Investigation into the Computational Analysis of High–Speed Microjet Hydrogen–Air Diffusion Flames
Abstract
1. Introduction
2. The Test Case
3. Modeling Outline
3.1. Mathematical Modeling Overview
3.2. Turbulence Modeling
3.3. Reaction Mechanisms
3.4. Turbulent Combustion Modeling
3.5. Numerical Modeling
4. Solution Domains
5. Boundary Conditions
6. Grids
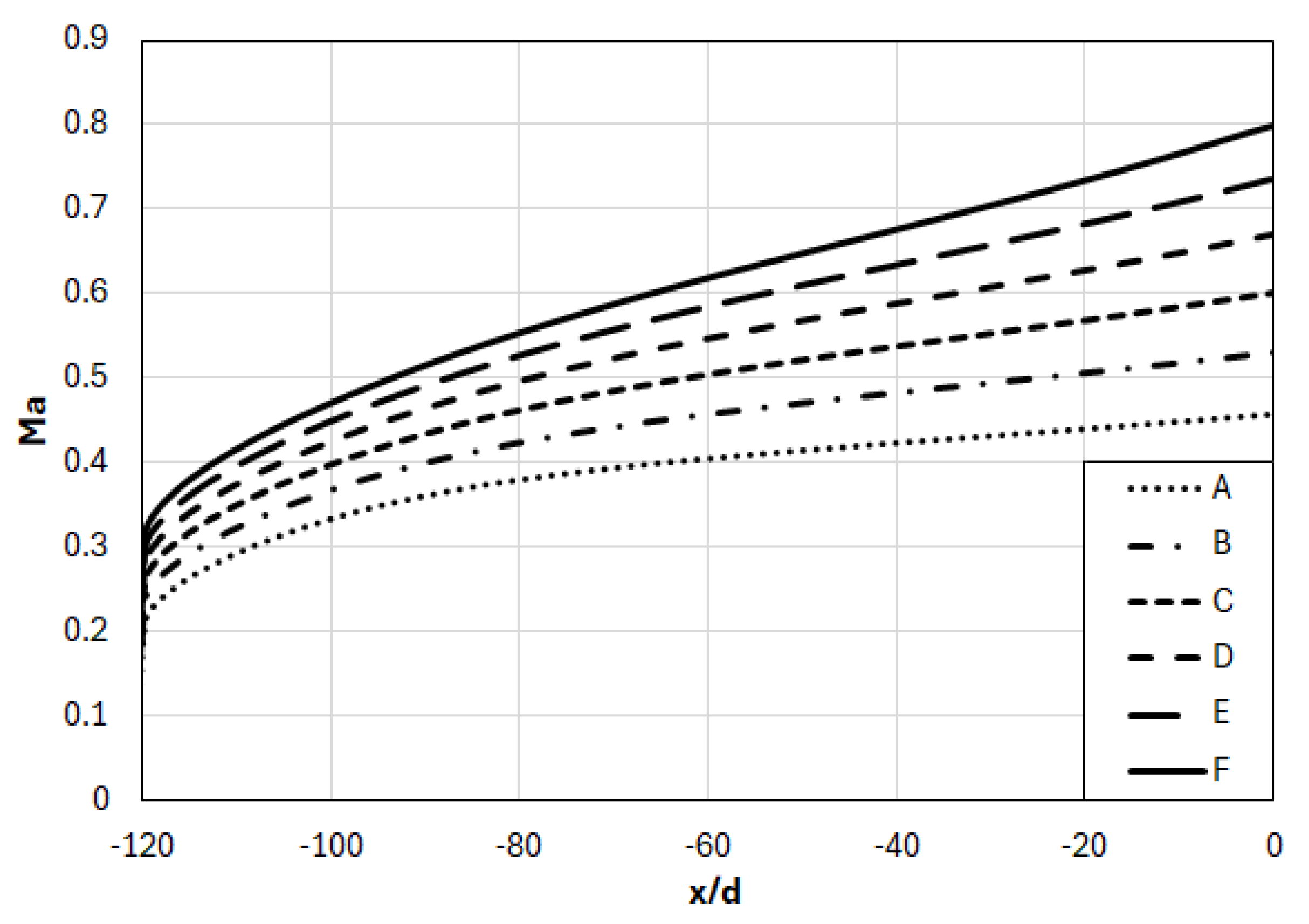
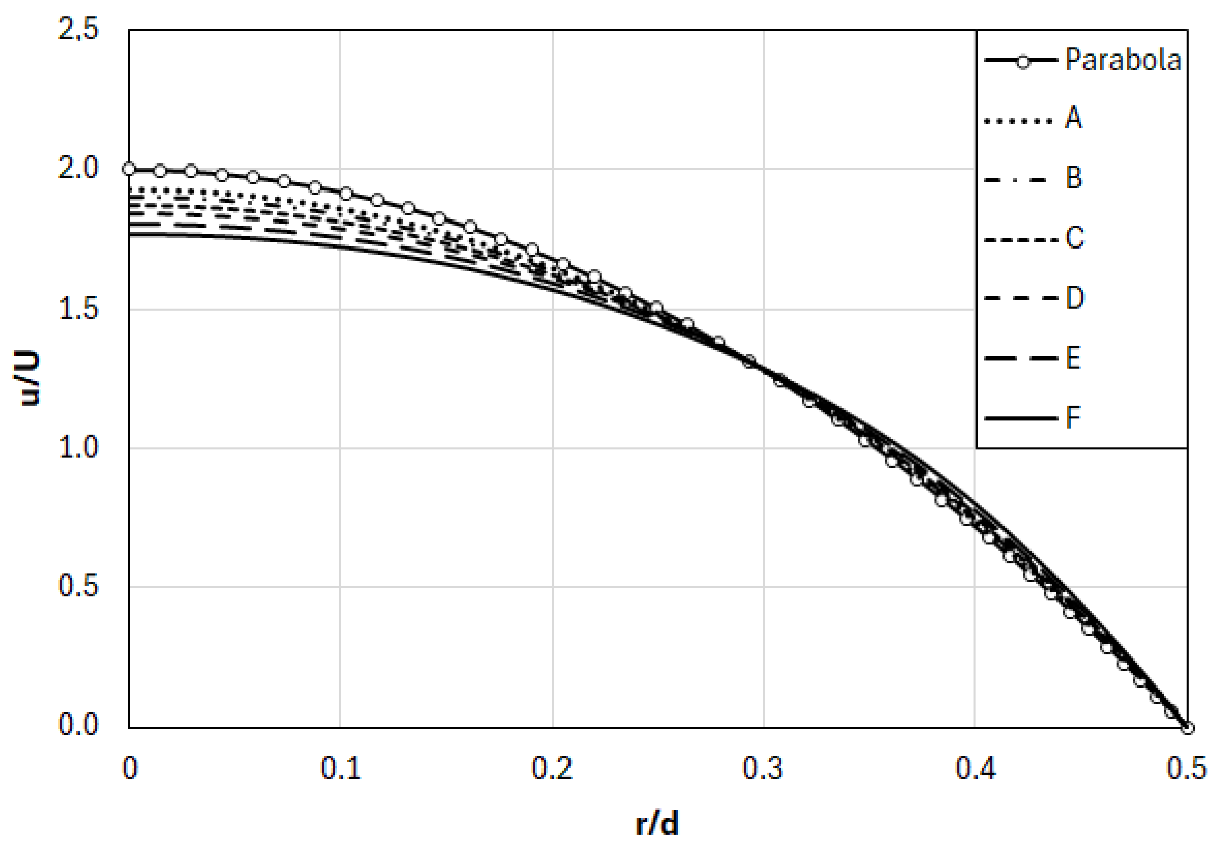
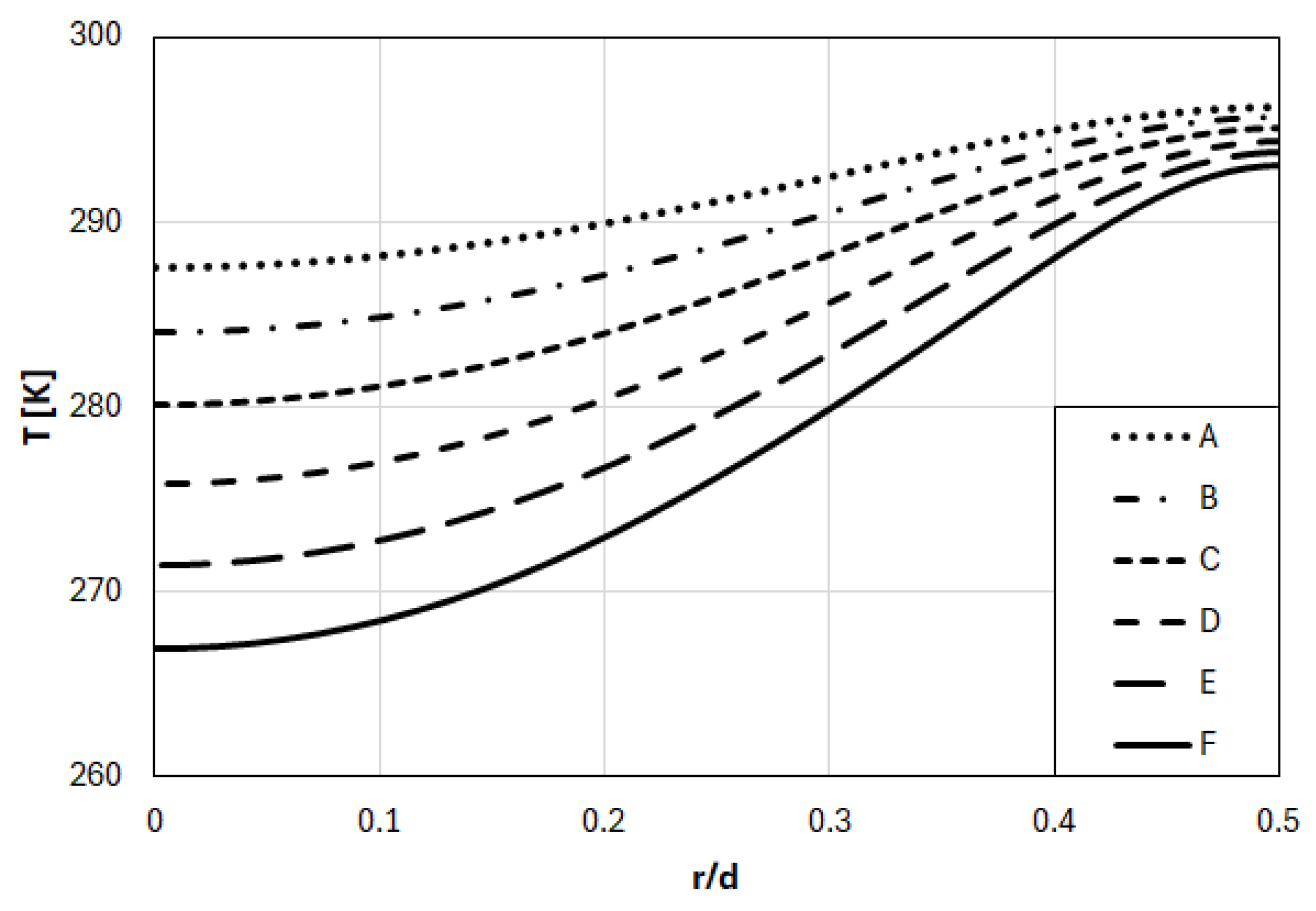
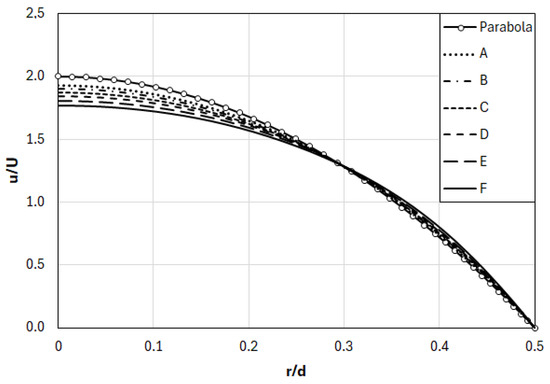
7. Results for Nozzle Flow
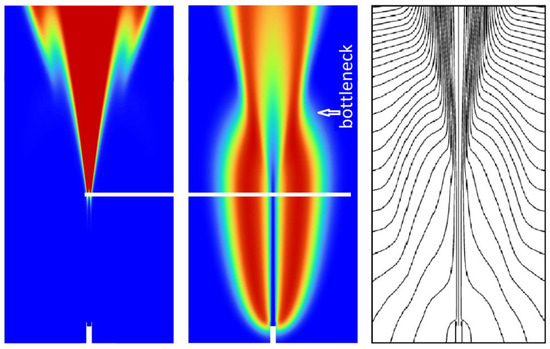
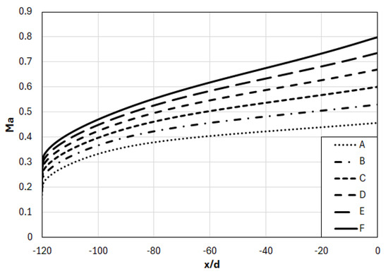
8. Results for Microjets in Flame Domain
8.1. Case A
8.1.1. Turbulence Model Assessment
8.1.2. Effect of Buoyancy
8.1.3. Effect of Thermal Diffusion and Preferential/Differential Diffusion
8.1.4. Assessment of Combustion Mechanisms and Turbulent Combustion Models
8.2. All Cases, Comparison with Experiments
9. Conclusions
Funding
Institutional Review Board Statement
Informed Consent Statement
Data Availability Statement
Conflicts of Interest
References
- Sorensen, B. Renewable Energy; Academic Press: Cambridge, MA, USA, 2017. [Google Scholar]
- Radovanovic, M. Sustainable Energy Management; Academic Press: Cambridge, MA, USA, 2022. [Google Scholar]
- DuBois, E.; Mercier, A. Energy Recovery; Nova Science: Hauppauge, NY, USA, 2010. [Google Scholar]
