Lignin Purification from Mild Alkaline Sugarcane Extract via Membrane Filtration
Abstract
1. Introduction
2. Materials and Methods
2.1. Sugarcane Bagasse Extract
2.2. Membrane Filtration Process
Impact of Different Parameters
2.3. Analytical Methods
3. Results and Discussion
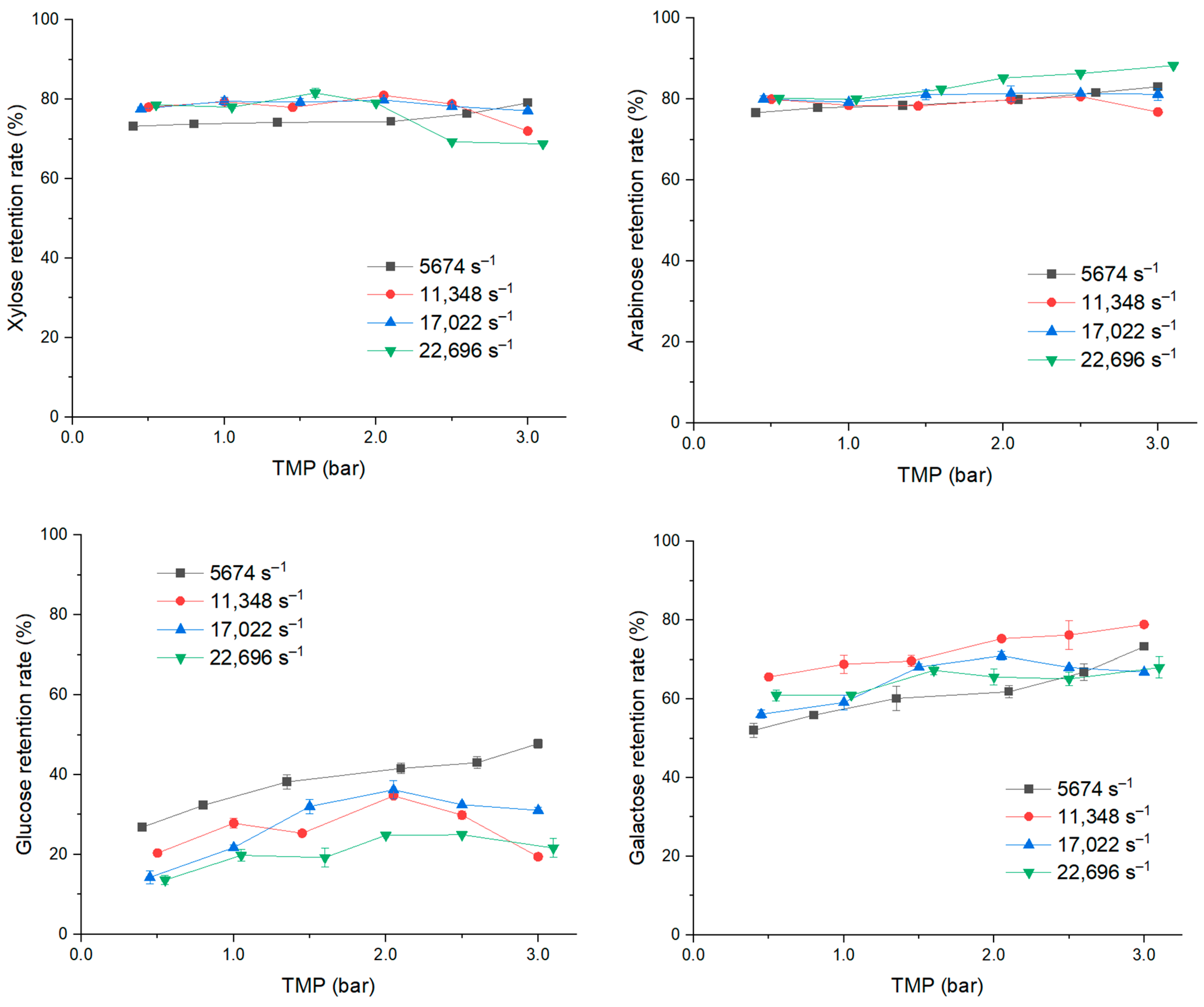
3.1. Impact of Operating Conditions
3.2. Impact of Membrane Molecular Weight Cut-Off (MWCO)
3.3. Impact of Membrane Material
4. Conclusions
Author Contributions
Funding
Data Availability Statement
Conflicts of Interest
References
- Zhang, L.; Larsson, A.; Moldin, A.; Edlund, U. Comparison of lignin distribution, structure, and morphology in wheat straw and wood. Ind. Crops Prod. 2022, 187, 115432. [Google Scholar] [CrossRef]
- Thakur, V.K.; Thakur, M.; Raghavan, P.; Kessler, M. Progress in Green Polymer Composites from Lignin for Multifunctional Applications: A Review. ACS Sustain. Chem. Eng. 2014, 2, 1072–1092. [Google Scholar] [CrossRef]
- Lobato-Peralta, D.R.; Duque-Brito, E.; Villafán-Vidales, H.I.; Longoria, A.; Sebastian, P.J.; Cuentas-Gallegos, A.K.; Arancibia-Bulnes, C.A.; Okoye, P.U. A review on trends in lignin extraction and valorization of lignocellulosic biomass for energy applications. J. Clean. Prod. 2021, 293, 126123. [Google Scholar] [CrossRef]
- Bajpai, P. Carbon Fibre from Lignin; Springer: Berlin/Heidelberg, Germany, 2017. [Google Scholar]
- Weil, J.; Westgate, P.; Kohlmann, K.; Ladisch, M.R. Cellulose pretreatments of lignocellulosic substrates. Enzym. Microb Technol. 1994, 16, 1002–1004. [Google Scholar] [CrossRef] [PubMed]
- Oriez, V.; Peydecastaing, J.; Pontalier, P.-Y. Separation of sugarcane bagasse mild alkaline extract components by ultrafiltration—Membrane screening and effect of filtration parameters. Process Biochem. 2019, 78, 91–99. [Google Scholar] [CrossRef]
- Jönsson, A.-S. 5—Membranes for lignin and hemicellulose recovery in pulp mills. In Membrane Technologies for Biorefining; Elsevier: Amsterdam, The Netherlands, 2016; pp. 105–133. [Google Scholar]
- Ropponen, J.; Räsänen, L.; Rovio, S.; Ohra-aho, T.; Liitiä, T.; Mikkonen, H.; van de Pas, D.; Tamminen, T. Solvent extraction as a means of preparing homogeneous lignin fractions: 11th EWLP, Hamburg, Germany, 16–19 August 2010. Holzforschung 2011, 65, 543–549. [Google Scholar] [CrossRef]
