Abstract
Most current surface fire simulators rely upon Rothermel’s model, which considers the local properties of fuel, topography, and meteorology to estimate the rate of spread, and utilises the concept of elliptical growth to predict the evolution of the fire perimeter throughout time. However, the effects of convective processes near the fireline, which modify fire spread conditions along the fire perimeter, are not considered in this model. An innovative fire prediction simulator based on the concept of fireline element displacement, which is composed of translation, rotation, and extension, rather than a point-by-point displacement, is proposed in this article. Based on the laws of convective heat fluxes across and along the fireline and on laboratory experiments, models to estimate the angular rotation velocity and the extension of the fireline during its displacement are proposed. These models are applied to a set of laboratory experiments of point ignition fires on slopes of 30° and 40° and, given the fact that the rate of spread of the head, back, and flank fire are known, the evolution of the fire perimeter can be predicted. The fire spread model can be applied to other situations of varying boundary conditions provided that the parameters required by the model are known.
1. Introduction
The modelling of forest fire propagation has been the subject of extensive research using different methodologies to address this very complex phenomenon. In [1,2,3,4,5], a comprehensive analysis of fire behaviour modelling can be found. Given its prevalent nature, surface fire behaviour is the object of many studies aiming to produce fire prediction models to estimate the development of a fire under arbitrary conditions. A large number of these models and their fire prediction systems [6,7,8,9,10,11,12] use the semi-empirical approach based on the model proposed by Rothermel [13] and extended upon with the Behave System [14,15].
The Rothermel model is based on a large database of laboratory scale experiments, using a wide set of fuel beds under controlled slope or wind conditions. A mathematical model based on the statistical analysis of experimental data is proposed to estimate the basic rate of spread of a fire under no slope and no wind conditions. Assuming an additive vectorial effect of slope and wind, correction functions to adjust for the influence of either slope or wind are proposed. Given the limited nature of the experimental conditions, these equations can only be applied strictly to predict the head fire rate of spread (ROS) in the direction of the slope gradient or wind vectors.
The Rothermel model assumes that the ROS value is defined by the local properties of the fuel bed, the slope, and the wind. As local convective processes induced by the fire are not involved, the dynamic behaviour of the fire is not considered in the model. Therefore, if the local properties remain constant, the value of the ROS will also be constant. In [16] it was shown that even in nominally permanent and uniform boundary conditions, in general cases, the ROS value varies with time, as the case of the eruptive fire illustrates very well [17,18].
Despite these limitations and the absence of analysis regarding the evolution of the ROS in different directions, ref. [14] assumes that a point fire ignition on a slope or under permanent wind conditions spreads taking a form that is well described by a simple or a double ellipse. To the knowledge of the present authors, the concept of elliptical growth was never validated in the sense of justifying why a point ignition fire develops from an initial circular form to an ellipse or to any other of the many shapes that are found in fire perimeters. Several authors recognize that different shapes, including rectangles, can be used to approximate the perimeters of real fires [19,20].
Based on the Huygens principle, the fire perimeter spread was estimated by modelling it as the propagation of a wave, defined by a series of ellipses corresponding to the spread of point-ignited fires at each location at the fire perimeter [21,22,23,24,25]. Various mathematical models and fire behaviour prediction systems have refined the ellipse-shaped fire propagation model by incorporating additional variables [6,11,26,27]. Although the ellipse-shaped propagation approach remains useful, these models do not fit well with the linear shape of the straight fireline that are observed in many fires.
As shown in [28], a non-horizontal fireline spreading on a uniform slope does not spread parallel to itself, prompting the author to define a rotational movement of the fireline. Based on laboratory and field experiments, as well as on the analysis of real fires, it was shown that this lack of uniformity of the local rate of spread—contradicting the Rothermel model—is due to the transverse convection along the fireline, which modifies the ROS value along its length. This concept was extended for wind driven fires in [29] and used to show that the fire perimeter is not always a regular line, but instead can assume patterns which are referred to as zigzag shapes [30]. In [31], the spread of backfires at a laboratory scale in slope or wind conditions was analysed. A semi-empirical model to estimate the rotational velocity of the fireline was proposed in [32].
Given the necessity to account for convective processes at the fire front near each point, the present work adopts the concept of fireline displacement to predict the evolution of the fire front as opposed to a point-by-point approach. This involves reviewing previously proposed concepts of fireline rotation and extension as well as developing a new formulation for the extension laws. The fireline displacement model validated through testing with the predictions of point ignition fires from laboratory experiments conducted with uniform fuel beds on different slopes. The model explains the continuous evolution of a point ignition fire to the shapes that are observed in the experiments and will be used as a learning tool to create a library of parameters enhancing its applicability to a wider set of boundary conditions.
2. Fireline Displacement Model
Current fire spread simulators (which are used to predict fire behaviour) rely on knowing the components of the rate of spread (ROS) vector at each point of the fireline over time. The most common modelling approach for estimating local ROS is the one proposed by Rothermel [13], which assumes that the ROS at any given point depends solely on local properties such as slope, fuel cover, and wind velocity. Among other limitations, this model overlooks the convective processes generated by the fire as a whole as well as those from neighbouring sections of the fireline. Recognizing the challenges associated with determining the ROS at each point along the fire perimeter, an alternative approach is proposed which involves leveraging empirical data or models to determine the ROS values at the head, flank, and back of the fire.
2.1. Modeling Approach
The present modelling approach addresses the common scenario of a fire originating at a single point that spreads in the landscape forming a closed line perimeter, with a well-defined head fire, two flanks, and a tail (Figure 1). In this general scenario, the line representing the head fire will typically be a curved line and its ROS value will be a function of time (t). The same will happen with the rear fire (t) and the flanks ((t) and (t)). Assuming that the values of these functions are known, the evolution of four designated reference points of the fire front—Q1, Q2, Q3, and Q4—can be estimated over time, as is shown in the figure for two steps of time. The prediction of the evolution of the fire perimeter requires the knowledge of the position of each element of the fireline. The present modelling approach assumes that the positions of the four reference points Qi are known at each time step and can be used as anchor points to determine the evolution of the remaining elements of the fireline.
Figure 1.
General view of fire with a single point ignition spreading along main direction. The dashed line represents the main axis of head fire front propagation.
To simplify our approach, we consider the case shown in Figure 2, where a fire is ignited on a homogeneous fuel bed on a flat surface, with either constant wind flow or uniform slope. In this scenario, the path of the head fire forms a straight line, which is a symmetry line for the fire perimeter.
Figure 2.
Schematic view of fire perimeter of a point ignition fire spreading under constant and uniform wind or slope conditions. Reference points Q1, Q2, and Q3 are shown.
To model the evolution of the fire front, the fire perimeter was divided into a number of n fireline elements (FLEs), and the movement of each was predicted in a succession of time steps .
Reference FLE—four references FLEs centred on the points Q1, Q2, Q3, and Q4 were selected. The evolution of these reference elements is known, and they can be used as anchors to define the position of the other elements of the fireline. To ensure that the partition of the fireline includes these reference FLEs, it was proposed that the number of fireline elements is a multiple of four: n = 4k, k being an integer number.
Each fireline element Ei is defined by its start and end points, denoted as Pi(xi, yi) and Pi+1(xi+1, yi+1) respectively. The length and inclination of each element in relation to the driving force that is moving the fire (wind or slope) are determined by:
A radial coordinate was introduced for each point, defined as:
To simplify the modelling, the fire perimeter was divided into sections based on the quadrants in Figure 2. Due to the symmetry of the problem, only Section 1 in quadrant 1: (0° < θ < 90°) and Section 2 in quadrant 4: (−90° < θ < 0°) were considered, with the assumption that the other two are identical.
2.2. Displacement of a Fireline Element
Let us consider a fireline element limited by points P1 and P2 at a given time and analyse its displacement during the time interval (Figure 3). A local coordinate system was defined where the OX axis coincides with element P1 and P2. The coordinates of these points are P1(0, 0) and P2(s, 0).
Figure 3.
Illustrates displacement of a FLE represented by points P1 and P2 under arbitrary spreading conditions, consisting of a translation followed by a rotation.
The local ROS vectors at these points are:
The following auxiliary pair of vectors, designated as translation and rotation vectors, respectively, are defined as:
It can be seen that and . It should be noted that the components of these ROS vectors represent linear velocities (m/s) (or cm/s in the present analysis). To convert them into linear distances, it is necessary to multiply them by the time interval (s) of the analysis.
The displacement of element can be decomposed in a translation to followed by a rotation, to become , as indicated in Figure 3.
