Next Article in Journal
Two-Year Post-Fire Abundance of Arthropod Groups Across Different Types of Forest in Temperate Central Europe
Previous Article in Journal
The Palisades Fire of Los Angeles: Lessons to Be Learned
 
 
Font Type:
Arial Georgia Verdana
Font Size:
Aa Aa Aa
Line Spacing:
Column Width:
Background:
Article

Effectiveness of Firefighter Training for Indoor Intervention: Analysis of Temperature Profiles and Extinguishing Effectiveness

by
Jan Hora
Faculty of Safety Engineering, VSB—Technical University of Ostrava, Lumirova 13, 700 30 Ostrava, Czech Republic
Fire 2025, 8(8), 304; https://doi.org/10.3390/fire8080304
Submission received: 5 June 2025 / Revised: 21 July 2025 / Accepted: 24 July 2025 / Published: 1 August 2025

Abstract

This study assessed the effectiveness of stress-based cognitive-behavioral training compared to standard training in firefighters, emphasizing their ability to distribute extinguishing water and cool environments evenly during enclosure fires. Experiments took place at the Zbiroh training facility with two firefighter teams (Team A with stress-based training and Team B with standard training) under realistic conditions. Using 58 thermocouples and 4 radiometers, temperature distribution and radiant heat flux were measured to evaluate water distribution efficiency and cooling performance during interventions. Team A consistently achieved temperature reductions of approximately 320 °C in the upper layers and 250–400 °C in the middle layers, maintaining stable conditions, whereas Team B only achieved partial cooling, with upper-layer temperatures remaining at 750–800 °C. Additionally, Team A recorded lower radiant heat flux densities (e.g., 20.74 kW/m2 at 0°) compared to Team B (21.81 kW/m2), indicating more effective water application and adaptability. The findings confirm that stress-based training enhances firefighters’ operational readiness and their ability to distribute water effectively during interventions. This skill is essential for safer and effective management of indoor fires under extreme conditions. This study supports the inclusion of stress-based and scenario-based training in firefighter education to enhance safety and operational performance.

1. Introduction

The conflict between abstract generalization and concrete experience creates tension in safety practice between universal safety ideals and the variability of real-world situations [1]. Firefighters do not confront generic norms but rather specific, unpredictable events shaped by deeper, underlying dynamics. These can only be understood through direct perception and interpretive experience. This has significant implications for the design of training. To avoid cognitive failure, participants must be exposed to realistic complexity. Training that is entirely safe and fully controlled lacks this quality. Direct, embodied experience is essential for grasping fire dynamics. Theoretical frameworks are helpful, but only real interaction with unfolding events fosters a deep understanding. Thus, firefighter training must include exposure to some degree of real risk and uncertainty to develop intuitive recognition of fire behavior. Recognizing an acceptable risk level requires perceptual and interpretive competence [2]. Without this, training reduces to formal, proxy indicators that do not reflect real crisis management capability. This leads not to effective readiness but to bureaucratized routines and a “culture of unlearning”, where preparedness is administratively claimed rather than truly cultivated [3]. Real risk experience is foundational for taking action in a crisis. Only by balancing the ethical demand for safety with the need to face risk can actual competence develop. However, European institutional frameworks tend to replace adaptive capacity with formal, measurable outputs. This creates a paradoxical situation: training appears adequate on paper but fails when real crises occur.
Real risk experience is foundational for taking action in a crisis. Only by balancing the ethical demand for safety with the need to face risk can actual competence develop. Nevertheless, European institutional frameworks tend to replace adaptive capacity with formal, measurable outputs. This creates a paradoxical situation: training appears adequate on paper but fails when real crises occur. This article focuses on firefighter training for indoor fires, emphasizing the flashover—a rapid escalation of fire where the entire compartment ignites within minutes [4]. Before flashover, rescue and suppression are viable options, and early intervention is supported by rapid unit deployment and the use of protective equipment. In such cases, assertive tactics are justified. However, flashover is hard to anticipate, and once it occurs, survival time drops to seconds [5]. Responders must detect early signs and react swiftly. This requires perceptual sharpness, situational awareness, and an understanding of fire behavior, gear performance, and water dynamics. These complex skills develop only through realistic CFBT (Compartment Fire Behavior Training), which promotes adaptive response patterns [6]. However, evaluating CFBT remains problematic. Measuring success by attendance or protocol adherence alone risks reducing it to a hollow routine.
Amid growing standardization, training may appear effective without actually building real competence. This disconnect poses a threat to systemic failure when an actual crisis response is most needed. A systematic search of Scopus and Web of Science (2000–2025) using terms such as “compartment fire training”, “flashover”, and “thermal exposure firefighter” revealed no studies that combined real-life intervention measurements with behavioral comparisons of training groups. Existing work primarily focuses on simulations or physiological responses, without analyzing the training methodology [7,8,9]. This study aims to partially address this gap by analyzing data collected from 2011 to 2015 during joint research conducted by the Faculty of Safety Engineering at VŠB—TU Ostrava and the Czech fire services. Using a facility simulating realistic fire conditions in Zbiroh, five large-scale experiments were conducted over 120 measurement sequences. Though not exhaustive, the setup reflects dominant convective heat load conditions. Measurements covered temperature fields, heat flux, protective clothing performance, physiological responses, and extinguishing effectiveness under different water flow parameters. These were designed to optimize training and evaluate tactical effectiveness in controlled yet realistic environments.

2. Methodology

2.1. Evaluation Method of Thermal and Radiant Exposure During Compartment Fire Intervention

We hypothesize that firefighters who undergo intensive cognitive-behavioral training (Team A) will distribute water more effectively and evenly during interventions than those who receive standardized training (Team B). This skill will be reflected in temperature profiles recorded by thermocouples placed at different heights and positions within the container. Persistently high local temperatures indicate areas that have not been reached by water, while sharp cooling indicates successful suppression. Uneven distribution will manifest in steep temperature gradients between neighboring points. We further hypothesize that Team A’s more effective behavior will result in a lower absorbed radiant thermal load compared to Team B. To verify this hypothesis, we first measured thermal fields and heat flux densities in the chamber without firefighters present (reference conditions). Identical measurements were then performed during interventions by Team A and Team B. Comparing these data with the baseline allows us to determine how effectively and evenly each group distributed water and the thermal stress they experienced.
To test the stated hypothesis, we first measured the thermal fields and radiant heat flux densities within the training chamber under baseline (reference) conditions, without any intervention by firefighters. These measurements served as a benchmark (etalon) against which interventions by the two experimental groups were later compared. Subsequently, we conducted identical measurements during live interventions performed by Team A and then by Team B. The objective was to analyze deviations from the reference distribution, enabling assessment of water distribution efficiency and thermal exposure. Two four-member firefighter teams (A and B) performed indoor interventions using different water flow parameters (0.4–1.0 MPa; 110–220 L/min). Team A underwent stress-intensive training with cognitive-behavioral components, while Team B received standardized training. A scenario with a pressure of 0.7 MPa and a flow rate of 110 L/min was selected for detailed analysis. This scenario, which Team B was unable to complete due to excessive thermal stress, was identified as optimal based on prior comparative analysis of thermal dynamics and response divergence.
Temperature data were collected using vertical sensor columns placed at defined height levels. Each time series was transformed by rearranging column-based data into rows representing vertical temperature profiles across time. These profiles were modeled using nonlinear fitting of sigmoidal functions to describe the spatial temperature distribution. The sigmoidal curve parameters were then aggregated using medians and modes, forming a time-evolving model of the thermal environment. This approach enables the construction of a spatiotemporal (plastic) map of water distribution within the compartment, identifying untreated areas and illustrating cooling efficiency during the intervention. To enhance transparency, the analysis includes an illustrative case using data from one sensor column and a corresponding set of radiometers. Temperature variations were treated as localized thermal exposures related to physiological stress [10] and integrated over time to produce cumulative thermal exposure curves. The space was further divided into thermal zones based on curve similarities, resulting in a multizone exposure model. Simultaneously, instantaneous radiant heat doses absorbed by firefighters were tracked, and their time series were integrated to compute total heat load. The results were normalized to generate standardized radiation exposure curves. This approach provides a directional, radar-like representation of radiant heat flux during interventions, indicating the directionality and magnitude of thermal radiation exposure that firefighters experience in real time. The fitted curves were evaluated for accuracy using residuals and normality statistical tests. Group comparisons were conducted for both intervention groups and a control scenario without the presence of firefighters. Variables such as water pulse waveform and delivery frequency were excluded from this analysis and are reserved for future studies.

2.2. Training Simulator Setup

The training simulator in Zbiroh allows for realistic fire condition simulations [11]. Its structure includes containers 1–4 forming the first floor, with container 5 placed on pedestals as a second level. Containers 1 and 2 are connected to form chamber 1, the primary experimental site. All containers are self-supporting, featuring thermal insulation comprised of 50 mm of mineral wool and 1 mm of steel sheeting. Floors are constructed from concrete tiles set in sand. The structure includes ventilation chimneys and openings for fire dynamics control, as shown in Figure 1. Chamber 1, made from ISO 1AA containers, has internal dimensions of 4700 mm in width, 12,000 mm in length, and 2280 mm in height, as shown in Figure 2. It features a 6 MW propane burner managed by a servo system, supported by a 4 kW ignition burner and a 63 kW stabilizer. The fuel used was liquid propane, with a calorific value of 93.57 MJ/m3 and explosive limits of 2.12–9.35% [12,13]. The declared capacity of the simulator’s burner is 6 MW. However, observations and propane flow rates suggest a higher actual output. A reliable power estimate is essential for accurate data interpretation. Initial calculations using Heskestad’s method yielded an unrealistic output of approximately 29 MW [14]. Using Zukoski’s empirical flame height method, output was estimated at 8.5 MW [15] A further check via the Lönnermark–Ingason method, based on flame length and system parameters, yielded 9.5 MW [16]. Thus, the actual power is likely to lie between 8.5 and 9.5 MW. This refined estimate provides a better foundation for interpreting temperature and suppression efficiency under defined water delivery conditions.

