Characterization of Smoke Emissions from Wood and Plastic Combustion Under Controlled Conditions
Abstract
1. Introduction
2. Methods and Materials
2.1. Smoke Simulation System
2.2. Fuel Material Property
2.3. Sampling and Analysis Methods
2.4. Experimental Design for Controlled Combustion
2.5. Toxic Equivalent Quotient Assessment of Polycyclic Aromatic Hydrocarbons
3. Results and Discussion
3.1. System Reliability Validation
3.2. Fuel Material Fire Behaviors
3.3. Smoke Particle Mass
3.4. Particle Size Distribution
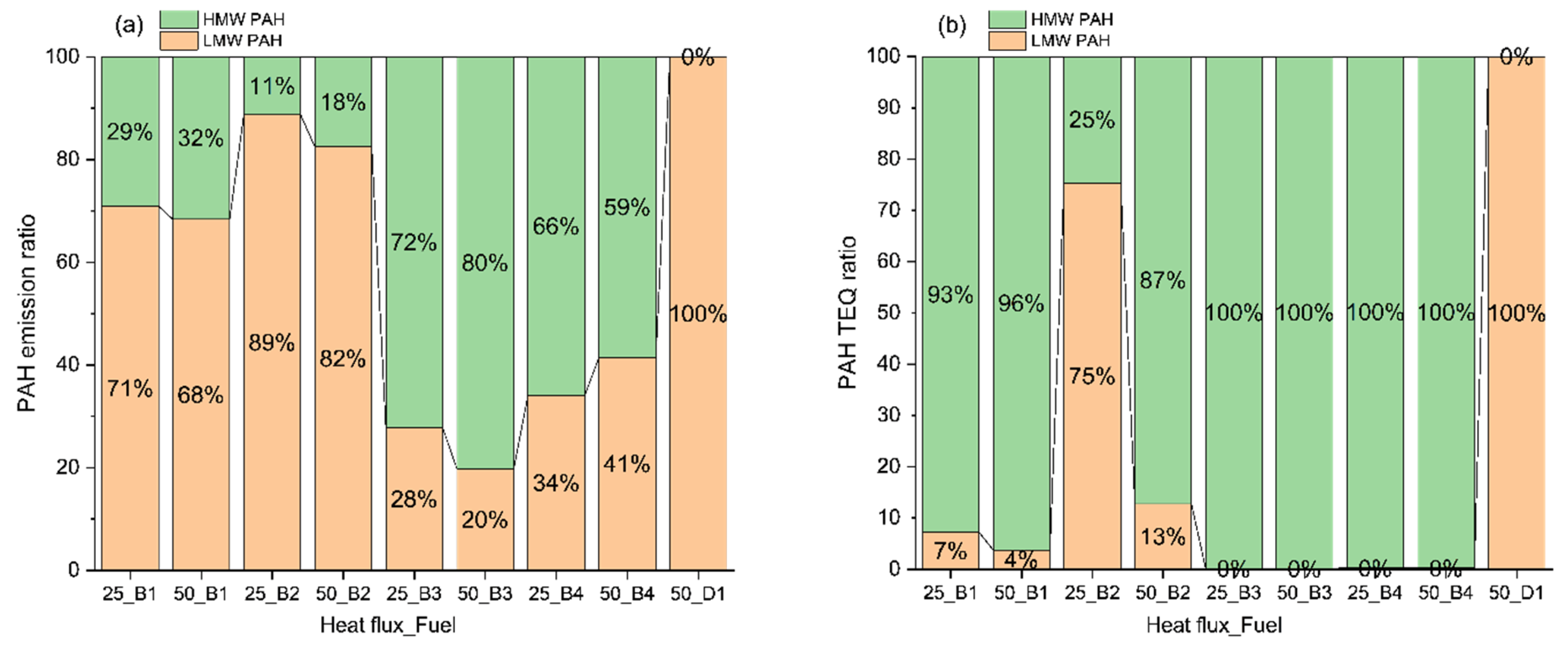
3.5. Emission of PAHs
3.6. Ring Effect on PAH Toxicity
3.7. PAH Distribution Across Particle Size by Oxygen Concentration
4. Conclusions
5. Limitations and Future Work
Supplementary Materials
Author Contributions
Funding
Institutional Review Board Statement
Data Availability Statement
Conflicts of Interest
Abbreviations
| BaP | Benzo[a]pyrene |
| CO | Carbon monoxide |
| CO2 | Carbon dioxide |
| CV | Coefficient of variation |
| EF | Emission factor |
| GC-MS | Gas chromatography–mass spectrometry |
| HMW | High-molecular-weight |
| HRR | Heat release rate |
| JSD | Jensen–Shannon divergence |
| LMW | Low-molecular-weight |
| MCE | Modified combustion efficiency |
| OPS | Optical particle sizer |
| PAH | Polycyclic aromatic hydrocarbon |
| PAH-TEQ | Polycyclic aromatic hydrocarbon toxic equivalent quotient |
| PM | Particulate matter |
| PM0.1 | Ultrafine particles (aerodynamic diameter < 0.1 μm) |
| PM2.5 | Fine particulate matter (aerodynamic diameter < 2.5 μm) |
| PM10 | Coarse particulate matter (aerodynamic diameter < 10 μm) |
| PS | Polystyrene |
| PVC | Polyvinyl chloride |
| SMPS | Scanning mobility particle sizer |
| TEF | Toxic equivalency factor |
| TSP | Total smoke production |
| VOC | Volatile organic compound |
| WUI | Wildland–urban interface |
References
- Watson, J.G.; Cao, J.; Chen, L.W.A.; Wang, Q.; Tian, J.; Wang, X.; Gronstal, S.; Ho, S.S.H.; Watts, A.C.; Chow, J.C. Gaseous, PM2.5 mass, and speciated emission factors from laboratory chamber peat combustion. Atmos. Chem. Phys. 2019, 19, 14173–14193. [Google Scholar] [CrossRef]
- Lemieux, P.M.; Lutes, C.C.; Santoianni, D.A. Emissions of organic air toxics from open burning: A comprehensive review. Prog. Energy Combust. Sci. 2004, 30, 1–32. [Google Scholar] [CrossRef]
- Hiemstra, H. Influence of Building Structure and Building Content on Residential Fires. Master’s Thesis, Lund University, Lund, Sweden, 2016. [Google Scholar]
- Holder, A.L.; Ahmed, A.; Vukovich, J.M.; Rao, V. Hazardous air pollutant emissions estimates from wildfires in the wildland urban interface. PNAS Nexus 2023, 2, pgad186. [Google Scholar] [CrossRef] [PubMed]