Designating the position vector of point by Pi, it can be written as:
2.3. Analysis of Fireline Extension
It can be shown that the total extension of the FLE is given by:
The FLE extension coefficient is defined by:
From Equations (1), (12), and (13), the values of s′, ds, and ε can be determined:
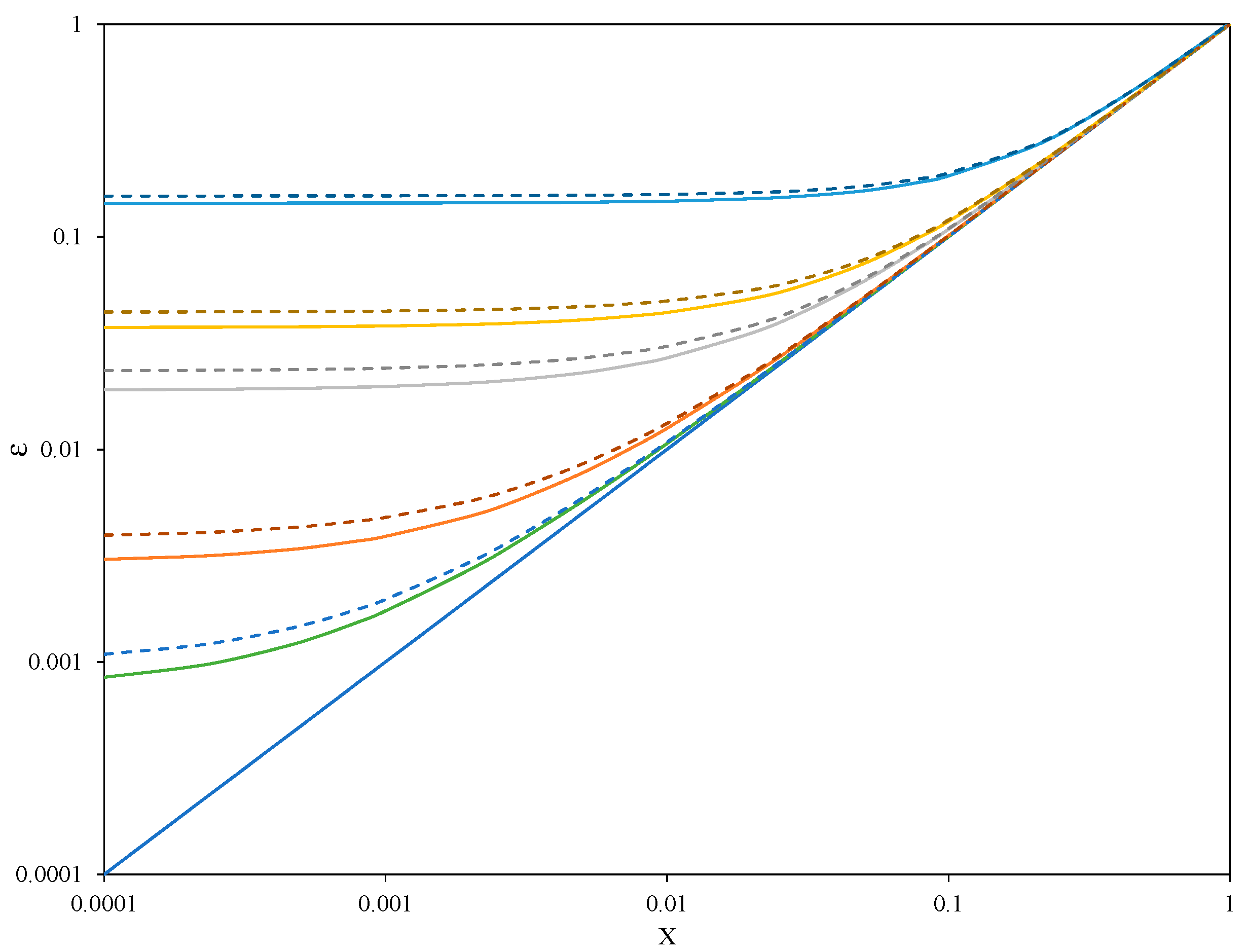
Let us define X associated to translation and Y associated to rotation:
For a given value of , ε can be defined as a function of both X and Y:
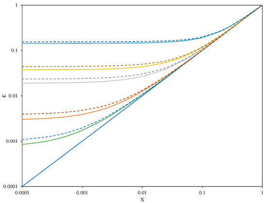
As parameters X and Y are associated with the translation and the rotation of the FLE, respectively, it can be concluded that, in the general case, the extension coefficient has both a rotation and a translation component. This relationship is shown in Figure 4 where the values of ε are plotted for fixed values of equal to 15 s and 20 s, as a function of X for given values of Y. As can be seen, if Y = 0, ε is equal to X. In the other cases, it varies with both X and Y.
Figure 4.
Variation of extension coefficient ε as a function of X for predefined values of Y and two values of : continuous line = 15 s and dotted line = 20 s.
Note that in [32] the analysis of the fireline displacement was incorrect. It was erroneously assumed that the components a − c = c − a = 0, which represents a specific case depicted in Figure 3.
2.4. Estimation of Local Value of Fireline Extension
To estimate the value of ε for each FLE, the local ROS at each point of the FLE must be known. Three adjacent FLEs—Ei−1, Ei, and Ei+1—make the angles βi−1, βi, and βi+1, respectively, with the OX axis (see Section 2.4.2). The modulus and direction of the local values of the ROS were estimated at points Pi and Pi+1.
2.4.1. Approximate Value of the Modulus of the ROS
According to the present approach, the local values of the ROS are known only for:
It is assumed that the ROS modulus varies continuously along the perimeter of the fireline. For each point Pi(xi, yi) of the fireline perimeter, the angular coordinate was defined based on the position angle θ, as defined by Equation (4):
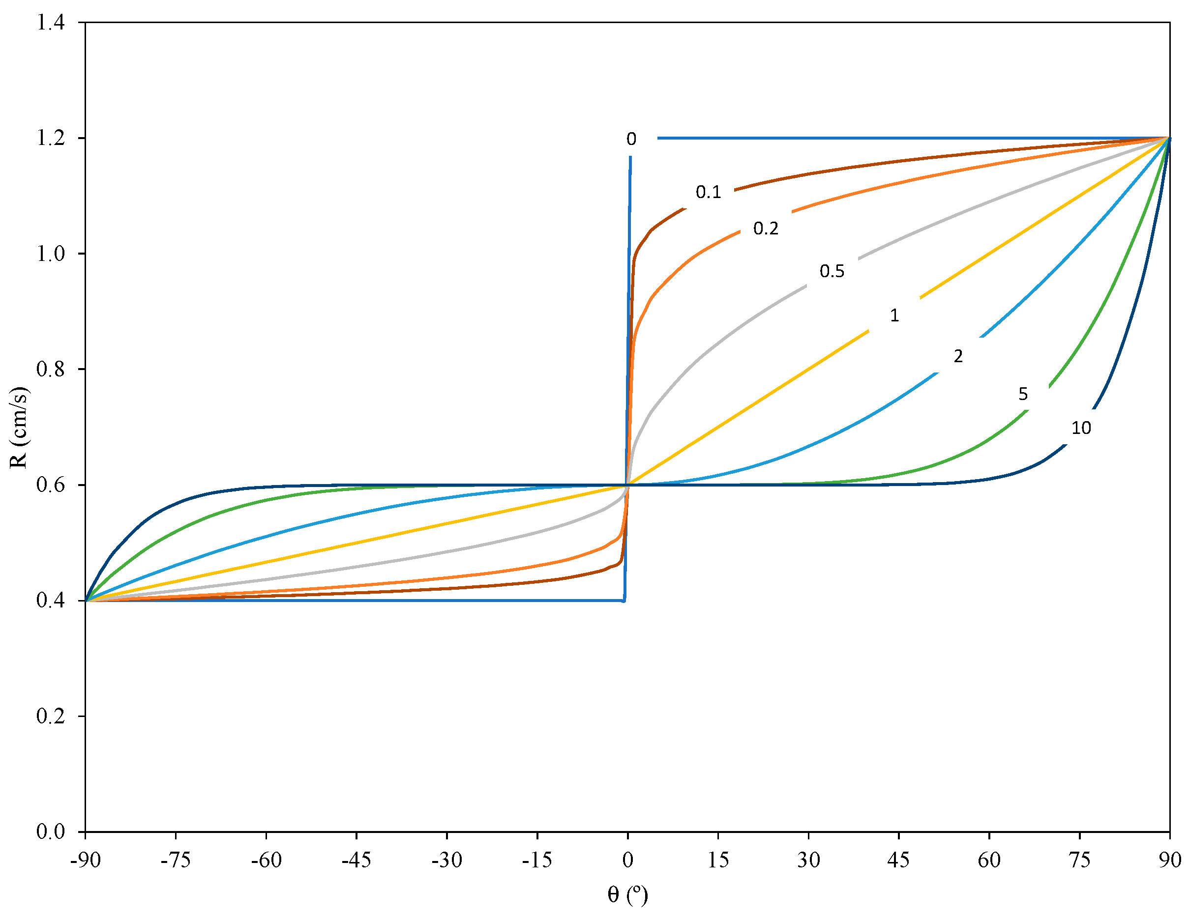
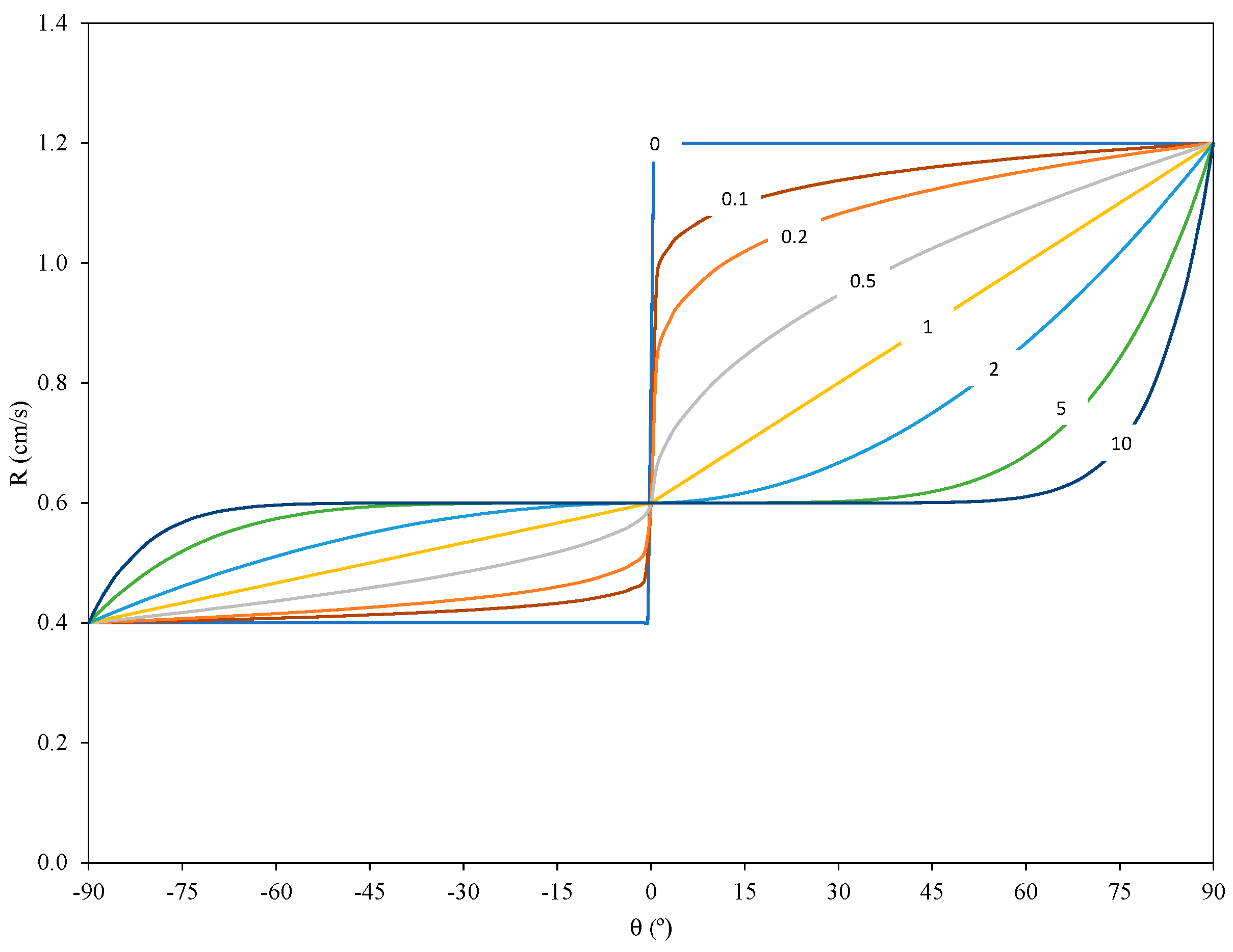
Among the various possible functions that can be used to represent the variation of the modulus of the ROS along the fire perimeter, the following set of equations to describe the variation of the modulus R of the ROS with or was proposed:
m1 and m2 were considered as empirical parameters of the model that have to be defined for the first and the fourth quadrants, respectively.
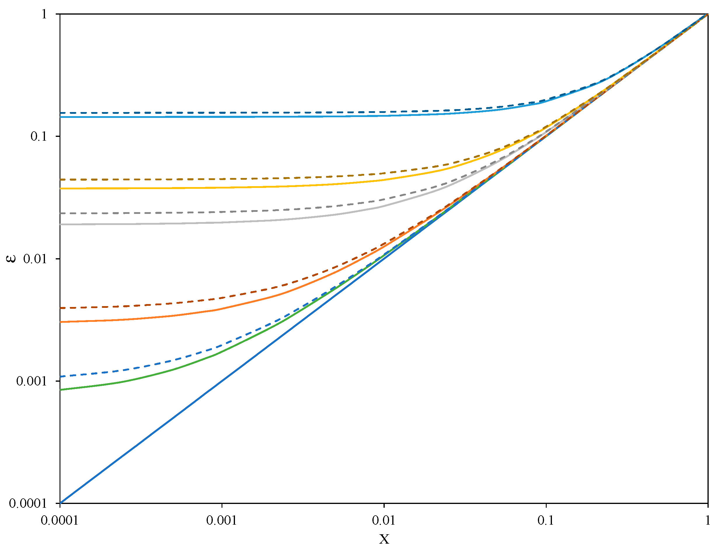
Assuming values of R1 = 1.2 cm/s, R2 = 0.4 cm/s, and R3 = 0.6 cm/s, Figure 5 shows the evolution of R according to Equations (24) and (25) for the indicated values of m1 or m2. As shown in this figure, the one-parameter power function used in this model can produce a wide range of variations of the ROS along the perimeter. For low values of m, starting from θ = 0°, the modulus of R remains close to R3 for increasing or decreasing values of θ, and then changes rapidly to either R1 or R2 while the opposite happens for large values of m.
Figure 5.
Variation of modulus of ROS along fireline perimeter, according to Equations (24) and (25), for given values of parameters m1 and m2. Values of R1, R2 and R3 are only indicative.
2.4.2. Approximate Value of the Direction of the ROS
It was assumed that the direction of the ROS vector Ri at point Pi coincides with the bisector of the lines perpendicular to the two adjacent FLEs Ei−1 and Ei (Figure 6). It is possible to show that the angle between these two lines is given by βi − βi−1, therefore the components of Ri and Ri+1 can be determined:
Figure 6.
Schematic representation of three consecutive FLEs with respective inclination angles βi and ROS vectors at points Pi and Pi+1.
