Empirical, Experimental and Numerical Prediction of Ground-Borne Vibrations Induced by Impact Pile Driving
Abstract
:1. Introduction
- Swedish standard SS 25211 (Vibration and shock—Guidance levels and measuring of vibrations in buildings originating from piling, sheet piling, excavation and packing to estimate permitted vibration levels);
- German standard DIN 4150-3 (Vibration in buildings—Part 3: Effects on structures);
- Swiss standard SN 640 312 (Swiss Standard on vibration effects on buildings);
- British standard BS 7385-2 (Evaluation and measurement for vibration in buildings. Part 2: Guide to damage levels from ground-borne vibration);
- Portuguese standard NP 2704 (Evaluation of impulsive vibrations in structures);
- Federal Transit Administration (FTA)—Transit Noise and Vibration Impact Assessment Manual.
2. Ground Vibration Induced by Pile Driving
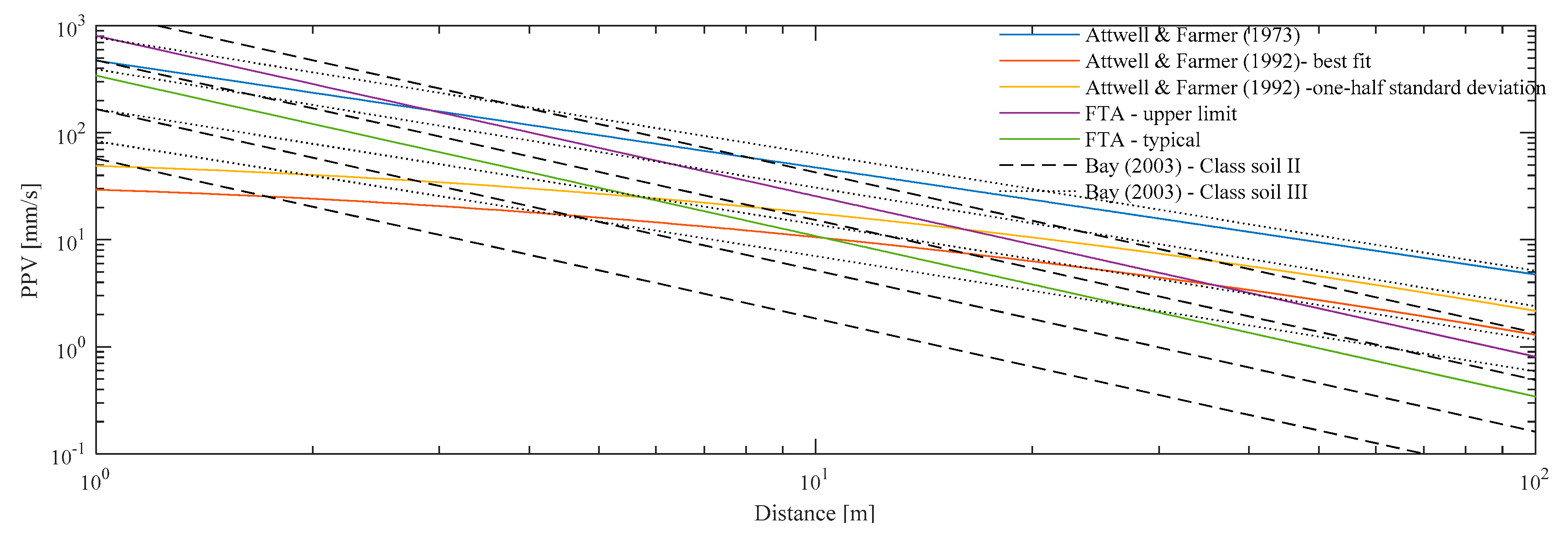
2.1. Empirical Methods for Estimating Ground Vibration
2.2. Modeling of Ground Vibration
2.2.1. Generalities
2.2.2. Modeling Approach
2.2.3. Physics of the Generation and Propagation of Ground Vibration
3. Experimental, Empirical and Numerical Results—A Comparison
- Uromeihy [34]: records from impact driving of five steel piles (four H-sections and one sheet pile);
- Hiller and Crabb [35]: records from impact driving of two steel piles (one H-section and one sheet pile);
- Lewis and Davie [36]: records from impact driving of one precast concrete pile (section 360 mm × 360 mm) and one H-section steel pile;
- Dungca et al. [37]: records from impact driving of one precast concrete pile (section 450 mm × 450 mm);
- Nilsson [38]: records from impact driving of one precast concrete pile (section 450 mm × 450 mm) and two steel piles (tubular profiles);
- Brenner and Chittkuladilok [39]: records from impact driving of two precast concrete piles (sections 425 mm × 425 mm and 260 mm × 260 mm).
