Reshaping How We Think about Soil Security
Abstract
1. Introduction
1.1. The Emergence of Soil Security
1.2. Integral Soil Security
1.3. Assessment of Soil Security
1.4. Soil Security Assessment from a Soil Function Perspective
2. Case Study
2.1. Purpose
2.2. Data and Methods
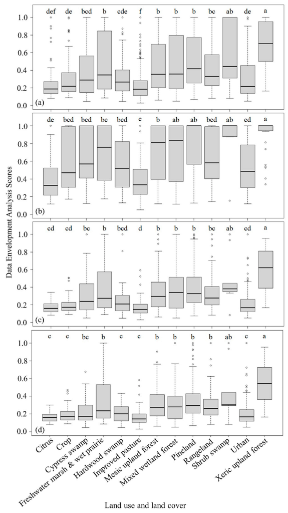
2.3. Results and Discussion
3. Conclusions: Prospects for Achieving Soil Security
Author Contributions
Funding
Institutional Review Board Statement
Informed Consent Statement
Data Availability Statement
Conflicts of Interest
References
- Tadanier, R.; Ingles, O.G. Soil Security Test for Water Retaining Structures. J. Geotech. Eng. 1985, 111, 289–301. [Google Scholar] [CrossRef]
- Mizuta, K.; Grunwald, S.; Cropper, W.P., Jr.; Bacon, A.R. Developmental History of Soil Concepts from a Scien-tific Perspective. Appl. Sci. J. 2021, 11, 4275. [Google Scholar] [CrossRef]
- Koch, A.; McBratney, A.; Adams, M.; Field, D.; Hill, R.; Crawford, J.; Minasny, B.; Lal, R.; Abbott, L.; O’Donnell, A.; et al. Soil Security: Solving the Global Soil Crisis. Glob. Policy 2013, 4, 434–441. [Google Scholar] [CrossRef]
- Bouma, J.; McBratney, A. Framing soils as an actor when dealing with wicked environmental problems. Geoderma 2013, 200–201, 130–139. [Google Scholar] [CrossRef]
- McBratney, A.B.; Minasny, B.; Wheeler, I.; Malone, B.P. Frameworks for Digital Soil Assessment. In Digital Soil Assessment and Beyond; Minasny, B., Malone, B.P., McBratney, A.B., Eds.; Taylor and Francis: London, UK, 2012; pp. 9–14. [Google Scholar]
- McBratney, A.; Field, D.J.; Koch, A. The dimensions of soil security. Geoderma 2014, 213, 203–213. [Google Scholar] [CrossRef]
- Field, D.J. Soil Security: Dimensions. In Global Soil Security; Field, D.J., Morgan, C.L.S., McBratney, A.B., Eds.; Springer: Cham, Switzerland, 2017; pp. 15–23. [Google Scholar]
- Mizuta, K.; Grunwald, S.; Phillips, M.A.; Cropper, W.C., Jr.; Lee, W.S.; Vasques, G.M. New Indication Method Using Pedo-Econometric Approach. Data Envel. Anal. J. 2019, 4, 207–241. [Google Scholar] [CrossRef]
- Minami, K. Soil and humanity: Culture, civilization, livelihood and health. Soil Sci. Plant Nutr. 2009, 55, 603–615. [Google Scholar] [CrossRef]
- Thompson, P.B. The Spirit of the Soil: Agriculture and Environmental Ethics; Routledge: New York, NY, USA, 2017. [Google Scholar]
- Grunwald, S. Take Care of Soils: Toward a Pluralistic Integral Soil Ethics. In Cultural Understanding of Soils; Patzel, N., Grunwald, S., Brevik, E.C., Feller, C., Eds.; Springer: New York, NY, USA, 2022. [Google Scholar]
- Yaalon, D.H. Down to earth. Nature 2000, 407, 301. [Google Scholar] [CrossRef] [PubMed]
- Guo, L.; Lin, H. Critical Zone Research and Observatories: Current Status and Future Perspectives. Vadose Zone J. 2016, 15, 1–14. [Google Scholar] [CrossRef]
- Grunwald, S.; Clingensmith, C.M.; Gavilan, C.P.; Mizuta, K.; Wilcox, R.K.K.; Pinheiro, F.M.; Ceddia, M.B.; Ross, C.W. Integrating New Perspectives to Address Global Soil Security: Ideas from Integral Ecology. In Global Soil Security; Field, D.J., Morgan, C.L.S., McBratney, A.B., Eds.; Springer Nature: Cham, Switzerland, 2017; pp. 319–330. [Google Scholar] [CrossRef]
- Esbjörn-Hargens, S.; Zimmerman, M.E. Integral Ecology: Uniting Multiple Perspectives on the Natural World; In-tegral Books: Boston, MA, USA, 2009. [Google Scholar]