To estimate the FLE extension coefficient for each FLE, components ai, bi, ci, and di were calculated using Equations (26) and (27). The values of X and Y were then computed using Equations (17) and (18). Finally, knowing the value of , the ε coefficient was calculated using Equation (19). To account for the approximate nature of the present approach, a correction coefficient to evaluate the values of in any given step of the calculation is used:
2.4.3. Extension of the Reference Element Containing Q1
It was found that when using the present model to estimate the extension of the element E1 that contains the reference point Q1, assuming that this element remains parallel to itself (β = 0°), the rotation of the second element E2 creates a very large difference in the values of a and c, resulting in a high value of the ε coefficient for this FLE. To overcome this problem, it was assumed that the extension coefficient of this element follows a law similar to that of an element of the fireline with uniform ROS that was analysed in [32], yielding:
In this equation, ko is a constant that can be estimated at the beginning of fire spread or adjusted to achieve a better overall agreement between the model and the experimental results.
2.5. Fireline Rotation Law
The problem of fireline element rotation was analysed in [32]. Considering the convective flow induced by the presence of a non-horizontal fireline on a slope, it was shown that there is a variation of the ROS along the fireline that produces the rotation of the fire front.
Assuming that the ROS variation due to the flow component uy perpendicular to the FLE is given by the following empirical law:
and that the increase of the uy component along the OX axis due to the cross flow ux induced along the fireline element is given by:
The following law for determining the rotational velocity of a given FLE was deduced:
The units of ω are °/s. The parameters a1 and b1 in Equations (30) and (32) depend on the fuel bed properties and can be determined from independent experimental tests. In the case of fuel beds composed of dead needles of Pinus pinaster needles, the following values were determined: a1 = 3.54; b1 = 2.14 [32]. The units of a1 are complex but the numerical value indicated corresponds to the uy expressed in m/s.
The values of a3 and b3 in Equation (31) depend on the fire spread conditions. In [32], it is reported that for tests with pine needles on a slope, the following values were obtained: for a 30° slope: a3 = 58.1° and b3 = 0.29; for a 40° slope: a3 = 128.2° and b3 = 0.45.
The Equation (32) can be written in the following form:
To avoid problems in the evaluation of ω using Equation (33), the modulus of the trigonometric functions is utilised. In this equation, Aw (°/s) is an empirical parameter that encompasses the dependence on the local ROS—contained in Ro and uy—as well as the other empirical coefficients a1, b1, and a3, which will be determined for the present set of experiments and its value adjusted in the simulation model.
Using the values of the model parameters, the shape of the function given by Equation (33) for fire spread in pine needles in 30° and 40° slopes is shown in Figure 7, with Aw = 1 °/s.
Figure 7.
Evolution of fireline rotation velocity according to present model for slopes of 30° and 40° using Aw = 1°/s.
3. Materials and Methods
3.1. Laboratory Experiments
The laboratory experiments were conducted at the Forest Fire Research Laboratory (LEIF) at the University of Coimbra in Lousã. The tests with a point ignition fire on a slope were conducted on the Canyon Table DE4, as described in [32]. The table measures 6 × 8 m2 and can be inclined from 0 to 40 degrees. In the tests, a rectangular fuel bed measuring 2 × 6 m2 composed of dead needles of Pinus pinaster with a load of 0.6 kg/m2 (dry basis) was used. These tests followed protocols and methodologies described in previous works by the team [16,33,34].