4. Conclusions
Author Contributions
Funding

Conflicts of Interest
References
- Chameau, J.-L.; Rix, G.J.; Empie, L. Measurement and Analysis of Civil Engineering Vibrations. In Proceedings of the 4th International Conference on Case Histories in Geotechnical Engineering, St. Louis, MO, USA, 8–15 March 1998. [Google Scholar]
- Svinkin, M.R. Minimizing Construction Vibration Effects. Pract. Period. Struct. Des. Constr. 2004, 9, 108–115. [Google Scholar] [CrossRef]
- JS-HELD-UNIVERSITY. The Impact of Construction Vibration on Adjacent Structures. 2019. Available online: https://assets.jsheld.com/uploads/The-Impact-of-Construction-Vibration-on-Adjacent-Structures.pdf?mtime=20200514134250&focal=none (accessed on 19 December 2021).
- Amick, H.; Gendreau, M. Construction Vibrations and Their Impact on Vibration-Sensitive Facilities. In Proceedings of the 6th ASCE Construction Congress, Orlando, FL, USA, 20–22 February 2000. [Google Scholar]
- Scislo, L.; Guinchard, M. Source based measurements and monitoring of ground motion conditions during civil engineering works for high luminosity upgrade of the LHC. In Proceedings of the 26th International Congress on Sound and Vibration, ICSV 2019, Montreal, QC, Canada, 7–11 July 2019. [Google Scholar]
- Guinchard, M.; Cabon, M.; Charrondière, C.; Develle, K.; Fessia, P.; Lacny, L.; Wenninger, J. Investigation and Estimation of the LHC Magnet Vibrations Induced by HL-LHC Civil Engineering Activities. In Proceedings of the 9th International Particle Accelerator Conference (IPAC’18), Vancouver, BC, Canada, 29 April–4 May 2018. [Google Scholar]
- Cabon, M.; Develle, K.; Guinchard, M. Ground Vibration Monitoring at CERN as Part of the International Seismic Network. In Proceedings of the 16th International Conference on Accelerator and Large Experimental Control Systems (ICALEPCS’17), Barcelona, Spain, 8–13 October 2017. [Google Scholar]
- Łacny, Ł.; Ścisło, Ł.; Guinchard, M. Application of probabilistic power spectral density technique to monitoring the long-term vibrational behaviour of cern seismic network stations. Vib. Phys. Syst. 2020, 31, 1–7. [Google Scholar]
