Next Article in Journal
Simulation-Based Investigation of the Effectiveness of Fire Suppression Techniques for Residential Furnishing
Previous Article in Journal
Strengthening Finnish Wildfire Preparedness and Response Through Lessons from Sweden’s 2018 Fires
 
 
Font Type:
Arial Georgia Verdana
Font Size:
Aa Aa Aa
Line Spacing:
Column Width:
Background:
Article

Effect of Nozzle Height on the Combustion Dynamics of Jet Fires in Rotating Flow Fields

1
College of Safety and Ocean Engineering, China University of Petroleum, Beijing 102249, China
2
Pipechina Institute of Science and Technology, Tianjin 300457, China
3
College of Safety Science and Engineering, Nanjing Tech University, Nanjing 211816, China
*
Authors to whom correspondence should be addressed.
Fire 2025, 8(8), 326; https://doi.org/10.3390/fire8080326
Submission received: 26 June 2025 / Revised: 20 July 2025 / Accepted: 28 July 2025 / Published: 15 August 2025

Abstract

In this paper, the effect of nozzle height on the combustion dynamics of jet fires in rotating flow fields (JFRFFs) is systematically investigated through experimental and numerical simulations. As the nozzle height increases, the JFRFF flame state transitions from stable rotation (SR) to unstable rotation (USR), and eventually to non-rotation (NR), indicating a weakening interaction between the vortex flow and the jet flame. The radial distribution of tangential velocity gradually deviates from the Burgers vortex model as the nozzle height increases, providing a criterion for distinguishing different flame states. Both vortex intensity and flame length are found to decrease with increasing nozzle height, whereas the maximum flame diameter increases. The relative position of the maximum flame diameter to the whole flame length firstly increases and then decreases to match that of the free jet fires, as the flame evolves from SR to USR and NR. In addition, the air entrainment near the nozzle exit decreases with increasing nozzle height, as evidenced by the gradual rise in lift-off height. These findings establish a theoretical basis for the fire performance design of flares in pipeline retrofitting and process industries.

1. Introduction

In long-distance natural gas pipeline systems, vent pipes (or blowdown pipes) serve as critical safety installations, enabling the safe release of natural gas from isolated pipeline segments during maintenance, emergency shutdowns, or routine operations. Flaring—a widely adopted disposal method—requires vent stacks to be elevated at least 4.5 m above ground to prevent gas accumulation and ensure compliant dispersion. Additionally, flares are essential devices for disposing of unwanted flammable gases and vapors through jet flame combustion in the process industry. As reported by the Daily Mail, a vortex flow in the background wind field approached a flare in a Siberia oil and gas field on 26 June 2017, ultimately interacting with the jet fire and causing a significant increase in flame height (Figure 1). This phenomenon highlights the importance of investigating the interaction between jet flames, vortex flows, and nozzle height (the vertical distance from the nozzle exit to the ground surface).
The combustion dynamics of jet fire have received a lot of attention. Previous research has quantified jet fire behavior in various environments, including still air [1,2,3], confined space [4], cross wind [5], pit [6,7,8], as well as impinging jet fires on plates [9], solid–gas jet fires [10], and interacting double jet fires [11]. However, studies on JFRFF remain limited [12,13,14]. Chigier et al. [12] and Beér et al. [13] employed a rotating cylinder screen, similar to that used by Emmons and Ying [15], to generate vortex flows interacting with jet flames. Their findings demonstrated that vortex flows increase flame length, blow-off velocity, and flame temperature while promoting the laminarization of turbulent jet fires. Recently, Zhou et al. [14] experimentally investigated JFRFF characteristics, including flow circulation, flame length, lift-off height, and flame wander, observing that vortex flows extend the flame length to a new equilibrium state. Notably, none of these studies considered the effect of nozzle height, meaning that their correlations [12,13,14] cannot be directly applied to scenarios with varying nozzle elevations.
Existing research confirms that nozzle height significantly impacts the combustion dynamics of jet fires [4] and fire whirls [16,17]. Cha and Chung [4] experimentally demonstrated that increasing the nozzle height above a circular plate elevates the lift-off height of free jet fires, attributing this effect to the restricted air entrainment near the plate. Similarly, Dobashi et al. [16] observed a substantial reduction in the flame length of fire whirl when the fuel pan was raised 20 cm above ground to minimize viscous surface effects. These findings suggest that nozzle height likely plays a crucial role in JFRFF combustion dynamics as well.
To address these research gaps, this study systematically examines the effect of nozzle height on JFRFF through combined experimental and numerical approaches. A pair of split cylinders generate controlled vortex flows interacting with jet flames at varying nozzle heights. The investigation specifically quantifies how nozzle height influences the inlet velocity, vortex intensity, flame dimensions (length and diameter), and lift-off height of JFRFF.

2. Experimental Section

Figure 2a depicts a schematic of the JFRFF experimental setup, comprising a jet fire apparatus and a pair of split cylinders. The jet fire apparatus, described in detail by Zhou et al. [14], was combined with split cylinders featuring axisymmetric offset slits similar to those used by Hayashi et al. [17], Wang et al. [18], and Hartl and Smits [19]. Each cylinder measured 200 cm in height and 50 cm in diameter and was mounted on a 100 cm × 100 cm steel table. A central 2 cm diameter hole secured the burner, with the nozzle height being adjustable from 0 to 110 cm. The diameter of the nozzle exit ( d ) was 3.25 mm. Propane fuel was used, ensuring fully developed flow before reaching the exit.
An Alicat mass flow controller recorded propane flow rates (0–50 SLPM range) with the ±0.2%. Six constant temperature hot wire anemometer sensors (HWA, model 0965-01 of Kanomax Inc., Osaka, Japan) were positioned along the slit centerline from 1 cm to 151 cm (Figure 2b) to measure inlet air velocities at 10 Hz sampling frequencies. Two additional HWA sensors (model 0963-00 of Kanomax Inc.) at 0.22, 0, L + 0.25 m and −0.22, 0, L + 0.25 m measured tangential velocities within the cylinder. Two digital videos (FDR-AXP55 and FDR-AX60 of Sony Corporation, Tokyo, Japan), positioned normal to the cylinder centerline, recorded flame length and lift-off height at 25 Hz sampling frequencies. Smoke tracing [20,21,22,23] visualized the rotating flow field below the nozzle exit. The test conditions included five nozzle heights ( L ), seven exit velocities ( u e ), and three slit widths ( S ), as specified in Table 1. Comparative free jet fires were conducted by removing the cylinders. The test duration and data processing method were the same as those used by Zhou et al. [14]. All tests were conducted in a large laboratory building whose doors and windows were closed.

3. Numerical Simulation

The fire dynamics simulator (FDS) is widely employed for studying smoke flow and heat transfer processes in fires, with the simulation results visualized through Smoke View (SMV). The software has been successfully used to simulate the fire whirls generated by various methods [24,25]. Battaglia et al. [24] studied fire whirls by imposing circulation on pool fires, validating their results against the experimental work of Emmons and Ying [15]. Similarly, the FDS has effectively reproduced fire whirls induced by multiple fires with both regular or random distributions [25]. In this study, the FDS (version 6.7.1) and SMV (version 6.7.5) were employed to examine how the rotating flow field varies with nozzle height. Experimental smoke traces and tangential velocity measurements provided qualitative and quantitative validation of the FDS results, respectively. It should be noted that the simulations primarily aim to reveal the physical evolution of flame states experimentally through flow field analysis rather than providing a complete quantitative characterization of the entire flame structure.
The numerical model employed a pair of split cylinders identical in size to the experimental setup, with a computational domain of 0.9 m × 0.9 m × 2.1 m. Following McGrattan et al. [26], we determined the optimal grid size using the ratio of the characteristic flame diameter ( D * ) to the computational mesh cell size ( δ x ), where D* is calculated by D * = q ˙ / ρ a c p , a T a g 1 / 2 2 / 5 . Here, q ˙ is the heat release rate, and ρ a , c p , a , and T a denote the specific heat capacity at constant pressure, density, and temperature of ambient air, respectively. For propane, the heat release rate was calculated by q ˙ = π d 2 ρ e u e Δ H e f f / 4 , where ρ e and Δ H e f f are the density and effective combustion heat of propane, respectively. In general, high resolution is achieved when D * / δ x 10 [27,28]. In this study, characteristic flame diameters range from 12 cm to 21 cm, corresponding to cell sizes of 12–21 mm. Through sensitivity analysis, the grid size was progressively refined until the simulation results became mesh-independent. The final computational mesh comprised three refined blocks totaling 3.15 million trimmed cells (Figure 3) to discretize the computational domain [29]. The smallest mesh cell size was 3 mm × 3 mm × 6 mm. A cuboid with a height of 2 m, a length of 6 mm, and a width of 6 mm was rotated 180 degrees around the z axis to obtain an approximately semicircular wall to restrict the air flow. The obstacle with an equivalent diameter of 1.6 cm and a height of L was placed in the center of the cylinder to simulate the nozzle.
The simulation employed a mixing-controlled, single-step infinitely fast combustion model and the constant Smagorinsky turbulence model, with detailed numerical approaches following our previous work [30]. The initial conditions of the simulation matched the experimental parameters outlined in Table 1, while all propane thermophysical and thermochemical properties retained their default values, as implemented in FDS (version 6.7.1). The velocities in different directions were recorded by the slices.