2.3. Firefighters’ Activities

Two teams (Teams A and B), each comprising one trainer and three trainees, participated, as can be seen in Figure 3. This experimental study included professional firefighters with a minimum of 75 h of prior training at the Zbiroh facility for Team A. Team A was trained using cognitive-behavioral and stress-exposure methods. The cognitive-behavioral training consisted of a minimum of 15 h, with a 1:5 theory-to-practice ratio. Theory was explained through examples during practice, progressively intensifying conditions. The workflow transitions from simple routines to teamwork, incorporating unexpected elements and utilizing active positioning to minimize exposure. Structured stage plans guided each training phase. For Team B, the firefighters underwent standard professional training, which typically included approximately 7 h of combined theoretical instruction and live-fire training, conducted as a one-time session, and 3 h of “cold” training (focused solely on nozzle handling techniques without live fire) each year. For group allocation, firefighters in Team A were selected from an instructor group undergoing concurrent training at the Zbiroh facility based on voluntary participation. In contrast, Team B was randomly selected from a regional fire brigade in response to a request for four firefighters to participate in the training, without the ability to influence which individuals would be assigned. The demands for participation were as follows: age up to 40 years, at least 10 years of experience in an intervention unit, excellent health, and excellent physical fitness. Health and fitness are required of each Czech professional firefighter, to be demonstrated annually and recorded. Firefighters rotated between positions so that each firefighter occupied each position twice, performing five pulses of extinguishing attempts per position, resulting in a total of 40 pulses completed by the entire team during the test sequence, as shown in Figure 4 and Figure 5. The selected test scenario was conducted at a pressure of 0.7 MPa and a flow rate of 110 L/min. Team A, which was trained using cognitive-behavioral and stress-exposure methods, completed the sequence. Team B, trained according to standard procedures, was unable to complete the test due to intolerable thermal stress, suggesting that they had differing adaptive capabilities. All participants wore standard Czech Fire Brigade protective equipment, including functional underwear and Dräger PA 94 (Dräger, Lübeck, Germany) breathing apparatus. Standard C52 hoses and QUADRAFOG 150 nozzles (nominal pressure 0.6 MPa) (TFT—Task Force Tips, Valparaiso, IN, USA) were used [17]. Water delivery was evaluated relative to the simulator’s estimated 8.5 MW heat output. Effective cooling requires both thermal suppression and modification of the fuel atmosphere—inadequate water delivery results in thermal equilibrium that sustains combustion [18,19]. This setup enables a controlled comparison of water distribution effectiveness and resulting thermal load under realistic intervention conditions, directly supporting the tested hypothesis.

2.4. Temperature Distribution

The chamber’s temperature field was measured using 58 K-type thermocouples of varying diameters (0.8–2.0 mm) arranged across four Tx columns and one S column. Tx columns had 10 sensors (300 mm spacing, 780–2230 mm), while S columns had 12 sensors (200–300 mm spacing, 280–2230 mm). Sensors were stabilized by ceiling-mounted chains and connected to Almemo 2890-9 and 5690-2M data loggers (Ahlborn Mess- und Regelungstechnik GmbH, Holzkirchen, Germany). Column S1, representing the location of the firefighters’ intervention, showed the highest data consistency and was selected for in-depth analysis. Radiometers mounted at an approximate height of 1200 mm—corresponding to the head level during intervention—recorded heat flux in multiple directions (0°, 45°, 90°, 180°, and lateral to the left), providing a comprehensive thermal radiation profile. Despite challenging measurement conditions due to variable emissivity, reflections, and smoke, sufficient data density enabled the reliable reconstruction of thermal fields. Some sensor failures occurred due to extreme conditions, but S1 remained consistently reliable, supporting its use for final analysis. All data processing, curve fitting, statistical analyses, and visualizations presented in this study were performed using OriginPro 9.1 (OriginLab Corporation, Northampton, MA, USA).

2.5. Analysis of the Temperature Values Obtained

To evaluate the effectiveness of water distribution and thermal suppression during indoor fire interventions, it was necessary to analyze the vertical and temporal temperature profiles within the training chamber. Therefore, a structured approach was applied to process and model the recorded temperature data, enabling the assessment of spatial gradients and their evolution during interventions. To analyze the temperature distribution, individual sigmoidal curves were fitted to the recorded profiles using the DoseRep and Boltzmann functions, which describe nonlinear transitions in spatial data. The parameters (A1, A2, logx0, p) define the lower and upper asymptotes, the inflection point, and the slope, facilitating reconstruction and predictive modeling of thermal fields. The mathematical form used is the following:
y = A 1 + A 2 A 1 1 + 10 log x 0 x p
Missing data from failed thermocouples were reconstructed using the DoseRep nonlinear sigmoidal model [20]. Following this initial fitting, a second approximation using the Boltzmann function—chosen for its ability to model thermal transitions explicitly—was applied to refine the reconstructed profiles.
Column S1, which had complete data, allowed direct Boltzmann modeling without interpolation, improving modeling accuracy. The Boltzmann function is widely used in modeling transient phenomena due to its capacity to represent smooth transitions between steady states. Its characteristic shape allows for a smooth transition between two steady states, with the middle part of the curve corresponding to the most significant change in the quantity of interest. In experimental fire studies, this function helps describe temperature profiles [21] that exhibit nonlinear changes with height above the floor or other spatial parameters.
The mathematical form of the Boltzmann function used for the fitting is the following:
y = A 2 + A 1 A 2 1 + exp x x 0 d x
In this context, parameters A1 and A2 represent the temperatures of the cool layer near the floor and the hot layer generated by the combustion process. The inflection point x0 indicates the height at which the most pronounced temperature transition occurs, while the parameter dx defines the steepness of this transition. This function proved effective for detecting the boundaries between distinct thermal layers and allowed tracking of their evolution during various fire stages.
For data processing, the DoseResp function was initially applied to reconstruct missing values and smooth the datasets, followed by fitting with the Boltzmann function. At each measurement time point, a unique sigmoidal curve was generated, with parameters reflecting the temperature distribution across vertical space. To generalize observations and reduce the impact of anomalies, the coefficients of these curves were aggregated using their median values. Based on the median coefficients, a consolidated sigmoidal model was derived to describe the stable behavior of the thermal field over time. To further reduce noise, the most frequently occurring values (mode) were used to stabilize fluctuations in the temperature data. The modeling process included iterative fitting to optimize parameter accuracy, followed by a final non-iterative refinement to eliminate extreme deviations. This statistical approach helped minimize distortions due to outliers and localized fluctuations in sensor readings.
The resulting model was then validated by comparing predicted temperatures to the actual measured values using statistical methods. The resulting model was then validated by comparing predicted temperatures to the actual measured values using statistical methods. The validation employed four complementary tools: two-sample tests for variance to assess consistency in variability (hypothesis testing), the Mann–Whitney U test to evaluate distributional differences without assuming normality, correlation analysis using Pearson and Spearman coefficients to determine linear relationships and rank-order consistency between the modeled and measured datasets, and the Kolmogorov–Smirnov test to compare the empirical distributions for overall agreement. Additionally, rounding values to the nearest ten was employed to minimize numerical bias and enhance the interpretability of the modeled data.

2.6. Analysis of Temperatures at Height Levels and Creation of Zones

This analysis aimed to transform high-resolution temperature measurements into operational indicators of firefighter thermal exposure by deriving equations describing the temporal evolution of thermal loads at different heights within the fire compartment. Temperature variations were analyzed across the vertical profile in column S1, corresponding to the firefighter’s operational position, to define “local temperature exposure” as an indicator of real-time physiological stress during interventions. Cumulative temperature curves were constructed by integrating measured temporal fluctuations to quantify thermal energy load over time. The cumulative data were then normalized using decadic logarithms and fitted using a three-parameter logarithmic regression model:
L t =   a     b     l n   t   +   c
Based on the similarity of the fitted curves, the monitored space was divided into two zones: 0–1000 mm and 1000–2300 mm above the floor level to capture vertical differences in thermal exposure.
Derivation and de-logarithmization were subsequently applied to retrieve the original temperature waveform:
T t = b l n 10 t + c 10 a     b l n t + c
For radiometer data, an analogous fitting approach using integral transformations was applied to derive descriptive equations representing cumulative radiant heat flux exposure across different measurement orientations.

2.7. Analysis of Heat Flux Density

A different procedure was used for evaluating the radiometers. The following relations were considered to verify the correctness of the procedure for deriving two equivalent equations. The logarithm of the integral of the function y for the variable t can be expressed in two ways:
ln   F t = ln   a 1 t   b 1 +   c 1 =   a 2 b 2 ln t +   c 2
Derivation of these equations gives the original function y, which allows a return to the original logarithmic curve, and after adjustments, the following relation:
F t =   e a 2 b 2 l n ( t + c 2 )
The temporal evolution of heat flux at each radiometer was modeled using polynomial functions of the following form:
y = A + B x + C x 2 + D x 3 + E x 4
This provided a smooth, continuous approximation for spatial and temporal variations in heat flux. Polynomial coefficients were estimated via least squares fitting, where A denotes the base level, and higher-order terms capture turbulence and convection. This fitting approach was selected to provide a smooth, continuous approximation for spatial and temporal variations in heat flux. The fitted model effectively interpolated the data, minimized noise, and accurately reflected the measured heat flux values. The fitted polynomial models for heat flux evolution at each radiometer position were validated by comparing predicted and measured values using two-sample tests for variance, the Mann–Whitney U test, the Kolmogorov–Smirnov test, and Pearson and Spearman correlation analyses. Data were rounded to the nearest ten before comparison to reduce numerical bias and enhance interpretability.

