Sorption of 71 Pharmaceuticals to Powder Activated Carbon for Improved Wastewater Treatment
Abstract
:1. Introduction
2. Materials and Methods
2.1. Extraction and Chromatography
2.2. Data Analyses
2.3. Estimation of the Removal of Pharmaceuticals by Use of PAC
3. Results and Discussion
3.1. Sorption Isotherms
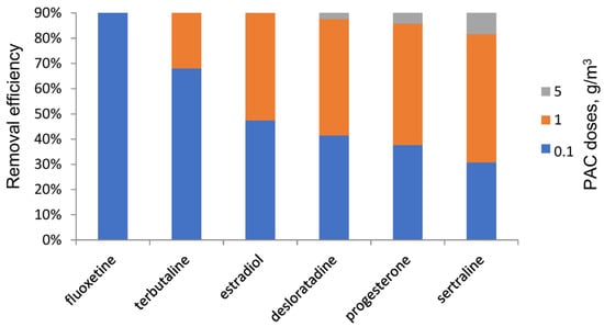
3.2. Removal of Pharmaceuticals by Use of PAC
4. Conclusions
Author Contributions
Funding
Institutional Review Board Statement
Data Availability Statement
Acknowledgments
Conflicts of Interest
References
- Herberer, T.; Reddersen, K.; Mechlinski, A. From municipal sewage to drinking water: Fate and removal of pharmaceutical residues in the aquatic environment in urban areas. Water Sci. Technol. 2002, 46, 81–88. [Google Scholar] [CrossRef] [Green Version]
- Ternes, T.; Meisenheimer, M.; McDowell, D.; Sacher, F.; Brauch, H.J.; Haist-Gulde, B.; Preuss, G.; Wilme, U.; Seibert, N.Z. Removal of Pharmaceuticals during drinking water treatment. Environ. Sci. Technol. 2002, 36, 3855–3863. [Google Scholar] [CrossRef]
- Andersen, H.R.; Siegrist, H.; Halling-Sørensen, B.; Ternes, T. Fate of esterogens in a municipal sewage treatment plant. Environ. Sci. Technol. 2003, 37, 4021–4026. [Google Scholar] [CrossRef]
- Falås, P.; Andersen, H.R.; Ledin, A.; la Cour Jansen, J. Occurrence and reduction of pharmaceuticals in water phase at Swedish wastewater treatment plants. Water Sci. Technol. 2012, 66, 783–791. [Google Scholar] [CrossRef]
- Petrović, M.; Škrbić, B.; Živančev, J.; Ferrando-Climent, L.; Barcelo, D. Determination of 81 pharmaceutical drugs by high performance liquid chromatography coupled to mass spectrometry with hybrid triple quadrupole–linear ion trap in different types of water in Serbia. Sci. Total Environ. 2014, 468–469, 415–428. [Google Scholar] [CrossRef]
- Jelic, A.; Gros, M.; Ginebreda, A.; Cespedes-Sánchez, R.; Ventura, F.; Petrovic, M.; Barcelo, D. Occurrence, partition and removal of pharmaceuticals in sewage water and sludge during wastewater treatment. Water Res. 2011, 45, 1165–1176. [Google Scholar] [CrossRef]
- Hörsing, M.; Ledin, A.; Grabic, R.; Fick, J.; Tysklind, M.; la Cour Jansen, J.; Andersen, H.R. Determination of sorption of seventy-five pharmaceutivals in sewage sludge. Water Res. 2011, 45, 4470–4482. [Google Scholar] [CrossRef] [PubMed] [Green Version]
- Falås, P.; Baillon-Dhumez, A.; Andersen, H.R.; Ledin, A.; la Cour Jansen, J. Suspended biofilm carrier and activated sludge removal of acidic pharmaceuticals. Water Res. 2012, 46, 1167–1175. [Google Scholar] [CrossRef] [PubMed]
- Huber, M.M.; Ternes, T.A.; von Gunten, U. Removal of Estrogenic Activity and Formation of Oxidation Products during Ozonation of 17r-Ethinylestradiol. Environ. Sci. Technol. 2004, 38, 5177–5186. [Google Scholar] [CrossRef] [PubMed]
- Hey, G.; Grabic, R.; Ledin, A.; la Cour Jansen, J.; Andersen, H.R. Oxidation of pharmaceuticals by chlorine dioxide in biologically treated wastewater. Chem. Eng. J. 2012, 185–186, 236–242. [Google Scholar] [CrossRef] [Green Version]