4. Results and Discussion

4.1. Experimental Observations

Figure 4 and Figure 5 show the flame patterns and the airflow visualization (using smoke tracers) above and below the nozzle exit, respectively, demonstrating the evolution of flame behavior with increasing nozzle height. Figure 4a,b present the typical flame images versus nozzle height for the JFRFF of S = 9.5 cm, as the exit velocities are 8.04 m/s and 32.14 m/s, respectively. As the nozzle height increases, the slender rotating flame gradually becomes unstable. When the nozzle height reaches a threshold, the flame no longer rotates and only swings unstably. Obviously, the flame state undergoes an evolution from SR to USR and finally to NR. The rotational strength indicated by the apparent spiral configuration in the upper flame obviously declines to be of NR. Note that both the increase in the fuel evaporation rate of liquid fuel [16,17,31] and the interaction of the vortex and flame [19,32] lead to an increase in the flame length of the fire whirl. Accordingly, the nozzle height has a negative effect on the interaction between the flow vortex and burning flame. In detail, the flame length firstly decreases and finally increases with an increase in the nozzle height, while the maximum flame diameter and its corresponding position and the lift-off height seem to increase. The evolution of flame behaviors should be caused by the effect of nozzle height on air entrainment, as extensively addressed in Section 4.2 and Section 4.3. In addition, a comparison between Figure 4a,b confirms that higher exist velocities produce larger flame heights and diameters.
Figure 5 shows the air flow below the nozzle in three different flame states when ue = 8.04 m/s. As shown in Figure 5a, when L = 70 cm and S = 5.5 cm, the air flow rotating around the cylindrical nozzle forms a dense and strong concentrated vortex, which indicates the stable rotating vortex with an intensive tangential velocity. The air entrainment of a burning flame is largely suppressed to create a very stable rotating flame. As the nozzle height increases to be 110 cm, the rotation of the air flow gradually becomes loose (Figure 5b), which indicates a reduction in the tangential velocity and thus the weakness of the vortex intensity. When the jet flame above the nozzle exit interacts with the weak rotating vortex, this causes the instability of the rotating flame. When the nozzle height (or slit width) continues to increase, the vortex intensity further decreases to make the air rotation slower and looser (Figure 5c). Accordingly, the rotation of the flow field is not strong enough to induce the rotating flame.

4.2. Numerical Simulation Analysis of Rotating Flow Field Below the Nozzle Exit

Figure 6 shows the numerical simulation results of the flow fields below the nozzle exit, corresponding to the experimental observations of the SR, USR, and NR states shown in Figure 5. As shown, the simulations demonstrate good qualitative agreement with the experimental measurements. When L = 70 cm and S = 5.5 cm, the stable concentrated vortex can be clearly observed to form near the center of the cylinder (Figure 6a). There is a vortex core, indicated by the dense area of vorticity in this concentrated vortex, showing the flow motion of a rigid body rotation. When the nozzle height increases to be 110 cm, the concentrated vortex is gradually loosened, indicating that there is a decrease in the intensity of the rotating vortex (Figure 6b). The flame above the nozzle exit interacts with the weak vortex and sometimes appears as a “puffing” type of entrainment caused by the periodic shedding of the large vortex flame structure [33]. Accordingly, the USR flame of JFRFF appears. When the intensity of the rotating vortex further decreases, the flow structure of the concentrated vortex disappears to generate the flame of the NR (Figure 6c). However, the flame in the NR state is not completely equivalent to a free jet fire and shows a smaller flame length due to the complex flow field around the flame.
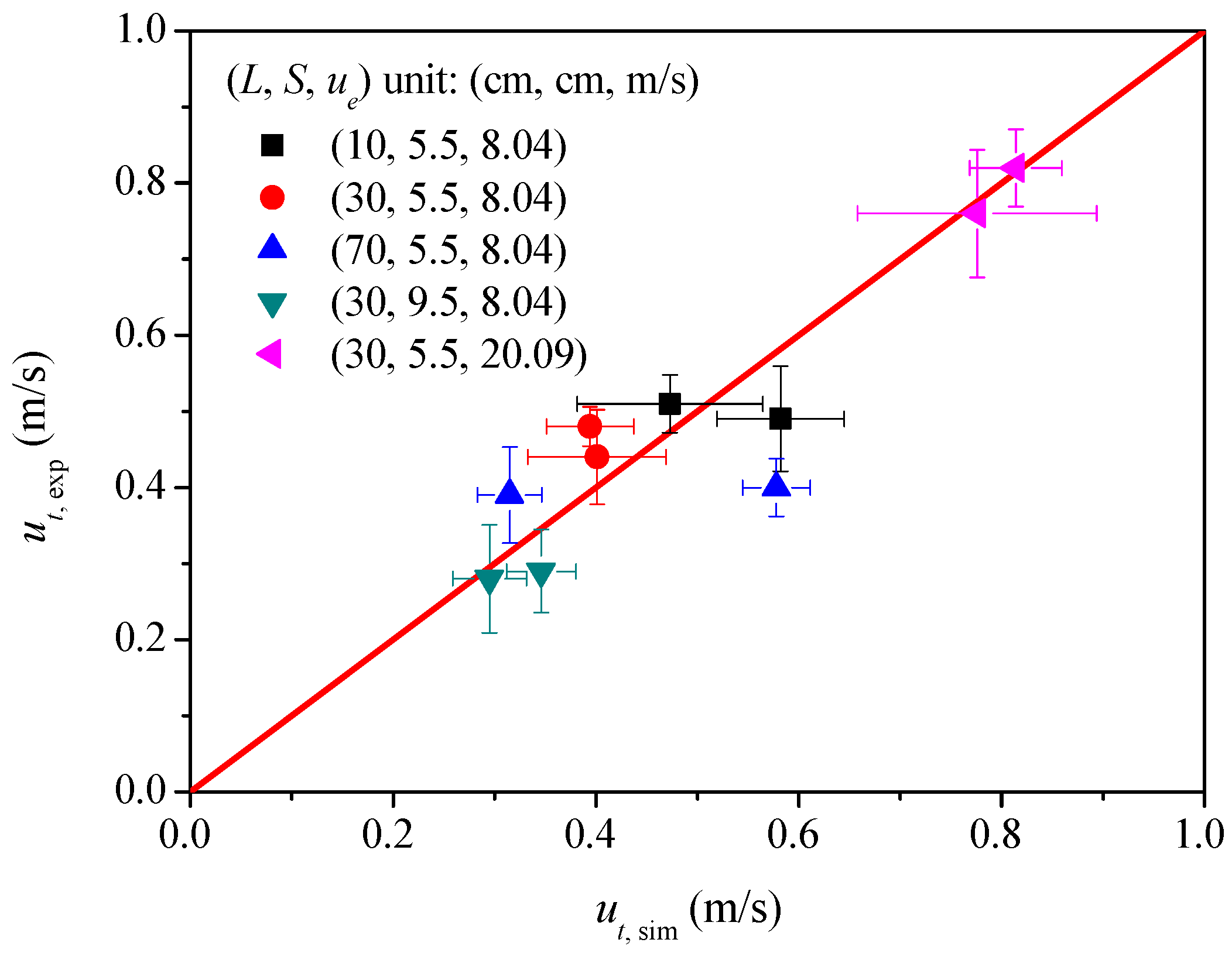
Figure 7 shows the comparative analysis of the tangential velocity profiles between the experiments and numerical simulations under various test conditions. In the figure, u t , exp and u t , sim represent the tangential velocities obtained from the experiments and simulations, respectively. The error bar indicates the fluctuation amplitude of the tangential velocity with time. As shown, the numerical simulation and experimental measurement quantitatively show a good consistency. In short, the FDS simulation is reliable as it can give the flow field below the nozzle exit.
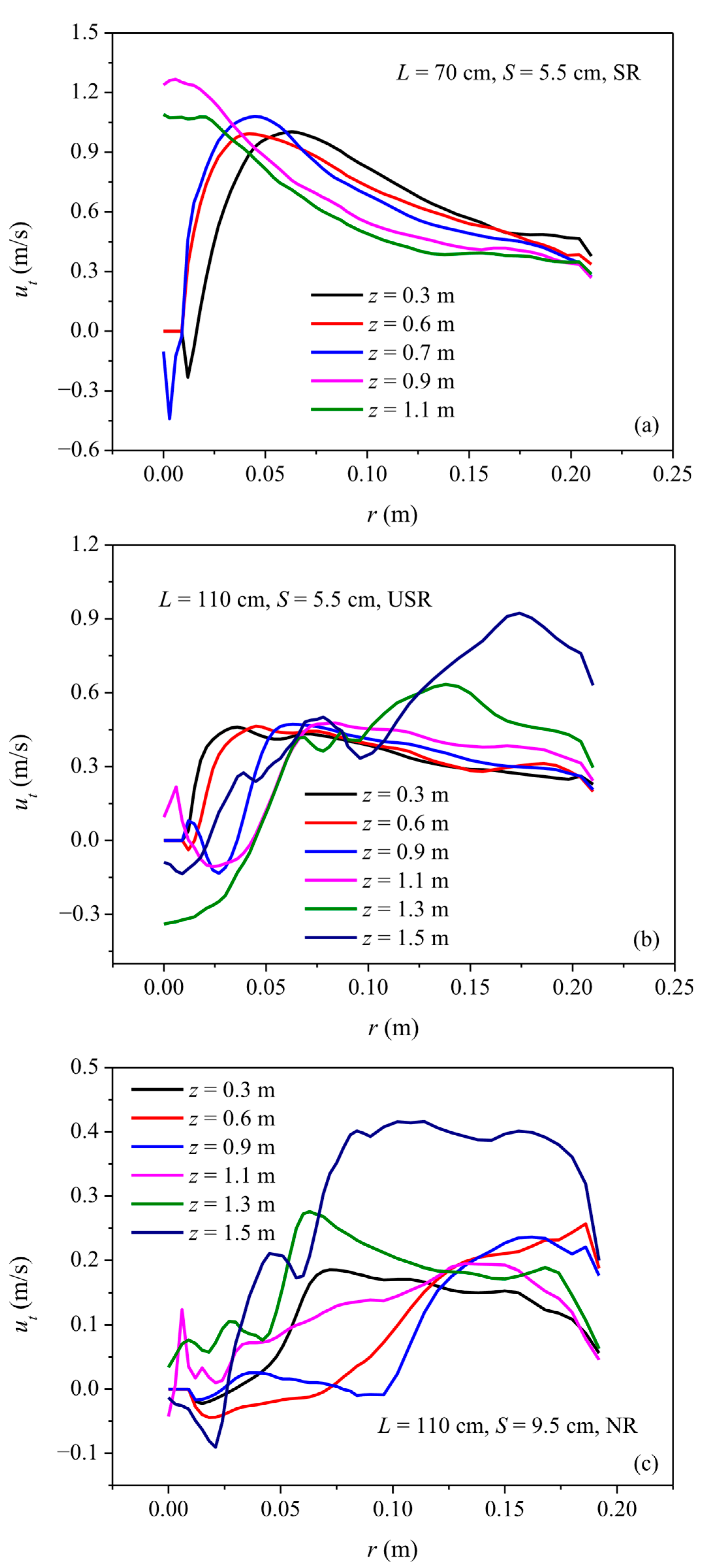
To further elucidate the physical mechanisms underlying the three distinct flame states, the radial distribution of the tangential velocity ( u t ) at different heights was extracted from the simulation results, as shown in Figure 8, with the same test conditions of Figure 5 and Figure 6. When the JFRFF holds the flame of SR (Figure 8a), the tangential velocity distribution below the nozzle follows the Burgers vortex model, characterized by a smooth transition of the tangential velocity from the inner vortex core to the outer free vortex [18]. Above the nozzle exit, the external free vortex is stable, despite no obvious vortex core. When the flame holds the state of USR (Figure 8b), the tangential velocity below the nozzle still follows the Burgers vortex model, but the maximum tangential velocity is much less than that of SR. Above the nozzle exit, the tangential velocity completely deviates from the Burgers vortex model and shows an irregular and complex distribution that indicates an unstable rotating flow field. When the flame further evolves to be of NR (Figure 8c), the tangential velocity distribution no longer follows the Burgers vortex model both below and above the nozzle exit, and the maximum tangential velocity continues to decrease. Obviously, for the JFRFF in the states of USR and NR, the flow circulation calculated by the tangential velocity measured at a certain position can no longer characterize the vortex intensity.
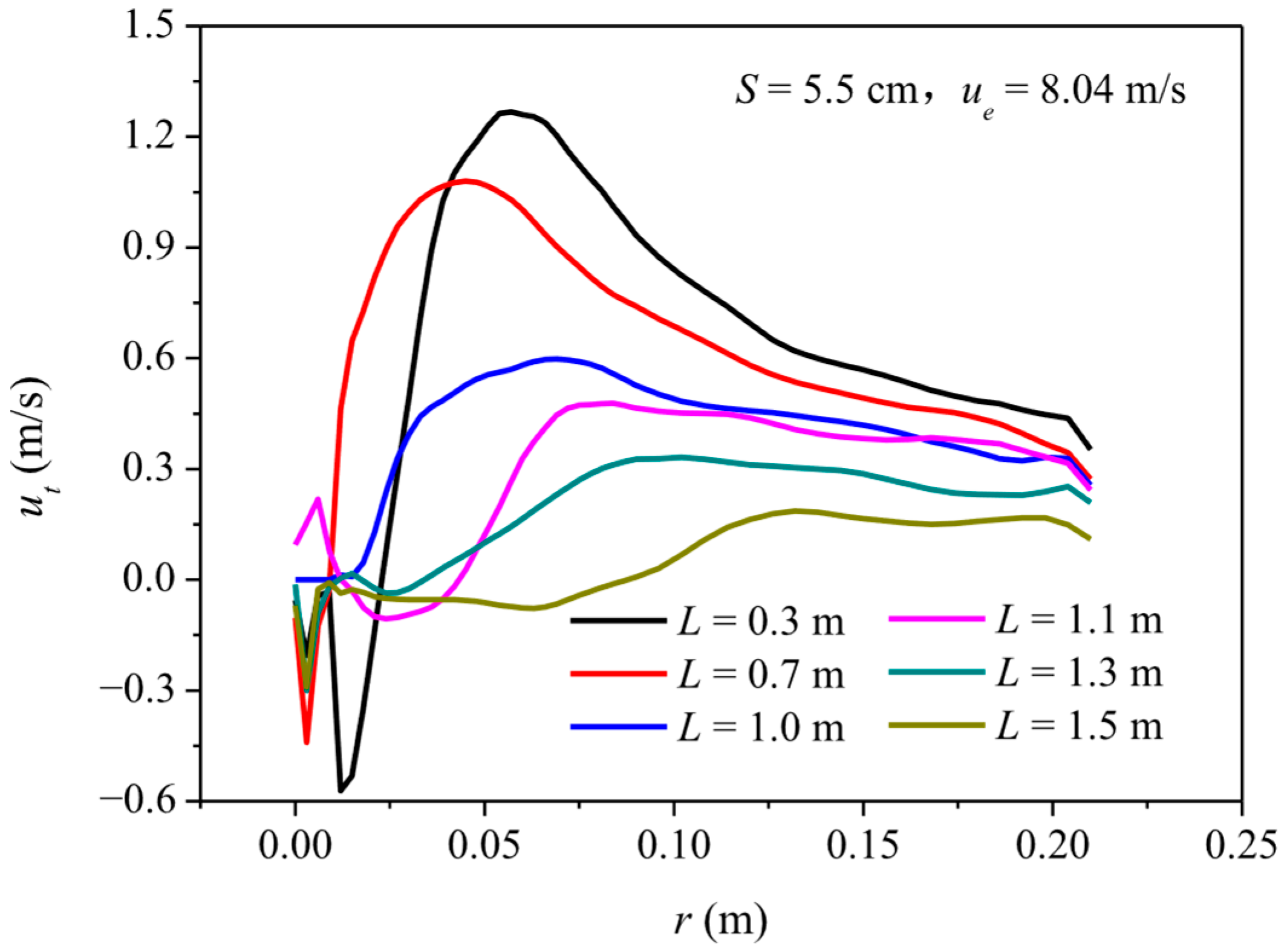
As indicated by the above analysis of Figure 8, the radial profile of the tangential velocity at the nozzle height can be used to distinguish the flame state of JFRFF. Figure 9 shows the radial distribution of the tangential velocity at the six different nozzle heights when S = 5.5 cm and ue = 8.04 m/s. When L = 0.3–0.7 m, the tangential velocity distribution strictly follows the Burgers vortex model. As the nozzle height increases, the maximum tangential velocity gradually decreases, and the distribution gradually deviates from and finally does not follow the Burgers vortex model, as indicated by an approximate curve fluctuating around zero for L = 1.5 m. Therefore, when the radial distribution of the tangential velocity at the nozzle height follows the Burgers vortex model, the flame holds the state of SR. When the tangential velocity at the nozzle height is approximately zero despite the radial position, the flame is of NR. There is a decay for the tangential velocity distribution from the Burgers vortex model to zero profile, so USR would appears between SR and NR.