- Navarro, K.M.; Schweizer, D.; Balmes, J.R.; Cisneros, R. A Review of Community Smoke Exposure from Wildfire Compared to Prescribed Fire in the United States. Atmosphere 2018, 9, 185. [Google Scholar] [CrossRef]
- Austin, C.; Wang, D.; Ecobichon, D.J.; Dussault, G. Characterization of volatile organic compounds in smoke at municipal structural fires. J. Toxicol. Environ. Health Part A 2001, 63, 437–458. [Google Scholar] [CrossRef]
- Parizek, O.; Zavodna, T.; Milcova, A.; Drabova, L.; Stupak, M.; Gomersall, V.; Schmuczerova, J.; Jirik, V.; Topinka, J.; Pulkrabova, J. Personal exposure monitoring to polycyclic aromatic hydrocarbons bound to size-segregated aerosol. Atmos. Pollut. Res. 2024, 15, 102122. [Google Scholar] [CrossRef]
- Cedeño Laurent, J.G.; Parhizkar, H.; Calderon, L.; Lizonova, D.; Tsiodra, I.; Mihalopoulos, N.; Kavouras, I.; Alam, M.; Baalousha, M.; Bazina, L.; et al. Physicochemical Characterization of the Particulate Matter in New Jersey/New York City Area, Resulting from the Canadian Quebec Wildfires in June 2023. Environ. Sci. Technol. 2024, 58, 14753–14763. [Google Scholar] [CrossRef]
- Bayham, J.; Yoder, J.K.; Champ, P.A.; Calkin, D.E. The Economics of Wildfire in the United States. Annu. Rev. Resour. Econ. 2022, 14, 379–401. [Google Scholar] [CrossRef]
- Hunnicutt, P.; Henderson, G. Particulates Matter: Policy Failures, Air Pollution, and Collective Political Participation in the United States. Ph.D. Thesis, University of California, Berkeley, CA, USA, 2022. [Google Scholar]
- Rumi, M.J.U.; Wu, Y.; Zhang, M.; Li, R.; Song, G. Invisible hazards of ultrafine particles (UFPs) from Wildland-Urban Interface (WUI) fire smoke as emerging public health risks: A critical review of transformation dynamics from emission sources, exposure pathways, and vulnerable population to WUI fire toxicants. Sci. Total Environ. 2025, 1003, 180656. [Google Scholar] [CrossRef]
- Teixeira, J.; Sousa, G.; Azevedo, R.; Almeida, A.; Delerue-Matos, C.; Wang, X.; Santos-Silva, A.; Rodrigues, F.; Oliveira, M. Characterization of Wildland Firefighters’ Exposure to Coarse, Fine, and Ultrafine Particles; Polycyclic Aromatic Hydrocarbons; and Metal(loid)s, and Estimation of Associated Health Risks. Toxics 2024, 12, 422. [Google Scholar] [CrossRef]
- Fent, K.W.; Evans, D.E.; Babik, K.; Striley, C.; Bertke, S.; Kerber, S.; Smith, D.; Horn, G.P. Airborne contaminants during controlled residential fires. J. Occup. Environ. Hyg. 2018, 15, 399–412. [Google Scholar] [CrossRef]
- Eden, M.J.; Matz, J.; Garg, P.; Perera-Gonzalez, M.; McElderry, K.; Wang, S.; Gollner, M.J.; Oakes, J.M.; Bellini, C. Prolonged smoldering Douglas fir smoke inhalation augments respiratory resistances, stiffens the aorta, and curbs ejection fraction in hypercholesterolemic mice. Sci. Total Environ. 2023, 861, 160609. [Google Scholar] [CrossRef]