- Benim, A.C.; Epple, B.; Krohmer, B. Modelling of pulverised coal combustion by a Eulerian-Eulerian two-phase flow formulation. Prog. Comput. Dyn. Int. J. 2005, 5, 345–361. [Google Scholar] [CrossRef]
- Barnes, I.D. Understanding pulverised coal, biomass and waste combustion e a brief overview. Appl. Therm. Eng. 2005, 74, 89–95. [Google Scholar] [CrossRef]
- Higman, C.; van der Burgt, M. Gasification, 2nd ed.; Gulf Professional Publishing: Houston, TX, USA, 2008. [Google Scholar]
- Sarker, T.R.; Nanda, S.; Dalai, A.K. Hydrogen-rich gas production from hydrothermal gasification of fuel pellets obtained fromco-pelletization of agricultural residues. Int. J. Hydrogen Energy 2024, 52, 80–93. [Google Scholar] [CrossRef]
- IAEA. Hydrogen Production Using Nuclear Energy; IAEA Nuclear Energy Series, No. NP-T-4.2; International Atomic Energy Agency: Vienna, Austria, 2013. [Google Scholar]
- Karaca, A.E.; Dincer, I.; Gu, J. Life cycle assessment study on nuclear based sustainable hydrogen production options. Int. J. Hydrogen Energy 2020, 45, 22148–22159. [Google Scholar] [CrossRef]
- Gotz, M.; Lefebvre, J.; Mors, F.; McDaniel Koch, A.; Graf, F.; Bajohr, S.; Reimert, R.; Kolb, T. Renewable power-to-gas: A technological and economic review. Renew. Energy 2016, 85, 1371–1390. [Google Scholar] [CrossRef]
- Benim, A.C.; Syed, K. Flashback Mechanisms in Lean Premixed Gas Turbine Combustion; Academic Press: Cambridge, MA, USA, 2015. [Google Scholar]