4.3. Inlet Velocity and Vortex Intensity

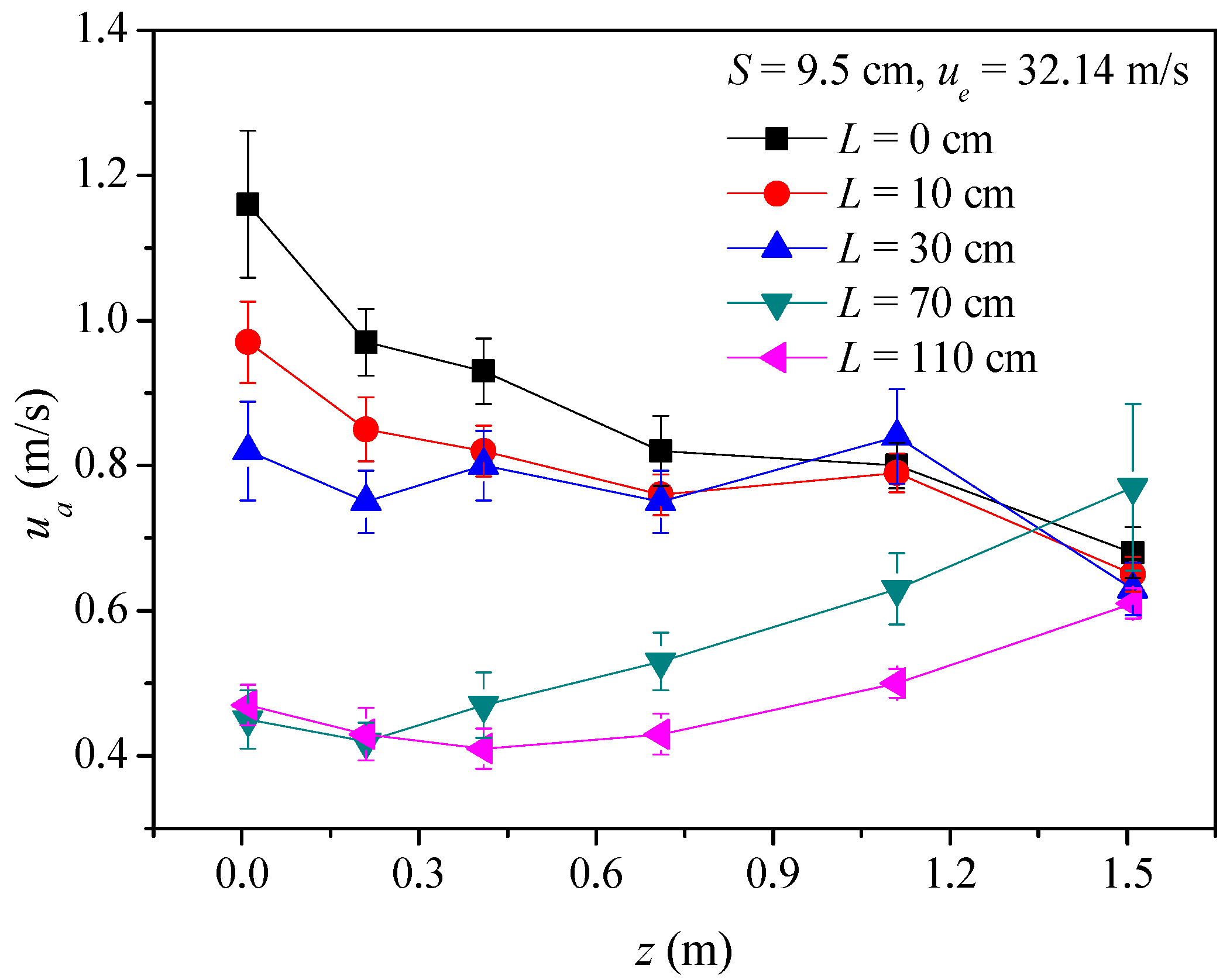
Figure 10 presents the variation in the inlet velocity ( u a ) with the vertical height under different nozzle heights for the JFRFF of S = 9.5 cm and ue = 32.14 m/s. For nozzle heights of 0–30 cm, the inlet velocity decreases as the vertical height increases, which indicates the large air entrainment near the ground surface. When the nozzle height is over 70 cm, the inlet velocity firstly decreases and then increases with the increase in the vertical height. However, the inlet velocity of the fire whirl almost remains constant along the slit for the position below the flame length, as clarified by the experimental measurement [34,35] and numerical simulation [36], while it drops sharply as the vertical height is over the flame length [36]. Obviously, most of the air is entrained through the slit in the position that corresponds to the burning flame. For a pair of split cylinders, the mass flow rate of the entrained air can be expressed as m ˙ a = 0 H + L 2 S ρ a u a d z , where H is the mean flame length over the nozzle exit. For jet flame combustion, m ˙ a / m ˙ e   =   n s . Here, m ˙ e is the mass flow rate of propane, n is the proportional constant, and s is the stoichiometric air–fuel ratio. When the nozzle exit velocity is constant, the nozzle height will increase H + L , despite the decrease in H , thus reducing the inlet air velocity.
Figure 11 shows the tangential velocity ( u ¯ t ) versus nozzle height for the JFRFF of different exit velocities under S = 9.5 cm and different slit widths under ue = 32.14 m/s. Note that the flame does not rotate when L = 110 cm and S = 9.5 cm. As shown, the tangential velocity decreases as the nozzle height increases, indicating a reduction in the interactive strength between the vortex and flame. In addition, an increase in the nozzle exit velocity increases the tangential velocity, similar to that of the fire whirl [34]. The decrease in slit width can also increase the tangential velocity, as almost the same mass of air should be entrained under the same nozzle exit velocity.
The vortex flow of JFRFF consists of a vortex core and an external free vortex [12]. Accordingly, for JFRFF in the state of SR, the flow circulation ( Γ ) can be calculated by Γ = 2 π r u ¯ t . Recall that the flow circulation is proportional to the inlet velocity for the fire whirls with different pan diameters [35,37]. Leit et al. [35] measured the ratio of the flow circulation to the inlet circulation ( Γ i n = 2 π R V i n ) as 0.72 ± 0.03. Therefore, the inlet circulation can characterize the intensity of the rotating vortex. For the variation in the inlet velocity in the axial direction, the mean inlet circulation ( Γ i n ) can be expressed as follows:
Γ i n = 0 H + L π D u a d z / H + L
where D is the cylinder diameter. Figure 12 shows the flow circulation versus the mean inlet circulation. Obviously, the flow circulation proportionally depends on the mean inlet circulation for the JFRFF in the state of SR, regardless of the nozzle height.