- Kim, Y.H.; Sinha, A.; George, I.J.; DeMarini, D.M.; Grieshop, A.P.; Gilmour, M.I. Toxicity of fresh and aged anthropogenic smoke particles emitted from different burning conditions. Sci. Total Environ. 2023, 892, 164778. [Google Scholar] [CrossRef] [PubMed]
- Garg, P.; Wang, S.; Oakes, J.M.; Bellini, C.; Gollner, M.J. Variations in gaseous and particulate emissions from flaming and smoldering combustion of Douglas fir and lodgepole pine under different fuel moisture conditions. Combust. Flame 2024, 263, 113386. [Google Scholar] [CrossRef]
- Malmborg, V.; Sadiktsis, I.; Madsen, D.; van Hees, P.; Grieshop, A.; Pagels, J. Biomass Burning Emissions and Influence of Combustion Variables in the Cone-Calorimeter. In Proceedings of the International Aerosol Conference 2022, Athens, Greece, 4–9 September 2022; p. 170. [Google Scholar]
- Samae, H.; Tekasakul, S.; Tekasakul, P.; Furuuchi, M. Emission factors of ultrafine particulate matter (PM < 0.1 μm) and particle-bound polycyclic aromatic hydrocarbons from biomass combustion for source apportionment. Chemosphere 2021, 262, 127846. [Google Scholar] [CrossRef] [PubMed]
- ISO 5660-1; Reaction-to-Fire Tests—Heat Release, Smoke Production and Mass Loss Rate. ISO: Geneva, Switzerland, 2015.
- Chatenet, S. An Instrumented Controlled-Atmosphere Cone Calorimeter to Characterize Electrical Cable Behavior in Depleted Fires. Ph.D. Thesis, Université de Lille, Lille, France, 2019. [Google Scholar]
- ISO 5660-5; Reaction-to-Fire Tests—Heat Release, Smoke Production and Mass Loss Rate. ISO: Geneva, Switzerland, 2020.
- ASTM E1354; Standard Test Method for Heat and Visible Smoke Release Rates for Materials and Products Using an Oxygen Consumption Calorimeter. ASTM: West Conshohocken, PA, USA, 2022.
- EPA. Method 8270E: Semivolatile Organic Compounds by Gas Chromatography/Mass Spectrometry (GC/MS) (SW-846 Test Method); U.S. Environmental Protection Agency, Office of Resource Conservation and Recovery: Washington, DC, USA, 2018. [Google Scholar]
- Urbanski, S. Wildland fire emissions, carbon, and climate: Emission factors. For. Ecol. Manag. 2014, 317, 51–60. [Google Scholar] [CrossRef]
- Ward, D.; Radke, L. Emissions measurements from vegetation fires: A comparative evaluation of methods and results. In Fire in the Environment: The Ecological, Atmospheric and Climatic Importance of Vegetation Fires; John Wiley & Sons: Hoboken, NJ, USA, 1993; Volume 13, pp. 53–76. [Google Scholar]
- Párničanová, A.; Zachar, M.; Kačíková, D. The Influence of the Heat Flux of the Infrared Heater on the Charring Rate of Spruce Wood. Polymers 2024, 16, 2657. [Google Scholar] [CrossRef]
- NFPA 1971; Standard on Protective Ensembles for Structural Fire Fighting and Proximity Fire Fighting. NFPA: Quincy, MA, USA, 2018.