Continuous images from each experiment were captured by an infra-red camera, specifically the FLIR T1020. Although the optical axis of the camera was almost perpendicular to the fuel bed, an algorithm was applied to correct the images in a selected set of frames from each test. The experimental program consisted of several tests with varying slope angles, all yielding very similar results. As the purpose of the present work is to validate a fire perimeter evolution prediction model, one test with a slope of 30° and another with a slope of 40° were considered. Frames from the tests with a slope of 30° and 40° are shown in Figure 8 and Figure 9, respectively.
Figure 8.
Infrared images of fire spread for a point ignition fire with 30° slope.
Figure 9.
Infrared images of fire spread for a point ignition fire with 40° slope.
3.2. Numerical Model
To implement the model, it was assumed that at a given starting time, denoted as t0, the fire perimeter is represented by a circle of radius Ro. The circle was divided into n = 4k elements so that the four reference elements, centred at points Q1 to Q4 as defined above, are included in the simulation, as their ROS is assumed to be known.
To facilitate the geometrical representation and the description of the calculation process, 32 elements of the fire perimeter (k = 8) were initially considered, but the implementation method can be used with any other numbers of elements. This initial perimeter is shown in Figure 10. The reference elements in this case are E1, E9, E17, and E25. They are divided into two elements each. For example, E1, is divided into E1A (Q1, P1) and E1B (P36, Q1), and so they must be treated separately as they are under different fire spread conditions, as described below.
Figure 10.
Schematic presentation of perimeter of fire, divided into 32 FLEs at time of ignition and at time t + . Each section (1 and 2) is divided into two subsections (S1.1, S1.2 and S2.1, S2.2).
The calculation process will be presented. This process aims to estimate the coordinates of each FLE after its displacement in a given time step. The calculation is based on the proposed partition of the fireline into 32 FLEs.
To evaluate the individual displacement of each FLE in each time step , the upslope (head fire) and the downslope (backfire) propagation Sections 1 and 2, in sectors 1 and 2, were calculated separately as they are governed by different physical conditions. Each section will be divided into two subsections that are calculated sequentially to define the adjustment criteria of the model parameters. As the fireline in Section 1 propagates in the same direction as the head fire, the letter “H” will be assigned to the parameters associated with this section of the fireline. Conversely, the letter “B” will be assigned to the parameters associated with the backfire.
The simulation progresses step-by-step from the initial time (t = 0 s) until the final time (tfin). The fixed value of ko was sued in Equation (29) for the entire calculation, and a constant value of time step was assumed.
It is important to note that the present model relies on a set of empirical parameters Ko, Aw, ke, and m1, whose values are not precisely known in each case. Consequently, they have to be adjusted in order to obtain the best agreement between observations and model predictions.
Initially, the values of AwH, keH, and m1 for each time step were fixed and then adjusted, as explained below.
3.2.1. Calculation of Section 1
Section 1 of the fire perimeter is divided into two subsections: S1.1, consisting of FLEs E1, E2, E3, E4, and E5; and subsection S1.2, consisting of E6, E7, E8, and E9a, which represents the upper part of element E9.
Subsection S1.1
Subsection S1.1 commences with element E1a, wherein its displacement and extension are calculated. It is assumed that this element does not rotate. Its point Q1(0, yQ1) moves along the OY axis at the distance given by R1..
As defined above, the extension coefficient of this fireline element is ko/t, with a predefined value of ko. Therefore, the extension of this fireline element will be:
Therefore, its length at time t′ = t + will be:
The extremities of E′1a are points Q′1 (0, yQ1 + R1.) and P′1(s′1a, yQ1 + R1.).
Proceeding to element E2, its rotation d was determined using Equation (33) and β′2 was calculated as:
To estimate the extension of E2, the components of a2, b2, c2, and d2, according to Equations (26) and (27), need to be calculated along with the known position of this element in the previous time step. By calculating the respective extension coefficient ε2, the s′2 length of the FLE at time t + can be estimated. Subsequently, the coordinates of the other extremity of E′2, point P′2(x′2, y′2) that are given, can be obtained:
Similar calculations are performed for FLEs E3, E4, and E5. FLE E′5 is limited by points P′4 and P′5d, which are important to adjust the model parameters. This point is designated as P′5d because it derives from a calculation that starts from the top of the fireline and progresses downward, with decreasing values of θ.