- Quagliata, A.; Ahearn, M.; Boeker, E.; Roof, C.; Meister, L.; Singleton, H. Transit Noise and Vibration Impact Assessment Manual; Federal Transit Administration-Department of Transportation, Office of Planning and Environment: Washington, DC, USA, 2018. [Google Scholar]
- FHWA. Design and Construction of Driven Pile Foundations; Report No. FHWA-NHI-16-009; Federal Highway Administratio: Washington, DC, USA, 2016. [Google Scholar]
- Fernandes, M.M. Analysis and Design of Geotechnical Structures, 1st ed.; CRC Press: Boca Raton, FL, USA, 2020. [Google Scholar]
- Hindmarsh, J.J.; Smith, W.L. Quantifying construction vibration effects on daily radiotherapy treatments. J. Appl. Clin. Med. Phys. 2018, 19, 733–738. [Google Scholar] [CrossRef] [PubMed] [Green Version]
- Rahman, N.A.A.; Musir, A.A.; Dahalan, N.H.; Ghani, A.N.A.; Khalil, M.K.A. Review of Vibration Effect during Piling Installation to Adjacent Structure. AIP Conf. Proc. 2017, 1901, 110009. [Google Scholar]
- Athanasopoulos, G.A.; Pelekis, P.C. Ground vibrations from sheetpile driving in urban environment: Measurements, analysis and effects on buildings and occupants. Soil Dyn. Earthq. Eng. 2000, 19, 371–387. [Google Scholar] [CrossRef]
- Massarsch, K.R.; Fellenius, B.H. Ground vibrations from pile and sheet pile driving. Part 1 Building Damage. In Proceedings of the DFIEFFC International Conference on Piling and Deep Foundations, Stockholm, Sweden, 21–23 May 2014; pp. 131–138. [Google Scholar]
- Wiss, J.F. Damage Effects of Pile Driving Vibration. Highw. Res. Board 1967, 155, 14–20. [Google Scholar]
- Attewell, P.B.; Farmer, I.W. Attenuation of ground vibrations from pile driving. Ground Eng. 1973, 6, 4. [Google Scholar]
- Whyley, P.J.; Sarsby, R.W. Ground borne vibration from piling. Ground Eng. 1992, 25, 32–37. [Google Scholar]
- Hiller, D.M.; Hope, V.S. Groundborne Vibration Generated by Mechanized Construction Activities. Proc. Inst. Civ. Eng. Geotech. Eng. 1998, 131, 223–232. [Google Scholar] [CrossRef]
- ArcelorMittal. Piling Habdbook, 9th ed.; ArcelorMittal Commercial RPS: Esch-sur-Alzette, Luxembourg, 2016. [Google Scholar]