- Massman, W.; Frank, J.; Shepperd, W.; Platten, M. In Situ soil temperature and heat flux measurements during controlled surface burns at a southern Colorado forest site. In Fire, Fuel Treatments, and Ecological Restoration: Conference Proceedings; Proceedings of RMRS-P-29, Fort Collins, CO, USA, 16–18 April 2002; Omi, P.N., Joyce, L.A., Eds.; US Department of Agriculture, Forest Service, Rocky Mountain Research Station: Fort Collins, CO, USA, 2003; Volume 29, pp. 69–88. [Google Scholar]
- Frankman, D.; Webb, B.W.; Butler, B.W.; Jimenez, D.; Forthofer, J.M.; Sopko, P.; Shannon, K.S.; Hiers, J.K.; Ottmar, R.D. Measurements of convective and radiative heating in wildland fires. Int. J. Wildland Fire 2013, 22, 157–167. [Google Scholar] [CrossRef]
- Filkov, A.I.; Tihay-Felicelli, V.; Masoudvaziri, N.; Rush, D.; Valencia, A.; Wang, Y.; Blunck, D.L.; Valero, M.M.; Kempna, K.; Smolka, J.; et al. A review of thermal exposure and fire spread mechanisms in large outdoor fires and the built environment. Fire Saf. J. 2023, 140, 103871. [Google Scholar] [CrossRef]
- Reisen, F.; Bhujel, M.; Leonard, J. Particle and volatile organic emissions from the combustion of a range of building and furnishing materials using a cone calorimeter. Fire Saf. J. 2014, 69, 76–88. [Google Scholar] [CrossRef]
- Reisen, F.; Meyer, C.P.; Weston, C.J.; Volkova, L. Ground-Based Field Measurements of PM2.5 Emission Factors from Flaming and Smoldering Combustion in Eucalypt Forests. J. Geophys. Res. Atmos. 2018, 123, 8301–8314. [Google Scholar] [CrossRef]
- Marquis, D.; Guillaume, E.; Camillo, A. Effects of oxygen availability on the combustion behaviour of materials in a controlled atmosphere cone calorimeter. In Proceedings of the Eleventh International Symposium on Fire Safety Science, Christchurch, New Zealand, 9–14 February 2014; Volume 11, pp. 138–151. [Google Scholar]
- Richter, F.; Jervis, F.X.; Huang, X.; Rein, G. Effect of oxygen on the burning rate of wood. Combust. Flame 2021, 234, 111591. [Google Scholar] [CrossRef]
- Wang, S.; Ding, P.; Lin, S.; Gong, J.; Huang, X. Smoldering and Flaming of Disc Wood Particles Under External Radiation: Autoignition and Size Effect. Front. Mech. Eng. 2021, 7, 686638. [Google Scholar] [CrossRef]
- Nisbet, I.C.; Lagoy, P.K. Toxic equivalency factors (TEFs) for polycyclic aromatic hydrocarbons (PAHs). Regul. Toxicol. Pharmacol. 1992, 16, 290–300. [Google Scholar] [CrossRef]
- Endres, D.M.; Schindelin, J.E. A new metric for probability distributions. IEEE Trans. Inf. Theory 2003, 49, 1858–1860. [Google Scholar] [CrossRef]
- Snegirev, A.Y.; Handawy, M.K.; Stepanov, V.V.; Talalov, V.A. Pyrolysis and combustion of polymer mixtures: Exploring additivity of the heat release rate. Polym. Degrad. Stab. 2019, 161, 245–259. [Google Scholar] [CrossRef]
- Fang, Y.; Wang, Q.; Bai, X.; Wang, W.; Cooper, P.A. Thermal and burning properties of wood flour-poly(vinyl chloride) composite. J. Therm. Anal. Calorim. 2012, 109, 1577–1585. [Google Scholar] [CrossRef]
- Hurley, M.J.; Gottuk, D.T.; Hall, J.R., Jr.; Harada, K.; Kuligowski, E.D.; Puchovsky, M.; Watts, J.M., Jr.; Wieczorek, C.J. SFPE Handbook of Fire Protection Engineering; Springer: Berlin/Heidelberg, Germany, 2015. [Google Scholar]
- Demirbas, A.; Arin, G. An Overview of Biomass Pyrolysis. Energy Sources 2002, 24, 471–482. [Google Scholar] [CrossRef]