- Hidayati, S.; Satyajaya, W.; Fudholi, A. Lignin isolation from black liquor from oil palm empty fruit bunch using acid. J. Mater. Res. Technol. 2020, 9, 11382–11391. [Google Scholar] [CrossRef]
- Toledano, A.; Serrano, L.; Garcia, A.; Mondragon, I.; Labidi, J. Comparative study of lignin fractionation by ultrafiltration and selective precipitation. Chem. Eng. J. 2010, 157, 93–99. [Google Scholar] [CrossRef]
- Arkell, A.; Olsson, J.; Wallberg, O. Process performance in lignin separation from softwood black liquor by membrane filtration. Chem. Eng. Res. Des. 2014, 92, 1792–1800. [Google Scholar] [CrossRef]
- Shao, L.; Zhang, X.; Chen, F.; Xu, F. Fast pyrolysis of Kraft lignins fractionated by ultrafiltration. J. Anal. Appl. Pyrolysis 2017, 128, 27–34. [Google Scholar] [CrossRef]
- Willför, S.; Sundberg, A.; Hemming, J.; Holmbom, B. Polysaccharides in some industrially important softwood species. Wood Sci. Technol. 2005, 39, 245–257. [Google Scholar] [CrossRef]
- Persson, T.; Jönsson, A.-S. Isolation of hemicelluloses by ultrafiltration of thermomechanical pulp mill process water—Influence of operating conditions. Chem. Eng. Res. Des. 2010, 88, 1548–1554. [Google Scholar] [CrossRef]
- Jönsson, A.-S.; Nordin, A.-K.; Wallberg, O. Concentration and purification of lignin in hardwood kraft pulping liquor by ultrafiltration and nanofiltration. Chem. Eng. Res. Des. 2008, 86, 1271–1280. [Google Scholar] [CrossRef]
- Tolbert, A.; Akinosho, H.; Khunsupat, R.; Naskar, A.; Ragauskas, A. Characterization and analysis of the molecular weight of lignin for biorefining studies. Biofuels Bioprod. Biorefining 2014, 8, 836–856. [Google Scholar] [CrossRef]
- Boussu, K.; Van der Bruggen, B.; Volodin, A.; Snauwaert, J.; Van Haesendonck, C.; Vandecasteele, C. Roughness and hydrophobicity studies of nanofiltration membranes using different modes of AFM. J. Colloid Interface Sci. 2005, 286, 632–638. [Google Scholar] [CrossRef]
- Tobias, P.; Ann-Sofi, J. Fouling of Ultrafiltration Membranes during Isolation of Hemicelluloses in the Forest Industry. Sch. Res. Exch. 2009, 11, 624012. [Google Scholar] [CrossRef]
- Maartens, A.; Jacobs, E.P.; Swart, P. UF of pulp and paper effluent: Membrane fouling-prevention and cleaning. J. Membr. Sci. 2002, 209, 81–92. [Google Scholar] [CrossRef]
- Puro, L.; Tanninen, J.; Nyström, M. Analyses of organic foulants in membranes fouled by pulp and paper mill effluent using solid-liquid extraction. Desalination 2002, 143, 1–9. [Google Scholar] [CrossRef]