3. Results

3.1. Evaluation of Vertical Temperature Profiles Using Sigmoidal Modeling

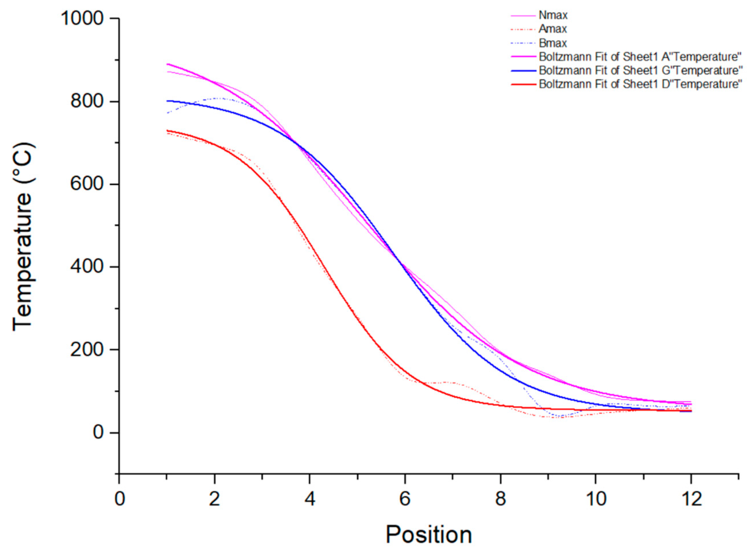
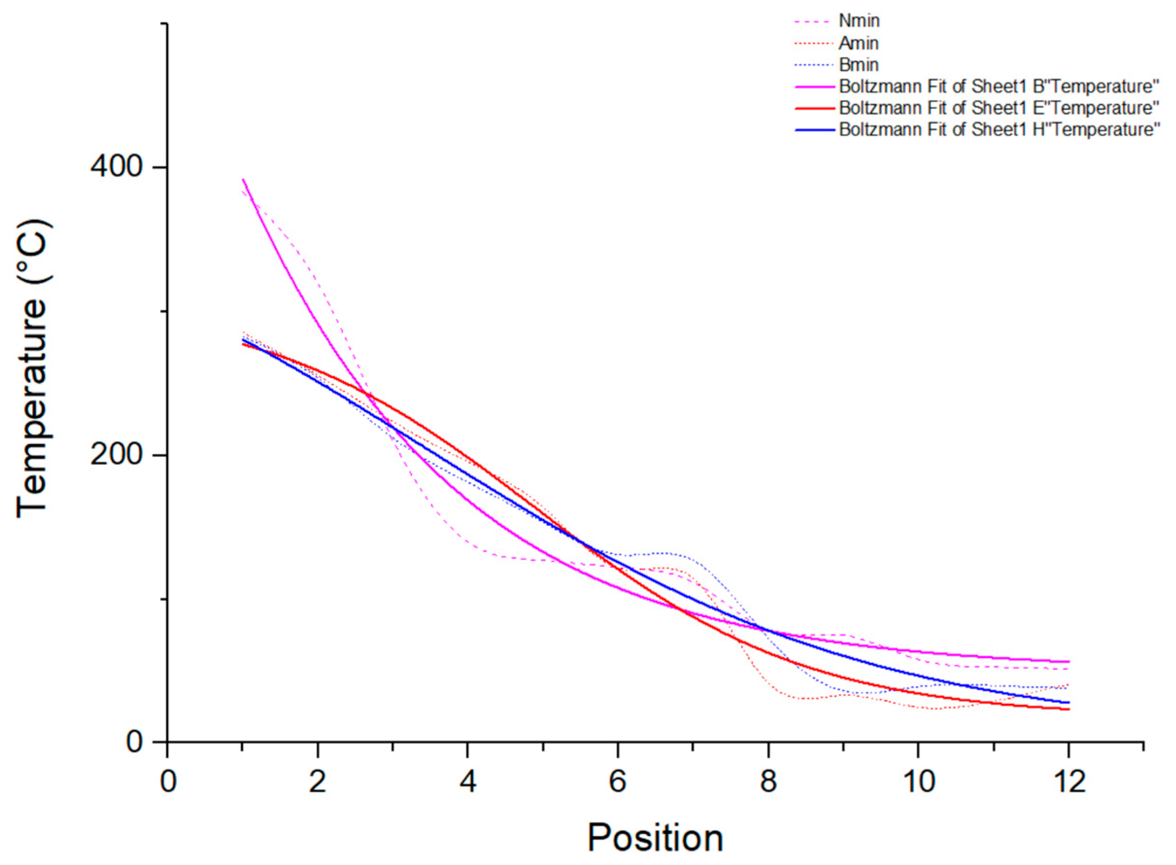
To demonstrate the application of the sigmoidal modeling and fitting approach described in Section 2.4, snapshots of the vertical temperature distribution were analyzed at specific time points corresponding to one of the local minima and maxima of thermal load within the compartment. Figure 6 shows the temperature profiles during a local minimum, including measured curves for the no-intervention case (Nmin), Team A (Amin), and Team B (Bmin). The Boltzmann-fitted curves offer a smoothed view of stratification. At this stage, upper-layer temperatures decreased to 200–300 °C, indicating effective cooling in regions reached by water, while areas with higher temperatures revealed zones with inadequate suppression. Figure 7 displays temperature profiles at a local maximum, capturing peak heat stress conditions. The measured (Nmax, Amax, Bmax) and fitted curves show upper-layer temperatures of about 850–900 °C, with an apparent decrease along the vertical profile. These distributions highlight boundaries between thermal layers and identify untreated regions within the compartment. These snapshots demonstrate that the method enables time-resolved, spatially explicit visualization of thermal conditions, supporting the assessment of water distribution efficiency and the effectiveness of cooling strategies under different intervention scenarios. Applying the Boltzmann function to the experimental dataset enabled precise identification of the interface between cooler and hotter air zones at specific time intervals, offering valuable insights into fire behavior and heat dispersion.
Following the methodology described in Section 2.4, time-resolved temperature series were obtained from the measured thermal field at individual levels (S81–S70), and fitting Boltzmann sigmoidal curves generated equivalent model data to each time snapshot across the vertical profile. Both datasets were back-transposed to reconstruct their temporal evolution, allowing for a direct comparison at each height level under fire conditions and enabling a robust evaluation of the developed sigmoidal model’s stability and precision. For illustration, Figure 8 presents the time courses of measured and modeled temperatures for levels S81 (upper), S75 (middle), and S71 (lower) for Team B (selected for clarity; comparable results were obtained for Team A and the no-intervention scenario). The curves exhibit close agreement, capturing the gradual heating and cooling phases, as well as local fluctuations during fire development. The maximum temperatures recorded were 864 °C (S81), 372 °C (S75), and 91 °C (S71) for the measurements and 831 °C, 358 °C, and 84 °C for the model, indicating close matching. Local minima were observed at 104 °C (S81), 25 °C (S75), and 16 °C (S71) for measurements, with corresponding model values of 105 °C, 30 °C, and 22 °C, respectively. These results demonstrate that the applied sigmoidal model accurately replicates the spatiotemporal evolution of temperatures within the fire compartment, even under dynamically changing conditions, and effectively captures local fluctuations that are critical for evaluating water distribution efficiency during firefighting interventions.
Two-sample tests for variance indicated no significant differences, with F-values ranging from 1.00139 to 1.03302, values closely approximating 1. All confidence intervals for variance ratios included the value 1, reinforcing this conclusion. Furthermore, the Mann–Whitney U test demonstrated no significant distributional differences between the datasets (p-values ≥ 0.95). Correlation analysis underscored these results, with Pearson correlation coefficients exceeding 0.98 and Spearman correlation coefficients reaching a perfect value of 1.0. These findings indicate near-identical rankings and strong linear relationships between the datasets. Additionally, rounding values to the nearest ten proved helpful in reducing numerical bias and enhancing the interpretability of the modeled temperature data. Overall, the methodology provided a comprehensive and robust representation of vertical temperature profiles in the fire setting, validated by statistical alignment with empirical measurements and enhanced through effective smoothing and parameter optimization techniques.
The obtained coefficients, as seen in Figure 9 and Figure 10, were then applied to the Boltzmann function equation to obtain specific models describing the temperature profile in each scenario. For a facility without firefighters, the median and mode values correspond to the following:
T h = 46 + 685 46 1 + e h 3.9 1.72
T h = 50 + 700 50 1 + e h 5.3 1.45
In the case of Team A, the median and mode values were modeled by the following equations:
T h =   24   + 552     24 1   +   e h     5.23 1.4
T h = 30 + 500 30 1 + e h 6 1.31
For Team B, the median and mode values were expressed as the following relationships:
T h =   28   + 583     28 1   +   e h     5.19 1.39
T h = 30 + 600 40 1 + e h 6 1.31
Figure 11 shows the combined median temperature curves across the normalized vertical position within the compartment under three conditions: no intervention (N), intervention by Team A, and intervention by Team B. The horizontal axis indicates the position along the vertical profile (levels S81–S70), while the vertical axes display the median temperatures for each condition. The curves display clear vertical thermal stratification, with the no-intervention scenario exhibiting the highest temperatures throughout the upper layers, peaking at approximately 650 °C at the top and gradually decreasing toward the lower parts. In comparison, the intervention by Team B results in a maximum temperature of around 580 °C in the upper layer, while Team A’s intervention further lowers this to approximately 540 °C. These differences reflect the cooling effects of the firefighting efforts, with Team A achieving the most significant reduction due to a longer and more stable extinguishing process. The dashed horizontal lines represent the median values of the integrated area (IA), providing a consolidated indication of the overall thermal load for each scenario. The no-intervention case shows a median value of approximately 300 °C, while the interventions by Team B and Team A result in lower median values of around 220 °C and 210 °C, respectively. These values highlight the effectiveness of the interventions in reducing the thermal load across the compartment height, confirming the benefits of controlled extinguishing strategies.
Figure 12 displays the aggregated mode temperature curves along the normalized vertical position in the compartment for three scenarios: no intervention (N), intervention by Team A, and intervention by Team B. The x-axis represents the relative position across the vertical profile, from the upper to the lower layers (levels S81–S70), while the y-axis indicates the mode temperatures. The mode curves for each scenario depict the typical temperature distribution within the compartment. In the no-intervention case, the maximum mode temperature in the upper layers reaches approximately 630 °C and decreases progressively towards the lower layers. For Team B, the maximum mode temperature in the upper layers is approximately 580 °C, whereas for Team A it is around 500 °C. The dashed horizontal lines represent the integrated area (IA) mode values for each scenario, showing the overall mode temperatures across the entire vertical profile. The IA mode value for the no-intervention scenario is around 290 °C, for Team B approximately 240 °C, and Team A about 220 °C.
These equations modeled temperature changes with height under different experimental conditions. Differences between median and mode revealed temporal variations in temperature distributions. Iterative fitting refined the models, reducing errors, while outlier exclusion enhanced stability. Comparative analyses using four statistical tests confirmed the model’s accuracy. A two-sample test for variance validated the similarity in variability between modeled and actual values. The Mann–Whitney U test showed reasonable agreement in lower layers but identified significant differences in higher layers (e.g., layer 12: Z = −13.59, p ≈ 0). Rounding data to the nearest ten improved agreement, reducing the statistical significance of discrepancies (e.g., p = 0.14386). Correlation analysis indicated varying accuracy with height: Pearson > 0.99 in upper layers, 0.85–0.95 in middle layers, and <0.75 in lower layers. Rounding enhanced these values (e.g., Pearson rose from 0.72 to 0.84). Spearman and Kendall coefficients also improved. The Kolmogorov–Smirnov test revealed no significant difference in the upper layers (D = 0.0315–0.0768; p > 0.05) but larger deviations in the lower layers (D up to 0.4744; p ≈ 0). Rounding reduced these effects (max D = 0.0453; p = 0.6377). Altogether, these analyses demonstrated the model’s robustness in the upper and middle layers, but systematic bias in lower zones suggests the need for further calibration. Adjustments through temperature normalization or layer-based weighting are recommended to enhance model accuracy throughout the vertical profile.