- Mustafa, B.; Mat Kiah, M.; Andrews, G.; Phylaktou, H.; Li, H. Smoke Particle Size Distribution in Pine Wood Fires. In Proceedings of the Ninth International Seminar on Fire and Explosion Hazards; Saint-Petersburg Polytechnic University Press: St. Petersburg, Russia, 2019; Volume 2, pp. 930–939. [Google Scholar] [CrossRef]
- Matsuyama, Y. Fire Smoke and Combustion Characterization of Materials in an Enclosed Chamber. Ph.D. Thesis, Case Western Reserve University, Cleveland, OH, USA, 2022. [Google Scholar]
- Tsuchiya, Y. CO/CO2 ratios in fire. Fire Saf. Sci. 1994, 4, 515–526. [Google Scholar] [CrossRef]
- Wang, J.; Jiang, H.; Chen, Y.; Han, Y.; Cai, J.; Peng, Y.; Feng, Y. Emission characteristics and influencing mechanisms of PAHs and EC from the combustion of three components (cellulose, hemicellulose, lignin) of biomasses. Sci. Total Environ. 2023, 859, 160359. [Google Scholar] [CrossRef]
- Blomqvist, P.; Simonson, M.; Stec, A.; Gylenstam, D.; Karlsson, D. Characterisation of Fire Generated Particles; SP Sveriges Tekniska Forskningsinstitut: Gothenburg, Sweden, 2010. [Google Scholar]
- Fent, K.W.; Eisenberg, J.; Evans, D.; Sammons, D.; Robertson, S.; Striley, C.; Snawder, J.; Mueller, C.; Kochenderfer, V.; Pleil, J.; et al. Evaluation of Dermal Exposure to Polycyclic Aromatic Hydrocarbons in Fire Fighters; US Department of Health and Human Services, Centers for Disease Control and Prevention, National Institute for Occupational Safety and Health: Washington, DC, USA, 2013. [Google Scholar]
- Trojanowski, R.; Fthenakis, V. Nanoparticle emissions from residential wood combustion: A critical literature review, characterization, and recommendations. Renew. Sustain. Energy Rev. 2019, 103, 515–528. [Google Scholar] [CrossRef]
- Kim, Y.H.; Warren, S.H.; Kooter, I.; Williams, W.C.; George, I.J.; Vance, S.A.; Hays, M.D.; Higuchi, M.A.; Gavett, S.H.; DeMarini, D.M.; et al. Chemistry, lung toxicity and mutagenicity of burn pit smoke-related particulate matter. Part. Fibre Toxicol. 2021, 18, 45. [Google Scholar] [CrossRef] [PubMed]
- Blomqvist, P.; Hertzberg, T.; Tuovinen, H.; Arrhenius, K.; Rosell, L. Detailed determination of smoke gas contents using a small-scale controlled equivalence ratio tube furnace method. Fire Mater. Int. J. 2007, 31, 495–521. [Google Scholar] [CrossRef]
- Blomqvist, P.; McNamee, M.S.; Stec, A.A.; Gylestam, D.; Karlsson, D. Detailed study of distribution patterns of polycyclic aromatic hydrocarbons and isocyanates under different fire conditions. Fire Mater. 2014, 38, 125–144. [Google Scholar] [CrossRef]
- Valavanidis, A.; Iliopoulos, N.; Gotsis, G.; Fiotakis, K. Persistent free radicals, heavy metals and PAHs generated in particulate soot emissions and residue ash from controlled combustion of common types of plastic. J. Hazard. Mater. 2008, 156, 277–284. [Google Scholar] [CrossRef]
- Kim, K.-H.; Jahan, S.A.; Kabir, E.; Brown, R.J. A review of airborne polycyclic aromatic hydrocarbons (PAHs) and their human health effects. Environ. Int. 2013, 60, 71–80. [Google Scholar] [CrossRef]
- Ravindra, K.; Sokhi, R.; Van Grieken, R. Atmospheric polycyclic aromatic hydrocarbons: Source attribution, emission factors and regulation. Atmos. Environ. 2008, 42, 2895–2921. [Google Scholar] [CrossRef]
- Reizer, E.; Viskolcz, B.; Fiser, B. Formation and growth mechanisms of polycyclic aromatic hydrocarbons: A mini-review. Chemosphere 2022, 291, 132793. [Google Scholar] [CrossRef]