- Hey, G.; Ledin, A.; la Cour Jansen, J.; Andersen, H.R. Removal of pharmaceuticals in biologically treated wastewater by chlorine dioxide or peracetic acid. Environ. Technol. 2012, 33, 1041–1047. [Google Scholar] [CrossRef] [PubMed]
- Yu, Z.; Peldszus, S.; Huck, P.M. Adsorption of selected pharmaceuticals and an endocrine disrupting compound by granular activated carbon. 2. Model prediction. Environ. Sci. Technol. 2009, 43, 1474–1479. [Google Scholar] [CrossRef] [PubMed]
- Westerhoff, P.; Yoon, Y.; Snyder, S.; Wert, E. Fate of endocrine-disrupter, pharmaceuticals and personal care product chemicals during simulated drinking water treatment process. Environ. Sci. Technol. 2005, 39, 6649–6663. [Google Scholar] [CrossRef]
- Bolong, N.; Ismail, A.F.; Salim, M.R.; Matsuura, T. A review of the effects of emerging contaminants in wastewater and options for their removal. Desalination 2009, 239, 229–246. [Google Scholar] [CrossRef]
- Yu, Q.; Zhang, R.; Deng, S.H.J.; Yu, G. Sorption of perfluorooctane sulfonate and perfluorooctanoate on activated carbons and resin: Kinetik and isotherm study. Water Res. 2009, 43, 1150–1158. [Google Scholar] [CrossRef]
- Andersen, H.R.; Hansen, M.; Kjølholt, J.; Stuer-Lauridsen, F.; Ternes, T.; Halling-Sørensen, B. Assessment of the importance of sorption for steroid estrogens removal during activated sludge treatment. Chemosphere 2005, 6, 139–146. [Google Scholar] [CrossRef]
- Margot, J.; Kienle, C.; Magnet, A.; Weil, M.; Rossi, L.; de Alencastro, L.F.; Abegglen, C.; Thonney, D.; Chèvre, N.; Schärer, M.; et al. Treatment of micropollutants in municipal wastewater: Ozone or powdered activated carbon? Sci. Total Environ. 2013, 461–462, 480–498. [Google Scholar] [CrossRef]
- Altmann, J.; Ruhl, A.S.; Zietzschmann, F.; Jekel, M. Direct comparison of ozonation and adsorption onto powdered activated carbon for micropollutant removal in advanced wastewater treatment. Water Res. 2014, 55, 185–193. [Google Scholar] [CrossRef] [PubMed]
- Choi, K.J.; Kim, S.G.; Kom, C.W.; Park, J.K. Removal efficiencies of endocrine disrupting chemicals by coagulation/flocculation, ozonation, powdered/granular activated carbon adsorption, and chlorination. J. Chem. Eng. 2006, 23, 399–408. [Google Scholar] [CrossRef]
- Grabic, R.; Fick, J.; Lindberg, R.H.; Fedorova, G.; Tysklind, M. Multi-residue method for trace level determination of pharmaceuticals in environmental samples using liquid chromatography coupled to triple quadrupole mass spectrometry. Talanta 2012, 100, 183–195. [Google Scholar] [CrossRef] [PubMed]
- Schwazenbach, R.P.; Gschwend, P.M.; Imboden, D.M. Environmental Organic Chemistry; Wiley & Sons, Inc.: Hoboken, NJ, USA, 2003; 1313p. [Google Scholar]
- EU. Consolidated Text: Directive 2000/60/EC of the European Parliament and of the Council of 23 October 2000 Establishing a Framework for Community Action in the Field of Water Policy. 2014. Available online: https://eur-lex.europa.eu/legal-content/EN/TXT/?uri=CELEX%3A02000L0060-20141120 (accessed on 7 March 2022).