3.2. Consolidated Thermal Load Modeling at Different Height Levels

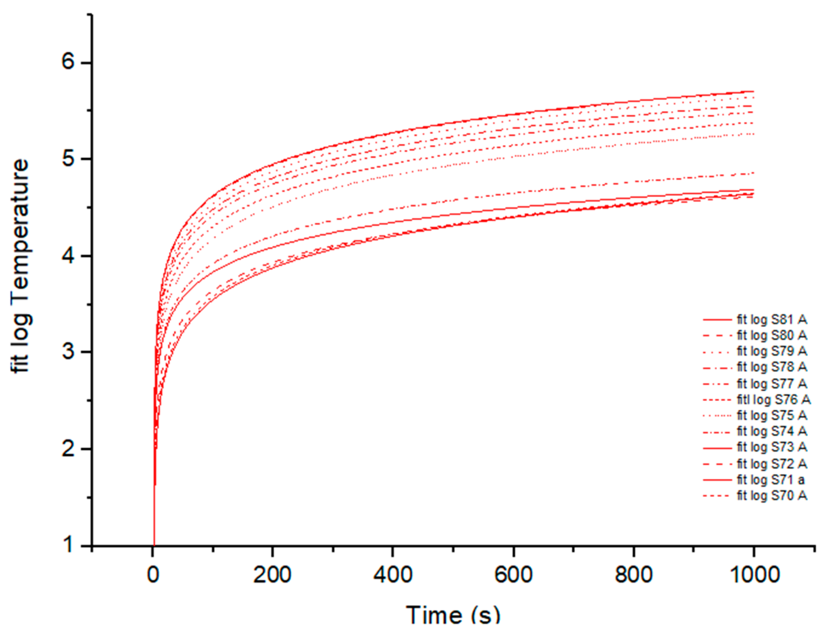
Figure 13 illustrates the temporal changes in log-transformed temperature profiles (0–1000 s) at various height levels (S81–S70) during firefighting efforts by Team A. Each curve represents a specific measurement level and is created by fitting the log-transformed temperatures using the modeling method described in Section 2.5. The curves illustrate typical fire heating load behavior, with a sharp initial temperature increase followed by gradual stabilization. Higher levels (S81, S80) display higher log-temperature values than lower levels (S71, S70), indicating vertical thermal stratification in the fire compartment. This figure provides a clear view of the vertical temperature changes during Team A’s intervention and serves as a foundation for comparison with the combined curves in Figure 13. Figure 13 shows the combined median temperature curves over time for the upper zone (1000–2300 mm, left Y-axis) and lower zone (0–1000 mm, right Y-axis) under three scenarios: no intervention (N), intervention by Team A, and intervention by Team B. The solid lines represent the upper zone, while the dashed–dotted lines indicate the lower zone, clearly illustrating the stratification and the effects of each intervention mode over up to 1400 s. The parameters used to generate these curves for each height level and intervention scenario are summarized in Table 1 and are illustrated in Figure 13. The coefficient a adjusts the scaling of the logarithmic progression, the coefficient b determines the slope and thermal growth rate, and the coefficient c shifts the curve along the time axis, affecting the onset of the temperature rise. These coefficients transform the raw temperature profiles into a mathematically consolidated form, enabling quantification of the thermal load at any selected spatial point.
If no extinguishing has been carried out in the device, the summary curve indicates a median temperature of 480 °C in the upper region. If Team A carried out the extinguishing, this value was 401 °C; if it was carried out by Team B, it was 498 °C. The rising nature of the curve for Team B is due to its cessation of activity at 508 s; the approximation for more extended periods is not sufficiently accurate, as it does not account for the secondary emission of heat accumulated in the structures. The specific values for the selected height levels, along with the comparison of temperatures for the upper and lower regions within the 1400 s and 508 s intervals, are presented in Table 2 (see Figure 14). This model allows the conversion of the original temperature profile into a form that expresses the total load at a selected point in space determined by the measurement column position and the height level.