Subsection S1.2
To conclude Section 1 of the fireline, the displacement of its subsection S1.2, composed of FLEs, E6, E7, E8, and E9a is calculated. It commences with FLE E9a and progresses upwards with increasing θ until FLE E6.
FLE E9a displaces parallel to itself with a ROS R3, making the coordinates of point Q′2 (xQ2o + R3., 0). The extension coefficient ε9a is determined according to the model using Equations (19) and (28), and the coordinates of point P′8 are given by (xQ2o + R3., s′9a). For element E8, as with all others except for E1a, the extension coefficient is calculated according to the proposed model to determine the coordinates of P′7 and subsequent points up to point P′5u, calculated proceeding upwards from the OX axis.
It is worth noting that points P′5u and P′5d will coincide in this initial calculation step. By adjusting the values of Aw, Ke, and m1, these points can be aligned to the required precision. In this study, an Excel sheet was used to make the calculations and a plot of the fireline was inspected visually to check the alignment of the two points. Typically, this was achieved by adjusting the first two parameters, and it was observed that the model was not sensitive to small variations of m1.
An automatic method to determine the location of the points and or and was implemented. We imposed the condition that the distance between and or and is less than 0.5 cm, and with this the parameters were automatically estimated, fulfilling this condition. The final values of the model parameters for this time step are those used in the adjustment process.
3.2.2. Calculation of Section 2
Similar to Section 1, Section 2 was divided into two subsections, and the displacement of the respective fireline elements were calculated sequentially. For subsection S2.1, composed of FLEs E17a, E16, E15, and E14, the calculation proceeds from bottom to top, while for subsection S2.2, composed of FLEs E13, E12, E11, E10, and E9b, the calculation proceeds from top to bottom.
Initial values of the model parameters AwB, kEB, and m2 are set for each time step and adjusted in the same manner as Section 1.
In this section, the control points P′12d and P′12u are used to verify the accuracy of the model’s closure. The final values of the model parameters are determined based on achieving satisfactory adjustment.
When both sections are calculated for the first step, the process continues to the next time step and repeats until reaching the tfin, marking the end of the calculation process.
4. Results
4.1. Experimental Results
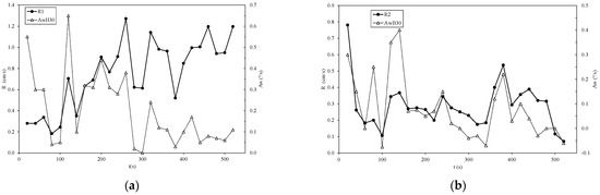
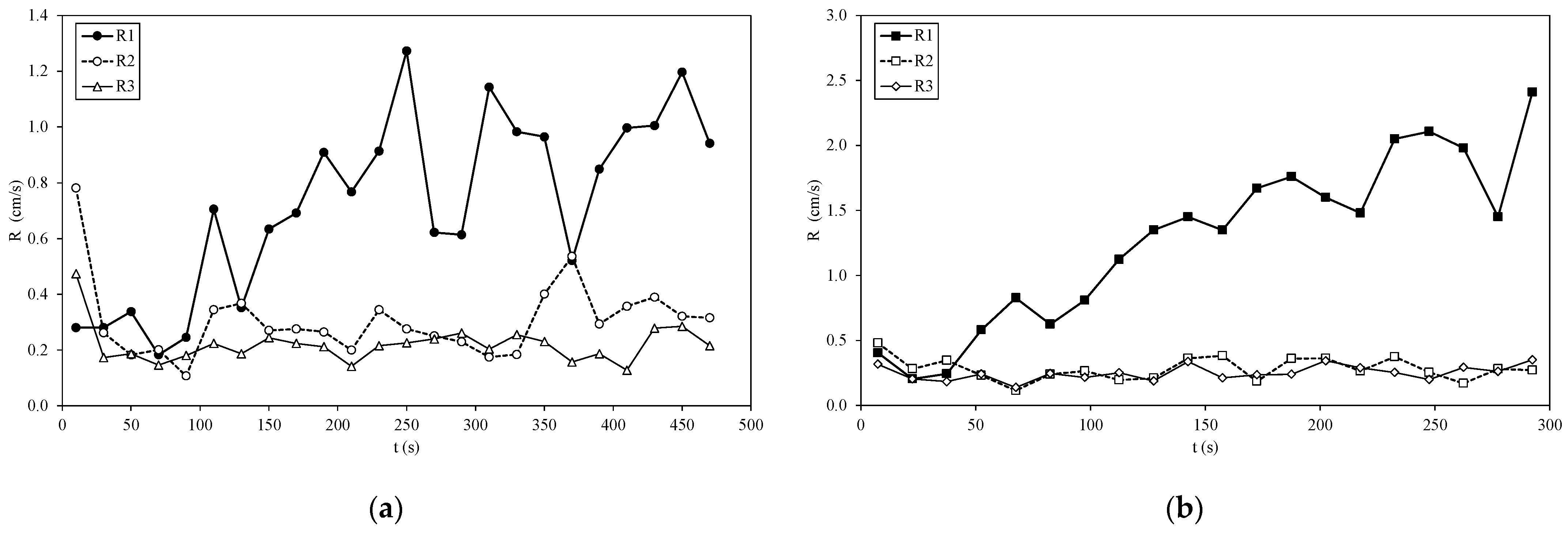
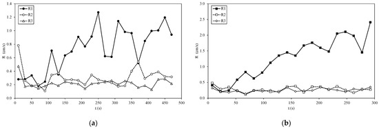
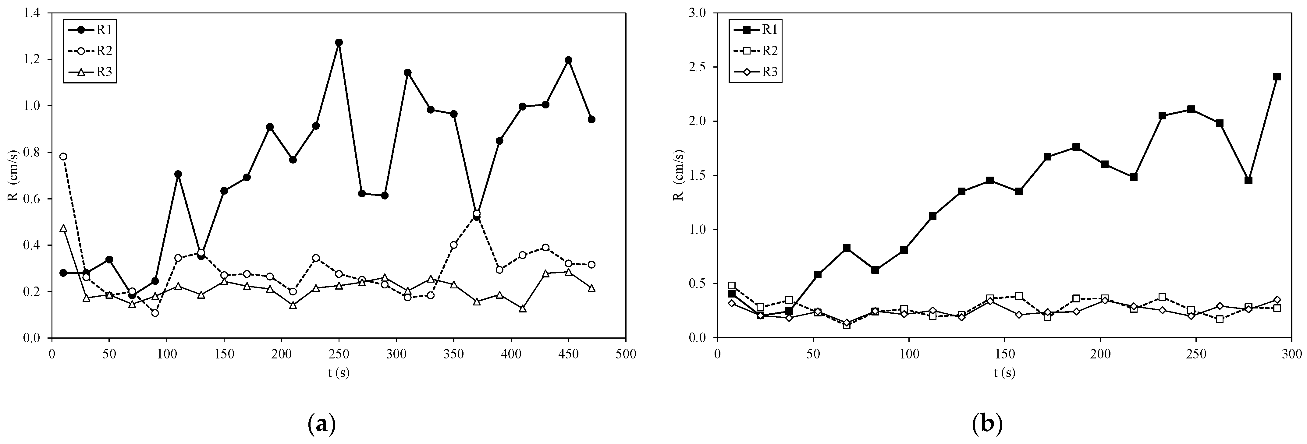
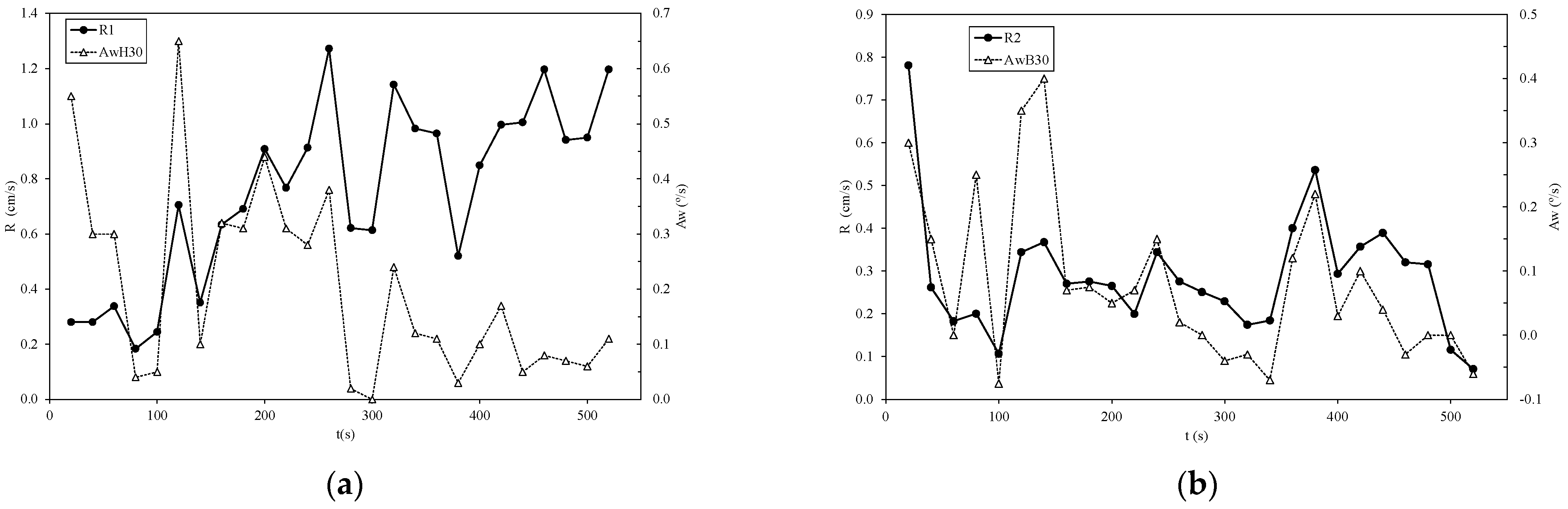
4.1.1. Rate of Spread Results
Based on the IR images of the tests such as those shown in Figure 8 and Figure 9, the ROS values for the head fire R1, the backfire R2, and the flanks R3 were estimated for each experiment. For the 30° slope experiment, a time step of 20 s was used between successive frames. For the 40° slope tests, a time step of 15 s was used. The corresponding results are shown in Figure 11a,b, respectively, for α = 30° and α = 40°. Assuming the existence of symmetry, the flank ROS values R3l and R3r were averaged as R3.
Figure 11.
Experimental results of instantaneous values of ROS of head fire, R1; backfire R2; and flank fire, R3. (a) Results for slope of 30°; (b) results for slope of 40°.
As can be seen in these figures, the ROS is not constant during the tests. According to the concept of oscillatory fire spread proposed in [34], variations in the ROS can be observed throughout the entire duration of the tests. In both cases, the amplitude of oscillations of the ROS of the back and the flank fires is not large, but that is not the case for the head fire R1. For α = 30°, the value of R1 increases in an oscillating process reaching around 1.5 cm/s (R’ = 3.54) after 350 s, then decreases to 0.52 cm/s (R′ = 1.24) and initiates a second acceleration cycle. For α = 40°, the value of R1 increases steadily with oscillations, reaching a maximum value of 2.34 cm/s (R′ = 5.80) after 290 s. It is possible that a deceleration would follow if the length of the table was larger in order to capture a second cycle of the fire oscillation. The results obtained with repetitions of these tests yield similar behaviour as what was already observed in [16].
These experiments demonstrate that it is incorrect to assume that the ROS values are constant during the propagation of single point ignitions, even with permanent and uniform boundary conditions, as assumed in [13]. In the absence of an accurate model to capture these oscillations and the fire growth, this work will utilise the results obtained in the experiments to model the evolution of the fire perimeter using the concepts of fireline rotation and extension.
