No Tillage Improved Soil Pore Space Indices under Cover Crop and Crop Rotation
Abstract
1. Introduction
2. Materials and Methods
2.1. Experimental Field and Treatment
2.2. Soil Sampling and Measurements
2.3. Statistical Analysis
3. Results and Discussion
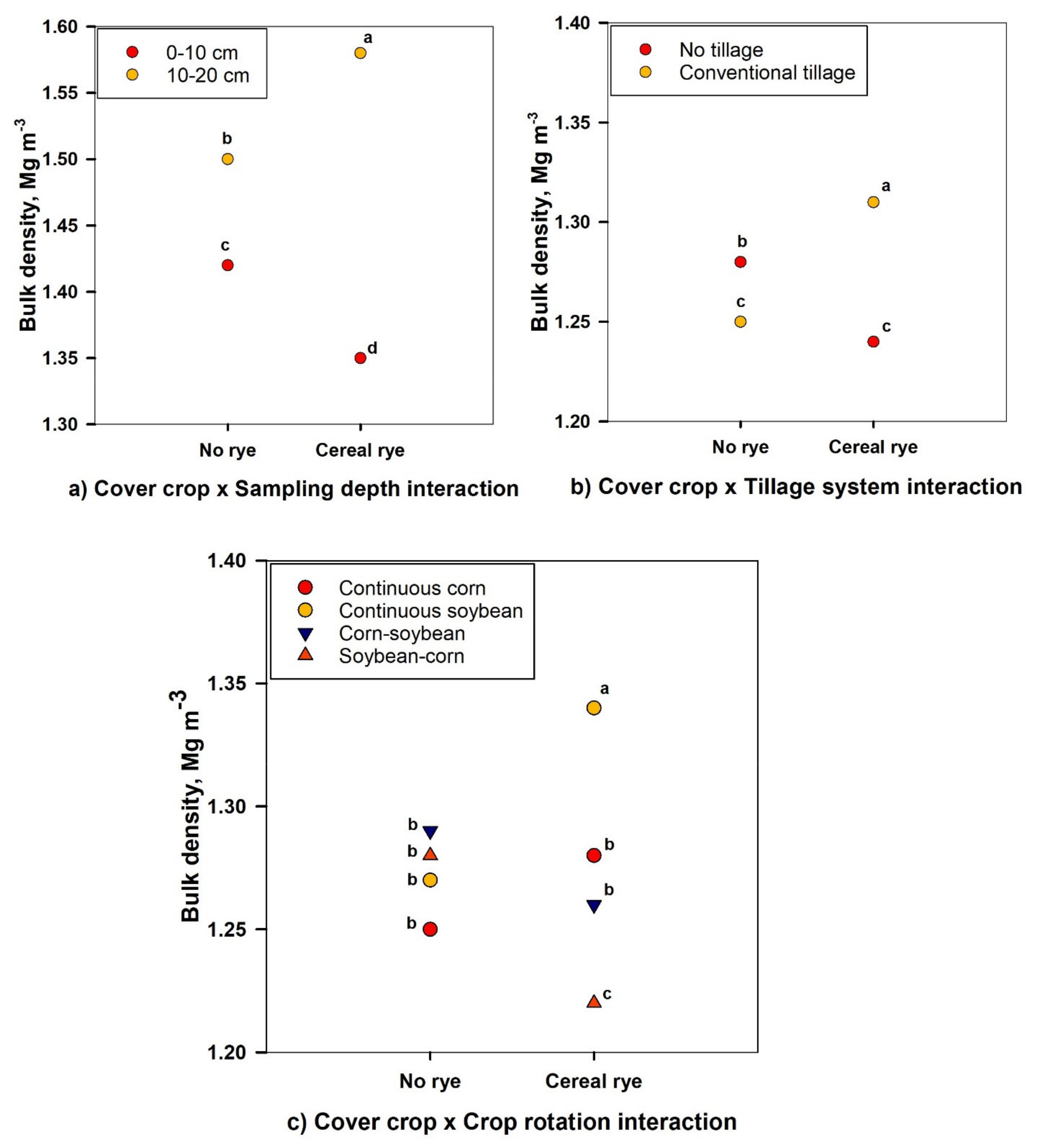
3.1. Effect of Tillage System, Cover Crop and Crop Rotation on Bulk Density
3.2. Effects of Tillage System, Cover Crop and Crop Rotation on Relative Gas Diffusion Coefficient
3.3. Effects of Tillage System, Cover Crop and Crop Rotation on Pore Tortuosity Factor
4. Conclusions
Author Contributions
Funding
Institutional Review Board Statement
Informed Consent Statement
Data Availability Statement
Acknowledgments
Conflicts of Interest
References
- Abad, J.R.S.; Khosravi, H.; Alamdarlou, E.H. Assessment the Fffects of Land Use Changes on Soil Physicochemical Properties in Jafarabad of Golestan Province, Iran. Bull. Environ. Pharmacol. Life Sci. 2010, 3, 296–300. [Google Scholar]
- Woniala, J.; Nyombi, K. Soil Fertility Management by Smallholder Farmers and the Impact on Soil Chemical Properties in Sironko District, Uganda. Res. J. Agric. For. Sci. 2014, 2, 5–10. [Google Scholar]
- Panday, D. Adapting climate change in agriculture: The sustainable way in Nepalese context. Hydro Nepal. J. Water Energy Environ. 2012, 13, 91–94. [Google Scholar] [CrossRef]
- Materechera, S.A. Influence of Agricultural Land Use and Management Practices on Selected Soil Properties of a Semi-arid Savanna Environment in South Africa. J. Arid Environ. 2014, 102, 98–103. [Google Scholar] [CrossRef]
- Bhatt, R.; Khera, K.L. Effect of Tillage and Mode of Straw Mulch Application on Soil Erosion in the Submontaneous Tract of Punjab, India. Soil Tillage Res. 2006, 88, 107–115. [Google Scholar] [CrossRef]
- Mosaddeghi, M.R.; Mahboubi, A.A.; Safadoust, A. Short Term Effects of Tillage and Manure on Some Soil Physical Properties and Maize Root Growth in a Sandy Loam Soil in Western Iran. Soil Tillage Res. 2009, 104, 173–179. [Google Scholar] [CrossRef]
- Daniells, I.G. Hard-setting soils: A review. Soil Res. 2012, 50, 349–359. [Google Scholar] [CrossRef]
- Rasmussen, K.J. Impact of Plough-less Soil Tillage on Yield and Soil Quality: A Scandinavian Review. Soil Tillage Res. 1999, 53, 3–14. [Google Scholar] [CrossRef]
- Mathew, R.P.; Feng, Y.; Githinji, L.; Ankumah, R.; Balkcom, K. Impact of No-tillage and Conventional Tillage on Soil Microbial Communities. Appl. Environ. Soil Sci. 2012, 2012, 548620. [Google Scholar] [CrossRef]