- Aniello, A.; Poinsot, T.; Selle, L.; Schuller, T. Hydrogen substitution of natural-gas in premixed burners and implications for blow-off and flashback limits. Int. J. Hydrogen Energy 2022, 47, 33067–33081. [Google Scholar] [CrossRef]
- Kudriakov, S.; Studer, E.; Bin, C. Numerical simulation of the laminar hydrogen flame in the presence of a quenching mesh. Int. J. Hydrogen Energy 2011, 26, 2555–2559. [Google Scholar] [CrossRef]
- Schönborn, A.; Sayad, P.; Klingmann, J. Influence of precessing vortex core on flame flashback in swirling hydrogen flames. Int. J. Hydrogen Energy 2014, 39, 20233–20241. [Google Scholar] [CrossRef]
- Kiymaz, T.B.; Boncu, E.; Guleryuz, D.; Karaca, M.; Yilmaz, B. Numerical investigations on flashback dynamics of premixed methane-hydrogen-air laminar flames. Int. J. Hydrogen Energy 2022, 59, 25022–25033. [Google Scholar] [CrossRef]
- Lopez-Ruiz, G.; Fernandez-Akarregi, A.R.; Diaz, L.; Urresti, I.; Alava, I.; Blanco, J.M. Numerical study of a laminar hydrogen diffusion flame based on the non-premixed finite-rate chemistry model; thermal NOx assessment. Int. J. Hydrogen Energy 2019, 44, 20426–20439. [Google Scholar] [CrossRef]
- Li, D.; Wang, R.; Yang, G.; Wan, J. Effect of hydrogen addition on the structure and stabilization of a micro-jet methane diffusion flame. Int. J. Hydrogen Energy 2021, 46, 5790–5798. [Google Scholar] [CrossRef]
- Haj Ayed, A.; Kusterer, K.; Funke, H.H.W.; Keinz, J.; Bohn, D. CFD based exploration of the dry-low-NOx hydrogen micromix combustion technology at increased energy densities. Propuls. Power Res. 2017, 6, 15–24. [Google Scholar] [CrossRef]