- Bahlmann, A.; Brack, W.; Schneider, R.J.; Krauss, M. Carbamazepine and its metabolites in wastewater: Analytical pitfalls and occurrence in Germany and Portuga. Water Res. 2014, 57, 104–114. [Google Scholar] [CrossRef]
- Rodayan, A.; Majewsky, M.; Yargeau, V. Impact of approach used to determine removal levels of drugs of abuse during wastewater treatment. Sci. Total Environ. 2014, 487, 731–739. [Google Scholar] [CrossRef] [Green Version]
- Pessoa, G.P.; de Souza, N.C.; Vidal, C.B.; Alves, J.A.C.; Firmino, P.I.M.; Nascimento, R.F.; dos Santos, A.B. Occurrence and removal of estrogens in Brazilian wastewater treatment plants. Sci. Total Environ. 2014, 490, 288–295. [Google Scholar] [CrossRef]
- Abegglen, C.; Siegrist, H. Mikroverunreinigungen aus Kommunalem Abwasser. Verfahren zur Weitergehenden Elimination auf Kläranlagen; Bundesamt für Umwelt: Bern, Switzerland, 2012; Umwelt-Wissen Nr.1214: 210 S; Available online: https://www.bafu.admin.ch/bafu/de/home/themen/wasser/publikationen-studien/publikationen-wasser/mikroverunreinigungen-aus-kommunalem-abwasser.html (accessed on 7 March 2022).
- Loos, R.; Carvalho, R.; António, D.C.; Comero, S.; Locoro, G.; Tavazzi, S.; Paracchini, B.; Ghiani, M.; Lettieri, T.; Blaha, L.; et al. EU-wide monitoring survey on emerging polar organic contaminants in wastewater treatment plant effluents. Water Res. 2013, 47, 6475–6487. [Google Scholar] [CrossRef]
- Al Aukidy, M.; Verlicchi, P.; Jelic, A.; Petrovic, M.; Barcelò, D. Monitoring release of pharmaceutical compounds: Occurrence and environmental risk assessment of two WWTP effluents and their receiving bodies in the Po Valley, Italy. Sci. Total Environ. 2012, 438, 15–25. [Google Scholar] [CrossRef] [PubMed]
- Kosma, C.I.; Lambropoulou, D.A.; Albanis, T.A. Investigation of PPCPs in wastewater treatment plants in Greece: Occurrence, removal and environmental risk assessment. Sci. Total Environ. 2014, 466–467, 421–438. [Google Scholar] [CrossRef] [PubMed]
- Kostich, M.S.; Batt, A.L.; Lazorchak, J.M. Concentrations of prioritized pharmaceuticals in effluents from 50 large wastewater treatment plants in the US and implications for risk estimation. Environ. Pollut. 2014, 184, 354–359. [Google Scholar] [CrossRef] [PubMed]
- Lajeunesse, A.; Smyth, S.A.; Barclay, K.; Sauvé, S.; Gagnon, C. Distribution of antidepressant residues in wastewater and biosolids following different treatment processes by municipal wastewater treatment plants in Canada. Water Res. 2012, 46, 5600–5612. [Google Scholar] [CrossRef] [PubMed]