- Pikul, J.L.; Schwartz, R.C.; Benjamin, J.G.; Baumhardt, R.L.; Merrill, S. Cropping system influences on soil physical properties in the Great Plains. Renew. Agric. Food Syst. 2006, 21, 15–25. [Google Scholar] [CrossRef]
- Keisling, T.C.; Scott, H.D.; Waddle, B.A.; Williams, W.; Frans, R.E. Winter Cover Crops Influence on Cotton Yield and Selected Soil Properties. Commun. Soil Sci. Plant. Anal. 1994, 25, 3087–3100. [Google Scholar] [CrossRef]
- Steele, M.K.; Coale, F.J.; Hill, R.L. Winter Annual Cover Crop Impacts on No-till Soil Physical Properties and Organic Matter. Soil Sci. Soc. Am. J. 2012, 76, 2164–2173. [Google Scholar] [CrossRef]
- Abdollahi, L.; Munkholm, L.J.; Garbout, A. Tillage System and Cover Crop Effects on Soil Quality: II. Pore Characteristics. Soil Sci. Soc. Am. J. 2013, 78, 271–279. [Google Scholar] [CrossRef]
- Sulc, R.M.; Tracy, B.M. Integrated Crop-Livestock Systems in the U.S. Corn Belt. Agron. J. 2007, 99, 335–345. [Google Scholar] [CrossRef]
- Clark, A. Managing Cover Crops Profitably, 3rd ed.; DIANE Publishing: Darby, PA, USA, 2008. [Google Scholar]
- Haruna, S.I.; Anderson, S.H.; Udawatta, R.P.; Gantzer, C.J.; Phillips, N.C.; Cui, S.; Gao, Y. Improving soil physical properties through the use of cover crops: A review. Agrosyst. Geosci. Environ. 2020, 3, e20105. [Google Scholar] [CrossRef]
- Calonego, J.C.; Raphael, J.P.; Rigon, J.P.; de Oliveira Neto, L.; Rosolem, C.A. Soil compaction management and soybean yields with cover crops under no-till and occasional chiseling. Eur. J. Agron. 2017, 85, 31–37. [Google Scholar] [CrossRef]
- Stone, L.R.; Schlegel, A.J. Tillage and crop rotation phase effects on soil physical properties in the west-central Great Plains. Agron. J. 2010, 102, 483–491. [Google Scholar] [CrossRef]
- Haruna, S.I.; Nkongolo, N.V. Tillage, Cover Crop and Crop Rotation Effects on Selected Soil Chemical Properties. Sustainability 2019, 11, 2770. [Google Scholar] [CrossRef]
- Dexter, A.R.; Czyż, E.A.; Niedzwiecki, J.; Maćkowiak, C. Water retention and hydraulic conductivity of a loamy sand soil as influenced by crop rotation and fertilization. Arch. Agron. Soil Sci. 2001, 46, 123–133. [Google Scholar] [CrossRef]
- Głąb, T.; Ścigalska, B.; Łabuz, B. Effect of crop rotations with triticale (× Triticosecale Wittm.) on soil pore characteristics. Geoderma 2013, 202, 1–7. [Google Scholar] [CrossRef]