3.3. Analysis of Radiant Heat Flux Using Polynomial Modeling

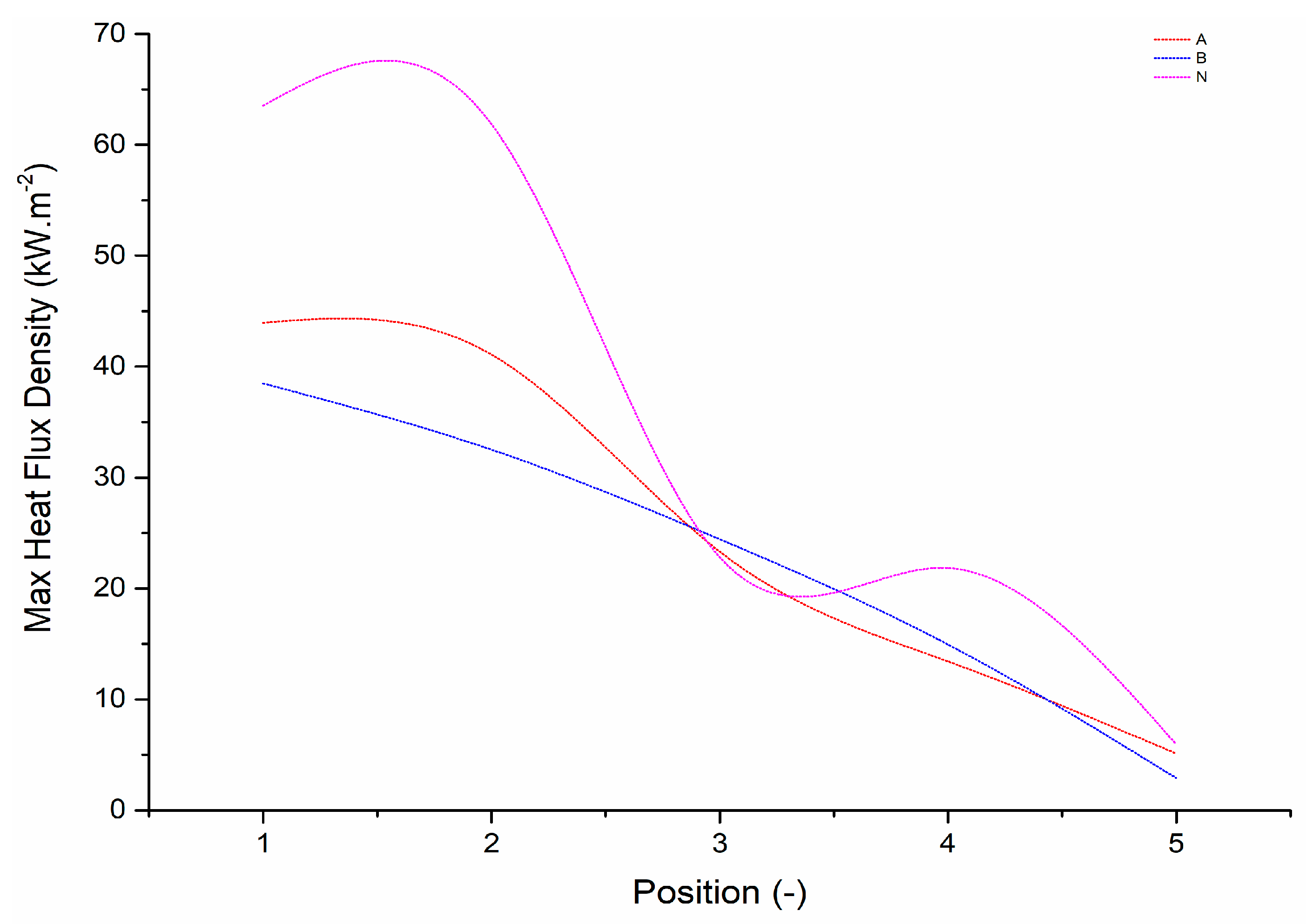
Instantaneous heat flux density snapshots were evaluated to capture spatial distributions at moments of local minimum and maximum heat loads during the fire scenarios, analogous to the approach used for temperature profiles. The temperature trends recorded by the radiometers during a one-minute interval of Team A’s deployment are presented in Figure 15. At the time of local minimum, as shown in Figure 16, the heat flux density across radiometer positions is lowest, with values ranging approximately between 1 and 9 kW·m−2 depending on the position and intervention scenario. At the time of local maximum, as shown in Figure 16, the heat flux densities are substantially higher, reaching up to ~70 kW·m−2 in the no-intervention scenario, ~45 kW·m−2 for Team A, and ~40 kW·m−2 for Team B, as shown in Figure 17. The spatial distribution exhibits a decreasing trend along the position axis, with the highest values at positions of 90° and 0° and a reduction toward positions to the left and 180°. The highest values are observed in the no-intervention case (N), followed by Team B and then Team A, indicating the cooling effect of the interventions. The curves exhibit a transparent spatial gradient, with lower fluxes around the positions of the radiometers at 90° and to the left and higher fluxes at positions 90°, 0°, and 180°.
Under the methodology described in Section 2.7, the evaluation process for the radiometers was based on polynomial modeling to reconstruct and analyze the temporal evolution of heat flux during the fire tests. During the intervention of Team A, radiometers recorded heat flux density values that exhibited apparent variability in amplitude and timing based on sensor orientation, reflecting the directional nature of radiant heat from the fire source and the hot gas layer beneath the ceiling. In this scenario, the 45° radiometer reached a peak value of approximately 50 kW·m−2, while the 0° radiometer also exhibited a maximum of 50 kW·m−2. The 90° radiometer recorded lower peaks around 30 kW·m−2, and the left-oriented sensor measured maxima in the range of 15–18 kW·m−2. The 180° radiometer, oriented away from the fire source, displayed the lowest maximum values between 10 and 12 kW·m−2. These peak values, visible in Figure 16, were consistently observed across the no-intervention (N), Team A, and Team B scenarios, with minor variations due to fire progression and intervention timing. The time-shifted occurrence of these peaks was primarily due to the orientation of the radiometers, which captured radiation from both the direct combustion source and the hot gas layer under the ceiling, rather than the movement of the teams during intervention.
Fitted functions for each scenario are the following:
F ( p A ) = ln 7.78 0.2435 p + 0.883 p 2 0.6351 p 3 + 0.0829 p 4
F p B = l n   6.2129 + 3.8356   t 1.7327   t 2 0.0279   t 3 + 0.0518   t 4
F p N = l n   15.7231 10.7974   t + 7.3615   t 2 2.3026   t 3 + 0.2537   t 4
Figure 18 shows the aggregated median heat flux density across five radiometer orientations under three scenarios: no intervention (purple), Team B intervention (blue), and Team A intervention (red). The data represent time-aggregated, spatially resolved measurements derived from the log-transformed heat flux values, which were reconverted into physical units (kW·m−2) for interpretation. For the no-intervention scenario (purple), the aggregated log-median values across the radiometers are approximately 2.4, 2.3, 2.1, 2.3, and 2.8 (corresponding to ~11.0, 10.0, 8.2, 10.0, and 16.4 kW·m−2). For the Team B intervention (blue), the values are around 2.2, 2.1, 1.8, 1.8, and 2.4 (~9.0, 8.2, 6.0, 6.0, and 11.0 kW·m−2). The Team A intervention (red) shows the lowest aggregated log-median values of approximately 2.1, 2.0, 1.6, 0.4, and 0.2 (~8.2, 7.4, 5.0, 1.5, and 1.2 kW·m−2), indicating a substantial reduction in radiant exposure, especially in the 180° and left-facing sensors. Additionally, the horizontal Total IA reference lines in Figure 18 indicate overall aggregated median values across all directions: 1.8 (~6.0 kW·m−2) for no intervention, 1.5 (~4.5 kW·m−2) for Team B, and 1.0 (~2.7 kW·m−2) for Team A. These reference values summarize the total radiant load measured during the tests, allowing for a clear comparison of the reduction in radiant heat flux achieved by the interventions. This graph provides a clear visual representation of the spatial distribution and the overall reduction in radiant thermal loads under different firefighting scenarios, supporting quantitative evaluation of radiant heat suppression effectiveness.
At 45°, the variance difference was slight (F = 0.30064, p < 10−75), but distributions matched (Mann–Whitney p = 0.31536). The correlation was high (Spearman’s ρ = 0.953; Kendall’s τ = 0.951), and the K-S test indicated agreement (p = 0.5094). At 0°, F = 0.69243 (p = 7.25 × 10−9); distributional difference was non-significant (p = 0.42299), with strong correlations (Pearson = 0.876; K-S p = 0.54539). For 90°, F = 0.84271 (p = 0.00694); Mann–Whitney p = 0.57538; Pearson = 0.937; K-S p = 0.89508. The left position showed the largest variance (F = 2.32553, p < 10−38), yet the Mann–Whitney test was non-significant (p = 0.80301), and correlations were strong (Pearson = 0.930; K-S p = 0.98998). At 180°, the variance difference was small (F = 0.23204, p < 10−107); Mann–Whitney p = 0.96193; nonlinear correlations remained strong (Spearman = 0.955), though Pearson was lower (0.398); K-S p = 0.98998. Despite some significant variance differences, all K-S and Mann–Whitney tests indicated non-significant distributional differences, and correlation coefficients confirmed model validity. These results confirm the polynomial model’s ability to accurately capture the spatial dynamics of heat flux across various radiometer positions.
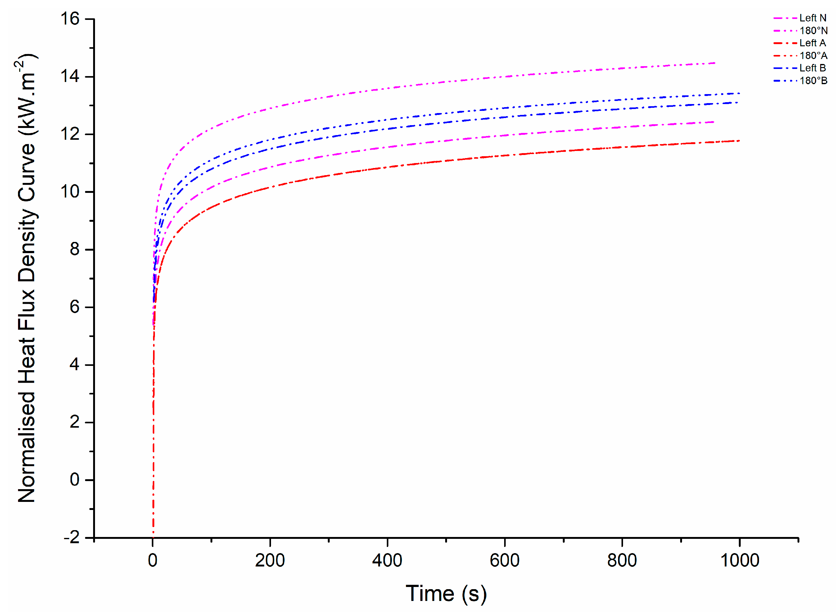
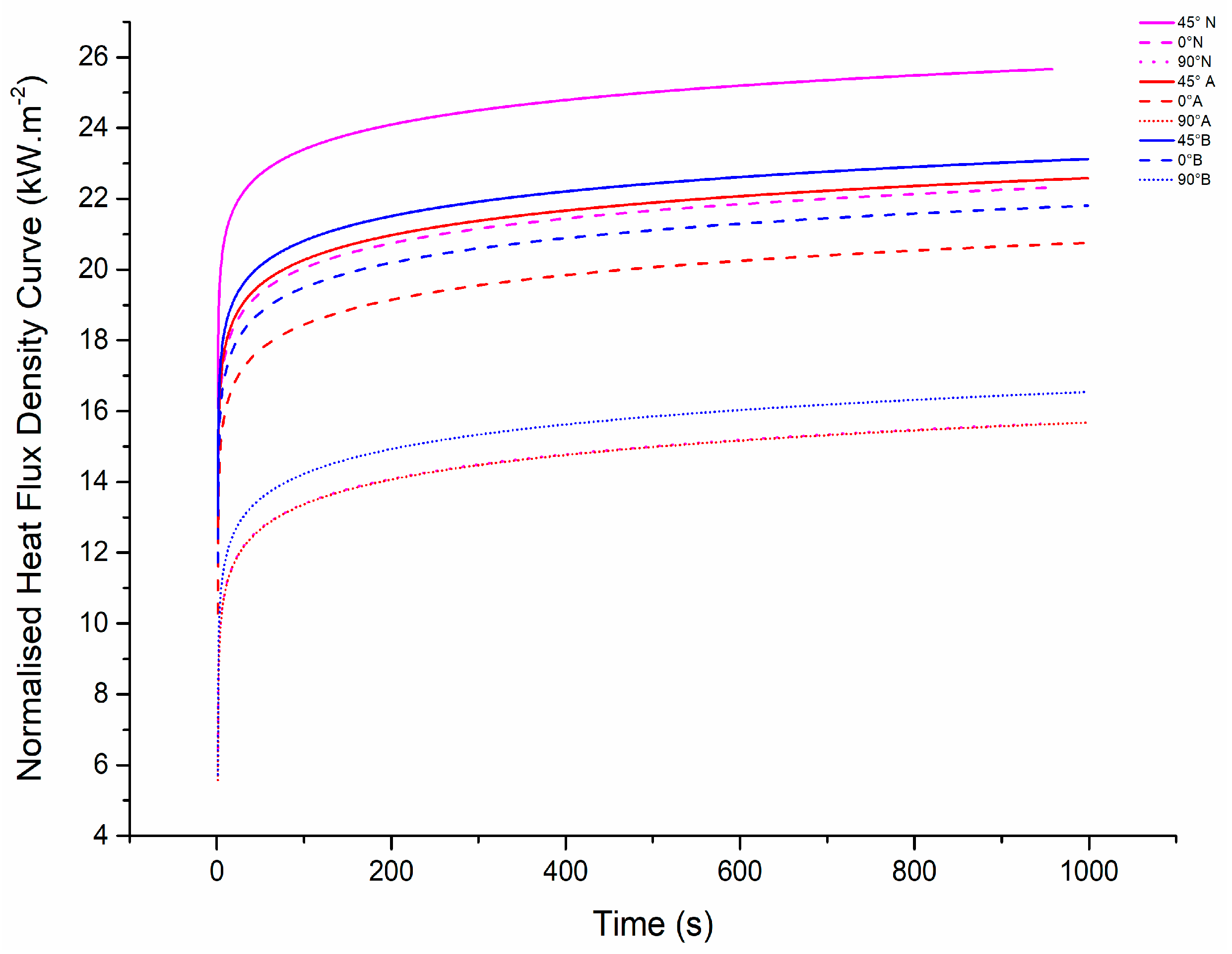
During the firefighting scenarios, the no-intervention case consistently exhibited the highest cumulative radiant energy across all radiometer orientations, indicating continuous thermal loading. This behavior is visible in Figure 19 and Figure 20, which present the normalized cumulative heat flux density curves over time for the radiometers oriented at 45°, 0°, and 90° (Figure 19) and at 180° and left-facing positions (Figure 20). The observed cumulative trends align with the normalized maximum heat flux densities summarized in Table 3, where the no-intervention scenario reaches up to 25.7 kW·m−2 (45°), 22.3 kW·m−2 (0°), and 15.7 kW·m−2 (90°). In comparison, Team A’s values are lower at 22.6 kW·m−2, 20.7 kW·m−2, and 15.7 kW·m−2, respectively. For the 180° and left orientations, the no-intervention scenario achieves 14.5 kW·m−2 and 12.4 kW·m−2, respectively. At the same time, Team A remains lower at 11.8 kW·m−2 in both directions, with Team B generally showing intermediate values.