- Manickum, T.; John, W. Occurrence, fate and environmental risk assessment of endocrine disrupting compounds at the wastewater treatment works in Pietermaritzburg (South Africa). Sci. Total Environ. 2014, 468–469, 584–597. [Google Scholar] [CrossRef]
- Snyder, S.A.; Adham, S.; Redding, A.M.; Cannon, F.S. Role of membranes and activated carbon in the removal of endocrine disruptors and pharmaceuticals. Desalination 2007, 202, 156–181. [Google Scholar] [CrossRef]



| Types of Test Bottles | PAC Conc. (g/L) | Pharmaceutical Conc. (µg/L) |
|---|---|---|
| Blank | 0.01 | 0 |
| Control | 0 | 0.08, 0.4, 2, 10 |
| PAC 10 | 0.01 | 0.08, 0.4, 2, 10 |
| Linear * Isotherm | Freundlich Isotherm | Langmuir Isotherm | ||||||||
|---|---|---|---|---|---|---|---|---|---|---|
| Substance | Kd (L/g) | R² (%) | Kf (L/g) | n | R² (%) | p Value (%) | τMAX (L/g) | KL | R² (%) | p Value (%) |
| Alfuzosin | 5440 ** | 96.8 | 6.82 × 103 | 1.04 | 96.8 | 60.9 | 9.47 × 106 | 6.46 × 10−4 | 96.9 | 51.2 |
| Alprazolam | 406 | 79.0 | 8.27 × 104 | 3.53 | 94.4 | 6.31 | 6.91 × 105 | 2.74 × 10−2 | 94.4 | 6.35 |
| Amitryptiline | 482 | 85.3 | 4.54 × 104 | 2.45 | 96.2 | <0.01 | 1.18 × 106 | 5.60 × 10−3 | 95.6 | <0.01 |
| Atenolol | no fit | 1.14 × 105 | 8.88 | 75.7 | <0.01 | no fit | ||||
| Atracurium | 340 | 82.1 | 4.34 × 104 | 3.09 | 95.7 | <0.01 | 4.49 × 105 | 3.33 × 10−2 | 95.6 | <0.01 |
| Azelastine | 1730 | 88.3 | 2.23 × 104 | 1.67 | 94.1 | 0.16 | 1.41 × 106 | 4.56 × 10−3 | 93.8 | 0.25 |
| Biperiden | 309 | 85.0 | 5.63 × 104 | 2.82 | 97.0 | <0.01 | 1.00 × 106 | 9.13 × 10−3 | 97.4 | <0.01 |
| Bisoprolol | no fit | 7.86 × 104 | 3.78 | 93.3 | <0.01 | 6.69 × 105 | 1.61 × 10−2 | 89.3 | 0.07 | |
| Buprenorphin | 670 | 90.3 | 3.46 × 104 | 2.20 | 96.8 | 0.07 | 9.82 × 105 | 9.74 × 10−3 | 97.7 | 0.01 |
| Bupropion | no fit | 8.09 × 104 | 3.92 | 96.0 | <0.01 | 6.45 × 105 | 1.97 × 10−2 | 94.7 | <0.01 | |
| Carbamazepin | no fit | 6.80 × 104 | 3.07 | 99.8 | <0.01 | no fit | ||||
| Chloprothixen | 2830 | 94.6 | 1.05 × 104 | 1.30 | 96.0 | 3.06 | 1.69 × 106 | 3.42 × 10−3 | 96.1 | 2.33 |
| Chlorpromazine | 6890 | 94.9 | 2.66 × 104 | 1.33 | 96.5 | 2.4 | 2.75 × 106 | 5.76 × 10−3 | 97.2 | 0.41 |
| Cilazapril | 265 | 72.4 | 9.72 × 104 | 3.72 | 97.7 | <0.01 | 8.56 × 105 | 2.30 × 10−2 | 98.0 | <0.01 |
| Citaprolam | no fit | 4.87 × 104 | 3.27 | 92.6 | <0.01 | 5.19 × 105 | 1.25 × 10−2 | 87.3 | 0.07 | |