- Truua, M.; Truua, J.; Ivaskb, M. Soil Microbiological and Biochemical Properties for Assessing the Effect of Agricultural Management Practices in Estonian cultivated soils. Eur. J. Soil Biol. 2008, 44, 231–237. [Google Scholar] [CrossRef]
- Allaire, S.E.; Caron, J.; Duchesne, I.; Parent, L.É.; Rioux, J.A. Air-filled porosity, gas relative diffusivity, and tortuosity: Indices of Prunus× cistena sp. growth in peat substrates. J. Am. Soc. Hortic. Sci. 1996, 121, 236–242. [Google Scholar] [CrossRef]
- Logsdon, S.D.; Karlen, D.L. Bulk density as a soil quality indicator during conversion to no-tillage. Soil Tillage Res. 2004, 78, 143–149. [Google Scholar] [CrossRef]
- Alam, M.; Islam, M.; Salahin, N.; Hasanuzzaman, M. Effect of tillage practices on soil properties and crop productivity in wheat-mungbean-rice cropping system under subtropical climatic conditions. Sci. World J. 2014, 2014, 437283. [Google Scholar] [CrossRef] [PubMed]
- Panday, D.; Nkongolo, N.V. Comparison of models for predicting pore space indices and their relationships with CO2 and N2O fluxes in a corn–soybean field. Can. J. Soil Sci. 2016, 96, 328–335. [Google Scholar] [CrossRef]
- Hudson, T.; Aharonson, O. Diffusion barriers at Mars surface conditions: Salt crusts, particle size mixtures, and dust. J. Geophys. Res. Plantes 2008, 113, E9. [Google Scholar] [CrossRef]
- Lee, J.; Hopmans, J.W.; Rolston, D.E.; Baer, S.G.; Six, J. Determining soil carbon stock changes: Simple bulk density corrections fail. Agric. Ecosyst. Environ. 2009, 134, 251–256. [Google Scholar] [CrossRef]
- Nkongolo, N.V.; Hatano, R.; Kakembo, V. Diffusivity models and greenhouse gases fluxes from a forest, pasture, grassland and corn field in northern Hokkaido. Pedosphere 2010, 6, 747–760. [Google Scholar] [CrossRef]
- Teepe, R.; Brumme, R.; Beese, F.; Ludwig, B. Nitrous oxide emission and methane consumption following compaction of forest soils. Soil Sci. Soc. Am. J. 2004, 68, 605–611. [Google Scholar] [CrossRef]
- Nkongolo, N.V.; Kuramochi, K.; Ryusuke, H. Effect of mechanized tillage operations on soil physical properties and greenhouse gases fluxes in two agricultural fields. Res. J. Environ. Sci. 2008, 2, 68–80. [Google Scholar] [CrossRef]
- Pellegrini, S.; Vignozzi, N.; Batistoni, E.; Pagliai, M. Macroporosity and saturated hydraulic conductivity of a silty clay soil as affected by different applied pressure, moisture content and land use. In Geophysical Research Abstracts-European Geosciences Union; European Geosciences Union: Munich, Germany, 2006; Volume 8, p. 03001. [Google Scholar]