4. Discussion

In this study, we hypothesized that firefighters undergoing intensive cognitive-behavioral training (Team A) would distribute water more effectively and uniformly during interior fire interventions compared to firefighters with standard training (Team B), leading to reduced radiative exposure, more consistent compartment cooling, and lower thermal stress on firefighters operating under high-risk conditions. To test this hypothesis, we utilized a comprehensive experimental framework that incorporated high-resolution thermal and radiative measurements using arrays of thermocouples and directional radiometers strategically positioned within a propane-fueled compartment fire environment. This setup enabled the creation of controlled yet realistic fire conditions for assessing the effectiveness of various intervention strategies.
The thermal profiles captured across multiple heights and positions within the compartment provided detailed insight into the temporal evolution of vertical and horizontal temperature gradients during fire suppression activities. Persistently high temperatures indicated insufficient water application and ineffective cooling, while rapid temperature drops aligned with effective pulsed water application techniques. Steep vertical temperature gradients between measurement points indicated uneven water distribution, whereas smoother gradients reflected uniform water distribution and effective heat removal from the compartment.
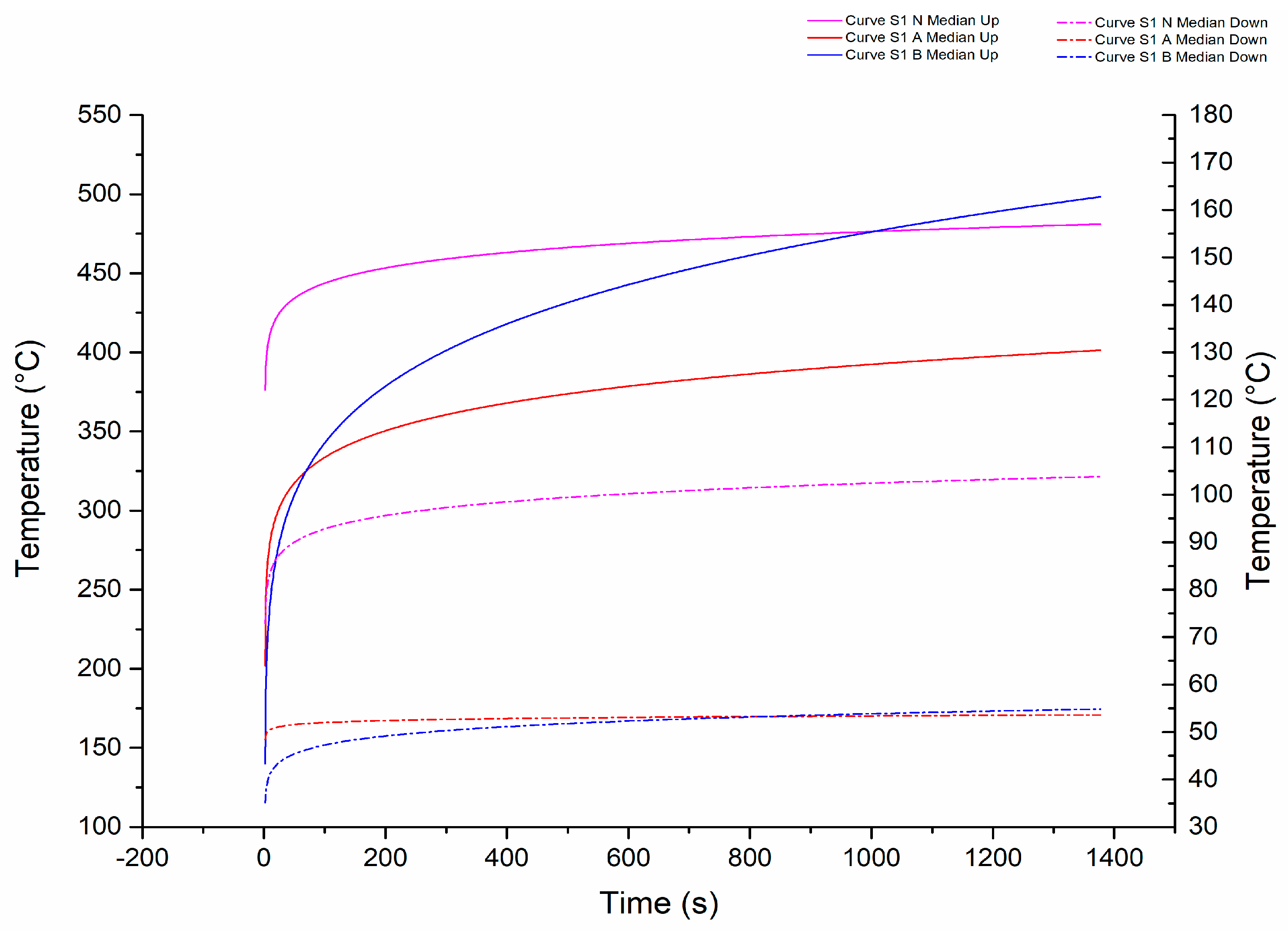
Our data showed that Team A achieved significantly lower peak and residual temperatures across all monitored zones compared to Team B and the control scenario with no intervention. For instance, the upper layer temperatures stabilized at approximately 540 °C for Team A, compared to 580 °C for Team B, and 650 °C in the control scenario without intervention. Similarly, in the middle layers, Team A achieved stabilization at 320 °C, while Team B recorded 400 °C, with the control scenario showing 500 °C. In the lower layers, temperatures were reduced to 130 °C for Team A, compared to 150 °C for Team B and 170 °C without intervention, highlighting the effectiveness of Team A’s approach in reducing thermal loads throughout the compartment.
Radiative heat flux measurements conducted across various angles, including 0°, 45°, 90°, 180°, and left orientations, demonstrated that Team A’s intervention strategies resulted in a reduction in radiative load by 20–40%, effectively lowering heat exposure for firefighters. The use of aggregated sigmoidal modeling, which combines Boltzmann and DoseResp functions, enabled the precise characterization of transitions between hot and cold layers within the compartment. This approach confirmed the effectiveness of pulsed cooling techniques in disrupting thermal stratification and managing compartment temperatures without requiring exclusive reliance on computational fluid dynamics (CFD) simulations. The modeling achieved high accuracy in the upper layers (Pearson’s r > 0.99) and moderate accuracy in the lower layers (r = 0.68–0.74), reflecting the influence of turbulence and ventilation dynamics on heat distribution.
The intervention strategy for Team A involved the use of a controlled pulsed water application at a flow rate of 1.7 kg/s (equivalent to 100 L/min), which was sufficient to produce measurable cooling effects without causing excessive water accumulation within the compartment. Although all participants met the baseline requirements for professional firefighters, including age, health, and operational experience, individual differences in physical fitness, operational experience, education level, and detailed knowledge of fire behavior may have influenced the effectiveness and adaptability of water distribution during interventions [22]. These factors were not systematically controlled in this study due to operational and organizational constraints and are acknowledged as a limitation. Future research should consider these individual differences to refine the analysis of training effectiveness under realistic intervention conditions. Team A’s consistent and stable application of pulsed water allowed for effective heat management, reduced peak temperatures, delayed flashover conditions, and provided safer operational conditions for firefighters during high-temperature exposures. In contrast, Team B’s intervention was characterized by interruptions in water application due to thermal strain and fatigue, leading to higher temperature fluctuations, incomplete suppression of thermal stratification, and reduced overall effectiveness in managing compartment fires. The superior performance of Team A can be attributed not only to training but also to improved coordination, timing of pulses, and crew discipline, which led to better water penetration into hot gas layers and more effective control of flame spread and convective heat transfer.
Modeling the vertical temperature distribution using an aggregated sigmoidal function (Boltzmann and dose–response curves) confirmed the ability to distinguish between stable and unstable interventions and to quantify the effectiveness of pulsed cooling. This approach precisely captured the transition zones between cold and hot layers and evaluated the disruption of stratification during interventions. The measured ranges (500–700 °C upper layers, 300–500 °C middle layers) align with large-scale Class A fire experiments abroad [23,24] and NIST studies simulating fully developed residential fires under various ventilation and flashover conditions [25,26]. Recorded radiative heat flux densities (20–60 kW·m2) in the upper layers correspond to those in enclosed space exposure experiments [25,27]. Although no sharp measurements for model validation exist in the Czech Republic, data from controlled experiments abroad provide valuable comparison, despite higher temperatures and fluxes due to propane use, which limits absolute transferability but ensures consistent tactical comparisons [6,25]. This experiment confirms that pulsed cooling with appropriate water dosing reduces thermal and radiative loads, as well as flashover risk, aligning with prior studies on interior firefighting tactics [6,25].
The methodology employed in this study provides instructors and firefighting teams with objective, data-driven feedback, enabling the identification of tactical shortcomings and supporting training adjustments based on measurable outcomes. By generating detailed heat and radiation exposure maps and systematically analyzing data from training exercises, fire departments can refine operational protocols, enhance the safety and effectiveness of interior interventions, and ensure that firefighters develop the adaptive decision-making skills and tactical awareness necessary for high-risk environments. Beyond evaluating firefighting effectiveness, the temperature and heat flux models from these experiments allow us to document conditions leading up to flashover and fully developed fires under controlled settings. They enable the analysis of vertical and horizontal heat distribution before suppression, the validation of CFD fire models, and the development of protective equipment and training simulators using real heat profiles. Additionally, these models can support the testing and tactical evaluation of firefighting equipment, such as nozzles and hoses, under realistic thermal and smoke conditions. However, it is essential to acknowledge certain limitations within this study. The use of a controlled propane-fueled compartment, while providing consistency across tests, does not fully replicate the complexities of real-world fire environments, where variables such as structural configurations, fuel loads, and ventilation patterns can significantly affect fire dynamics and suppression effectiveness. Furthermore, while the sensor arrays offered comprehensive data coverage, the density and placement of measurement points might not detect all localized thermal phenomena, potentially missing transient hotspots, localized temperature fluctuations, and variations in radiation. Additionally, the absence of CFD modeling limits the ability to fully understand the complex fluid and thermal dynamics occurring during firefighting interventions. These limitations suggest that localized hotspots and smoke layer instabilities may be underrepresented in the measurement data, indicating that the effectiveness of pulsed water application in real multi-compartment fires with complex smoke flows may vary [28].
To address these limitations and enhance the applicability of the findings, future research should focus on integrating CFD simulations with the experimental data gathered in this study. This integration would facilitate a more detailed analysis of airflow and heat transfer dynamics within compartments during firefighting interventions [29,30]. Furthermore, there is a need to investigate the optimal parameters for pulsed water applications, including variables such as pulse duration, water flow rates, nozzle pressure settings, and timing intervals, to maximize cooling efficiency while minimizing water consumption and preventing unnecessary damage to the structural integrity of buildings. Another recommended area of research is the incorporation of biometric monitoring of firefighters during training exercises, including the measurement of heart rate, core body temperature, and thermal gradients within protective clothing, to gain insights into the physiological stresses experienced during firefighting and to tailor tactics and protective measures accordingly. Although the propane-fueled compartment provided controlled and repeatable conditions, it does not fully replicate the complexity of real fires, where ventilation collapse and heterogeneous fuel distribution can significantly alter smoke and heat flow, impacting the effectiveness of pulsed water application. The homogeneous gas mixture and controlled airflow in the test environment may have favored higher pulse efficiency compared to real scenarios, where localized heat spikes and turbulent eddies could reduce cooling effectiveness and firefighter safety. These limitations underline the need for flexible and adaptive firefighting tactics, as pulsed water application strategies that are effective under controlled conditions may require real-time adjustments to maintain effectiveness and safety in complex, evolving fire environments.
While these results demonstrate the comparative effectiveness of stable pulsed water application under controlled conditions, caution should be exercised when extrapolating to complex, multi-compartment fires with dynamic smoke and heat flows, where intervention conditions may vary.