- Wilber, K. A Theory of Everything: An Integral Vision for Business, Politics, Science and Spirituality; Shambhala: Boston, MA, USA, 2000. [Google Scholar]
- Wilber, K. Sex, Ecology, Spirituality: The Spirit of Evolution; Shambhala: Boston, MA, USA, 2000. [Google Scholar]
- Panagos, P.; Montanarella, L.; Barbero, M.; Schneegans, A.; Aguglia, L.; Jones, A. Soil priorities in the European Union. Geoderma Reg. 2022, 29, e00510. [Google Scholar] [CrossRef]
- Grunwald, S.; Mizuta, K.; Ceddia, M.B.; Pinheiro, F.M.; Wilcox, R.K.K.; Gavilan, C.P.; Ross, C.W.; Clingensmith, C.M. The Meta Soil Model: An Integrative Multi-model Framework for Soil Security. In Global Soil Security; Field, D.J., Morgan, C.L.S., McBratney, A.B., Eds.; Springer Nature: Cham, Switzerland, 2017; pp. 305–318. [Google Scholar] [CrossRef]
- Chaikaew, P.; Hodges, A.W.; Grunwald, S. Estimating the value of ecosystem services in a mixed-use watershed: A choice experiment approach. Ecosyst. Serv. 2017, 23, 228–237. [Google Scholar] [CrossRef]
- Xiong, X.; Grunwald, S.; Myers, D.B.; Kim, J.; Harris, W.G.; Comerford, N.B. Holistic environmental soil-landscape modeling of soil organic carbon. Environ. Model. Softw. 2014, 57, 202–215. [Google Scholar] [CrossRef]
- Xiong, X.; Grunwald, S.; Myers, D.B.; Ross, C.W.; Harris, W.G.; Comerford, N.B. Interaction effects of climate and land use/land cover change on soil organic carbon sequestration. Sci. Total Environ. 2014, 493, 974–982. [Google Scholar] [CrossRef] [PubMed]
- Merrill, H.R.; Grunwald, S.; Bliznyuk, N. Semiparametric regression models for spatial prediction and uncertainty quantification of soil attributes. Stoch. Hydrol. Hydraul. 2016, 31, 2691–2703. [Google Scholar] [CrossRef]
- Chaikaew, P.; Grunwald, S.; Xiong, X. Estimation of the Actual and Attainable Terrestrial Carbon Budget. In Digital Soil Mapping Across Paradigms, Scales and Boundaries; Springer: Singapore, 2016; pp. 153–164. [Google Scholar] [CrossRef]
- Friedrichsen, C.N.; Mizuta, K.; Wulfhorst, J. Advancing the intersection of soil and well-being systems science. Soil Secur. 2022, 6, 100036. [Google Scholar] [CrossRef]
- Grunwald, S. Part I-Conceptualization of a Meta Soil Model. In Global Soil Map; Arrouays, D., McKenzie, N., Hempel, J., Richer de Forges, A.C., McBratney, A., Eds.; CRC Press: New York, NY, USA, 2014; pp. 233–238. ISBN 978-1-138-00119-0. [Google Scholar]
- Rockström, J.; Steffen, W.; Noone, K.; Persson, Å.; Chapin, F.S., III; Lambin, E.F.; Lenton, T.M.; Scheffer, M.; Folke, C.; Schellnhuber, H.J.; et al. A safe operating space for humanity. Nature 2009, 461, 472–475. [Google Scholar] [CrossRef]
- Biermann, F.; Kim, R.E. The Boundaries of the Planetary Boundary Framework: A Critical Appraisal of Approaches to Define a “Safe Operating Space” for Humanity; Social Science Research Network: Rochester, NY, USA, 2020. [Google Scholar]
- Bunsen, J.; Berger, M.; Finkbeiner, M. Planetary Boundaries for Water—A Review. Ecol. Indic. 2021, 121, 107022. [Google Scholar] [CrossRef]
- McAlpine, C.A.; Seabrook, L.M.; Ryan, J.G.; Feeney, B.J.; Ripple, W.J.; Ehrlich, A.H.; Ehrlich, P.R. Transformational change: Creating a safe operating space for humanity. Ecol. Soc. 2015, 20, 200156. [Google Scholar] [CrossRef]
- Anderies, J.M.; Mathias, J.-D.; Janssen, M.A. Knowledge infrastructure and safe operating spaces in social–ecological systems. Proc. Natl. Acad. Sci. USA 2018, 116, 5277–5284. [Google Scholar] [CrossRef]