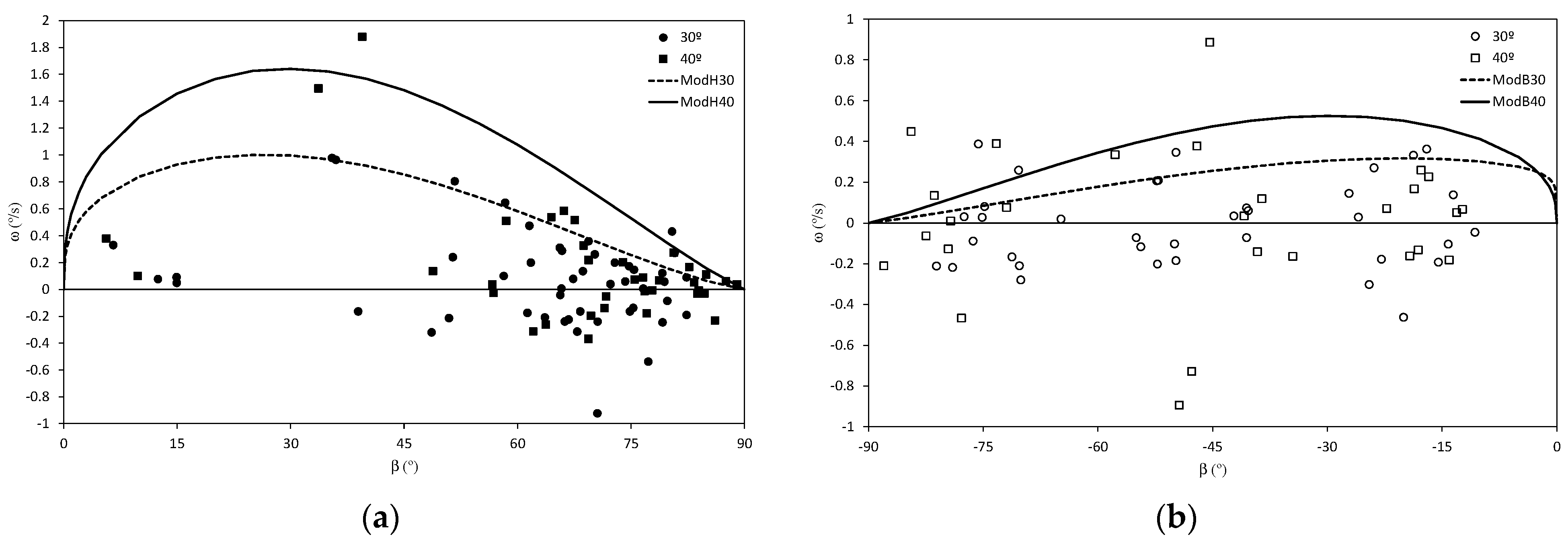
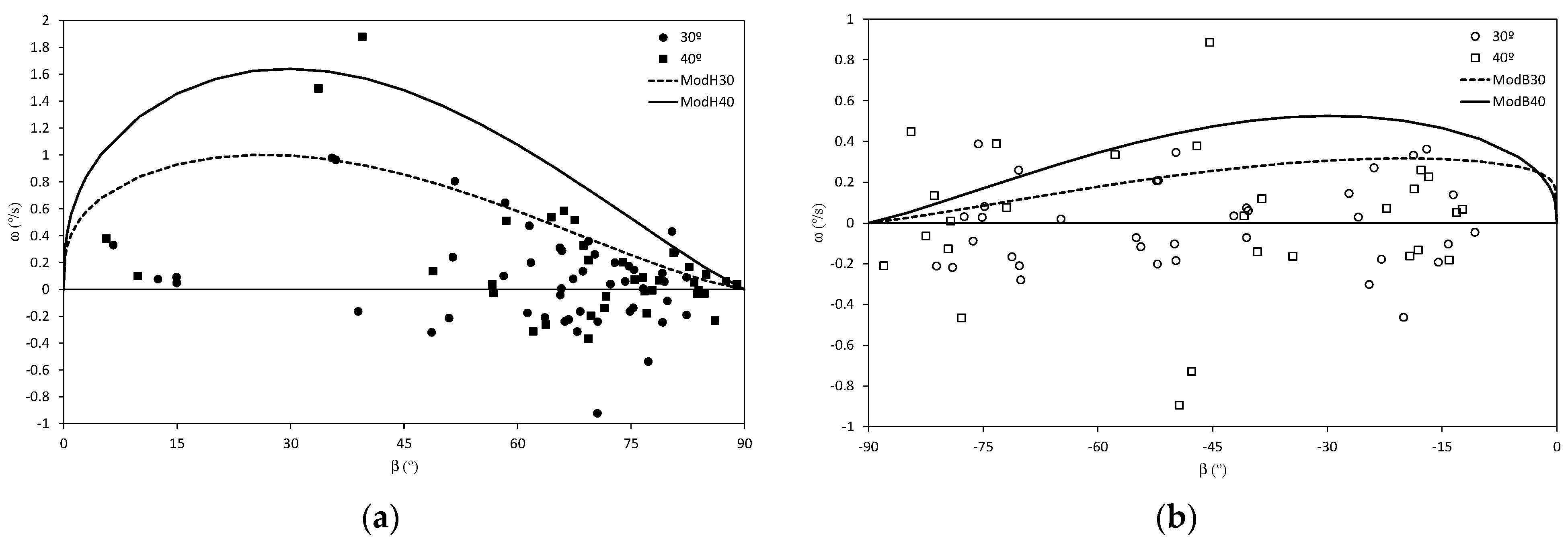
4.1.2. Fireline Rotation Results
The movement of FLE along predefined directions was analysed in the tests conducted on slopes of 30° and 40° for both the upslope and the downslope sections of the fire. Consistent with the oscillatory character of the fire spread [16], oscillations were observed in the evolution of the inclination angle β of the FLE over time, resulting in a large scatter in the data, consistent with observations from previous studies [28,32,34].
The results obtained are shown in Figure 12a,b, for 30° and 40° slope, representing the upslope and downslope sections of the fireline, respectively.
Figure 12.
Comparison between experimental results of fireline rotation law for slope angles of 30° and 40°. (a) Upslope or head fire section of the fireline, (b) downslope or backfire section of the fireline.
The values of Aw used to calculate the curves of the model in Figure 12 were equal to 1.5 and 2.5 for the 30° and 40° cases in the upslope fire, respectively, and equal to 0.4 and 0.8 for the cases in the downslope fire.
As can be seen in this figure, negative values for ω were measured in various cases, especially for the downslope section of the fire. At present, there is no explanation for this, as it corresponds to a negative effect of the induced local convection. More detailed studies are required to analyse the physical meaning of this result and to verify if it corresponds to the overall fluctuations of the fire spread that have been described in [33] (and that were also observed here).
As shown below, in the application of the model, negative values of Aw were used to adjust the shape of the fireline in some time steps.
4.2. Numerical Results
Using the numerical model described above, we were able to predict the evolution of the point ignition fire, employing the results of the tests to provide the values of R1, R2, and R3 at each time step. This enabled us to replicate the observed transformation of the fire perimeter from the initial circular shape to the elongated form observed in the experiments.
Computation commenced at a time to = 0 in each case when the fire had formed a circle of Ro = 12.98 cm for α =30° and of Ro =6.04 cm for α = 40°. The time step used in the calculations matched the intervals mentioned above. The values of ko were set as 0.60 for α = 30° and as 0.45 for α = 40°. The values of the model parameters Aw, kE, m1, and m2 were adjusted during the calculation to follow the evolving of the instantaneous value of R1 to ensure a precise representation of the figure, represented by the adjustment of points P’5u and P’5d or P’12u and P’12d as described above.
The results of the model predictions are shown in Figure 13 and Figure 14 for α = 30° and α = 40°, respectively. The isochrones with time steps of 40 s and 30 s are shown in these figures to make the diagrams clearer. These model predictions were calculated assuming the existence of symmetry and are superimposed with the experimental isochrones.
Figure 13.
Comparison between fireline contours at 40 s interval obtained from experimental test (continuous line) and with present simulation model (dotted line), for a slope angle of 30°. Dimensions indicated are in cm. Time of each isochrone is specified in legend.
Figure 14.
Comparison between fireline contours at 30 s intervals obtained from the experimental test (continuous line) and with present simulation model (dotted line), for a slope angle of 40°. Time of each isochrone is specified in legend.
As can be seen, a good overall adjustment between the model’s predictions and the observed fire perimeter was obtained in both scenarios, indicating that the semi-empirical model of fireline rotation and extension provides an adequate prediction of the evolution of the point ignition fire from its initially circular shape to a sort of ellipse with more straight linear shape flanks, as observed in the laboratory experiments and many full-scale fires.
5. Discussion
The use of the experimental instantaneous values of the reference ROS R1, R2, and R3 is justified by the objective of the present model, which aims to predict the evolution of the overall shape of the fireline using the proposed concepts of rotation and extension, rather than to solely predict their respective ROS values. The experiments conducted reveal that the values of Ri vary over time in a manner that is not accounted for by current models. For example, [13] predicts a constant value for the ROS in this scenario. Even a monotonic variation of R with time would not provide an accurate estimation of the model parameters in the prediction of the two studied cases.
In this study, only a visual adjustment of the fireline sections was conducted to achieve a continuous and closed fireline. This was achieved by modifying the values of Aw and ke over two or three adjustment steps. It was observed that the model exhibits low sensitivity to changes in the value of m1, so this parameter was not modified in most cases. The adjustment was performed only to ensure closure of the fireline without regard to its actual shape and conformity with experimental results or the instantaneous values of the relevant ROS.
The necessity for a more refined adjustment process of the parameters is arguable, considering that the shape of the firelines are never regular lines, and perfectly symmetrical firelines are only found in mathematical models. The images shown in Figure 8 and Figure 9, derived from tests conducted under highly controlled laboratory conditions with regular and uniform fuel beds, show that the contour of the burned area is not a regular line but rather a zigzag shape, as advocated in [30]. This irregularity arises from local small-scale convective processes that are not accounted for in the present model.