- Fine, P.M.; Cass, G.R.; Simoneit, B.R.T. Organic compounds in biomass smoke from residential wood combustion: Emissions characterization at a continental scale. J. Geophys. Res. Atmos. 2002, 107, ICC 11-11–ICC 11-19. [Google Scholar] [CrossRef]
- Yang, H.; Yan, R.; Chen, H.; Lee, D.H.; Zheng, C. Characteristics of hemicellulose, cellulose and lignin pyrolysis. Fuel 2007, 86, 1781–1788. [Google Scholar] [CrossRef]
- Banks, A.P.; Wang, X.; Engelsman, M.; He, C.; Osorio, A.F.; Mueller, J.F. Assessing decontamination and laundering processes for the removal of polycyclic aromatic hydrocarbons and flame retardants from firefighting uniforms. Environ. Res. 2021, 194, 110616. [Google Scholar] [CrossRef]
- Fent, K.W.; Alexander, B.; Roberts, J.; Robertson, S.; Toennis, C.; Sammons, D.; Bertke, S.; Kerber, S.; Smith, D.; Horn, G. Contamination of firefighter personal protective equipment and skin and the effectiveness of decontamination procedures. J. Occup. Environ. Hyg. 2017, 14, 801–814. [Google Scholar] [CrossRef]
- Pham, C.T.; Nghiem, T.D.; Le, H.-T.; Chu, H.D.; Tran, V.-T.; Sekiguchi, K.; Tang, N.; Hayakawa, K.; Toriba, A. Size distribution of airborne particle-bound polycyclic aromatic hydrocarbons during rice straw open burning in Hanoi, Vietnam. Atmos. Pollut. Res. 2024, 15, 102115. [Google Scholar] [CrossRef]








| Sample ID | Material | Heat Flux (kW/m2) | Oxygen Level (%) | Supplied Air Flow Rate (L/min) |
|---|---|---|---|---|
| B1 | Pine boards | 25, 50 | 20.95 | Open ventilation |
| B2 | Oak boards | 25, 50 | 20.95 | Open ventilation |
| B3 | PVC boards | 25, 50 | 20.95 | Open ventilation |
| B4 | PS boards | 25, 50 | 20.95 | Open ventilation |
| D1 | Pine discs | 50 | 20.95 | Open ventilation |
| D2 | Pine discs | 50 | 20.95, 15, 7, 0 | 100 |
Disclaimer/Publisher’s Note: The statements, opinions and data contained in all publications are solely those of the individual author(s) and contributor(s) and not of MDPI and/or the editor(s). MDPI and/or the editor(s) disclaim responsibility for any injury to people or property resulting from any ideas, methods, instructions or products referred to in the content. |
© 2026 by the authors. Licensee MDPI, Basel, Switzerland. This article is an open access article distributed under the terms and conditions of the Creative Commons Attribution (CC BY) license.
Share and Cite
Wu, Y.; Li, R.; Zhang, M.; Shi, J.; Zhou, F.; Etemadzadeh, M.; Hossain, M.J.; Rumi, M.J.U.; Song, G. Characterization of Smoke Emissions from Wood and Plastic Combustion Under Controlled Conditions. Fire 2026, 9, 117. https://doi.org/10.3390/fire9030117
Wu Y, Li R, Zhang M, Shi J, Zhou F, Etemadzadeh M, Hossain MJ, Rumi MJU, Song G. Characterization of Smoke Emissions from Wood and Plastic Combustion Under Controlled Conditions. Fire. 2026; 9(3):117. https://doi.org/10.3390/fire9030117
Chicago/Turabian StyleWu, Yulin, Rui Li, Mengying Zhang, Jiaxin Shi, Fan Zhou, Mazyar Etemadzadeh, Md Jakir Hossain, Md Jalal Uddin Rumi, and Guowen Song. 2026. "Characterization of Smoke Emissions from Wood and Plastic Combustion Under Controlled Conditions" Fire 9, no. 3: 117. https://doi.org/10.3390/fire9030117
APA StyleWu, Y., Li, R., Zhang, M., Shi, J., Zhou, F., Etemadzadeh, M., Hossain, M. J., Rumi, M. J. U., & Song, G. (2026). Characterization of Smoke Emissions from Wood and Plastic Combustion Under Controlled Conditions. Fire, 9(3), 117. https://doi.org/10.3390/fire9030117