- Diamond, J. Collapse: How Societies Choose to Fail or Succeed; Penguin Books: New York, NY, USA, 2011. [Google Scholar]
- Minami, K. Soil is a living substance. Soil Sci. Plant Nutr. 2020, 67, 26–30. [Google Scholar] [CrossRef]
- Lehman, M.; Acosta-Martinez, V.; Buyer, J.S.; Cambardella, C.A.; Collins, H.P.; Ducey, T.; Halvorson, J.J.; Jin, V.L.; Johnson, J.M.; Kremer, R.J.; et al. Soil biology for resilient, healthy soil. J. Soil Water Conserv. 2015, 70, 12A–18A. [Google Scholar] [CrossRef]
- Crowther, T.W.; Todd-Brown, K.E.O.; Rowe, C.W.; Wieder, W.R.; Carey, J.C.; Machmuller, M.B.; Snoek, B.L.; Fang, S.; Zhou, G.; Allison, S.D.; et al. Quantifying global soil carbon losses in response to warming. Nature 2016, 540, 104–108. [Google Scholar] [CrossRef] [PubMed]
- Abegaz, A.; Ali, A.; Tamene, L.; Abera, W.; Smith, J.U. Modeling long-term attainable soil organic carbon sequestration across the highlands of Ethiopia. Environ. Dev. Sustain. 2021, 24, 5131–5162. [Google Scholar] [CrossRef]
- Chen, S.; Martin, M.P.; Saby, N.P.; Walter, C.; Angers, D.A.; Arrouays, D. Fine resolution map of top- and subsoil carbon sequestration potential in France. Sci. Total Environ. 2018, 630, 389–400. [Google Scholar] [CrossRef] [PubMed]
- Georgiou, K.; Jackson, R.B.; Vindušková, O.; Abramoff, R.Z.; Ahlström, A.; Feng, W.; Harden, J.W.; Pellegrini, A.F.A.; Polley, H.W.; Soong, J.L.; et al. Global stocks and capacity of mineral-associated soil organic carbon. Nat. Commun. 2022, 13, 3797. [Google Scholar] [CrossRef]
- Grunwald, S. Grand Challenges in Pedometrics-AI Research. Front. Soil Sci. 2021, 1, 714323. [Google Scholar] [CrossRef]
- Mizuta, K.; Grunwald, S.; Phillips, M.A.; Moss, C.B.; Bacon, A.R.; Cropper, W.P. Sensitivity assessment of metafrontier data envelopment analysis for soil carbon sequestration efficiency. Ecol. Indic. 2021, 125, 107602. [Google Scholar] [CrossRef]
- Mizuta, K.; Grunwald, S.; Phillips, M.A.; Bacon, A.R.; Cropper, W.P.J.; Moss, C.B. Emergence of the Pedo-Econometric Approach. Front. Soil Sci. 2021, 1, 656591. [Google Scholar] [CrossRef]
- Bouma, J. Soil security as a roadmap focusing soil contributions on sustainable development agendas. Soil Secur. 2020, 1, 100001. [Google Scholar] [CrossRef]
- Rumpel, C.; Amiraslani, F.; Chenu, C.; Garcia Cardenas, M.; Kaonga, M.; Koutika, L.-S.; Ladha, J.; Madari, B.; Shirato, Y.; Smith, P.; et al. The 4p1000 initiative: Opportunities, limitations and challenges for implementing soil organic carbon sequestration as a sustainable development strategy. Ambio 2020, 49, 350–360. [Google Scholar] [CrossRef]
- King, J.K.K.; Granjou, C.; Fournil, J.; Cecillon, L. Soil sciences and the French 4 per 1000 Initiative—The promises of underground carbon. Energy Res. Soc. Sci. 2018, 45, 144–152. [Google Scholar] [CrossRef]
- Vogel, H.-J.; Eberhardt, E.; Franko, U.; Lang, B.; Ließ, M.; Weller, U.; Wiesmeier, M.; Wollschläger, U. Quantita-tive Evaluation of Soil Functions: Potential and State. Front. Environ. Sci. 2019, 7, 164. [Google Scholar] [CrossRef]
- Mizuta, K.; Grunwald, S.; Phillips, M.A. New Soil Index Development and Integration with Econometric Theory. Soil Sci. Soc. Am. J. 2018, 82, 1017–1032. [Google Scholar] [CrossRef]
- Jaenicke, E.C.; Lengnick, L.L. A Soil-Quality Index and Its Relationship to Efficiency and Productivity Growth Measures: Two Decompositions. Am. J. Agric. Econ. 1999, 81, 881–893. [Google Scholar] [CrossRef]