4.4. Flame Length and Diameter

Figure 13 shows the flame length versus the nozzle height of JFRFF and free jet fire. The effect of the nozzle height on the flame length is more significant for JFRFF than free jet fire. The free jet flame length undergoes a small increase and then reaches a steady state as the nozzle height increases. When L = 0–30 cm, due to the strong interaction between the flame and vortex, the JFRFF holds a larger flame length than free jet fire, as the flame is SR despite the exit velocity and slit width. As the nozzle height continues to increase, the JFRFF holds the flame of USR, resulting in less flame length than the free jet fire.
For JFRFF, the flame length decreases and finally increases as the nozzle height increases with the flame evolution from rotation to no rotation. Note that USR occurs for S = 5.5 cm and 7.5 cm and L = 110 cm, while NR appears for S = 9.5 cm and L = 110 cm. The two competitive effects of flow circulation (vortex intensity) are considered to dominate the fame height of JFRFF under L = 0 cm [14]. In detail, the enhancement of air entrainment in the ground layer reduces the flame length by weakening the exit momentum, whereas the reduction in the fuel–air mixing rate above the ground layer increases the flame length. Accordingly, the reductive effect of the former would gradually disappear as the nozzle height increases away from the ground, and the enhancement effect of the latter will also disappear due to the decrease in the vortex intensity. The nozzle exit could still be in the ground layer for L = 10 cm; thus, the variation in flame length is as complex as L = 0–10 cm. However, as the nozzle height increases to be above the ground layer, there is only the latter effect, and thus the flame length decreases along with the decrease in vortex intensity until NR occurs.
The flame length decreases as the slit width increases, as indicated by the data of ue = 32.14 m/s in Figure 13. The amount of air required for flame combustion is almost the same if the exit velocity of propane is constant. Accordingly, the increase in the slit width reduces the air inlet velocity and thus decreases the vortex intensity to reduce the flame length.
As shown in Figure 13, the flame length in SR is larger than that in free jet fire, while the flame length in USR is less than that in free jet fire. Accordingly, the condition under which the JFRFF holds the same flame length as the free jet fire could help to define the critical nozzle height ( L c ) for the transition from SR to USR, and the corresponding flow circulation is the critical flow circulation ( Γ c ). Furthermore, the radial distribution of tangential velocity is considered to still follow the Burgers vortex model in the critical state. The linear interpolation method can help to determine the critical nozzle height for the different exit velocities and slit widths, as listed in Table 2. The critical nozzle height decreases as the slit width increases, but it could be weakly related to the exit velocity. Figure 14 shows the critical flow circulation versus the exit velocity at different slit widths. The critical flow circulation gradually increases as the exit velocity increases, quantified by Γ c = 0.11 u e 0.64 . Above the critical curve is the region of flame in SR, while the state of USR is located below the critical curve. In the future, accurate experimental measurements are needed to further explore the critical flow circulation.
A definite correlation of flame length was proposed to couple the heat release rate and flow circulation of the fire whirl [38], as follows:
H * = K ( q ˙ * Γ * 2 ) m
where H * = H / d , q ˙ * = q ˙ / c p , a ρ a T a g 0.5 d 2.5 , Γ * = Γ / g 0.5 d 1.5 , K and m are the dimensionless flame length, heat release rate, flow circulation, coefficient and exponent, respectively. Equation (2) was verified by the experimental data in [15,19,38,39]. In particular, the correlation was used to correlate the data of JFRFF under L = 0 cm [14]. Therefore, Equation (2) is further used to test the JFRFF of different nozzle heights.
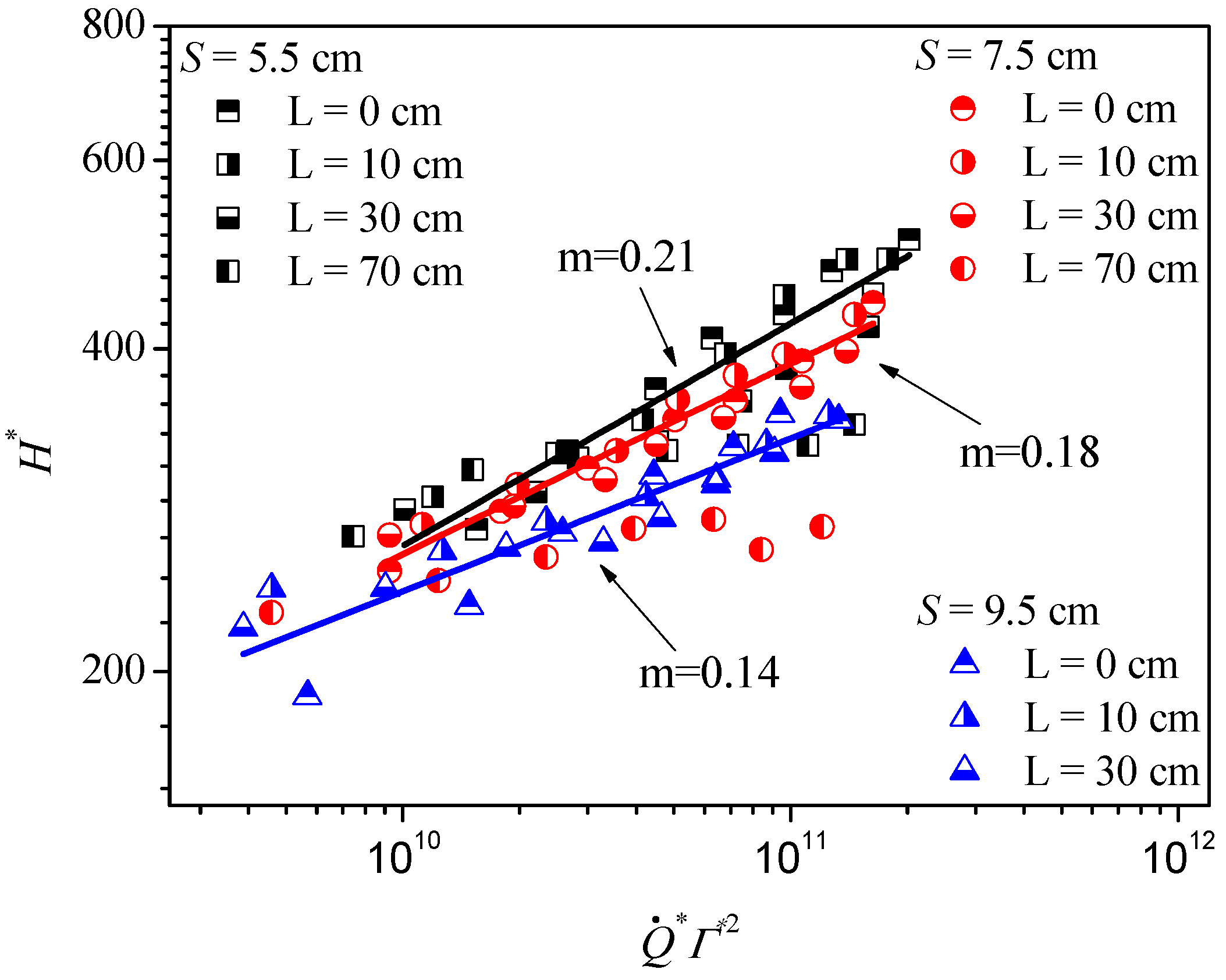
It is impossible to calculate the flow circulation using the tangential velocity at a certain position, for the JFRFF of USR and NR deviates from the Burgers vortex model, as outlined in Section 4.2. Accordingly, only the JFRFF of SR is considered to justify Equation (2). Figure 15 shows the dimensionless flame length scaling of JFRFF in SR. For a fixed slit width, the results of different nozzle heights present a considerable consistency, except for some cases of L = 70 cm in which the air entrainment could largely come from the top due to the limited height of the cylinder. Obviously, the JFRFF of different nozzle heights holds the flame length that well follows the correlation. However, the data of different slit widths do not collapse together. In detail, the exponent of Equation (2) gradually increases and approaches the exponent of the fire whirl (m = 0.33–0.39) as the slit width decreases. The result of the fire whirl shows that the exponent does not change with the slit width [19]. Recall the similar variation in the exponent with the flow guide angle of Zhou et al. [14] for L = 0 of JFRFF. The variation in the exponent could be caused by the effect of air entrainment on the nozzle exit momentum. In the future, more research is needed to further analyze the variation in the exponent for JFRFF.
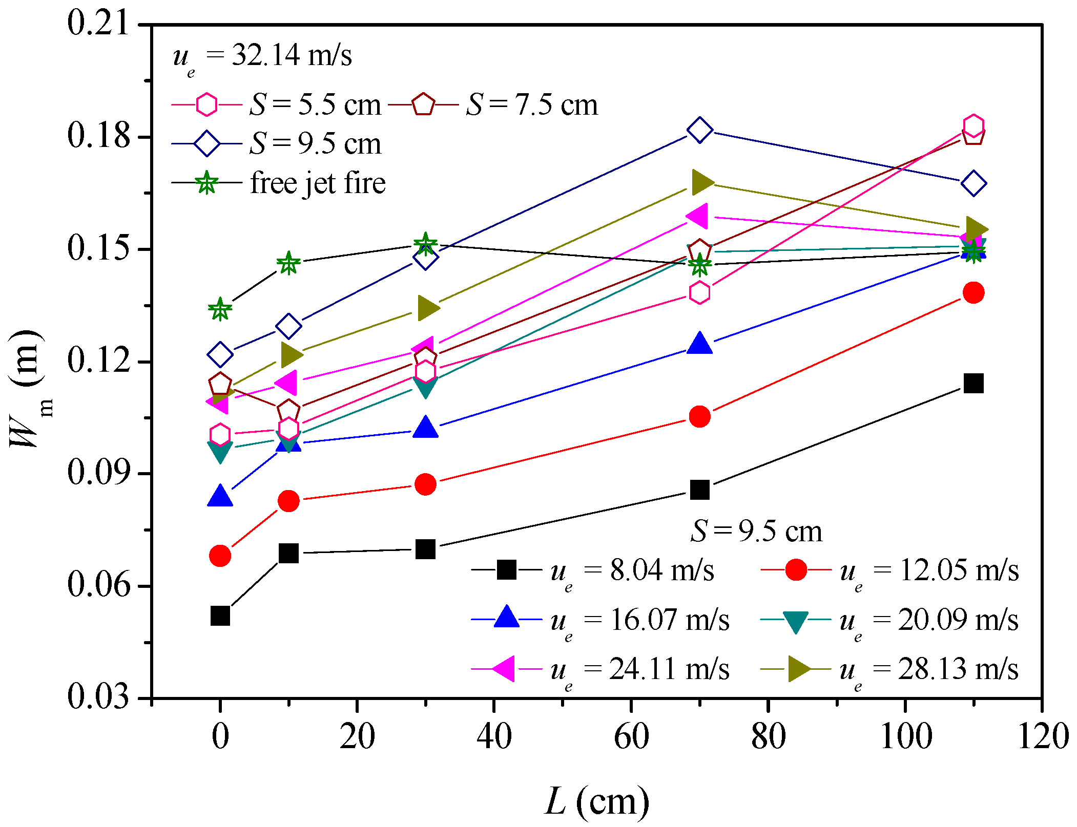
Figure 16 shows the maximum flame diameter ( W m ) versus the nozzle height for the JFRFF and free jet fire. The nozzle height has only a small effect on the flame diameter of the free jet fire, but it significantly increases the flame diameter of JFRFF. Recall that the flow circulation (vortex intensity) suppresses the turbulent mixing between fuel gas and surrounding air, thus decreasing the flame diameter of the fire whirl [40]. As discussed in Section 4.2, the nozzle height has a negative effect on the vortex intensity. Accordingly, the nozzle height positively affects the flame diameter. In addition, the slit width can also increase the flame diameter of JFRFF, as it negatively affects the vortex intensity.
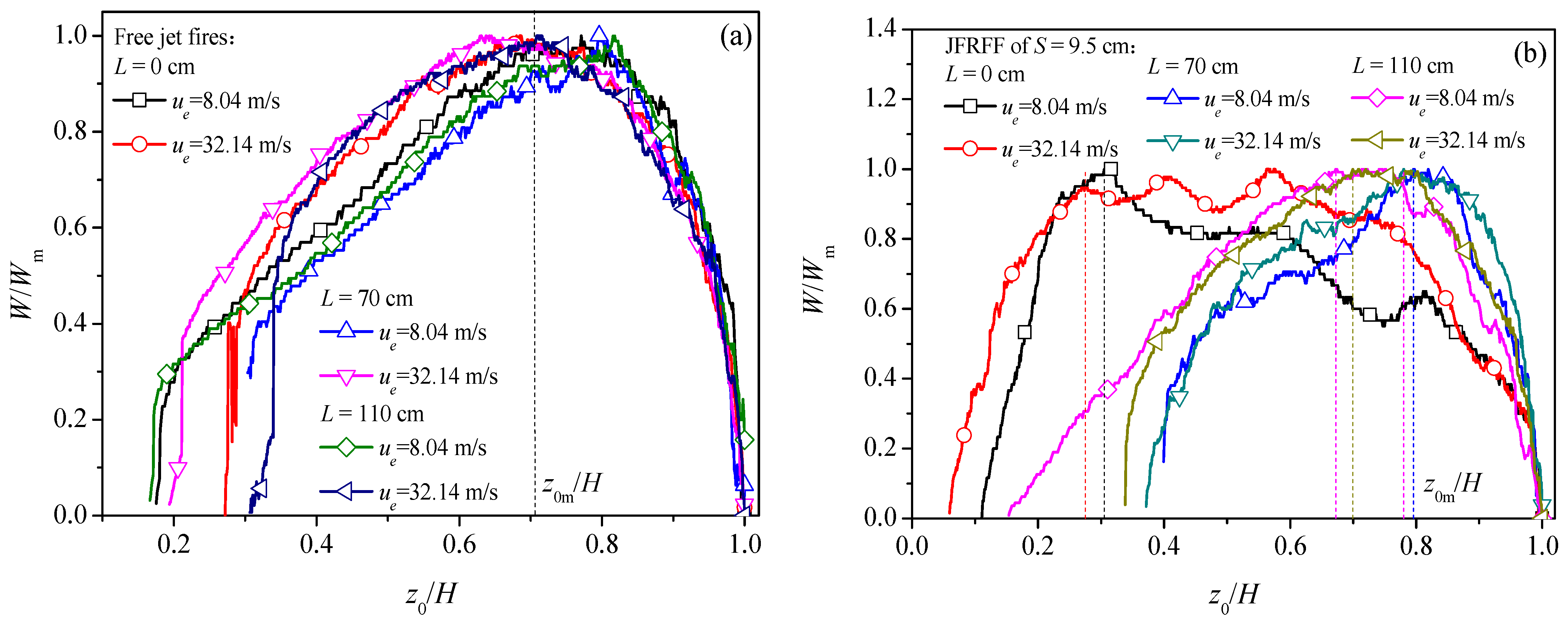
Figure 17a,b present the normalized flame diameter ( W / W m ) versus the vertical height ( z 0 / H ) above the nozzle exit for the free jet fire and the JFRFF of S = 9.5 cm, respectively. The nozzle height has a negligible effect on the variation in the flame diameter with the vertical height for the free jet fire, while it imposes a significant effect for the JFRFF. In detail, the position of the maximum flame diameter ( z 0 m / H ) is nearly 0.7 for the free jet fire, despite the nozzle height. However, for the JFRFF, the position of the maximum flame diameter firstly increases and then decreases to that of the free jet fires as the nozzle height increases. In general, the flame diameter depends on the outward diffusion of fuel gas in the radial direction when the fuel gas vertically jets. When the nozzle height is zero, the large flow circulation enhances the air entrainment in the ground surface boundary, and thus the outward diffusion of fuel gas needs a short time in which the jet fuel gas travels a short distance. As the nozzle height increases, the flow circulation decreases, while the nozzle exit gradually moves away from the ground surface boundary. Note that the flow circulation reduces the air entrainment above the ground surface boundary. Accordingly, the outward diffusion of fuel gas needs to be ongoing for a long time before a large nozzle height can be reached, which results in a large traveling distance of jet fuel gas in the vertical direction. When the nozzle height is large enough to reduce the flow circulation to be zero, the nozzle height would impose no effect on the position of the maximum flame diameter, similarly to that for the free jet fire. In addition, the nozzle exit velocity only has a small effect on the distribution of the normalized flame diameter verse vertical height for both the free jet fire and JFRFF.