5. Conclusions

This study assessed the effectiveness of stress-based cognitive-behavioral training compared to standard training in firefighters, focusing on their ability to distribute extinguishing water and cool environments evenly during enclosure fires. Experiments conducted at the Zbiroh training facility under realistic conditions confirmed that Team A, which underwent stress-based training, consistently achieved substantial temperature reductions of approximately 320 °C in the upper layers and 250–400 °C in the middle layers, maintaining stable thermal conditions. In contrast, Team B, which received standard training, achieved only partial cooling, with upper-layer temperatures remaining at 750–800 °C and exhibiting higher fluctuations. Additionally, Team A recorded lower radiant heat flux densities (e.g., 20.74 kW/m2 at 0°) compared to Team B (21.81 kW/m2), indicating more effective water application and adaptability during interventions.
The use of aggregated sigmoidal functions (Boltzmann and DoseResp) enabled the precise modeling of vertical temperature distributions, allowing for the identification of transitions between hot and cold gas layers and the creation of normative curves for comparing the effectiveness of interventions. For the analysis of radiant heat flux, polynomial functions were employed to capture temporal and spatial variations in heat flux density during interventions, providing a clear representation of radiant exposure differences between the groups.
These findings confirm that stress-based training enhances firefighters’ operational readiness and improves their ability to apply water effectively under high-risk conditions, contributing to safer and more effective management of indoor fires. This study supports the inclusion of stress-based and scenario-based training in firefighter education, demonstrating that integrating quantitative modeling methods can enhance the evaluation and optimization of tactical interventions.

Funding

This research received no external funding.

Institutional Review Board Statement

This study utilizes data collected during past hands-on training sessions for professional firefighters at an approved training facility. It is, therefore, not a human experiment in the sense of an intervention study. All measurements were taken using standard fire brigade training principles and safety protocols, with no additional interference with standard procedures. Therefore, the research did not require separate approval from an ethics committee.

Informed Consent Statement

Not applicable.

Data Availability Statement

The data presented in this study are available on request from the corresponding author.

Conflicts of Interest

The author declares no conflicts of interest.