- Pieralli, S. Introducing a new non-monotonic economic measure of soil quality. Soil Tillage Res. 2017, 169, 92–98. [Google Scholar] [CrossRef]
- Susaeta, A.; Adams, D.C.; Carter, D.R.; Dwivedi, P. Climate Change and Ecosystem Services Output Efficiency in Southern Loblolly Pine Forests. Environ. Manag. 2016, 58, 417–430. [Google Scholar] [CrossRef]
- Susaeta, A.; Adams, D.C.; Carter, D.R.; Gonzalez-Benecke, C.; Dwivedi, P. Technical, allocative, and total profit efficiency of loblolly pine forests under changing climatic conditions. For. Policy Econ. 2016, 72, 106–114. [Google Scholar] [CrossRef]
- Janzen, H.H.; Janzen, D.W.; Gregorich, E.G. The ‘soil health’ metaphor: Illuminating or illusory? Soil Biol. Biochem. 2021, 159, 108167. [Google Scholar] [CrossRef]
- Grunwald, S.; Vasques, G.M.; Comerford, N.B.; Bruland, G.L.; Bliss, C.M. Regional Modelling of Carbon, Ni-trogen and Phosphorus Geospatial Patterns. In Modeling of Pollutants in Complex Environmental Systems; Hanrahan, G., Ed.; ILM Publ: Herfordshire, UK, 2010; pp. 293–310. [Google Scholar]
- Hong, J.; Grunwald, S.; Vasques, G.M. Soil Phosphorus Landscape Models for Precision Soil Conservation. J. Environ. Qual. 2015, 44, 739–753. [Google Scholar] [CrossRef]
- Kim, J.; Grunwald, S.; Rivero, R.G. Soil Phosphorus and Nitrogen Predictions Across Spatial Escalating Scales in an Aquatic Ecosystem Using Remote Sensing Images. IEEE Trans. Geosci. Remote Sens. 2014, 52, 6724–6737. [Google Scholar] [CrossRef]
- Mizuta, K.; Grunwald, S.; Bacon, A.R.; Cropper, W.P.; Phillips, M.A.; Moss, C.B.; Gonzalez-Benecke, C.A.; Markewitz, D.; Clingensmith, C.M.; Xiong, X. Holistic aboveground ecological productivity efficiency modeling using data envelopment analysis in the southeastern U.S. Sci. Total Environ. 2022, 824, 153802. [Google Scholar] [CrossRef] [PubMed]



| Variables | Unit | Use for DEA | Data Sources 2 | Year |
|---|---|---|---|---|
| Soil organic carbon 1 | kg C m−2 | Input | FLSCP | 2008–2009 |
| pHw 1 | - | Input | FLSCP | 2008–2009 |
| Normalized Difference Vegetation Index 2 | - | Input | MODIS | 2008–2009 |
| Enhanced Vegetation Index 2 | - | Input | MODIS | 2008–2009 |
| Sand 1 | % | Input | gNATSGO | 2020 |
| Soil total nitrogen 1 | kg m−2 | Output | FLSCP | 2008–2009 |
| Soil total phosphorus 1 | kg m−2 | Output | FLSCP | 2008–2009 |
Publisher’s Note: MDPI stays neutral with regard to jurisdictional claims in published maps and institutional affiliations. |
© 2022 by the authors. Licensee MDPI, Basel, Switzerland. This article is an open access article distributed under the terms and conditions of the Creative Commons Attribution (CC BY) license (https://creativecommons.org/licenses/by/4.0/).
Share and Cite
Mizuta, K.; Grunwald, S. Reshaping How We Think about Soil Security. Soil Syst. 2022, 6, 74. https://doi.org/10.3390/soilsystems6040074
Mizuta K, Grunwald S. Reshaping How We Think about Soil Security. Soil Systems. 2022; 6(4):74. https://doi.org/10.3390/soilsystems6040074
Chicago/Turabian StyleMizuta, Katsutoshi, and Sabine Grunwald. 2022. "Reshaping How We Think about Soil Security" Soil Systems 6, no. 4: 74. https://doi.org/10.3390/soilsystems6040074
APA StyleMizuta, K., & Grunwald, S. (2022). Reshaping How We Think about Soil Security. Soil Systems, 6(4), 74. https://doi.org/10.3390/soilsystems6040074