- You, C.-H.; Lee, H.Y.; Hwang, S.-S. Low NOX combustion characteristics by hydrogen micro jet flame in cross flow. J. Mech. Sci. Technol. 2023, 37, 445–455. [Google Scholar] [CrossRef]
- Kozlov, V.V.; Grek, G.R.; Korobeinichev, O.P.; Litvinenko, Y.A.; Shmakov, A.G. Features of diffusion combustion of hydrogen in the round and plane high-speed microjets (Part II). Int. J. Hydrogen Energy 2016, 41, 20240–20249. [Google Scholar] [CrossRef]
- Kozlov, V.V.; Grek, G.R.; Kozlov, G.V.; Litvinenko, Y.A.; Shmakov, A.G. Experimental study on diffusion combustion of high-speed hydrogen round microjets. Int. J. Hydrogen Energy 2019, 44, 457–468. [Google Scholar] [CrossRef]
- Kozlov, V.V.; Vikhorev, V.V.; Grek, G.R.; Litvinenko, Y.A.; Shmakov, A.G. Diffusion combustion of a hydrogen microjet at variations of its velocity profile and orientation of the nozzle in the field of gravitation. Combust. Sci. Technol. 2019, 191, 1219–1235. [Google Scholar] [CrossRef]
- Shmakov, A.G.; Grek, G.R.; Kozlov, V.V.; Litvienko, Y.A. Influence of initial and boundary conditions at the nozzle exit upon diffusion combustion of a hydrogen microjet. Int. J. Hydrogen Energy 2017, 42, 15913–15924. [Google Scholar] [CrossRef]
- Takahashi, F.; Mizomoto, M.; Ikai, S. Transition from laminar to turbulent free jet diffusion flames. Combust. Flame 1982, 48, 85–95. [Google Scholar] [CrossRef]