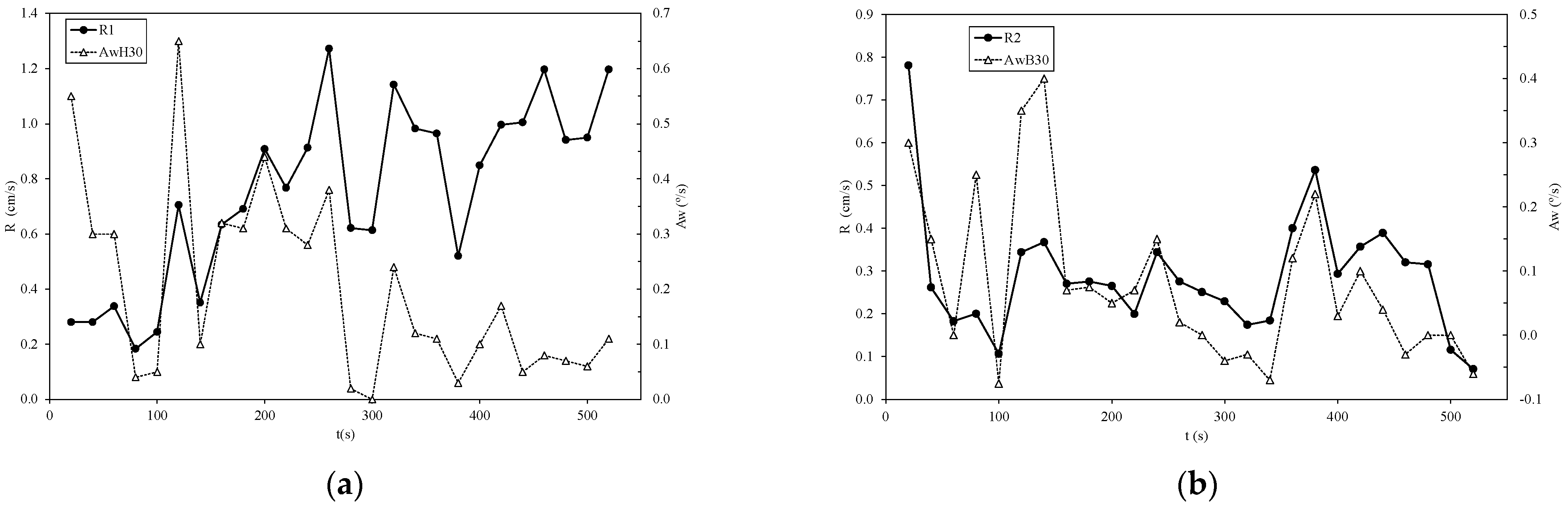
Using physical considerations, it may be possible to derive relationships among the various parameters for each case. For example, it can be expected that both Aw and kE must depend on the relevant ROS value or its variation (increase or decrease). To assess this hypothesis, the temporal evolution of each pair of parameters Aw-R and kE-R for both configurations was analysed in the following figures, separately for the head fire and backfire sections. In the case of the head fire section, the value of R1 serves as the prevailing or reference ROS value for that section, while for the backfire, R2 is used.
As shown in Figure 15a,c for the head fire section, the value of Aw closely follows the variations of R2 at the beginning, but after some time, it decreases to very low values. This result indicates that after a certain threshold, the crossflow velocity uy decreases at the fireline elements, leading to very low values of Aw.

Figure 15.
Temporal evolution of relevant ROS and of Aw parameter: (a) α = 30° Section 1; (b) α = 30° Section 2; (c) α = 40° Section 1; and (d) α = 40° Section 2.
For the backward section of the fire, Figure 15b,d show that the variations of Aw closely follow those of R in both cases. This result confirms the indication that for low values of R, there is possibly a linear relationship between Aw and R. As can be seen in Figure 15, the values of Aw that were used in the simulation of the two cases are in the range of those measured independently for these experimental conditions.
In Figure 16, the temporal variation of the correction coefficient kE is shown for the four cases, along with the relevant ROS as shown in Figure 15. Its value is always in the same order of magnitude, ranging between 0.2 and 2.4. In the case of the head fire section (Figure 16a,c), the value of kE appears to increase with R1 for the two slope angles. Conversely, for the backward section of the fire (Figure 16b,d), there is not a clear tendency of variation of kE with R2.
Figure 16.
Temporal evolution of relevant ROS and of kE parameter: (a) α = 30° Section 1; (b) α = 30° Section 2; (c) α = 40° Section 1; and (d) α = 40° Section 2.
Figure 17 and Figure 18 show the relationship between the four parameters considered with their respective ROS values: AwH and kEH with R1, and AwB and kEB with R2. Within the range of the present experiments, it becomes apparent that there is not a monotonous growth of either parameter with R.
Figure 17.
Relationship between Aw and dominant ROS.
Figure 18.
Relationship between kE and dominant ROS.
For lower values of R, Aw increases to a value close to 1 °/s when the ROS value is close to 1 cm/s for these fuel bed and test conditions. Subsequently, the value of Aw decreases continuously. The scatter of the data prevents the proposal of a mathematical model for this parameter. The corrective coefficient kE has a similar behaviour, increasing for values of 0 < R < 1 cm/s. However, for larger values of R, it remains close to 1.4 without decreasing.
By applying an optimization algorithm to a large number of cases, it would become possible to derive more precise dependence laws among these parameters and potentially support the model’s generalization to other scenarios.
6. Conclusions
In this study, we present a mathematical model designed to predict the evolution of the fire perimeter using the concepts of fireline rotation and extension. We validate this model using data from two experimental fires involving point ignition on a slope with uniform properties. Our approach employs a semi-empirical model to estimate the rotational velocity of FLEs, which is based on the physical process of convective heat transfer along the fire front. Additionally, we propose a semi-empirical formulation of the fireline extension along the fire perimeter using a simple one parameter power law. The model parameters can be obtained from experimental data. Despite the small database explored, we observed that the model effectively predicts the evolution of the fire perimeter in the studied cases.
The current results were obtained using a relatively straightforward numerical algorithm, where model parameters were automatically adjusted. A Python program is currently being developed to better calculate the rotation and extension of the fireline elements. This program aims to systematically adjust the four model parameters and employ quantitative and objective criteria to evaluate the fitness of the model.
The program is intended to calculate the evolution of various fires, aiming to better understand and describe the range of variation of the model parameters across a range of conditions. Initially, experimental laboratory or field scale fires will be analysed, and will subsequently be used on real scale fires to establish a library of boundary conditions and corresponding model parameters. This will enable us to predict the evolution of fires under general conditions.
In future work, the extension of the model to other situations, namely to field and real scale fires, will be pursued. Machine learning methods will be employed to establish relationships between the model parameters and the specific boundary conditions of each fire. Emphasis will be put on analysing the rotation and extension of fireline elements across a wide range of conditions, aiming to generalise the fire prediction model. This will allow an alternative to the current formulation based on elliptical fire growth.
Author Contributions
Conceptualization: D.X.V.; formal analysis: D.X.V., C.R., T.F.B., T.R. and L.M.R.; data curation: C.R., T.F.B., T.R. and L.M.R.; methodology: D.X.V. and C.R.; writing—original draft: D.X.V.; C.R.; writing—review and editing: D.X.V., C.R., T.F.B., T.R. and L.M.R. All authors have read and agreed to the published version of the manuscript.
Funding
This research was funded and carried out within the scope of the following projects: (1) FirEUrisk project—Developing a Holistic, Risk-Wise Strategy for European Wildfire Management, which received funding from the European Union’s Horizon 2020 research and innovation program under the grant agreement No. 101003890; (2) Smokestorm project, funded by FCT—Foundation for Science and Technology with reference PCIF/MPG/0147/2019 and DOI: 10.54499/PCIF/MPG/0147/2019). This research was also sponsored by national funds through FCT—Foundation for Science and Technology—under project LA/P/0079/2020, DOI: 10.54499/LA/P/0079/2020 (https://doi.org/10.54499/LA/P/0079/2020, accessed on 28 March 2024).
Institutional Review Board Statement
Not applicable.
Informed Consent Statement
Not applicable.
Data Availability Statement
The data that support this study will be shared upon reasonable request to the corresponding author.
Acknowledgments
The support given by Agenda TransForm, (PRR 02/C05-i01/2022), namely through project “CENTRODEC” (Centro de Apoio à Decisão com Dados Multisensoriais para a Proteção da Floresta), with the contract of C.R, is gratefully acknowledged. The support given by Nuno Luís, João Carvalho, and António Cardoso in performing the laboratory experiments is gratefully acknowledged.
Conflicts of Interest
The authors declare no conflicts of interest.