- Li, J.; Sanderson, R.D.; Hallbauer, D.K.; Hallbauer-Zadorozhnaya, V.Y. Measurement and modelling of organic fouling deposition in ultrafiltration by ultrasonic transfer signals and reflections. Desalination 2002, 146, 177–185. [Google Scholar] [CrossRef]
- Sluiter, A.D.; Hames, B.; Ruiz, R.; Scarlata, C.; Sluiter, J.; Templeton, D. Determination of Sugars, Byproducts, and Degradation Products in Liquid Fraction Process Samples; Laboratory Analytical Procedure (LAP), National Renewable Energy Laboratory: Golden, CO, USA, 2006. [Google Scholar]
- Sluiter, A.; Hames, B.; Ruiz, R.; Scarlata, C.; Sluiter, J.; Templeton, D.; Crocker, D. Determination of Structural Carbohydrates and Lignin in Biomass; Laboratory Analytical Procedure (LAP), National Renewable Energy Laboratory: Golden, CO, USA, 2008. [Google Scholar]
- Singleton, V.L.; Rossi, J.A. Colorimetry of Total Phenolics with Phosphomolybdic-Phosphotungstic Acid Reagents. Am. J. Enol. Vitic. 1965, 16, 144–158. [Google Scholar] [CrossRef]
- Blatt, W.F.; Dravid, A.; Michaels, A.S.; Nelsen, L. Solute Polarization and Cake Formation in Membrane Ultrafiltration: Causes, Consequences, and Control Techniques. In Membrane Science and Technology: Industrial, Biological, and Waste Treatment Processes; Springer: Boston, MA, USA, 1970; pp. 47–97. [Google Scholar]
- Krawczyk, H.; Arkell, A.; Jönsson, A.-S. Membrane performance during ultrafiltration of a high-viscosity solution containing hemicelluloses from wheat bran. Sep. Purif. Technol. 2011, 83, 144–150. [Google Scholar] [CrossRef]
- Dahdouh, L.; Delalonde, M.; Ricci, J.; Ruiz, E.; Wisnewski, C. Influence of high shear rate on particles size, rheological behavior and fouling propensity of fruit juices during crossflow microfiltration: Case of orange juice. Innov. Food Sci. Emerg. Technol. 2018, 48, 304–312. [Google Scholar] [CrossRef]

















| Components | SCB | Extract | 
|---|---|---|
| Composition (%) | Concentration (g L−1) | |
| Dry solid | 91.8 | |
| Ash | 5.0 | |
| Glucose | 38.8 | 0.06 | 
| Xylose | 19.5 | 1.98 | 
| Arabinose | 1.5 | 0.50 | 
| Galactose | 0.3 | 0.10 | 
| Acid-insoluble lignin (AIL) | 21.3 | 6.95 | 
| Acid-soluble lignin (ASL) | 6.0 | 2.91 | 
| p-coumaric acid (p-CA) | 1.22 | |
| Ferulic acid | 0.13 | |
| 4-hydroxybenzaldehyde (4HDBA) | 0.02 | |
| Vanillin | 0.03 | |
