron content remains unchanged. Predicted complexation structures can be viewed in [6] for selected substances. A higher overvoltage is required for decomplexation so that the free iron ion is deposited on the electrode. If the currents are too high, the complexes can be incorporated into the layer. The mode of action of the iron complexes is pH-dependent and needs to be investigated in more detail in the future.

4. Conclusions

With the simultaneous use of CV and EQCM, a powerful method could be used to establish the influence of different electrolytes in deposition and dissolution reactions from aqueous iron electrolytes in acidic milieu for the identification of suitable anolytes for AIRFB. The method permits the qualitative differentiation of various electrolytes by determining the coulombic efficiency, which would otherwise necessitate the execution of multiple experiments if one were to ascertain the efficiency through the use of conventional balances.
What could be newly shown is that the 0.8 M FeCl2 + 3 M NH4Cl-containing electrolyte has excellent deposition efficiencies of 87.1% at −1.2 V vs. Ag/AgCl (sat’d) at room temperature, and high current densities of 30 mA cm−2 are still possible; additionally, plating efficiencies were achieved by mass of 96.1%. pH regulating equipment is indispensable without further additives for an AIRFB.
Light-coloured metallic layers could be deposited with the selected chloride-based electrolyte at room temperature. Higher internal stresses were observed than in the sulphate electrolyte, but the advantages of faster iron deposition and higher current densities were demonstrated. The incorporation of organic substances was demonstrated by long-term deposition with an impact on kinetics.
The advantages of the electrolytes with the use of a supporting electrolyte become clear, which both increase the charge quantities involved and significantly improve the efficiency of the depositions, especially for chloride-based electrolytes. A pH > 3.0 is needed for a lower HER and better plating results for ambient temperatures. In addition, the influence of complexing agents shows a supposedly higher tendency to HER/side reactions and indicates the incorporation of the complexing agents in the iron layers, e.g., glycine and malic acid. The use of complexing agents reduces the quality of the iron layers in long-term deposition test and limits the currents for the battery.
Other complexing agents, buffering agents and further additives in the electrolytes that have less influence on the kinetic properties of iron deposition should be analysed in future investigations.

Author Contributions

Data curation, methodology, resources, software, supervision, writing—review and editing: A.B.; conceptualization, methodology, project administration, resources, supervision, validation, writing—review and editing: M.S. and C.B.; data curation, formal analysis, investigation, project administration, validation, visualization, writing—original draft preparation,: M.E. All authors have read and agreed to the published version of the manuscript.

Funding

This research received no external funding.

Institutional Review Board Statement

Not applicable.

Informed Consent Statement

Not applicable.

Data Availability Statement

The original contributions presented in this study are included in the article. The raw data supporting the conclusions of this article will be made available by the authors on request. Further inquiries can be directed to the corresponding author.

Conflicts of Interest

The authors declare no conflicts of interest.

Abbreviations

The following abbreviations are used in this manuscript:
AIRFBAll-iron redox-flow battery
CPChronopotentiometry
CVCyclic voltammetry
EQCMElectrochemical quartz crystal microbalance
HERHydrogen evolution reaction
p. a.pro analysi
RDERotating disc electrode
RFBRedox-flow battery
SHEStandard hydrogen electrode
VNAVector network analyser