- Agarwal, A.K.; Burt, A.W.; Alammar, K.N. Effect of buoyancy on transitional hydrogen gas-jet diffusion flames. Combust. Sci. Technol. 2005, 177, 2305–2322. [Google Scholar] [CrossRef]
- Glassman, I.; Yetter, R.A.; Glumac, N.G. Combustion, 5th ed.; Academic Press: Cambridge, MA, USA, 2014. [Google Scholar]
- Libby, P.A.; Williams, F.A. Turbulent Reacting Flows, 2nd ed.; Academic Press: Cambridge, MA, USA, 1994. [Google Scholar]
- Xiao, H.; Wang, Q.; He, X.; Sun, J.; Yao, L. Experimental and numerical study on premixed hydrogen/air flame propagation in horizontal rectangular closed duct. Int. J. Hydrogen Energy 2010, 35, 1367–1376. [Google Scholar] [CrossRef]
- Kim, W.; Namba, T.; Johzaki, T.; Endo, T. Self-similar propagation of spherically expanding flames in lean hydrogen-air mixtures. Int. J. Hydrogen Energy 2020, 45, 25608–25614. [Google Scholar] [CrossRef]
- Shmakov, A.G.; Kozlov, V.N.; Litvinenko, M.V.; Litvinenko, Y.A. Effect of inert and reactive gas additives to hydrogen and air blow-off of flame at hydrogen release from microleakage. Int. J. Hydrogen Energy 2021, 46, 2796–2803. [Google Scholar] [CrossRef]
- Benim, A.C.; Pfeiffelmann, B. Computational investigation of laminar premixed hydrogen flame past a quenching mesh. Int. J. Numer. Methods Heat Fluid Flow 2020, 30, 1923–1935. [Google Scholar] [CrossRef]