4.5. Lift-Off Height

The lift-off height ( h ) is defined as the vertical distance from the nozzle exit to the flame base. Figure 18 presents the lift-off height versus nozzle height under different exit velocities and slit widths for JFRFF and free jet fire. As shown, the lift-off height of the free jet fire slightly increases as the nozzle height increases, which is similar to that of Cha and Chung [4]. However, the lift-off height of JFRFF significantly increases as the nozzle height increases. JFRFF has a lower lift-off height than the free jet fire, which is similar to that of Zhou et al. [14].
The premixed flame propagation model is generally used to explain the lift-off phenomenon of diffusion jet fires [1,2] and JFRFF [14]. The flame base stabilizes at a region where the local gas flow velocity equals the flame burning speed of the fuel–air mixture. The flow circulation (vortex intensity) significantly reduces the lift-off height of JFRFF under L = 0 cm [14]. Accordingly, the decrease in the vortex intensity would increase the lift-off height, as the nozzle height increases within the ground boundary layer. In comparison, as the nozzle height increases to be above the ground boundary layer, the further increase in lift-off height results from less air entrainment in the lift-off region, even though the vortex intensity continues to decrease. Note that the vortex intensity suppresses the turbulent mixing between air and fuel in the flame above the boundary layer [40]. Less air entrainment means that the fuel–air mixture of high momentum needs to travel a larger distance to reach the flame burning velocity. Moreover, the slit width seems to only have a small effect on the lift-off height.
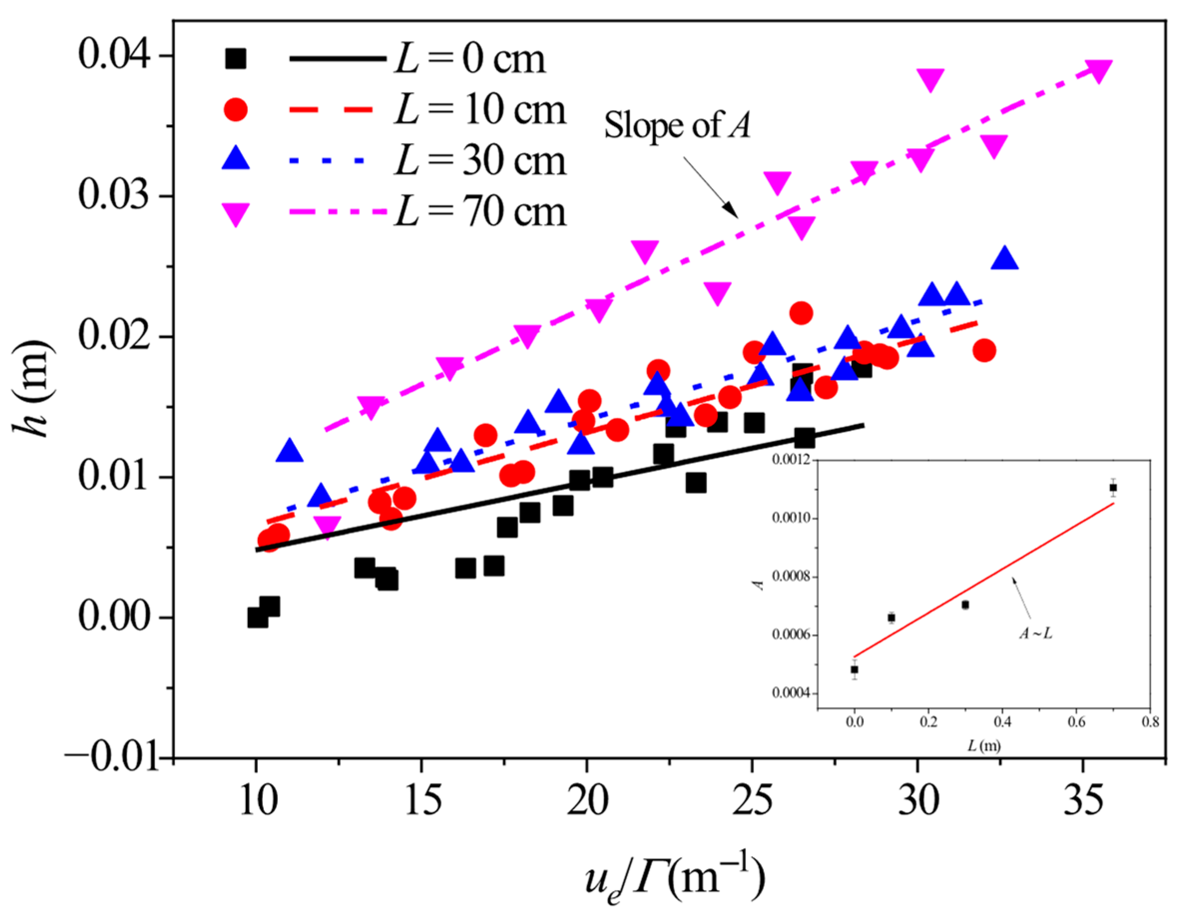
The above analysis indicates that the lift-off height is affected by the nozzle height, vortex intensity, and exit velocity. The exit velocity would linearly increase the lift-off height of the free jet fire [3], while the vortex intensity decreases the lift-off height of JFRFF as compared to free jet fire. Thus, the correlation to fit the lift-off height is proposed as h = A ( u e / Γ ) , in which A is the slope of the correlation. As shown in Figure 19, the correlation agrees well with the experimental data, except for some data of L = 0 cm that have an extremely low lift-off height. The slope of A seems to linearly increase as the nozzle height increases.

5. Conclusions

This study systematically investigates the effect of nozzle height on JFRFF through experimental and numerical simulations. The key findings are as follows:
(1)
As the nozzle height increases, the interaction between the burning flame and vortex flow reduces in strength, as evidenced by the sequential transition of flame states from SR to USR and ultimately to NR.
(2)
The radial distribution of the tangential velocity progressively deviates from the Burgers vortex model as the nozzle height increases, eventually approaching zero mean fluctuations in the NR state. The variation in the tangential velocity distribution at the nozzle height can serve as an effective indicator of the flame state transitions.
(3)
The vortex intensity and the flame length decrease monotonically as the nozzle height increases. The maximum flame diameter shows an inverse relationship, increasing with nozzle height. The relative position of maximum flame diameter follows a non-monotonic trend, initially increasing and then decreasing to match free jet fires. The critical flow circulation for the transition from SR to USR, derived from the flame length analysis, increases as the nozzle exit velocity increases.
(4)
The lift-off height significantly increases as the nozzle height increases, primarily due to reduced air entrainment near the nozzle exit, particularly when positioned above the ground boundary layer.
These findings establish fundamental insights for flare system design in industrial applications. Further research should focus on quantifying the thermal characteristics (flame temperature and radiation profiles) of JFRFF under varying nozzle heights to enable comprehensive safety assessments.

Author Contributions

Methodology, Q.Z. and K.Z.; Validation, X.Q. and J.S.; Formal analysis, Q.Z. and J.S.; Writing—original draft, Q.Z.; Writing—review & editing, J.W.; Visualization, X.Q.; Supervision, L.Z. and P.C.; Project administration, J.W., L.Z., P.C. and Y.Y. All authors have read and agreed to the published version of the manuscript.

Funding

This research was funded by the fund project PipeChina Science and Technology Research and Development Project grant number AQWH202204, AQWH202302, the Opening Fund of the State Key Laboratory of Fire Science (SKLFS) under Grant number HZ2025-KF02. And The APC was funded by AQWH202302.

Institutional Review Board Statement

Not applicable.

Informed Consent Statement

Not applicable.

Data Availability Statement

The original contributions presented in the study are included in the article, further inquiries can be directed to the corresponding authors.

Acknowledgments

We thank Xuan Nie and Le Zhang for their support in conducting the experiments.

Conflicts of Interest

The authors declare no conflict of interest.