References

  1. Soloveichik, G.L. Flow batteries: Current status and trends. Chem. Rev. 2015, 115, 11533–11558. [Google Scholar] [CrossRef] [PubMed]
  2. Dinesh, A.; Olivera, S.; Venkatesh, K.; Santosh, M.S.; Priya, M.G.; Inamuddin; Asiri, A.M.; Muralidhara, H.B. Iron-based flow batteries to store renewable energies. Environ. Chem. Lett. 2018, 16, 683–694. [Google Scholar] [CrossRef]
  3. Zhang, H.; Sun, C. Cost-effective iron-based aqueous redox flow batteries for large-scale energy storage application: A review. J. Power Sources 2021, 493, 229445. [Google Scholar] [CrossRef]
  4. Hamann, C.H.; Hamnett, A.; Vielstich, W. Electrochemistry, 2nd ed.; Wiley: Weinheim, Germany, 2007. [Google Scholar]
  5. Hruska, L.; Savinell, R. Investigation of factors affecting performance of the iron-redox battery. J. Electrochem. Soc. 1981, 128, 18. [Google Scholar] [CrossRef]
  6. Hawthorne, K.L.; Petek, T.J.; Miller, M.A.; Wainright, J.S.; Savinell, R.F. An investigation into factors affecting the iron plating reaction for an all-iron flow battery. J. Electrochem. Soc. 2014, 162, A108. [Google Scholar] [CrossRef]
  7. Hawthorne, K.L.; Wainright, J.S.; Savinell, R.F. Studies of iron-ligand complexes for an all-iron flow battery application. J. Electrochem. Soc. 2014, 161, A1662. [Google Scholar] [CrossRef]
  8. Jayathilake, B.; Plichta, E.; Hendrickson, M.; Narayanan, S. Improvements to the coulombic efficiency of the iron electrode for an all-iron redox-flow battery. J. Electrochem. Soc. 2018, 165, A1630. [Google Scholar] [CrossRef]
  9. Izaki, M. Electrodeposition of iron and iron alloys. In Modern Eelectroplating, 5th ed.; Schlesinger, M., Paunovic, M., Eds.; The ECS Series of Texts and Monographs v.52; John Wiley & Sons, Inc.: Hoboken, NJ, USA, 2011; pp. 309–326. [Google Scholar] [CrossRef]
  10. Unruh, J.N.M. Spezielle Galvanotechnik, 1st ed.; Lehrbuchreihe Galvanotechnik, Leuze Verlag: Bad Saulgau, Germany, 2017. [Google Scholar] [CrossRef]
  11. Lorenz, W.; Vilche, J. Zur Kinetik der anodischen Eisenauflösung im neutralen Medium. Corros. Sci. 1972, 12, 785–798. [Google Scholar] [CrossRef]
  12. Bockris, J.; Drazic, D.; Despic, A. The electrode kinetics of the deposition and dissolution of iron. Electrochim. Acta 1961, 4, 325–361. [Google Scholar] [CrossRef]
  13. Harty, S.; McGeough, J.; Tulloch, R. A review of the electroforming of iron and iron-nickel alloy. Surf. Technol. 1981, 12, 39–55. [Google Scholar] [CrossRef]
  14. Sauerbrey, G. Verwendung von Schwingquarzen zur Wägung dünner Schichten und zur Mikrowägung. Z. Für Phys. 1959, 155, 206–222. [Google Scholar] [CrossRef]
  15. Bard, A.J.; Faulkner, L.R.; White, H.S. Electrochemical Methods: Fundamentals and Applications, 3rd ed.; Wiley: Hoboken, NJ, USA, 2022. [Google Scholar]
  16. DIN 50957-1:2016-02; Testing of Electrolytes Used for Electro-Deposited Metallic Coatings—Test Involving Electro-Deposition—Part 1: Standard Hull Cell. DIN Deutsches Institut für Normung e.V.: Berlin, Germany, 2016.
  17. Horányi, G. Investigation of the specific adsorption of HSO4 (SO42−) and Cl ions on Co and Fe by radiotracer technique in the course of corrosion of the metals in perchlorate media. Corros. Sci. 2004, 46, 1741–1749. [Google Scholar] [CrossRef]
Figure 1. CV measurement data and EQCM data for representing total current density j t o t (solid lines) and partial current density for iron deposition j F e (dashed lines) of sulphate-based (pH = 3.4) and chloride-based (pH = 3.5) electrolyte.
Figure 1. CV measurement data and EQCM data for representing total current density j t o t (solid lines) and partial current density for iron deposition j F e (dashed lines) of sulphate-based (pH = 3.4) and chloride-based (pH = 3.5) electrolyte.
J 07 00034 g001