- Toro, V.V.; Mokhov, A.V.; Levinsky, H.B.; Smooke, M.D. Combined experimental and computational study of laminar, axisymmetric hydrogen-air diffusion flames. Proc. Combust. Inst. 2005, 30, 485–492. [Google Scholar] [CrossRef]
- Piemsinlapakunchon, T.; Paul, M.C. Effects of content of hydrogen on the characteristics of co-flow laminar diffusion flame of hydrogen/nitrogen mixture in various flow conditions. Int. J. Hydrogen Energy 2018, 43, 3015–3033. [Google Scholar] [CrossRef]
- Skottene, M.; Rian, K.E. A study on NOx formation in hydrogen flames. Int. J. Hydrogen Energy 2007, 32, 3572–3585. [Google Scholar] [CrossRef]
- Benim, A.C.; Korucu, A. Computational investigation of non-premixed hydrogen-air laminar flames. Int. J. Hydrogen Energy 2023, 48, 14492–14510. [Google Scholar] [CrossRef]
- Benim, A.C.; Pfeiffelmann, B.; Oclon, P.; Taler, J. Computational investigation of a lifted hydrogen flame with LES and FGM. Energy 2019, 173, 1172–1181. [Google Scholar] [CrossRef]
- Benim, A.C.; Pfeiffelmann, B. Comparison of Combustion Models for Lifted Hydrogen Flames within RANS Framework. Energies 2020, 13, 152. [Google Scholar] [CrossRef]
- Funke, H.H.W.; Beckmann, N.; Keinz, J.; Abanteriba, S. A comparison of numerical combustion models for hydrogen and hydrogen-rich syngas applied for dry-low-Nox-micromix-combustion. J. Eng. Gas Turbines Power 2018, 140, 081504. [Google Scholar] [CrossRef]
- ANSYS Fuent Release 2022/R2, Theory Guide. 2022. Available online: https://www.ansys.com/products/fluids/ansys-fluent (accessed on 31 July 2024).