- Massarsch, K.R.; Fellenius, B.H. Engineering assessment of ground vibrations caused by impact pile driving. Geotech. Eng. 2015, 46, 54–63. [Google Scholar]
- Attewell, P.B.; Selby, A.R.; O’Donnell, L. Tables and graphs for the estimation of ground vibration from driven piling operations. Geotech. Geol. Eng. 1992, 10, 61–85. [Google Scholar] [CrossRef]
- Bay, J.A. A Summary of the Research on Pile Driving Vibrations. In Proceedings of the Pile Driving Contractor’s Association, 7th Annual Winter Roundtable, Atlanta, GA, USA, 21–22 February 2003. [Google Scholar]
- Ramshaw, C.L.; Selby, A.R.; Bettess, P. Ground Waves Generated by Pile Driving, and Structural Interaction. In Proceedings of the International Conferences on Recent Advances in Geotechnical Earthquake Engineering and Soil Dynamics, St. Louis, MO, USA, 30 March 2001. [Google Scholar]
- Khoubani, A.; Ahmadi, M.M. Numerical study of ground vibration due to impact pile driving. Proc. Inst. Civ. Eng. Geotech. Eng. 2014, 167, 28–39. [Google Scholar] [CrossRef]
- Homayoun Rooz, A.F.; Hamidi, A. A numerical model for continuous impact pile driving using ALE adaptive mesh method. Soil Dyn. Earthq. Eng. 2019, 118, 134–143. [Google Scholar] [CrossRef]
- Sofiste, T.V.; Godinho, L.; Costa, P.A.; Soares, D.; Colaço, A. Numerical modelling for prediction of ground-borne vibrations induced by pile driving. Eng. Struct. 2021, 242, 112533. [Google Scholar] [CrossRef]
- Masoumi, H.R.; François, S.; Degrande, G. A non-linear coupled finite element-boundary element model for the prediction of vibrations due to vibratory and impact pile driving. Int. J. Numer. Anal. Methods Geomech. 2009, 33, 245–274. [Google Scholar] [CrossRef]
- Grizi, A.; Athanasopoulos-Zekkos, A.; Woods, R.D. H-Pile Driving Induced Vibrations: Reduced-Scale Laboratory Testing and Numerical Analysis. In Proceedings of the IFCEE 2018, Orlando, FL, USA, 5–10 March 2018. [Google Scholar]
- Colaço, A.; Costa, P.A.; Parente, C.M.; Cardoso, A.S. Ground-borne noise and vibrations in buildings induced by pile driving: An integrated approach. Appl. Acoust. 2021, 179, 108059. [Google Scholar] [CrossRef]