Figure 2. CV and EQCM data as total (solid lines) and partial current density (dashed lines) for iron deposition for (a) 0.8 M FeCl2 electrolyte with adjusted pH values of 1.5 and 3.5 and (b) for a 0.8 M FeSO4 + 3 M NH4Cl + 1 M glycine electrolyte with adjusted pH values of 1.5 and 4.5.
Figure 2. CV and EQCM data as total (solid lines) and partial current density (dashed lines) for iron deposition for (a) 0.8 M FeCl2 electrolyte with adjusted pH values of 1.5 and 3.5 and (b) for a 0.8 M FeSO4 + 3 M NH4Cl + 1 M glycine electrolyte with adjusted pH values of 1.5 and 4.5.
J 07 00034 g002
Figure 3. CV measurement data influence of (a) supporting electrolyte and (b) different complexing agents and lactic acid as buffering agent in chloride-based electrolytes at pH 3.5. Arrows added to identify sweep paths forwards and backwards to indicate the initial deposition branch.
Figure 3. CV measurement data influence of (a) supporting electrolyte and (b) different complexing agents and lactic acid as buffering agent in chloride-based electrolytes at pH 3.5. Arrows added to identify sweep paths forwards and backwards to indicate the initial deposition branch.
J 07 00034 g003
Figure 4. (a) Massogram for deposition and stripping behaviour on EQCM and (b) deposition efficiencies of selected electrolytes for backward scan direction in reduction sweep. Chloride-based electrolytes pH is 3.5. Anolyte consisting of 0.8 M corresponding iron salt and 3 M NH4Cl. Arrows added to indicate forward and backward scan to indicate direction of deposition and stripping.
Figure 4. (a) Massogram for deposition and stripping behaviour on EQCM and (b) deposition efficiencies of selected electrolytes for backward scan direction in reduction sweep. Chloride-based electrolytes pH is 3.5. Anolyte consisting of 0.8 M corresponding iron salt and 3 M NH4Cl. Arrows added to indicate forward and backward scan to indicate direction of deposition and stripping.
J 07 00034 g004
Figure 5. Stainless-steel electrodes after long-term plating and drying: (a) 0.8 M FeSO4 + 1.5 M (NH4)2SO4, (b) 0.8 M FeCl2 + 3 M NH4Cl, (c) 0.8 M FeCl2 + 3 M NH4Cl + 1 M lactid acid and (d) 0.8 M FeCl2 + 3 M NH4Cl + 1 M glycine + 1 M lactic acid.
Figure 5. Stainless-steel electrodes after long-term plating and drying: (a) 0.8 M FeSO4 + 1.5 M (NH4)2SO4, (b) 0.8 M FeCl2 + 3 M NH4Cl, (c) 0.8 M FeCl2 + 3 M NH4Cl + 1 M lactid acid and (d) 0.8 M FeCl2 + 3 M NH4Cl + 1 M glycine + 1 M lactic acid.
J 07 00034 g005
Table 1. Exchange current densities j 0 (CV), electrical conductivity σ (conductivity measurement), and diffusion coefficient (RDE) for ferrous iron (D(Fe2+)) of used electrolytes.
Table 1. Exchange current densities j 0 (CV), electrical conductivity σ (conductivity measurement), and diffusion coefficient (RDE) for ferrous iron (D(Fe2+)) of used electrolytes.
ElectrolytepH j 0 [mA cm−2] σ [mS cm−1] D ( Fe 2 + ) [ 10 6 cm−2 s−1]
(a)0.8 M FeSO43.200.02233.43.95
(b)0.8 M FeSO4 + 1.5M (NH4)2SO43.400.043126.9N/A
(c)0.8 M FeCl23.500.02592.1N/A
(d)0.8 M FeCl2 + 3 M NH4Cl3.500.018279.05.72
Table 2. Kinetic parameters of the used chloride-based electrolytes influenced by complexing agents from CV measurements.
Table 2. Kinetic parameters of the used chloride-based electrolytes influenced by complexing agents from CV measurements.
ElectrolytepH j 0 [mA cm−2] σ [mS cm−1]
(a)0.8 M FeCl2 + 3 M NH4Cl3.500.018279.0
(b)0.8 M FeCl2 + 3 M NH4Cl + 1 M glycine3.500.029183.2
(c)0.8 M FeCl2 + 3 M NH4Cl + 1 M malonic acid3.500.069257.0
(d)0.8 M FeCl2 + 3 M NH4Cl + 1 M malic acid3.500.034221.0
(e)0.8 M FeCl2 + 3 M NH4Cl + 1 M glycerol3.500.004217.0
(f)0.8 M FeCl2 + 3 M NH4Cl + 1 M glycine + 1 M lactic acid3.500.021194.5