- Streeter, W.L.; Wylie, E.B. Fluid Mechanics, 7th ed.; McGraw-Hill: New Yor, NY, USA, 1979. [Google Scholar]
- Schefer, R.W.; Houf, W.G.; Bourne, B.; Colton, J. Spatial and radiative properties of an open-flame hydrogen plume. Int. J. Hydrogen Energy 2006, 31, 1332–1340. [Google Scholar] [CrossRef]
- Turns, S.R. An Introduction to Combustion, 3rd ed.; McGraw Hill: New York, NY, USA, 2012. [Google Scholar]
- Bird, R.B.; Stewart, W.E.; Lightfoot, E.N. Transport Phenomena, 2nd ed.; Wiley: Hoboken, NJ, USA, 2002. [Google Scholar]
- Kee, R.J.; Coltrin, M.E.; Glarborg, P.; Zhu, H. Chemically Reacting Flow, 2nd ed.; Wiley: Hoboken, NJ, USA, 2018. [Google Scholar]
- Kuo, K.K.-Y. Principles of Combustion; Wiley: Hoboken, NJ, USA, 1986. [Google Scholar]
- Özisik, M.N. Radiative Transfer and Interactions with Conduction and Convection; Wiley: Hoboken, NJ, USA, 1973. [Google Scholar]
- Hottel, H.C.; Sarofim, A.F. The effect of gas flow patterns on radiative transfer on cylindrical enclosures. Int. J. Heat Mass Transf. 1965, 8, 1153–1169. [Google Scholar] [CrossRef]
- Smith, T.F.; Shen, Z.F.; Friedman, J.N. Evaluation of coefficients for the weighted sum of gray gases model. J. Heat Transf. 1982, 104, 602–608. [Google Scholar] [CrossRef]
- Hinze, J.O. Turbulence, 2nd ed.; McGraw-Hill: New York City, NY, USA, 1975. [Google Scholar]
- Durbin, P.A.; Pettersson Reif, B.A. Statistical Theory and Modeling for Turbulent Flows; Wiley: Hoboken, NJ, USA, 2010. [Google Scholar]
- Leschziner, M. Statistical Turbulence Modelling for Fluid Dynamics, Demistified; Imperial College Press: London, UK, 2015. [Google Scholar]
- Langtry, R.B.; Menter, F.R. Correlation-based transition modeling for unstructured parallelized computational fluid dynamics codes. AIAA J. 2009, 47, 2894–2906. [Google Scholar] [CrossRef]
- Menter, F.R.; Langtry, R.B.; Likki, S.R.; Suzen, Y.B.; Huang, P.G.; Volker, S. A correlation-based transition model using local variables: Part I—Model formulation. J. Turbomach. 2006, 128, 413–422. [Google Scholar] [CrossRef]
- Langtry, R.B.; Menter, F.R.; Likki, S.R.; Suzen, Y.B.; Huang, P.G.; Volker, S. A correlation-based transition model using local variables: Part II—Test cases and industrial applications. J. Turbomach. 2006, 128, 423–434. [Google Scholar] [CrossRef]
- Benim, A.C.; Pasqualotto, E.; Suh, S.-H. Modelling turbulent flow past a circular cylinder by RANS, URANS, LES and DES. Prog. Comput. Fluid Dyn. Int. J. 2008, 8, 299–307. [Google Scholar] [CrossRef]
- Menter, F.M. Two-equation eddy-viscosity turbulence models for engineering applications. AIAA J. 1994, 32, 1598–1605. [Google Scholar] [CrossRef]
- Launder, B.E.; Spalding, D.B. The numerical computation of turbulent flows. Comput. Methods Appl. Mech. Eng. 1974, 3, 269–289. [Google Scholar] [CrossRef]
- Chen, H.C.; Patel, V.C. Near-wall turbulence models for complex flows including separation. AIAA J. 1988, 26, 641–648. [Google Scholar] [CrossRef]