- Girei, A.H.; Nabayi, A.; Amapu, I.Y.; Mudiare, O.J.; Abdulkadir, A. Models for predicting pore space indices of an irrigated lowland rice soil in a Sudan Savanna of Nigeria. J. Res. For. Wildlife Environ. 2020, 12, 183–191. [Google Scholar]
- Nkongolo, N.V.; Caron, J.; Gauthier, F.; Yamada, M. Organic wastes for improving soil physical properties and enhancing plant growth in container substrates. J. Crop. Prod. 2001, 3, 97–112. [Google Scholar] [CrossRef]
- U.S. Climate Data. Climate Jefferson City—Missouri. 2019. Available online: https://www.usclimatedata.com/climate/jefferson-city/missouri/united-states/usmo0453 (accessed on 24 June 2019).
- Kladivko, E.J.; Helmers, M.J.; Abendroth, L.J.; Herzmann, D.; Lal, R.; Castellano, M.J.; Mueller, D.S.; Sawyer, J.S.; Anex, R.P.; Arritt, R.W.; et al. Standardized research protocols enable transdisciplinary research of climate variation impacts in corn production systems. J. Soil Water Conserv. 2014, 69, 532–542. [Google Scholar] [CrossRef]
- Marshall, T.J. Permeability and the size distribution of pores. Nature 1957, 180, 664–665. [Google Scholar] [CrossRef]
- Buckingham, E. Contributions to Our Knowledge of the Aeration of Soils; Bureau of Soils, U.S. Department of Agriculture: Washington, DC, USA, 1954; Volume 25.
- Sallam, A.; Jury, W.A.; Letey, J. Measurement of gas diffusion coefficient under relatively low air-filled porosity. Soil Sci. Soc. Am. J. 1984, 48, 3–6. [Google Scholar] [CrossRef]
- Moldrup, P.; Kruse, C.W.; Rolston, D.E.; Yamaguchi, T. Modeling diffusion and reaction in soils: III. Predicting gas diffusivity from the Campbell soil-water retention model. Soil Sci. 1996, 161, 366–375. [Google Scholar] [CrossRef]
- Jin, Y.; Jury, W.A. Characterizing the dependence of gas diffusion coefficient on soil properties. Soil Sci. Soc. Am. J. 1996, 60, 66–71. [Google Scholar] [CrossRef]
- Bauer, A.; Black, A.L. Soil Carbon, Nitrogen, and Bulk Density Comparisons in Two Cropland Tillage Systems after 25 Years and in Virgin Grassland. Soil Sci. Soc. Am. J. 1981, 45, 1166–1170. [Google Scholar] [CrossRef]
- NRCS. Soil Quality Kit, Guides for Educators. USDA. n.d. Available online: https://www.nrcs.usda.gov/Internet/FSE_DOCUMENTS/nrcs142p2_053260.pdf (accessed on 21 June 2019).