Abbreviations/Nomenclature

Abbreviations
FDSFire dynamics simulator
JFRFFsJet fires in rotating flow fields
HWAHot wire anemometer
NRNon-rotation
SRStable rotation
SMVSmoke View
USRUnstable rotation
Nomenclature
A the slope of the correlation in Figure 19
c p , a ambient air specific heat at constant pressure (kJ·kg−1·K−1)
d nozzle exit diameter (m)
D cylinder diameter (m)
D * characteristic flame diameter (m)
g gravitational acceleration (m·s−2)
h lift-off height (m)
Hflame length (m)
H * dimensionless flame length
K empirical constant in Equation (2)
L ( L c )(critical) nozzle height (m)
m exponent in Equation (2)
m ˙ a mass flow rate of ambient air (g·s−1)
m ˙ e mass flow rate of propane (g·s−1)
q ˙ heat release rate (kW)
q ˙ * dimensionless heat release rate
r radial distance (m)
S slit width (m)
T a ambient air temperature (K)
u a inlet velocity of air flowing into the slit (m·s−1)
u e velocity at the nozzle exit (m·s−1)
u t   ( u ¯ t ) (average) tangential velocity (m·s−1)
W ( W m )(maximum) flame width (m)
x , y, zspatial position in the three-dimensional coordinate (m)
Δ H e f f effective combustion heat (kJ·kg−1)
Greek Symbols
Γ ( Γ c )(critical) flow circulation (m2·s−1)
Γ i n mean inlet circulation (m2·s−1)
Γ * dimensionless circulation
δ x computational mesh cell (m)
ρ a ambient air density (kg·m−3)
ρ e propane density at the nozzle exit (kg·m−3)
υ e kinematic viscosity (m2/s)
Superscripts
a ambient air
c critical value
e nozzle exit
i n inlet of air flows to the device
m maximum value
t tangential direction

References

  1. Vanquickenborne, L.; Tiggelen, A.V. The stabilization mechanism of lifted diffusion flames. Combust. Flame 1966, 10, 59–69. [Google Scholar] [CrossRef]
  2. Kalghatgi, G.T. Lift-off heights and visible lengths of vertical turbulent jet diffusion flames in still air. Combust. Sci. Technol. 1984, 41, 17–29. [Google Scholar] [CrossRef]
  3. Sonju, O.K.; Hustad, J. An experimental study of turbulent jet diffusion flames. In Dynamics of Flames and Reactive Systems; Progress in Astronautics and Aeronautics; American Institute of Aeronautics and Astronautics: Reston, VA, USA, 1985; pp. 320–339. [Google Scholar] [CrossRef]
  4. Cha, M.S.; Chung, S.H. Characteristics of lifted flames in nonpremixed turbulent confined jets. Proc. Combust. Inst. 1996, 26, 121–128. [Google Scholar] [CrossRef]
  5. Wang, J.-W.; Fang, J.; Lin, S.-B.; Guan, J.-F.; Zhang, Y.-M.; Wang, J.-J. Tilt angle of turbulent jet diffusion flame in crossflow and a global correlation with momentum flux ratio. Proc. Combust. Inst. 2017, 36, 2979–2986. [Google Scholar] [CrossRef]
  6. Zhou, K.; Zhou, M.; Huang, M.; Wang, Y. An experimental study of jet fires in pits. Process Saf. Environ. 2022, 163, 131–143. [Google Scholar] [CrossRef]
  7. Zhou, K.; Rui, Z.; Dong, R. Flame geometry and temperature distribution of jet fires in pits. Fire Technol. 2025, 61, 975–997. [Google Scholar] [CrossRef]
  8. Zhou, K.; Zhou, Q.; Wang, X.; Wang, W.; Rui, Z.; Yang, J. Hydrogen jet fire due to high-pressure pipeline leakages in pits. Process Saf. Environ. 2025, 200, 107362. [Google Scholar] [CrossRef]
  9. Wang, Z.; Zhou, K.; Zhang, L.; Nie, X.; Wu, Y.; Jiang, J.; Dederichs, A.S.; He, L. Flame extension area and temperature profile of horizontal jet fire impinging on a vertical plate. Process Saf. Environ. 2021, 147, 547–558. [Google Scholar] [CrossRef]
  10. Zhou, K.; Nie, X.; Wang, C.; Wang, Y.; Niu, H. Jet fires involving releases of gas and solid particle. Process Saf. Environ. 2021, 156, 196–208. [Google Scholar] [CrossRef]
  11. Shi, X.; Zhou, K. Geometrical features and global radiant heat of double turbulent jet flames. Fuel 2023, 350, 128789. [Google Scholar] [CrossRef]
  12. Chigier, N.; Beer, J.; Grecov, D.; Bassindale, K. Jet flames in rotating flow fields. Combust. Flame 1970, 14, 171–179. [Google Scholar] [CrossRef]
  13. Beér, J.M.; Chigier, N.A.; Davies, T.W.; Bassindale, K. Laminarization of turbulent flames in rotating environments. Combust. Flame 1971, 16, 39–45. [Google Scholar] [CrossRef]
  14. Zhou, K.; Qin, X.; Zhang, L.; Wu, Y. An experimental study of jet fires in rotating flow fields. Combust. Flame 2019, 210, 193–203. [Google Scholar] [CrossRef]
  15. Emmons, H.W.; Ying, S.J. The fire whirl. Proc. Combust. Inst. 1967, 11, 475–488. [Google Scholar] [CrossRef]
  16. Dobashi, R.; Okura, T.; Nagaoka, R.; Hayashi, Y.; Mogi, T. Experimental study on flame height and radiant heat of fire whirls. Fire Technol. 2016, 52, 1069–1080. [Google Scholar] [CrossRef]
  17. Hayashi, Y.; Kuwana, K.; Mogi, T.; Dobashi, R. Influence of vortex parameters on the flame height of a weak fire whirl via heat feedback mechanism. J. Chem. Eng. Jpn. 2013, 46, 689–694. [Google Scholar] [CrossRef]
  18. Wang, P.; Liu, N.; Hartl, K.; Smits, A. Measurement of the flow field of fire whirl. Fire Technol. 2015, 52, 263–272. [Google Scholar] [CrossRef]
  19. Hartl, K.A.; Smits, A.J. Scaling of a small scale burner fire whirl. Combust. Flame 2016, 163, 202–208. [Google Scholar] [CrossRef]
  20. Emori, R.I.; Saito, K. Model experiment of hazardous forest fire whirl. Fire Technol. 1982, 18, 319–327. [Google Scholar] [CrossRef]
  21. Gustenyov, N.; Akafuah, N.K.; Salaimeh, A.; Finney, M.; McAllister, S.; Saito, K. Scaling nonreactive cross flow over a heated plate to simulate forest fires. Combust. Flame 2018, 197, 340–354. [Google Scholar] [CrossRef]
  22. Kuwana, K.; Sekimoto, K.; Akafuah, N.K.; Chuah, K.H.; Lei, J.; Saito, K.; Williams, F.A. The moving-type fire whirl observed during a recent Brazil bush fire. In Proceedings of the 7th US National Technical Meeting of the Combustion Institute, Atlanta, GA, USA, 20–23 March 2011. [Google Scholar]
  23. Zhou, K.; Qian, J.; Qin, X.; Wang, Z. Thermally-driven vortex resulting from the linear heat wires of different shapes under cross wind. Appl. Therm. Eng. 2019, 163, 114495. [Google Scholar] [CrossRef]
  24. Battaglia, F.; Mcgrattan, K.B.; Rehm, R.G.; Baum, H.R. Simulating fire whirls. Combust. Theor. Model. 2000, 4, 123–138. [Google Scholar] [CrossRef]
  25. Zhou, R.; Wu, Z.N. Fire whirls due to surrounding flame sources and the influence of the rotation speed on the flame height. J. Fluid Mech. 2007, 583, 313–345. [Google Scholar] [CrossRef]
  26. McGrattan, K.; Hostikka, S.; Floyd, J.; McDermott, R.; Vanella, M. Fire Dynamics Simulator User’s Guide; NIST Special Publication; National Institute of Standards and Technology: Gaithersburg, MD, USA, 2020. [CrossRef]
  27. McGrattan, K.; Hostikka, S.; Floyd, J.; McDermott, R.; Vanella, M. Fire Dynamics Simulator Technical Reference Guide Volume 3: Validation; National Institute of Standards and Technology: Gaithersburg, MD, USA, 2020. [CrossRef]
  28. Wasson, R.; Nahid, M.N.; Lattimer, B.Y.; Diller, T.E. Influence of a ceiling on fire plume velocity and temperature. Fire Technol. 2016, 52, 1863–1886. [Google Scholar] [CrossRef]
  29. Parente, R.; Pereira, J.; Pereira, J. On the influence of circulation on fire whirl height. Fire Saf. J. 2019, 106, 146–154. [Google Scholar] [CrossRef]
  30. Zhou, K. Combustion characteristics of line fire under cross wind: Effect of flow separation in the boundary layer. Combust. Flame 2023, 255, 112885. [Google Scholar] [CrossRef]
  31. Kuwana, K.; Morishita, S.; Dobashi, R.; Chuah, K.H.; Saito, K. The burning rate’s effect on the flame length of weak fire whirls. Proc. Combust. Inst. 2011, 33, 2425–2432. [Google Scholar] [CrossRef]
  32. Lei, J.; Liu, N.; Jiao, Y.; Zhang, S. Experimental investigation on flame patterns of buoyant diffusion flame in a large range of imposed circulations. Proc. Combust. Inst. 2016, 36, 3149–3156. [Google Scholar] [CrossRef]