| Clemastine | 763 | 89.8 | 2.52 × 104 | 1.99 | 96.3 | <0.01 | 9.81 × 105 | 6.56 × 10−3 | 97.1 | <0.01 |
| Clomipramine | 1050 | 91.2 | 2.37 × 104 | 1.87 | 96.7 | <0.01 | 1.04 × 106 | 6.01 × 10−3 | 96.7 | <0.01 |
| Clonazepam | 548 | 80.3 | 7.31 × 104 | 2.97 | 97.4 | <0.01 | 9.03 × 105 | 1.78 × 10−2 | 97.0 | 0.02 |
| Clotrimazol | 1600 | 92.0 | 1.55 × 104 | 1.55 | 95.3 | 0.39 | 1.35 × 106 | 4.30 × 10−3 | 95.9 | 0.13 |
| Codeine | no fit | 4.44 × 104 | 3.23 | 97.0 | <0.01 | 4.92 × 105 | 1.06 × 10−2 | 94.7 | 0.01 | |
| Cyproheptadine | 422 | 81.8 | 4.59 × 104 | 2.50 | 95.3 | <0.01 | 1.13 × 106 | 4.89 × 10−3 | 94.3 | <0.01 |
| Desloratidin | 522 | 88.7 | 3.56 × 104 | 2.32 | 97.0 | <0.01 | 9.34 × 105 | 7.58 × 10−3 | 97.1 | <0.01 |
| Diclofenac | 646 | 87.9 | 4.51 × 104 | 2.33 | 98.2 | 0.04 | 1.26 × 106 | 4.07 × 10−3 | 99.5 | <0.01 |
| Dicycloverin | 458 | 89.0 | 4.44 × 104 | 2.44 | 97.7 | <0.01 | 1.13 × 106 | 6.93 × 10−3 | 97.9 | <0.01 |
| Diltiazem | 382 | 75.4 | 5.10 × 104 | 3.03 | 92.9 | <0.01 | 5.83 × 105 | 2.33 × 10−3 | 91.7 | 0.02 |
| Diphenhydramin | 272 | 71.0 | 6.72 × 104 | 3.77 | 98.4 | <0.01 | 5.08 × 105 | 1.78 × 10−2 | 93.2 | 0.02 |
| Donepezil | 2880 | 92.1 | 1.47 × 104 | 1.42 | 95.1 | 0.68 | 1.25 × 106 | 5.53 × 10−3 | 95.0 | 0.86 |
| Duloxetin | 973 | 95.0 | 1.14 × 104 | 1.64 | 98.2 | 0.5 | 7.61 × 105 | 4.32 × 10−3 | 98.5 | 0.24 |
| Eprosartan | 376 | 81.2 | 7.87 × 104 | 3.22 | 97.2 | <0.01 | 8.96 × 105 | 1.88 × 10−2 | 97.9 | <0.01 |
| Estradiol | 1440 | 88.0 | 4.11 × 104 | 2.10 | 97.3 | 4.77 | 1.05 × 106 | 8.59 × 10−3 | 98.3 | 2.4 |
| Estrone | 424 | 91.3 | 9.03 × 103 | 1.69 | 95.6 | 18.7 | 1.07 × 106 | 1.49 × 10−3 | 97.0 | 9.98 |
| Fentanyl | 311 | 76.7 | 1.06 × 105 | 3.12 | 94.6 | <0.01 | 1.92 × 106 | 6.25 × 10−3 | 94.4 | <0.01 |
| Fexofenadine | 572 | 81.2 | 6.26 × 104 | 2.87 | 95.4 | 0.01 | 7.88 × 105 | 2.69 × 10−2 | 96.8 | <0.01 |
| Finasteride | 2430 | 94.1 | 1.70 × 104 | 1.48 | 97.8 | 3.44 | 1.70 × 106 | 3.39 × 10−3 | 98.3 | 1.65 |
| Flecainide | no fit | 6.88 × 104 | 3.58 | 93.0 | <0.01 | 6.61 × 105 | 1.43 × 10−2 | 89.6 | <0.01 | |
| Fluconazole | no fit | 7.35 × 104 | 3.50 | 96.1 | <0.01 | 7.66 × 105 | 1.22 × 10−2 | 95.6 | <0.01 | |
| Fluoxetin | 471 | 87.4 | 3.15 × 104 | 2.23 | 96.3 | <0.01 | 1.05 × 106 | 4.88 × 10−3 | 96.0 | 0.01 |
| Flutamid | 2230 | 84.8 | 7.07 × 104 | 2.26 | 96.3 | 5.49 | 1.26 × 106 | 1.39 × 10−2 | 97.7 | 2.61 |
| Glibenclamide | 7210 | 82.6 | 6.34 × 103 | 0.97 | 82.6 | 88.8 | 1.19 × 107 | 6.66 × 10−4 | 82.8 | 72.25 |