| Total phenolic compounds (TPC) | 2.75 | 
| Material | Polyethersulfone (PES) | Polysulfone (PS) | |
|---|---|---|---|
| Molecular weight cut-off (kDa) | 5 | 10 | 10 | 
| Area (cm2) | 850 | 850 | 2300 | 
| Number of fibers | 50 | 50 | 430 | 
| Channel inner diameter (mm) | 1 | 1 | 1.4 | 
| Initial water flux (L h−1 m−2 bar−1) at 20 °C | 40.7 | 47.5 | 92.7 | 
| PES 5 kDa | PES 10 kDa | PS 10 kDa | |||
|---|---|---|---|---|---|
| −1 | Re | −1 | Re | −1 | Re | 
| 2831 | 294.0 | 2831 | 294.0 | ||
| 5662 | 588.1 | 5662 | 588.1 | 5674 | 1155.1 | 
| 11,323 | 1176.1 | 11,323 | 1176.1 | 11,348 | 2310.3 | 
| 16,985 | 1764.2 | 16,985 | 1764.2 | 17,022 | 3456.4 | 
| 22,647 | 2352.3 | 22,696 | 4620.5 | ||
| Disclaimer/Publisher’s Note: The statements, opinions and data contained in all publications are solely those of the individual author(s) and contributor(s) and not of MDPI and/or the editor(s). MDPI and/or the editor(s) disclaim responsibility for any injury to people or property resulting from any ideas, methods, instructions or products referred to in the content. | 
© 2024 by the authors. Licensee MDPI, Basel, Switzerland. This article is an open access article distributed under the terms and conditions of the Creative Commons Attribution (CC BY) license (https://creativecommons.org/licenses/by/4.0/).
Share and Cite
Pham, N.T.-T.; Beaufils, N.; Peydecastaing, J.; Behra, P.; Pontalier, P.-Y. Lignin Purification from Mild Alkaline Sugarcane Extract via Membrane Filtration. Clean Technol. 2024, 6, 750-766. https://doi.org/10.3390/cleantechnol6020038
Pham NT-T, Beaufils N, Peydecastaing J, Behra P, Pontalier P-Y. Lignin Purification from Mild Alkaline Sugarcane Extract via Membrane Filtration. Clean Technologies. 2024; 6(2):750-766. https://doi.org/10.3390/cleantechnol6020038
Chicago/Turabian StylePham, Nga Thi-Thanh, Nicolas Beaufils, Jérôme Peydecastaing, Philippe Behra, and Pierre-Yves Pontalier. 2024. "Lignin Purification from Mild Alkaline Sugarcane Extract via Membrane Filtration" Clean Technologies 6, no. 2: 750-766. https://doi.org/10.3390/cleantechnol6020038
APA StylePham, N. T.-T., Beaufils, N., Peydecastaing, J., Behra, P., & Pontalier, P.-Y. (2024). Lignin Purification from Mild Alkaline Sugarcane Extract via Membrane Filtration. Clean Technologies, 6(2), 750-766. https://doi.org/10.3390/cleantechnol6020038
 
        



 
       