- Lampurlanés, J.; Cantero-Martínez, C. Soil bulk density and penetration resistance under different tillage and crop management systems and their relationship with barley root growth. Agron. J. 2003, 95, 526–536. [Google Scholar] [CrossRef]
- Nascente, A.S.; Li, Y.; Crusciol, C.A. Soil aggregation, organic carbon concentration, and soil bulk density as affected by cover crop species in a no-tillage system. Rev. Bras. Ciênc. Solo. 2015, 39, 871–879. [Google Scholar] [CrossRef]
- Shah, A.N.; Tanveer, M.; Shahzad, B.; Yang, G.; Fahad, S.; Ali, S.; Bukhari, M.A.; Tung, S.A.; Hafeez, A.; Souliyanonh, B. Soil compaction effects on soil health and crop productivity: An overview. Environ. Sci. Poll. Res. 2017, 24, 10056–10067. [Google Scholar] [CrossRef]
- Calonego, J.C.; Rosolem, C.A. Soil aggregate stability after management with crop rotation and chiseling. Rev. Bras. Ciênc. Solo. 2008, 32, 1399–1407. [Google Scholar] [CrossRef][Green Version]
- Unger, P.W. Overwinter changes in physical properties of no-tillage soil. Soil Sci. Soc. Am. J. 1991, 55, 778–782. [Google Scholar] [CrossRef]
- Gregorich, E.G.; Lapen, D.R.; Ma, B.L.; McLaughlin, N.B.; VandenBygaart, A.J. Soil and crop response to varying levels of compaction, nitrogen fertilization, and clay content. Soil Sci. Soc. Am. J. 2011, 75, 1483–1492. [Google Scholar] [CrossRef]
- Wagger, M.G.; Denton, H.P. Influence of Cover Crop and Wheel Traffic on Soil Physical Properties in Continuous No-Till Corn. Soil Sci. Soc. Am. J. 1989, 53, 1206–1210. [Google Scholar] [CrossRef]
- Haruna, S.I.; Nkongolo, N.V. Effects of tillage, rotation and cover crop on the physical properties of a silt-loam soil. Int. Agrophys. 2015, 29, 137–145. [Google Scholar] [CrossRef]
- Chalise, K.S.; Singh, S.; Wegner, B.R.; Kumar, S.; Pérez-Gutiérrez, J.D.; Osborne, S.L.; Nleya, T.; Guzman, J.; Rohila, J.S. Cover crops and returning residue impact on soil organic carbon, bulk density, penetration resistance, water retention, infiltration, and soybean yield. Agron. J. 2019, 111, 99–108. [Google Scholar] [CrossRef]
- Ferreira, E.A.; Resck, D.V.; Gomes, A.C.; Ramos, M.L. Carbon dynamics of microbial biomass at five times of year in different Cerrado soil management systems. Braz. J. Soil Sci. 2007, 31, 1625–1635. [Google Scholar]
- Blanco-Canqui, H.; Holman, J.D.; Schlegel, A.J.; Tatarko, J.; Shaver, T.M. Replacing fallow with cover crops in a semiarid soil: Effects on soil properties. Soil Sci. Soc. Am. J. 2013, 77, 1026–1034. [Google Scholar] [CrossRef]
- Liu, A.; Ma, B.L.; Bomke, A.A. Effects of cover crops on soil aggregate stability, total organic carbon, and polysaccharides. Soil Sci. Soc. Am. J. 2005, 69, 2041–2048. [Google Scholar] [CrossRef]
- De Moraes, M.T.; Bengough, A.G.; Debiasi, H.; Franchini, J.C.; Levien, R.; Schnepf, A.; Leitner, D. Mechanistic framework to link root growth models with weather and soil physical properties, including example applications to soybean growth in Brazil. Plant Soil 2018, 428, 67–92. [Google Scholar] [CrossRef]
- Fujikawa, T.; Miyazaki, T. Effects of bulk density and soil type on the gas diffusion coefficient in repacked and undisturbed soils. Soil Sci. 2005, 170, 892–901. [Google Scholar] [CrossRef]
- Joyce, B.A.; Wallender, W.W.; Mitchell, J.P.; Huyck, L.M.; Temple, S.R.; Brostrom, P.N.; Hsiao, T.C. Infiltration and soil water storage under winter cover cropping in California’s Sacramento Valley. Trans. ASAE 2002, 45, 315–326. [Google Scholar] [CrossRef]