References

  1. Edwards, R.; Hanson, A.; Thorpe, M. Culture and Processes of Adult Learning, 1st ed.; Routledge: London, UK, 1993. [Google Scholar] [CrossRef]
  2. Loewenstein, G.F.; Weber, E.U.; Hsee, C.K.; Welch, N. Risk as feelings. Psychol. Bull. 2001, 127, 267–286. [Google Scholar] [CrossRef] [PubMed]
  3. Muller, J.Z. The Tyranny of Metrics; Princeton University Press: Princeton, NJ, USA, 2018. [Google Scholar] [CrossRef]
  4. Bishop, S.R.; Holborn, P.G.; Beard, A.N. Nonlinear Dynamics of Flashover in Compartment Fires. Fire Saf. J. 1993, 21, 11–45. [Google Scholar] [CrossRef]
  5. Moore-Merrell, L.; Kerber, S.; Horn, G.P.; Smith, D.L. Effects of Crew Size on Firefighter Health and Safety. Int. Fire Serv. J. Leadersh. Manag. 2021, 15, 7–25. Available online: https://d1gi3fvbl0xj2a.cloudfront.net/2021-12/IFSJLM%20Vol15_Horn.pdf (accessed on 23 July 2025).
  6. Grimwood, P. 3D Gas Cooling–Burst & Pause Cycles: A Comparative Evaluation of Water-Fog Versus Straight Streams to Cool and Inert Fire Gases in the Overhead of a Compartment Fire. High Rise Firef. 2016, 1, 1–12. Available online: https://highrisefire.co.uk/docs/3D%20GAS%20COOLING.pdf (accessed on 23 July 2025).
  7. Games, K.E.; Winkelmann, Z.K.; Mcginnis, K.D.; Mcadam, J.S.; Pascoe, D.D.; Sefton, J.M. Functional Performance of Firefighters After Exposure to Environmental Conditions and Exercise. J. Athl. Train. 2020, 55, 25–32. [Google Scholar] [CrossRef] [PubMed] [PubMed Central]
  8. Mackay, D.; Barber, T.; Yeoh, G.H. Experimental and computational studies of compartment fire behavior training scenarios. Build. Environ. 2010, 45, 2312–2322. [Google Scholar] [CrossRef]
  9. Stakes, K.; Willi, J.M.; Chaffer, R.; Madrzykovski, D.; Horn, G.P. Exposure Risks and Potential Control Measures for a Fire Behavior Lab Training Structure: Part A-Fire Dynamics and Thermal Risk. Fire Technol. 2023, 59, 2089–2125. [Google Scholar] [CrossRef]
  10. Horn, G.P.; Kerber, S.; Fernhall, B.; Smith, D.L. Thermal response characteristics of firefighters wearing different levels of personal protective equipment during controlled structure fires. J. Occup. Environ. Hyg. 2017, 14, 937–944. [Google Scholar]
  11. Tomášek, A. The Training and Observation Simulator, Stages I and II, Will Accompany the Technical Report for the Project Documentation for a Building Permit; Fire Brigade of the Czech Republic: Prague, Czech Republic, 2010. [Google Scholar]
  12. Larva, J. The Gas Technology Design Will Accompany the Technical Report for the Project Documentation for a Building Permit; Fire Brigade of the Czech Republic: Prague, Czech Republic, 2010. [Google Scholar]
  13. Sax, N.I. (Ed.) Dangerous Properties of Industrial Materials, 9th ed.; John Wiley & Sons: Hoboken, NJ, USA, 2004; ISBN 9780471701347. [Google Scholar] [CrossRef]
  14. Heskestad, G. Dynamics of the fire plume. Philos. Trans. R. Soc. London. Ser. A Math. Phys. Eng. Sci. 1998, 356, 2815–2833. [Google Scholar] [CrossRef]
  15. Zukoski, E.E. Fluid Dynamic Aspects of Room Fires. In Proceedings of the First International Symposium, Gaithersburg, MD, USA, 7–11 October 1985; pp. 1–30. [Google Scholar]
  16. Lönnermark, A. On the Characteristics of Fires in Tunnels. Ph.D. Thesis, Department of Fire Safety Engineering and Systems Safety, Lund University, Lund, Sweden, 2005. ISBN 91-628-6637-0. Available online: https://lucris.lub.lu.se/ws/files/4559367/545455.pdf (accessed on 23 May 2025).
  17. Žižka, J. A Set of Experimental Tests in Simulated Fire in Confined Space Conditions was Performed in the Zbiroh Training Facility. Master’s Thesis, Technical University of Ostrava, Ostrava, Czech Republic, 2012. [Google Scholar]
  18. Särdqvist, S. Water and Other Extinguishing Agents; Räddnings Verket: Karlstad, Sweden, 2002; p. 155. ISBN 91-7253-265-3. [Google Scholar]
  19. Grant, G.; Brenton, J.A.; Drysdale, D. Fire suppression by water sprays. Prog. Energy Combust. Sci. 2000, 26, 79–130. [Google Scholar] [CrossRef]
  20. Costarelli, D. Sigmoidal Functions, Approximation, and Applications; Università Roma Tre: Roma, Italy, 2013; Available online: http://193.204.165.196/Allegati/Dottorato/TESI/costarel/Sigmoidal_Approximation_Costarelli.pdf (accessed on 23 May 2025).
  21. Liu, X.; Wu, S.; Zhu, K.; Cai, Y.; Huang, Y. Mesoscopic lattice Boltzmann model for radiative heat transfer in graded-index media. Phys. Rev. Res. 2022, 4, 013125. [Google Scholar] [CrossRef]
  22. Žižka, J.; Bernatíková, Š.; Dudáček, A. Heat Stress During Firefighters Training for Intervention in Tunnels and Other Enclosed Spaces. Transp. Res. Procedia 2023, 74, 1444–1451. [Google Scholar] [CrossRef]
  23. Madrzykowski, D. Fatal Training Fires: Fire Analysis for the Fire Service; NIST Special Publication; National Institute of Standards and Technology: Gaithersburg, MD, USA, 2007.
  24. Madrzykowski, D.; Kerber, S. Fire Fighting Tactics Under Wind Driven Fire Conditions: Laboratory Experiments; NIST Technical Note 1618; National Institute of Standards and Technology: Gaithersburg, MD, USA, 2009. Available online: https://nvlpubs.nist.gov/nistpubs/Legacy/TN/nbstechnicalnote1618.pdf (accessed on 23 May 2025).
  25. Kerber, S. Analysis of Changing Residential Fire Dynamics and Its Implications on Firefighter Operational Timeframes; NIST Technical Note 1797; National Institute of Standards and Technology: Gaithersburg, MD, USA, 2012. Available online: https://nvlpubs.nist.gov/nistpubs/TechnicalNotes/NIST.TN.1797.pdf (accessed on 23 May 2025).
  26. Kerber, S.; Madrzykowski, D. Effect of Ventilation on Fire Behavior in Legacy and Contemporary Residential Construction; NIST Technical Note 1629; National Institute of Standards and Technology: Gaithersburg, MD, USA, 2009. Available online: https://nvlpubs.nist.gov/nistpubs/Legacy/TN/nbstechnicalnote1629.pdf (accessed on 23 May 2025).
  27. Grimwood, P.; Hartin, E.; McDonough, J.; Raffel, S.H.A.N. 3D Fire Fighting: Training, Techniques, and Tactics; Fire Protection Publication: Stillwater, AK, USA, 2005; ISBN 978-0879392581. [Google Scholar]
  28. Fry, W.A.; Sidebottom, J.G.; Hughes, J.L.; Phelan, B.J. Characterizing a firefighter’s immediate thermal environment in live-fire training. Fire Technol. 2021, 57, 1705–1728. [Google Scholar] [CrossRef]
  29. McGrattan, K.; Hostikka, S.; McDermott, R.; Floyd, J.; Weinschenk, C.; Overholt, K. Fire Dynamics Simulator Technical Reference Guide Volume 1: Mathematical Model, 6th ed.; NIST Special Publication 1018; National Institute of Standards and Technology: Gaithersburg, MD, USA, 2013. Available online: https://www.nist.gov/ (accessed on 23 May 2025).
  30. Hjertager, L.K.; Hjertager, B.H.; Solberg, T. CFD Modelling of Fast Chemical Reactions in Turbulent Liquid Flows. Comput. Chem. Eng. 2002, 26, 507–515. [Google Scholar] [CrossRef]
Figure 1. Visualization of the Zbiroh training facility. The experimental area is marked in red (adapted from [17], Žižka, 2012; originally published in the SGS student research program data, reprinted with permission from the university).
Figure 1. Visualization of the Zbiroh training facility. The experimental area is marked in red (adapted from [17], Žižka, 2012; originally published in the SGS student research program data, reprinted with permission from the university).
Fire 08 00304 g001
Figure 2. Floor plan of chamber 1, where the experiment took place. The positions of the temperature and heat flux density measurements are marked in red (adapted from [17]; originally published in the SGS student research program data, reprinted with permission from the university).
Figure 2. Floor plan of chamber 1, where the experiment took place. The positions of the temperature and heat flux density measurements are marked in red (adapted from [17]; originally published in the SGS student research program data, reprinted with permission from the university).
Fire 08 00304 g002
Figure 3. Experiment in chamber 1 of the Zbiroh training facility.
Figure 3. Experiment in chamber 1 of the Zbiroh training facility.
Fire 08 00304 g003
Figure 4. Firefighter at the beginning of water application during pulse firefighting. The gas stratification in the image corresponds to the hypothesis that the vertical temperature distribution follows a sigmoidal function. Taken from www.pozary.cz, (accessed on 23 July 2025).
Figure 4. Firefighter at the beginning of water application during pulse firefighting. The gas stratification in the image corresponds to the hypothesis that the vertical temperature distribution follows a sigmoidal function. Taken from www.pozary.cz, (accessed on 23 July 2025).
Fire 08 00304 g004
Figure 5. (a) Positions of the firefighters during the experiment; (b) system of firefighter rotation in the designated positions.
Figure 5. (a) Positions of the firefighters during the experiment; (b) system of firefighter rotation in the designated positions.
Fire 08 00304 g005
Figure 6. Curves corresponding to the recorded thermocouple values at the time of measurement at a given frequency at the location of the local minima, resulting in a snapshot of the instantaneous state of the temperature distribution at the measurement location.
Figure 6. Curves corresponding to the recorded thermocouple values at the time of measurement at a given frequency at the location of the local minima, resulting in a snapshot of the instantaneous state of the temperature distribution at the measurement location.
Fire 08 00304 g006
Figure 7. Curves corresponding to the recorded thermocouple values at the time of measurement at a given frequency at the location of the local maxima, resulting in a snapshot of the instantaneous state of the temperature distribution at the measurement location.
Figure 7. Curves corresponding to the recorded thermocouple values at the time of measurement at a given frequency at the location of the local maxima, resulting in a snapshot of the instantaneous state of the temperature distribution at the measurement location.
Fire 08 00304 g007
Figure 8. Comparison of measured (red) and modeled (blue) temperatures at heights S81 (solid), S75 (dotted), and S71 (dashed) during Team B intervention. The plot displays repeated heating and cooling cycles, confirming the model’s ability to capture dynamic fire behavior and stratification.
Figure 8. Comparison of measured (red) and modeled (blue) temperatures at heights S81 (solid), S75 (dotted), and S71 (dashed) during Team B intervention. The plot displays repeated heating and cooling cycles, confirming the model’s ability to capture dynamic fire behavior and stratification.
Fire 08 00304 g008
Figure 9. Median aggregation of the coefficients A1 and A2 was performed to approximate the typical temperature profile of Team B’s activity.
Figure 9. Median aggregation of the coefficients A1 and A2 was performed to approximate the typical temperature profile of Team B’s activity.
Fire 08 00304 g009
Figure 10. Median aggregation of the coefficients x0 and dx is performed to approximate the typical temperature profile of Team B’s activity.
Figure 10. Median aggregation of the coefficients x0 and dx is performed to approximate the typical temperature profile of Team B’s activity.
Fire 08 00304 g010
Figure 11. Resulting aggregated median temperature waveforms representing conditions in the plant in the no-fire mode when Team A was extinguishing and when Team B was extinguishing.
Figure 11. Resulting aggregated median temperature waveforms representing conditions in the plant in the no-fire mode when Team A was extinguishing and when Team B was extinguishing.
Fire 08 00304 g011
Figure 12. Resulting aggregated mode temperature waveforms representing conditions in the plant in the no-fire mode when Team A was extinguishing and when Team B was extinguishing.
Figure 12. Resulting aggregated mode temperature waveforms representing conditions in the plant in the no-fire mode when Team A was extinguishing and when Team B was extinguishing.
Fire 08 00304 g012
Figure 13. Log-temperature curves at selected heights from sensor column S1 during intervention by Team A. A single color is used for clarity; line styles distinguish thermocouples arranged vertically (S81–S70, top to bottom).
Figure 13. Log-temperature curves at selected heights from sensor column S1 during intervention by Team A. A single color is used for clarity; line styles distinguish thermocouples arranged vertically (S81–S70, top to bottom).
Fire 08 00304 g013
Figure 14. Normalized curves for the 0–1000 mm and 1000–2300 mm regions, as parameters of separate zones.
Figure 14. Normalized curves for the 0–1000 mm and 1000–2300 mm regions, as parameters of separate zones.
Fire 08 00304 g014
Figure 15. Time course of heat flux density values on individual radiometers during the Team A sequence.
Figure 15. Time course of heat flux density values on individual radiometers during the Team A sequence.
Fire 08 00304 g015
Figure 16. Instantaneous heat flux density recorded by radiometers in five directions at the time of local minimum. The curves represent the spatial distribution for no intervention, Team A, and Team B.
Figure 16. Instantaneous heat flux density recorded by radiometers in five directions at the time of local minimum. The curves represent the spatial distribution for no intervention, Team A, and Team B.
Fire 08 00304 g016
Figure 17. Instantaneous heat flux density measured by radiometers in five directions at the moment of local maximum. The spatial distribution for no intervention, Team A, and Team B is displayed.
Figure 17. Instantaneous heat flux density measured by radiometers in five directions at the moment of local maximum. The spatial distribution for no intervention, Team A, and Team B is displayed.
Fire 08 00304 g017
Figure 18. Aggregated log-median heat flux density by radiometer direction. Team A shows a significant reduction in radiation at 90°, 180°, and left-facing positions, indicating effective suppression of radiant heat outside the direct line of attack.
Figure 18. Aggregated log-median heat flux density by radiometer direction. Team A shows a significant reduction in radiation at 90°, 180°, and left-facing positions, indicating effective suppression of radiant heat outside the direct line of attack.
Fire 08 00304 g018
Figure 19. Normalized cumulative heat flux density over time for radiometers oriented at 45°, 0°, and 90°. Team A achieved the most significant reduction in radiant exposure, especially in forward (0°) and upward (90°) directions. The 90°A curve overlaps with the 90°N curve due to their near-identical values and may not be distinctly visible in the figure.
Figure 19. Normalized cumulative heat flux density over time for radiometers oriented at 45°, 0°, and 90°. Team A achieved the most significant reduction in radiant exposure, especially in forward (0°) and upward (90°) directions. The 90°A curve overlaps with the 90°N curve due to their near-identical values and may not be distinctly visible in the figure.
Fire 08 00304 g019
Figure 20. Normalized cumulative heat flux density over time at 180° and left-facing radiometers. Team A consistently achieved lower exposure levels compared to Team B and the no-intervention scenario. The 180°B curve overlaps with the Left A curve due to their very similar values and may not be clearly distinguishable in the figure.
Figure 20. Normalized cumulative heat flux density over time at 180° and left-facing radiometers. Team A consistently achieved lower exposure levels compared to Team B and the no-intervention scenario. The 180°B curve overlaps with the Left A curve due to their very similar values and may not be clearly distinguishable in the figure.
Fire 08 00304 g020
Table 1. Values of the coefficients a, b, and c for each height level and each mode A, B.
Table 1. Values of the coefficients a, b, and c for each height level and each mode A, B.
Temperature LevelCoefficient
ABN
abcabcabc
S81−0.46612.4899−1.802−0.47231.3828−1.5246−0.47922.4241−1.802
S80−0.46962.4613−1.8733−0.46131.4671−1.5125−0.49112.3539−1.8733
S78−0.47392.3743−1.9282−0.47922.4241−1.7171−0.49472.2726−1.9282
S77−0.4642.3587−1.9204−0.49112.3539−1.7895−0.49642.1918−1.9204
S76−0.45922.321−1.9265−0.49472.2726−1.8285−0.49612.1267−1.9265
S75−0.46442.1788−1.9313−0.49642.1918−1.8203−0.49052.0464−1.9313
S74−0.46762.0413−1.8626−0.49612.1267−1.8399−0.47362.0273−1.8626
S73−0.4022.0828−1.9295−0.49052.0464−1.8264−0.46381.7058−1.9295
S71−0.36812.1482−1.9342−0.47362.0273−1.794−0.46422.4241−1.9342
S70−0.47231.3828−1.5246−0.46381.7058−1.6912−0.47232.4899−1.5246
Table 2. Specific values for the selected altitude levels and temperature comparison for the upper and lower regions in the intervals 0–1400 s and 0–508 s.
Table 2. Specific values for the selected altitude levels and temperature comparison for the upper and lower regions in the intervals 0–1400 s and 0–508 s.
Level and TimeTeam ATeam BEmpty
Median Up 508 s374 °C507 °C465 °C
Median Down 508 s52 °C52 °C100 °C
S 78 1880 mm 508 s455 °C505 °C560 °C
S72 680 mm 508 s45 °C50 °C100 °C
Median Up 1400 s401 °C498 °C481 °C
Median Down 1400 s54 °C55 °C103 °C
S 78 1880 mm 1400 s500 °C580 °C580 °C
S72 680 mm 1400 s50 °C52 °C105 °C
Table 3. Normalized maximum heat flux density values.
Table 3. Normalized maximum heat flux density values.
Normalized Heat Flux Density Maximum
kW·m−2
RadiometerNo TeamTeam ATeam B
45°25.6722.5823.13
22.3120.7421.81
90°15.6815.6816.54
Left12.4311.7813.11
180°14.4711.7813.43
Disclaimer/Publisher’s Note: The statements, opinions and data contained in all publications are solely those of the individual author(s) and contributor(s) and not of MDPI and/or the editor(s). MDPI and/or the editor(s) disclaim responsibility for any injury to people or property resulting from any ideas, methods, instructions or products referred to in the content.

Share and Cite

MDPI and ACS Style

Hora, J. Effectiveness of Firefighter Training for Indoor Intervention: Analysis of Temperature Profiles and Extinguishing Effectiveness. Fire 2025, 8, 304. https://doi.org/10.3390/fire8080304

AMA Style

Hora J. Effectiveness of Firefighter Training for Indoor Intervention: Analysis of Temperature Profiles and Extinguishing Effectiveness. Fire. 2025; 8(8):304. https://doi.org/10.3390/fire8080304

Chicago/Turabian Style

Hora, Jan. 2025. "Effectiveness of Firefighter Training for Indoor Intervention: Analysis of Temperature Profiles and Extinguishing Effectiveness" Fire 8, no. 8: 304. https://doi.org/10.3390/fire8080304

APA Style

Hora, J. (2025). Effectiveness of Firefighter Training for Indoor Intervention: Analysis of Temperature Profiles and Extinguishing Effectiveness. Fire, 8(8), 304. https://doi.org/10.3390/fire8080304

Article Metrics

Back to TopTop