| Haloperidol | 2430 | 90.6 | 2.00 × 104 | 1.59 | 95.6 | 0.09 | 1.04 × 106 | 7.74 × 10−3 | 95.6 | 0.09 |
| Hydroxyzine | 351 | 80.4 | 4.00 × 104 | 2.74 | 94.1 | <0.01 | 6.33 × 105 | 1.22 × 10−2 | 93.3 | <0.01 |
| Ibersartan | 1600 | 89.9 | 7.04 × 104 | 2.29 | 96.6 | <0.01 | 1.38 × 106 | 2.18 × 10−2 | 98.0 | <0.01 |
| Ibuprofen | 310 | 84.5 | 9.27 × 103 | 1.91 | 91.3 | 2.56 | no fit | |||
| Levonogestrel | 529 | 89.9 | no fit | no fit | ||||||
| Loperamide | 1760 | 91.8 | 3.12 × 104 | 1.74 | 96.3 | 0.17 | 1.85 × 106 | 5.55 × 10−3 | 96.6 | 0.08 |
| Maprotilin | 440 | 86.9 | 3.08 × 104 | 2.36 | 95.6 | <0.01 | 7.54 × 105 | 7.88 × 10−3 | 95.3 | <0.01 |
| Megestrol | 1950 | 93.7 | 2.08 × 104 | 1.66 | 99.5 | 1.01 | 1.18 × 106 | 4.85 × 10−3 | 99.3 | 1.56 |
| Memantin | no fit | 4.52 × 104 | 3.83 | 97.4 | <0.01 | 4.38 × 105 | 4.81 × 10−3 | 98.0 | <0.01 | |
| Metoprolol | no fit | 8.21 × 104 | 3.94 | 97.9 | <0.01 | 6.04 × 105 | 1.84 × 10−2 | 93.4 | 0.11 | |
| Mianserin | 360 | 80.6 | 3.58 × 104 | 2.63 | 94.6 | <0.01 | 6.47 × 105 | 8.17 × 10−3 | 92.5 | 0.02 |
| Naloxon | no fit | 5.32 × 104 | 3.51 | 96.8 | <0.01 | 5.13 × 105 | 1.85 × 10−2 | 98.6 | <0.01 | |
| Nefazodon | 13,200 | 77.3 | 1.23 × 102 | 0.45 | 95.7 | <0.01 | ||||
| Orphenadrin | 374 | 85.9 | 5.28 × 104 | 2.74 | 97.3 | <0.01 | 9.37 × 105 | 1.13 × 10−2 | 98.1 | <0.01 |
| Oxazepam | 178 | 84.5 | no fit | no fit | ||||||
| Paroxetin | 1350 | 89.2 | 2.79 × 104 | 1.84 | 95.2 | 0.21 | 1.29 × 106 | 5.88 × 10−3 | 95.8 | 0.9 |
| Pizotifen | 419 | 85.6 | 3.33 × 104 | 2.40 | 96.2 | <0.01 | 8.20 × 105 | 7.04 × 10−3 | 96.1 | <0.01 |
| Progesteron | 6040 | 96.9 | 8.58 × 103 | 1.08 | 97.1 | 76.5 | 3.73 × 106 | 2.00 × 10−3 | 97.5 | 58.3 |
| Promethazin | 1120 | 91.7 | 3.75 × 104 | 2.10 | 96.6 | 0.33 | 9.93 × 105 | 1.38 × 10−2 | 97.4 | 0.08 |
| Repaglinide | 609 | 71 | 7.54 × 104 | 2.88 | 94.7 | 0.08 | 1.05 × 106 | 8.92 × 10−3 | 91.7 | 0.41 |
| Risperidone | 4220 | 94.6 | 1.15 × 104 | 1.24 | 95.7 | 5.4 | 1.99 × 106 | 3.57 × 10−3 | 95.7 | 5.58 |
| Roxithromycine | 799 | 88.3 | 2.99 × 104 | 2.11 | 96.0 | 0.13 | 8.80 × 105 | 8.19 × 10−3 | 97.1 | 0.02 |
| Sertraline | 1030 | 92.0 | 1.60 × 104 | 1.67 | 96.0 | 0.12 | 1.26 × 106 | 3.53 × 10−3 | 96.0 | 0.1 |
| Sotalol | no fit | 8.07 × 104 | 4.64 | 98.3 | <0.01 | 4.63 × 105 | 2.00 × 10−2 | 92.4 | 0.01 | |
| Sulfamethoxazol | 226 | 83.8 | 2.99 × 104 | 2.47 | 99.8 | 0.5 | 9.26 × 105 | 2.21 × 10−3 | 99.4 | 1.98 |