- Nielsen, D.C.; Vigil, M.F.; Lyon, D.J.; Higgins, R.K.; Hergert, G.W.; Holman, J.D. Cover crops can affect subsequent wheat yield in the central great plains. Crops Soils 2016, 49, 51–53. [Google Scholar] [CrossRef]
- Basche, A.; Kaspar, T.C.; Archontoulis, S.V.; Jaynes, D.B.; Sauer, T.J.; Parkin, T.B.; Miguez, F.E. Soil water improvements with the long-term use of a winter rye cover crop. Agric. Water Manag. 2016, 172, 40–50. [Google Scholar] [CrossRef]
- Haruna, S.I. Influence of winter wheat on soil thermal properties of a Paleudalf. Int. Agrophys. 2019, 33, 389–395. [Google Scholar] [CrossRef]
- Lipiec, J.; Hatano, R. Quantification of Compaction Effects on Soil Physical Properties and Crop Growth. Geoderma 2003, 116, 107–136. [Google Scholar] [CrossRef]
- Moldrup, P.; Olesen, T.; Yoshikawa, S.; Komatsu, T.; Rolston, D.E. Three-porosity model for predicting the gas diffusion coefficient in undisturbed soil. Soil Sci. Soc. Am. J. 2004, 68, 750–759. [Google Scholar] [CrossRef]
- Ball, B.C.; O’Sullivan, M.F.; Hunter, R. Gas diffusion, fluid flow and derived pore continuity indices in relation to vehicle traffic and tillage. J. Soil Sci. 1988, 39, 327–339. [Google Scholar] [CrossRef]
- Chou, H.; Wu, L.; Zeng, L.; Chang, A. Evaluation of solute diffusion tortuosity factor models for variously saturated soils. Water Resour. Res. 2012, 48, W10539. [Google Scholar] [CrossRef]
- Galdos, M.V.; Pires, L.F.; Cooper, H.V.; Calonego, J.C.; Rosolem, C.A.; Mooney, S.J. Assessing the long-term effects of zero-tillage on the macroporosity of Brazilian soils using X-ray Computed Tomography. Geoderma 2019, 337, 1126–1135. [Google Scholar] [CrossRef] [PubMed]
- Vizioli, B.; Cavalieri-Polizeli, K.M.V.; Tormena, C.A.; Barth, G. Effects of long-term tillage systems on soil physical quality and crop yield in a Brazilian Ferralsol. Soil Tillage Res. 2021, 209, 104935. [Google Scholar] [CrossRef]
- Reeleder, R.D.; Miller, J.J.; Coelho, B.B.; Roy, R.C. Impacts of tillage, cover crop, and nitrogen on populations of earthworms, microarthropods, and soil fungi in a cultivated fragile soil. Appl. Soil Ecol. 2006, 33, 243–257. [Google Scholar] [CrossRef]
- Nkongolo, N.V.; Caron, J. Pore space organization and plant response in peat substrates: I. Prunus x cistena and Spiraea japonica. Sci. Res. Essays 2006, 1, 077–086. [Google Scholar]




| Source of Variation | Bulk Density, Mg m−3 | ||
|---|---|---|---|
| 2011 | 2012 | 2013 | |
| Treatment | |||
| Tillage system (TL) | |||
| No tillage | 1.3 | 1.4 | 1.3 |
| Conventional tillage | 1.3 | 1.4 | 1.3 |
| Significance | NS | NS | NS |
| Cover crop (CC) | |||
| No rye | - | 1.5 | 1.3 |
| Cereal rye | - | 1.3 | 1.3 |
| Significance | * | NS | |
| Crop rotation (CR) | |||
| Continuous Corn | - | 1.4 | 1.3 |
| Continuous Soybean | - | 1.4 | 1.3 |
| Corn–Soybean | - | 1.5 | 1.3 |
| Soybean–Corn | - | 1.4 | 1.3 |
| Significance | NS | NS | |
| Sampling depth (SD) | |||
| 0–10 cm | 1.3b † | 1.4 | 1.3 |
| 10–20 cm | 1.4a | 1.5 | 1.3 |
| Significance | * | * | NS |
| Interactions | |||
| TL × SD | NS | NS | NS |
| CC × SD | - | * | NS |
| CR × SD | - | NS | NS |
| TL × CC | - | NS | * |
| TL × CR | - | NS | NS |
| CC × CR | - | NS | * |
| TL × CC × SD | - | NS | NS |
| TL × CR × SD | - | NS | NS |