  33. Zukoski, E.E.; Kubota, T.; Cetegen, B. Entrainment in fire plumes. Fire Safety J. 1981, 3, 107–121. [Google Scholar] [CrossRef]
  34. Lei, J.; Liu, N. Flame precession of fire whirls: A further experimental study. Fire Safety J. 2016, 79, 1–9. [Google Scholar] [CrossRef]
  35. Lei, J.; Liu, N.; Zhang, L.; Satoh, K. Temperature, velocity and air entrainment of fire whirl plume: A comprehensive experimental investigation. Combust. Flame 2015, 162, 745–758. [Google Scholar] [CrossRef]
  36. Zou, G.; Hung, H.; Chow, W. A study of correlation between flame height and gap width of an internal fire whirl in a vertical shaft with a single corner gap. Indoor Built Environ. 2019, 28, 34–45. [Google Scholar] [CrossRef]
  37. Lei, J.; Liu, N.; Lozano, J.S.; Zhang, L.; Deng, Z.; Satoh, K. Experimental research on flame revolution and precession of fire whirls. Proc. Combust. Inst. 2013, 34, 2607–2615. [Google Scholar] [CrossRef]
  38. Lei, J.; Liu, N.; Zhang, L.; Chen, H.; Shu, L.; Chen, P.; Deng, Z.; Zhu, J.; Satoh, K.; de Ris, J.L. Experimental research on combustion dynamics of medium-scale fire whirl. Proc. Combust. Inst. 2011, 33, 2407–2415. [Google Scholar] [CrossRef]
  39. Wang, P.; Liu, N.; Zhang, L.; Bai, Y.; Satoh, K. Fire whirl experimental facility with no enclosure of solid walls: Design and validation. Fire Technol. 2015, 51, 951–969. [Google Scholar] [CrossRef]
  40. Zhou, K.; Liu, N.; Lozano, J.S.; Shan, Y.; Yao, B.; Satoh, K. Effect of flow circulation on combustion dynamics of fire whirl. Proc. Combust. Inst. 2013, 34, 2617–2624. [Google Scholar] [CrossRef]
Figure 1. The attack of vortex flow on the flare in an oil and gas field in Siberia on 26 June 2017, reported by the Daily Mail (https://www.dailymail.co.uk/news/article-4639076/Dust-devil-turns-incredible-firenado-gas-field.html) (accessed on 13 July 2025).
Figure 1. The attack of vortex flow on the flare in an oil and gas field in Siberia on 26 June 2017, reported by the Daily Mail (https://www.dailymail.co.uk/news/article-4639076/Dust-devil-turns-incredible-firenado-gas-field.html) (accessed on 13 July 2025).
Fire 08 00326 g001
Figure 2. Schematic of (a) experimental setup and (b) hot wire anemometer layout.
Figure 2. Schematic of (a) experimental setup and (b) hot wire anemometer layout.
Fire 08 00326 g002
Figure 3. Schematic of numerical setup and mesh generation.
Figure 3. Schematic of numerical setup and mesh generation.
Fire 08 00326 g003
Figure 4. Typical experimental photos under different nozzle heights for (a) ue = 8.04 m/s and (b) 32.14 m/s when S = 9.5 cm.
Figure 4. Typical experimental photos under different nozzle heights for (a) ue = 8.04 m/s and (b) 32.14 m/s when S = 9.5 cm.
Fire 08 00326 g004
Figure 5. Air flow below the nozzle exit for different flame states.
Figure 5. Air flow below the nozzle exit for different flame states.
Fire 08 00326 g005
Figure 6. Air flow patterns below the nozzle exit under the three different flame states. (a) SR, (b) USR and (c) NR.
Figure 6. Air flow patterns below the nozzle exit under the three different flame states. (a) SR, (b) USR and (c) NR.
Fire 08 00326 g006
Figure 7. Comparison of tangential velocity between experiment and simulation under different test conditions.
Figure 7. Comparison of tangential velocity between experiment and simulation under different test conditions.
Fire 08 00326 g007
Figure 8. Radial distribution of tangential velocity at different heights for the three different states. (a) L = 70 cm, S = 5.5 cm, SR. (b) L = 110 cm, S = 5.5 cm, USR. (c) L = 110 cm, S = 9.5 cm, NR.
Figure 8. Radial distribution of tangential velocity at different heights for the three different states. (a) L = 70 cm, S = 5.5 cm, SR. (b) L = 110 cm, S = 5.5 cm, USR. (c) L = 110 cm, S = 9.5 cm, NR.
Fire 08 00326 g008
Figure 9. Radial distribution of tangential velocity at the nozzle height.
Figure 9. Radial distribution of tangential velocity at the nozzle height.
Fire 08 00326 g009
Figure 10. Inlet velocity versus vertical height under different nozzle heights for S = 9.5 cm and ue = 32.14 m/s.
Figure 10. Inlet velocity versus vertical height under different nozzle heights for S = 9.5 cm and ue = 32.14 m/s.
Fire 08 00326 g010
Figure 11. Tangential velocity versus nozzle height for different exit velocities and slit widths.
Figure 11. Tangential velocity versus nozzle height for different exit velocities and slit widths.
Fire 08 00326 g011
Figure 12. The flow circulation versus the mean inlet circulation for JFRFF.
Figure 12. The flow circulation versus the mean inlet circulation for JFRFF.
Fire 08 00326 g012
Figure 13. Flame length versus nozzle height for different exit velocities and slit widths.
Figure 13. Flame length versus nozzle height for different exit velocities and slit widths.
Fire 08 00326 g013
Figure 14. Critical flow circulation versus the nozzle exit velocity for different slit widths.
Figure 14. Critical flow circulation versus the nozzle exit velocity for different slit widths.
Fire 08 00326 g014
Figure 15. Dimensionless flame length scaling of JFRFF.
Figure 15. Dimensionless flame length scaling of JFRFF.
Fire 08 00326 g015
Figure 16. Maximum flame diameter versus nozzle height for different exit velocities and slit widths.
Figure 16. Maximum flame diameter versus nozzle height for different exit velocities and slit widths.
Fire 08 00326 g016
Figure 17. Normalized flame diameter versus vertical height above the nozzle exit under different nozzle heights: (a) free jet fire and (b) JFRFF of S = 9.5 cm.
Figure 17. Normalized flame diameter versus vertical height above the nozzle exit under different nozzle heights: (a) free jet fire and (b) JFRFF of S = 9.5 cm.
Fire 08 00326 g017
Figure 18. Lift-off height versus nozzle height for different exit velocities and slit widths.
Figure 18. Lift-off height versus nozzle height for different exit velocities and slit widths.
Fire 08 00326 g018
Figure 19. Lift-off height scaling for the JFRFF of SR.
Figure 19. Lift-off height scaling for the JFRFF of SR.
Fire 08 00326 g019
Table 1. Test conditions and experimental data.
Table 1. Test conditions and experimental data.
L (cm)ue (m/s)ReFrS (cm)Γ (m2/s)H (cm)Wm (cm)h (cm)Status
08.04–32.145873–23,4912026–32,4095.50.79–1.4288–1644.9–1.00–1.4SR
7.50.61–1.2881–1445.6–11.40.1–1.7SR
9.50.48–1.1562–1125.2–12.20.4–1.8SR
108.04–32.145873–23,4912026–32,4095.50.69–1.3395–1584.6–10.20.5–2.2SR
7.50.67–1.2189–1405.3–10.70.6–1.9SR
9.50.43–1.1278–1136.9–12.90.7–1.9SR
308.04–32.145873–23,4912026–32,4095.50.64–1.2892–1465.7–11.71.2–2.3SR
7.50.61–1.1887–1296.4–12.10.9–1.9SR
9.50.39–0.9571–1047.0–14.81.1–2.5SR
708.04–32.145873–23,4912026–32,4095.50.55–1.2187–1105.7–13.80.7–3.4SR
7.50.43–1.1074–895.6–15.01.5–3.9SR
9.5NA48–638.6–18.22.1–4.6USR
1108.04–32.145873–23,4912026–32,4095.5NA48–767.6–15.94.3–5.6USR
7.5NA48–688.6–16.12.8–5.2USR
9.5NA54–7511.4–16.82.0–6.0NR
In the calculation of the exit Reynolds number Re = u e d / υ e and exit Froude number F r = u e 2 / g d , υe is the kinematic viscosity of propane, and g is the gravity acceleration.
Table 2. Critical nozzle height (cm) of flame evolution from SR to USR.
Table 2. Critical nozzle height (cm) of flame evolution from SR to USR.
S (cm) u e (m/s)
8.0412.0516.0720.0924.1128.1332.14
5.59510010297939595
7.588869088806767
9.549464947414445
Disclaimer/Publisher’s Note: The statements, opinions and data contained in all publications are solely those of the individual author(s) and contributor(s) and not of MDPI and/or the editor(s). MDPI and/or the editor(s) disclaim responsibility for any injury to people or property resulting from any ideas, methods, instructions or products referred to in the content.