| Tamoxifen | 3550 | 94.1 | 1.05 × 103 | 0.81 | 95.6 | 5.25 | no fit | |||
| Terbutalin | no fit | 1.67 × 104 | 4.40 | 95.9 | <0.01 | 8.83 × 105 | 2.41 × 10−2 | 88.4 | <0.01 | |
| Tramadol | no fit | 6.56 × 104 | 3.87 | 95.7 | <0.01 | 5.59 × 105 | 1.89 × 10−2 | 97.3 | <0.01 | |
| Trihexyphenidyl | 264 | 82.9 | 5.86 × 104 | 3.02 | 96.8 | <0.01 | 8.70 × 105 | 1.15 × 10−2 | 97.5 | <0.01 |
| Venlafaxin | no fit | 1.13 × 105 | 5.59 | 96.7 | <0.01 | 5.11 × 105 | 2.09 × 10−2 | 82.9 | 0.02 | |
| Verapamil | 2120 | 94.2 | 1.32 × 104 | 1.44 | 97.2 | 0.29 | 1.42 × 106 | 3.63 × 10−3 | 97.6 | 0.1 |
| Zoldipem | 1160 | 87.5 | 5.38 × 104 | 2.34 | 96.4 | <0.01 | 1.01 × 106 | 1.90 × 10−2 | 97.2 | <0.01 |
| Conc: | 1–10 ng/L | 10–100 ng/L | 100–1000 ng/L |
| Preferred reduction | 0% | 90% | 99% |
| Pharmaceuticals | estrone | desloratadine | atenolol |
| glibenclamide | estradiol | carbamazepine | |
| risperidon | fluoxetine | codeine | |
| zoldipem | progesterone | citalopram | |
| sertraline terbutaline | diclofenac ibuprofen | ||
| atenolol | |||
| metoprolol | |||
| oxazepam | |||
| tramadol |
Publisher’s Note: MDPI stays neutral with regard to jurisdictional claims in published maps and institutional affiliations. |
© 2022 by the authors. Licensee MDPI, Basel, Switzerland. This article is an open access article distributed under the terms and conditions of the Creative Commons Attribution (CC BY) license (https://creativecommons.org/licenses/by/4.0/).
Share and Cite
Hörsing, M.; Andersen, H.R.; Grabic, R.; Jansen, J.l.C.; Ledin, A. Sorption of 71 Pharmaceuticals to Powder Activated Carbon for Improved Wastewater Treatment. Clean Technol. 2022, 4, 296-308. https://doi.org/10.3390/cleantechnol4020017
Hörsing M, Andersen HR, Grabic R, Jansen JlC, Ledin A. Sorption of 71 Pharmaceuticals to Powder Activated Carbon for Improved Wastewater Treatment. Clean Technologies. 2022; 4(2):296-308. https://doi.org/10.3390/cleantechnol4020017
Chicago/Turabian StyleHörsing, Maritha, Henrik Rasmus Andersen, Roman Grabic, Jes la Cour Jansen, and Anna Ledin. 2022. "Sorption of 71 Pharmaceuticals to Powder Activated Carbon for Improved Wastewater Treatment" Clean Technologies 4, no. 2: 296-308. https://doi.org/10.3390/cleantechnol4020017
APA StyleHörsing, M., Andersen, H. R., Grabic, R., Jansen, J. l. C., & Ledin, A. (2022). Sorption of 71 Pharmaceuticals to Powder Activated Carbon for Improved Wastewater Treatment. Clean Technologies, 4(2), 296-308. https://doi.org/10.3390/cleantechnol4020017