| CC ×CR × SD | - | NS | NS |
| TL × CC × CR × SD | - | NS | NS |
| Source of Variation | Relative Gas Diffusion Coefficient, m2 s−1 m−2 s | ||
|---|---|---|---|
| 2011 | 2012 | 2013 | |
| Treatment | |||
| Tillage (TL) | |||
| No tillage | 0.11 | 0.11a † | 0.10a |
| Conventional tillage | 0.10 | 0.07b | 0.08b |
| Significance | NS | *** | * |
| Cover crop (CC) | |||
| No rye | 0.11 | 0.10 | 0.09 |
| Cereal rye | 0.10 | 0.08 | 0.08 |
| Significance | NS | NS | NS |
| Crop rotation (CR) | |||
| Continuous Corn | 0.11 | 0.08 | 0.10 |
| Continuous Soybean | 0.10 | 0.11 | 0.09 |
| Corn–Soybean | 0.11 | 0.08 | 0.08 |
| Soybean–Corn | 0.09 | 0.08 | 0.09 |
| Significance | NS | NS | NS |
| Sampling depth (SD) | |||
| 0–10 cm | 0.13a | 0.10a | 0.10a |
| 10–20 cm | 0.08b | 0.08b | 0.08b |
| Significance | *** | * | ** |
| Interactions | |||
| TL × SD | NS | NS | NS |
| CC × SD | NS | NS | NS |
| CR × SD | NS | NS | NS |
| TL × CC | NS | * | ** |
| TL × CR | ** | NS | NS |
| CC × CR | NS | NS | NS |
| TL × CC × SD | NS | ** | *** |
| TL × CR × SD | NS | NS | NS |
| CC × CR × SD | NS | NS | NS |
| TL × CC × CR × SD | NS | NS | NS |
| Source of Variation | Pore Tortuosity Factor, m m−1 | ||
|---|---|---|---|
| 2011 | 2012 | 2013 | |
| Treatment | |||
| Tillage system (TL) | |||
| No tillage | 10.38 | 12.33 | 15.71 |
| Conventional tillage | 11.60 | 13.00 | 19.14 |
| Significance | NS | *** | * |
| Cover crop (CC) | |||
| No rye | 10.65 | 12.33 | 19.05 |
| Cereal rye | 11.34 | 13.00 | 15.80 |
| Significance | NS | NS | NS |
| Crop rotation (CR) | |||
| Continuous Corn | 10.62 | 12.36ab † | 13.01 |
| Continuous Soybean | 11.18 | 10.50b | 14.11 |
| Corn–Soybean | 10.47 | 12.19ab | 22.91 |
| Soybean–Corn | 11.70 | 15.60a | 19.67 |
| Significance | NS | NS | NS |
| Sampling depth (SD) | |||
| 0–10 cm | 7.88b | 11.45 | 20.74 |
| 10–20 cm | 14.11a | 13.87 | 14.11 |
| Significance | *** | NS | NS |
| Interactions | |||
| TL × SD | NS | NS | NS |
| CC × SD | NS | NS | NS |
| CR × SD | NS | NS | NS |
| TL × CC | NS | * | NS |
| TL × CR | ** | NS | * |
| CC × CR | NS | NS | NS |
| TL × CC × SD | NS | NS | NS |
| TL × CR × SD | NS | NS | * |
| CC × CR × SD | NS | NS | NS |
| TL × CC × CR × SD | NS | NS | NS |
Publisher’s Note: MDPI stays neutral with regard to jurisdictional claims in published maps and institutional affiliations. |
© 2021 by the authors. Licensee MDPI, Basel, Switzerland. This article is an open access article distributed under the terms and conditions of the Creative Commons Attribution (CC BY) license (https://creativecommons.org/licenses/by/4.0/).
Share and Cite
Panday, D.; Nkongolo, N.V. No Tillage Improved Soil Pore Space Indices under Cover Crop and Crop Rotation. Soil Syst. 2021, 5, 38. https://doi.org/10.3390/soilsystems5030038
Panday D, Nkongolo NV. No Tillage Improved Soil Pore Space Indices under Cover Crop and Crop Rotation. Soil Systems. 2021; 5(3):38. https://doi.org/10.3390/soilsystems5030038
Chicago/Turabian StylePanday, Dinesh, and Nsalambi V. Nkongolo. 2021. "No Tillage Improved Soil Pore Space Indices under Cover Crop and Crop Rotation" Soil Systems 5, no. 3: 38. https://doi.org/10.3390/soilsystems5030038
APA StylePanday, D., & Nkongolo, N. V. (2021). No Tillage Improved Soil Pore Space Indices under Cover Crop and Crop Rotation. Soil Systems, 5(3), 38. https://doi.org/10.3390/soilsystems5030038