Share and Cite

MDPI and ACS Style

Zhang, Q.; Wang, J.; Zhang, L.; Chen, P.; Qin, X.; Zhou, K.; Yang, Y.; Shi, J. Effect of Nozzle Height on the Combustion Dynamics of Jet Fires in Rotating Flow Fields. Fire 2025, 8, 326. https://doi.org/10.3390/fire8080326

AMA Style

Zhang Q, Wang J, Zhang L, Chen P, Qin X, Zhou K, Yang Y, Shi J. Effect of Nozzle Height on the Combustion Dynamics of Jet Fires in Rotating Flow Fields. Fire. 2025; 8(8):326. https://doi.org/10.3390/fire8080326

Chicago/Turabian Style

Zhang, Qiang, Jinjiang Wang, Laibin Zhang, Pengchao Chen, Xiaole Qin, Kuibin Zhou, Yufeng Yang, and Jiancheng Shi. 2025. "Effect of Nozzle Height on the Combustion Dynamics of Jet Fires in Rotating Flow Fields" Fire 8, no. 8: 326. https://doi.org/10.3390/fire8080326

APA Style

Zhang, Q., Wang, J., Zhang, L., Chen, P., Qin, X., Zhou, K., Yang, Y., & Shi, J. (2025). Effect of Nozzle Height on the Combustion Dynamics of Jet Fires in Rotating Flow Fields. Fire, 8(8), 326. https://doi.org/10.3390/fire8080326

Article Metrics

Back to TopTop