- Garnier, E.; Adams, N.; Sagaut, P. Large Eddy Simulation for Compressible Flows; Springer: Berlin, Germany, 2009. [Google Scholar]
- Marinov, N.M.; Westbrook, C.K.; Pitz, W. Detailed and Global Chemical Kinetics Model for Hydrogen; Report No. UCRL-JC-120677; Lawrence Livermore National Laboratory: Livermore, CA, USA, 1995. [Google Scholar]
- Conaire, M.O.; Curran, H.J.; Simmie, J.M.; Pitz, W.J.; Westbrook, C.K. A comprehensive modeling study of hydrogen oxidation. Int. J. Chem. Kinet. 2004, 36, 603–622. [Google Scholar] [CrossRef]
- Gran, I.R.; Magnussen, B.F. A numerical study of a bluff-body stabilized diffusion flame. Part 2. Influence of combustion modeling and finite-rate chemistry. Combust. Sci. Technol. 1996, 119, 191–217. [Google Scholar] [CrossRef]
- Versteeg, H.K.; Malalasekera, W. An Introduction to Computational Fluid Dynamics—The Finite Volume Method, 2nd ed.; Pearson: London, UK, 2007. [Google Scholar]
- Pitsch, H. The transition to sustainable combustion: Hydrogen- and carbon-based future fuels and methods dealing with their challenges. Proc. Combust. Inst. 2024, 40, 105638. [Google Scholar] [CrossRef]





















| Flames | ||||||
|---|---|---|---|---|---|---|
| A | B | C | D | E | F | |
| U [m/s] | 306 | 357 | 408 | 459 | 510 | 561 |
| Re | 1460 | 1700 | 1950 | 2180 | 2430 | 2670 |
| Ma | 0.24 | 0.28 | 0.32 | 0.36 | 0.40 | 0.43 |
| Fr | 13.5 | 15.8 | 18.0 | 20.3 | 22.5 | 24.8 |
| Flames | ||||||
|---|---|---|---|---|---|---|
| A | B | C | D | E | F | |
| ΔU [m/s] | 85 | 108 | 133 | 161 | 189 | 222 |
| 100 × ΔU/U | 28 | 30 | 33 | 35 | 37 | 40 |
Disclaimer/Publisher’s Note: The statements, opinions and data contained in all publications are solely those of the individual author(s) and contributor(s) and not of MDPI and/or the editor(s). MDPI and/or the editor(s) disclaim responsibility for any injury to people or property resulting from any ideas, methods, instructions or products referred to in the content. |
© 2024 by the author. Licensee MDPI, Basel, Switzerland. This article is an open access article distributed under the terms and conditions of the Creative Commons Attribution (CC BY) license (https://creativecommons.org/licenses/by/4.0/).
Share and Cite
Benim, A.C. Investigation into the Computational Analysis of High–Speed Microjet Hydrogen–Air Diffusion Flames. Fire 2024, 7, 314. https://doi.org/10.3390/fire7090314
Benim AC. Investigation into the Computational Analysis of High–Speed Microjet Hydrogen–Air Diffusion Flames. Fire. 2024; 7(9):314. https://doi.org/10.3390/fire7090314
Chicago/Turabian StyleBenim, Ali Cemal. 2024. "Investigation into the Computational Analysis of High–Speed Microjet Hydrogen–Air Diffusion Flames" Fire 7, no. 9: 314. https://doi.org/10.3390/fire7090314
APA StyleBenim, A. C. (2024). Investigation into the Computational Analysis of High–Speed Microjet Hydrogen–Air Diffusion Flames. Fire, 7(9), 314. https://doi.org/10.3390/fire7090314