- Ishibashi, I.; Zhang, X. Unified dynamic shear moduli and damping ratios of sand and clay. Soils Found. 1993, 33, 182–191. [Google Scholar] [CrossRef] [Green Version]
- Lopes, P.; Ruiz, J.F.; Costa, P.A.; Rodríguez, L.M.; Cardoso, A.S. Vibrations inside buildings due to subway railway traffic. Experimental validation of a comprehensive prediction model. Sci. Total Environ. 2016, 568, 1333–1343. [Google Scholar] [CrossRef]
- Colaço, A.; Costa, P.A.; Amado-Mendes, P.; Godinho, L. Prediction of Vibrations and Reradiated Noise Due to Railway Traffic: A Comprehensive Hybrid Model Based on a Finite Element Method and Method of Fundamental Solutions Approach. J. Vib. Acoust. Trans. ASME 2017, 139, 061009. [Google Scholar] [CrossRef]
- Uromeigy, A. Ground Vibration Measurements with Special Reference to Pile Driving. Ph.D. Thesis, Durham University, Durham, UK, 1990. [Google Scholar]
- Hiller, D.M.; Crabb, G.I. Groundborne Vibration Caused by Mechanised Construction Works. Noise Vib. Worldw. 2001, 32, 9–14. [Google Scholar]
- Lewis, M.R.; Davie, J.R. Vibrations due to pile driving. In Proceedings of the 3rd International Conference on Case Histories on Geotechnical Engineering, St. Louis, MO, USA, 1 June 1993. [Google Scholar]
- Dungca, J.R.; Acosta, D.Y.; Juego, M.B.; Sanchez, H.M.; Sanchez, I.S. The propagation behavior of pile-driving-induced vibration done on soil at varying distances and its effects on existing structures. Int. J. Geomate 2016, 10, 1877–1883. [Google Scholar]
- Nilsson, G. Markvibrationer Vid Pålslagning (Ground Vibrations during Pile Driving), in Examensarbete Nr. 3:89. Dept. of Soil and Rock Mechanics; Royal Institute of Technology (KTH): Stockholm, Sweden, 1989. [Google Scholar]
- Brenner, R.P.; Chittikuladolik, B. Vibrations from pile driving in the Bangkok area. Geotech. Eng. 1995, 6, 167. [Google Scholar]
- Rausche, F. Pile Driving Equipment: Capabilities and Properties. In Proceedings of the 6th International Conference on the Application of the Stress-Wave Theory to Piles, Sao Paulo, Brazil, 1 June 2000. [Google Scholar]
















| Upper range | 38.60 | 7.60 |
| Typical | 16.36 |
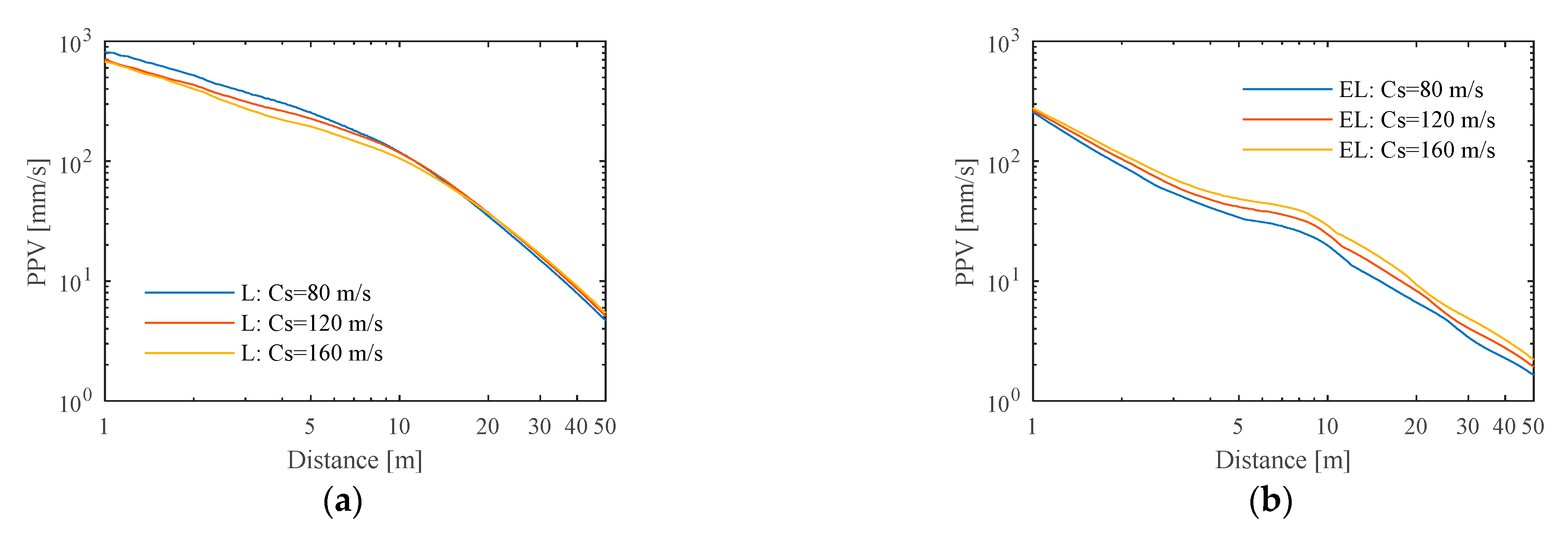
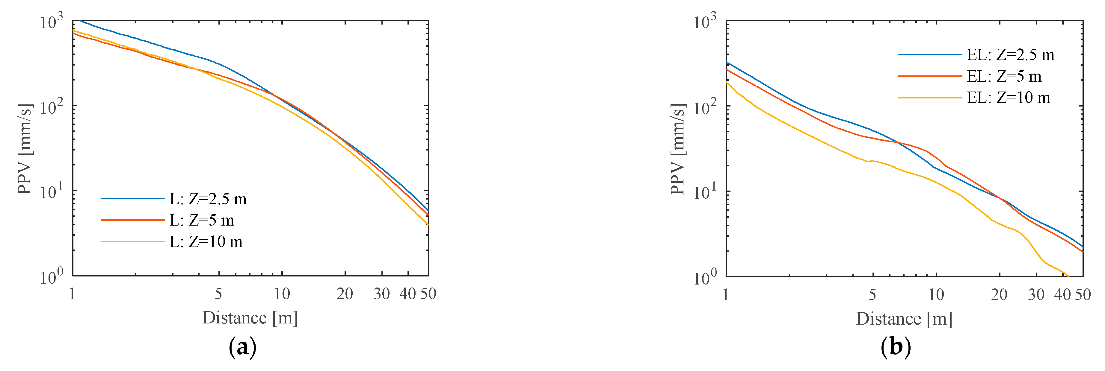