Table 3. Charge analysis from CV and EQCM measurements for sulphate-based and chloride-based electrolytes. Coulombic efficiency calculated charges of reduction and oxidation sweep for separate currents, which means η C , j t o t for total current and η C , j F e for partial iron current. η C , r e d and η C , o x put the charges from total and partial currents in the reduction and oxidation sweep into relation, respectively.
Table 3. Charge analysis from CV and EQCM measurements for sulphate-based and chloride-based electrolytes. Coulombic efficiency calculated charges of reduction and oxidation sweep for separate currents, which means η C , j t o t for total current and η C , j F e for partial iron current. η C , r e d and η C , o x put the charges from total and partial currents in the reduction and oxidation sweep into relation, respectively.
ElectrolytepH Q red , j tot Q ox , j tot Q red , j Fe Q ox , j Fe η C , j tot η C , j Fe η C , red η C , ox
[mC cm−2][mC cm−2][mC cm−2][mC cm−2]%%%%
Sulphate-based electrolytes
0.8 M FeSO43.20560.7447.1465.6447.679.896.183.0100.1
0.8 M FeSO4 + 1.5 M (NH4)2SO43.40796.4673.5656.5611.684.693.282.490.8
0.8 M FeSO4 + 3 M NH4Cl3.201145.51000.7907.0879.787.497.079.287.9
0.8 M FeSO4 + 3 M NH4Cl2 + 1 M glycine1.501522.2180.3190.3184.511.996.912.5102.3
0.8 M FeSO4 + 3 M NH4Cl + 1 M glycine3.501044.6431.5481.4481.841.3100.146.1111.7
0.8 M FeSO4 + 3 M NH4Cl2 + 1 M glycine4.50605.6469.8500.9468.577.693.582.799.7
Chloride-based electrolytes
0.8 M FeCl21.50285.3186.2170.1174.965.3102.959.693.9
0.8 M FeCl23.50673.6652.6468.7467.796.999.869.671.7
0.8 M FeCl2 + 3 M NH4Cl3.501904.31523.81480.41458.880.098.577.795.7
0.8 M FeCl2 + 3 M NH4Cl + 1 M glycine3.501182.3619.8721.5720.952.499.961.0116.3
0.8 M FeCl2 + 3 M NH4Cl + 1 M malonic acid3.50341.490.774.675.726.6101.521.883.5
0.8 M FeCl2 + 3 M NH4Cl + 1 M malic acid3.50225.068.990.792.730.6102.340.3134.7
0.8 M FeCl2 + 3 M NH4Cl + 1 M glycerol3.50460.1397.2217.8218.186.3100.147.354.9
0.8 M FeCl2 + 3 M NH4Cl + 1 M glycine + 1 M lactic acid3.50765.3354.6306.1301.146.398.440.084.9
Table 4. Measurement data from long-term depositions using CP with electrolytes at a starting pH 3.50, exposing a load of 85 mAh / c m .
Table 4. Measurement data from long-term depositions using CP with electrolytes at a starting pH 3.50, exposing a load of 85 mAh / c m .
Electrolytej [mA cm−2] η m [%]
(a)0.8 M FeSO4 + 1.5 M (NH4)2SO430.095.2
(b)0.8 M FeCl2 + 3 M NH4Cl30.096.1
(c)0.8 M FeCl2 + 3 M NH4Cl + 1 M lactid acid14.065.6
(d)0.8 M FeCl2 + 3 M NH4Cl + 1 M lactid acid + 1 M glycine20.063.6
Disclaimer/Publisher’s Note: The statements, opinions and data contained in all publications are solely those of the individual author(s) and contributor(s) and not of MDPI and/or the editor(s). MDPI and/or the editor(s) disclaim responsibility for any injury to people or property resulting from any ideas, methods, instructions or products referred to in the content.

Share and Cite

MDPI and ACS Style

Engler, M.; Stich, M.; Baumer, C.; Bund, A. Investigating the Iron Plating and Stripping of Anolytes for All-Iron Redox-Flow Batteries. J 2024, 7, 571-583. https://doi.org/10.3390/j7040034

AMA Style

Engler M, Stich M, Baumer C, Bund A. Investigating the Iron Plating and Stripping of Anolytes for All-Iron Redox-Flow Batteries. J. 2024; 7(4):571-583. https://doi.org/10.3390/j7040034

Chicago/Turabian Style

Engler, Marius, Michael Stich, Christoph Baumer, and Andreas Bund. 2024. "Investigating the Iron Plating and Stripping of Anolytes for All-Iron Redox-Flow Batteries" J 7, no. 4: 571-583. https://doi.org/10.3390/j7040034

APA Style

Engler, M., Stich, M., Baumer, C., & Bund, A. (2024). Investigating the Iron Plating and Stripping of Anolytes for All-Iron Redox-Flow Batteries. J, 7(4), 571-583. https://doi.org/10.3390/j7040034

Article Metrics

Back to TopTop