Nomenclature
| a1 | Empirical parameter in Equations (28) and (30) |
| a3 | Empirical parameter in Equations (29) and (30) |
| Aw | Empirical coefficient |
| b1 | Exponent in Equations (28) and (30) |
| b2 | Exponent in Equations (29) and (30) |
| ds | Fireline element extension during a time step |
| ds1a | Fireline extension of element E1a |
| dst | Fireline extension due to translation |
| dsω | Fireline extension due to rotation |
| Ei | Fireline element limited by points Pi and Pi+1 |
| FLE | Fireline element |
| K | Number of fireline elements |
| kE | FLE extension correction coefficient |
| ko | Constant associated to extension of element E1a |
| m1 | Empirical parameter of the model |
| P1 | Point P1 in the fireline at time step t |
| P1′ | |
| P1″ | |
| P2 | Point P2 in the fireline at time step t |
| P2′ | |
| P2″ | |
| R | Modulus of the ROS |
| R1 | Head fire ROS |
| R2 | Backfire ROS |
| R3 | Lateral fire ROS |
| Ro | Initial radius of the fire perimeter |
| Ro | Basic rate of spread in no slope and no wind conditions |
| ROS | Rate of spread |
| s | Extension (length) of a fireline element at time step t |
| s′ | Extension (length) of a fireline element at time step t + |
| s1a″ | after translation |
| t | Time |
| u | Local flow velocity parallel to fuel bed |
| ux | Local flow velocity component parallel to the fireline element |
| uy | Local flow velocity component perpendicular to the fireline element |
| X | Parameter associated to translation |
| xi | Coordinate at y axis |
| xi′ | Coordinate at y axis at time step t + |
| Y | Parameter associated to rotation |
| yi | Coordinate at y axis |
| yi′ | Coordinate at y axis at time step t + |
| Greek letters | |
| β | Angle between the local rate of spread and OYo axis |
| Δt | Time variation or time step |
| θ | Angle from the origin of the cartesian plane |
| θi | Radial coordinate associated to each point |
| εc | Corrected fireline extension coefficient |
| εo | Fireline extension coefficient as function of ko |
| ε | Fireline extension coefficient |
| ω | Rotational velocity |
| ξ | Angular coordinate |
References
- Pastor, E.; Zárate, L.; Planas, E.; Arnaldos, J. Mathematical models and calculation systems for the study of wildland fire behaviour. Prog. Energy Combust. Sci. 2003, 29, 139–153. [Google Scholar] [CrossRef]
- Arroyo, L.A.; Pascual, C.; Manzanera, J.A.; Manzanera, A.; Arroyo, L.A.; Pascual, C. Fire models and methods to map fuel types: The role of remote sensing. For. Ecol. Manag. 2008, 256, 1239–1252. [Google Scholar] [CrossRef]
- Sullivan, A.L. Wildland surface fire spread modelling, 1990–2007. 1: Physical and quasi-physical models. Int. J. Wildl. Fire 2009, 18, 349. [Google Scholar] [CrossRef]
- Sullivan, A.L. Wildland surface fire spread modelling, 1990–2007. 2: Empirical and quasi-empirical models. Int. J. Wildl. Fire 2009, 18, 369. [Google Scholar] [CrossRef]
- Sullivan, A.L. Wildland surface fire spread modelling, 1990–2007. 3: Simulation and mathematical analogue models. Int. J. Wildl. Fire 2009, 18, 387. [Google Scholar] [CrossRef]
- Finney, M.A. FARSITE: Fire Area Simulator-Model Development and Evaluation; Res. Pap. RMRS; Department of Agriculture, Forest Service, Rocky Mountain Research Station: Ogden, UT, USA, 1998; pp. 1–36. [Google Scholar]
- Finney, M.A. An Overview of FlamMap Fire Modeling Capabilities. In Proceedings of the Fuels Management—How to Measure Success: Conference Proceedings, Portland, OR, USA, 28–30 March 2006; pp. 213–220. [Google Scholar]
- Noonan-Wright, E.K.; Opperman, T.S.; Finney, M.A.; Zimmerman, G.T.; Seli, R.C.; Elenz, L.M.; Calkin, D.E.; Fiedler, J.R. Developing the US Wildland Fire Decision Support System. J. Combust. 2011, 2011, 168473. [Google Scholar] [CrossRef]
- Ramírez, J.; Monedero, S.; Buckley, D. New approaches in fire simulations analysis with Wildfire Analyst. In Proceedings of the 5th International Wildland Fire Conference, Sun City, South Africa, 9–13 May 2011; pp. 9–13. [Google Scholar]
- Andrews, P.L. Current status and future needs of the BehavePlus Fire Modeling System. Int. J. Wildl. Fire 2014, 23, 21. [Google Scholar] [CrossRef]
- Lopes, A.M.G.; Cruz, M.G.; Viegas, D.X. FireStation—An integrated software system for the numerical simulation of fire spread on complex topography. Environ. Model. Softw. 2002, 17, 269–285. [Google Scholar] [CrossRef]
- Lopes, A.M.G.; Ribeiro, L.M.; Viegas, D.X.; Raposo, J.R. Simulation of forest fire spread using a two-way coupling algorithm and its application to a real wildfire. J. Wind Eng. Ind. Aerodyn. 2019, 193, 103967. [Google Scholar] [CrossRef]
- Rothermel, R.C. A Mathematical Model for Predicting Fire Spread in Wildland Fuels; USDA Forest Service, Research Paper INT-115; Intermountain Forest and Range Experiment Station: Ogden, UT, USA, 1972. [Google Scholar]
- Rothermel, R.C. How to Predict the Spread and Intensity of Forest and Range Fires; Gen. Tech. Rep. INT-143; U.S. Department of Agriculture, Forest Service, Intermountain Forest and Range Experiment Station: Ogden, UT, USA, 1983; 161p.
- Andrews, P.L. BEHAVE: Fire Behavior Prediction and Fuel Modeling System-BURN Subsystem, Part 1; General Technical Report INT-194; U.S. Department of Agriculture, Forest Service, Intermountain Research Station: Ogden, UT, USA, 1986; 130p.
- Viegas, D.X.F.C.; Raposo, J.R.N.; Ribeiro, C.F.M.; Reis, L.C.D.; Abouali, A.; Viegas, C.X.P. On the non-monotonic behaviour of fire spread. Int. J. Wildl. Fire 2021, 30, 702–719. [Google Scholar] [CrossRef]
- Xavier Viegas, D. A Mathematical Model For Forest Fires Blowup. Combust. Sci. Technol. 2004, 177, 27–51. [Google Scholar] [CrossRef]
- Viegas, D.X. Parametric study of an eruptive fire behaviour model. Int. J. Wildl. Fire 2006, 15, 169. [Google Scholar] [CrossRef]
- Green, D.G.; Gill, A.M.; Noble, I.R. Fire shapes and the adequacy of fire-spread models. Ecol. Modell. 1983, 20, 33–45. [Google Scholar] [CrossRef]
- Richards, G. A General Mathematical Framework for Modeling Two-Dimensional Wildland Fire Spread. Int. J. Wildl. Fire 1995, 5, 63. [Google Scholar] [CrossRef]
- Anderson, D.H.; Catchpole, E.A.; De Mestre, N.J.; Parkes, T. Modelling the spread of grass fires. J. Aust. Math. Soc. Ser. B Appl. Math. 1982, 23, 451–466. [Google Scholar] [CrossRef]
- Alexander, M.E. Estimating the length-to-breadth ratio of elliptical forest fire patterns. In Proceedings of the Eight Conference on Fire and Forest Meteorology, Detroit, MI, USA, 29 April–2 May 1985; pp. 287–384. [Google Scholar]
- Richards, G.D. An elliptical growth model of forest fire fronts and its numerical solution. Int. J. Numer. Methods Eng. 1990, 30, 1163–1179. [Google Scholar] [CrossRef]
- Knight, I.; Coleman, J. A Fire Perimeter Expansion Algorithm-Based on Huygens Wavelet Propagation. Int. J. Wildl. Fire 1993, 3, 73. [Google Scholar] [CrossRef]
- Richards, G.D. The Properties of Elliptical Wildfire Growth for Time Dependent Fuel and Meteorological Conditions. Combust. Sci. Technol. 1993, 95, 357–383. [Google Scholar] [CrossRef]
- Johnston, P.; Kelso, J.; Milne, G.J. Efficient simulation of wildfire spread on an irregular grid. Int. J. Wildl. Fire 2008, 17, 614. [Google Scholar] [CrossRef]
- Tymstra, C.; Bryce, R.W.; Wotton, B.M.; Taylor, S.W.; Armitage, O.B. Development and Structure of Prometheus: The Canadian Wildland Fire Growth Simulation Model. 2010. Available online: https://spyd.com/fgm.ca/Prometheus_Information_Report_NOR-X-417_2010.pdf (accessed on 28 March 2024).
- Viegas, D.X. Fire line rotation as a mechanism for fire spread on a uniform slope. Int. J. Wildl. Fire 2002, 11, 11. [Google Scholar] [CrossRef]
- Oliveras, I.; Piñol, J.; Viegas, D.X. Generalization of the fire line rotation model to curved fire lines. Int. J. Wildl. Fire 2006, 15, 447–456. [Google Scholar] [CrossRef]
- Viegas, D.X. Zigzag shape of the fire front. Int. J. Wildl. Fire 2007, 16, 763. [Google Scholar] [CrossRef]
- Rossa, C.G.; Viegas, D.X. Propagation of Wind and Slope Backfires, 18th World IMACS/MODSIM Congress. 2009, pp. 13–17. Available online: http://mssanz.org.au/modsim09 (accessed on 1 February 2024).
- Viegas, D.X.; Rossa, C. Fireline rotation analysis. Combust. Sci. Technol. 2009, 181, 1495–1525. [Google Scholar] [CrossRef]
- Viegas, D.X.F.C.; Raposo, J.R.N.; Ribeiro, C.F.M.; Reis, L.; Abouali, A.; Ribeiro, L.M.; Viegas, C.X.P. On the intermittent nature of forest fire spread—Part 2. Int. J. Wildl. Fire 2022, 31, 967–981. [Google Scholar] [CrossRef]
- André, J.C.S.; Gonçalves, J.C.; Vaz, G.C.; Viegas, D.X. Angular variation of fire rate of spread. Int. J. Wildl. Fire 2013, 22, 970. [Google Scholar] [CrossRef]
Disclaimer/Publisher’s Note: The statements, opinions and data contained in all publications are solely those of the individual author(s) and contributor(s) and not of MDPI and/or the editor(s). MDPI and/or the editor(s) disclaim responsibility for any injury to people or property resulting from any ideas, methods, instructions or products referred to in the content. |
© 2024 by the authors. Licensee MDPI, Basel, Switzerland. This article is an open access article distributed under the terms and conditions of the Creative Commons Attribution (CC BY) license (https://creativecommons.org/licenses/by/4.0/).


