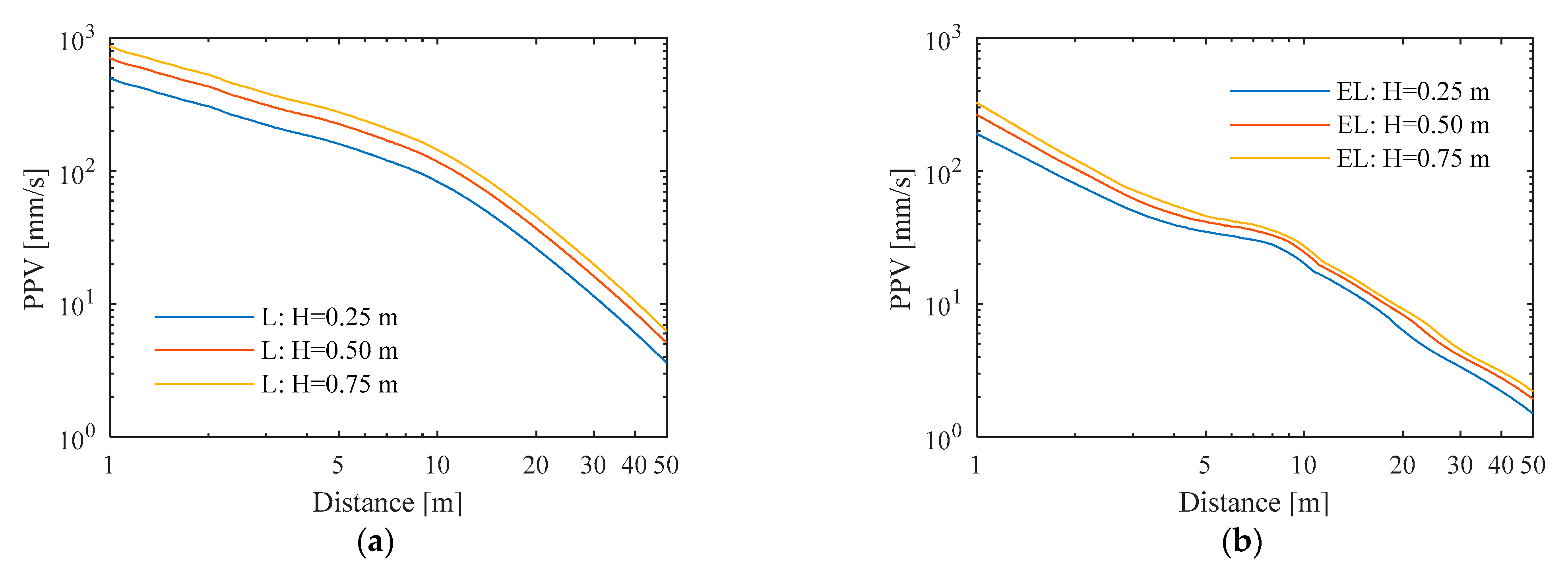
| Case | Cs (m/s) | H (m) | Z (m) | Case | Cs (m/s) | H (m) | Z (m) | Case | Cs (m/s) | H (m) | Z (m) |
|---|---|---|---|---|---|---|---|---|---|---|---|
| 1.1 | 80 | 0.50 | 2.5 | 2.1 | 80 | 0.25 | 2.5 | 3.1 | 80 | 0.75 | 2.5 |
| 1.2 | 120 | 0.50 | 2.5 | 2.2 | 120 | 0.25 | 2.5 | 3.2 | 120 | 0.75 | 2.5 |
| 1.3 | 160 | 0.50 | 2.5 | 2.3 | 160 | 0.25 | 2.5 | 3.3 | 160 | 0.75 | 2.5 |
| 1.4 | 80 | 0.50 | 5 | 2.4 | 80 | 0.25 | 5 | 3.4 | 80 | 0.75 | 5 |
| 1.5 | 120 | 0.50 | 5 | 2.5 | 120 | 0.25 | 5 | 3.5 | 120 | 0.75 | 5 |
| 1.6 | 160 | 0.50 | 5 | 2.6 | 160 | 0.25 | 5 | 3.6 | 160 | 0.75 | 5 |
| 1.7 | 80 | 0.50 | 10 | 2.7 | 80 | 0.25 | 10 | 3.7 | 80 | 0.75 | 10 |
| 1.8 | 120 | 0.50 | 10 | 2.8 | 120 | 0.25 | 10 | 3.8 | 120 | 0.75 | 10 |
| 1.9 | 160 | 0.50 | 10 | 2.9 | 160 | 0.25 | 10 | 3.9 | 160 | 0.75 | 10 |
Publisher’s Note: MDPI stays neutral with regard to jurisdictional claims in published maps and institutional affiliations. |
© 2022 by the authors. Licensee MDPI, Basel, Switzerland. This article is an open access article distributed under the terms and conditions of the Creative Commons Attribution (CC BY) license (https://creativecommons.org/licenses/by/4.0/).
Share and Cite
Colaço, A.; Ferreira, M.A.; Costa, P.A. Empirical, Experimental and Numerical Prediction of Ground-Borne Vibrations Induced by Impact Pile Driving. Vibration 2022, 5, 80-95. https://doi.org/10.3390/vibration5010004
Colaço A, Ferreira MA, Costa PA. Empirical, Experimental and Numerical Prediction of Ground-Borne Vibrations Induced by Impact Pile Driving. Vibration. 2022; 5(1):80-95. https://doi.org/10.3390/vibration5010004
Chicago/Turabian StyleColaço, Aires, Miguel Antas Ferreira, and Pedro Alves Costa. 2022. "Empirical, Experimental and Numerical Prediction of Ground-Borne Vibrations Induced by Impact Pile Driving" Vibration 5, no. 1: 80-95. https://doi.org/10.3390/vibration5010004
APA StyleColaço, A., Ferreira, M. A., & Costa, P. A. (2022). Empirical, Experimental and Numerical Prediction of Ground-Borne Vibrations Induced by Impact Pile Driving. Vibration, 5(1), 80-95. https://doi.org/10.3390/vibration5010004

