Fire Behavior Characteristics and Computational Simulation Research on Historic Wooden Structures
Abstract
1. Introduction
2. Materials and Methods
2.1. Experimental Sample
2.2. CONE Tests
2.3. Numerical Simulation
2.3.1. Modeling
2.3.2. Model Ignition Power and Position Settings
2.3.3. Mesh
2.3.4. Measurement Points and Slice Settings
3. Results and Discussion
3.1. Wood-Burning Experiment
3.1.1. Heat-Release Rate
3.1.2. Total Heat Release
3.1.3. Smoke Release Rate
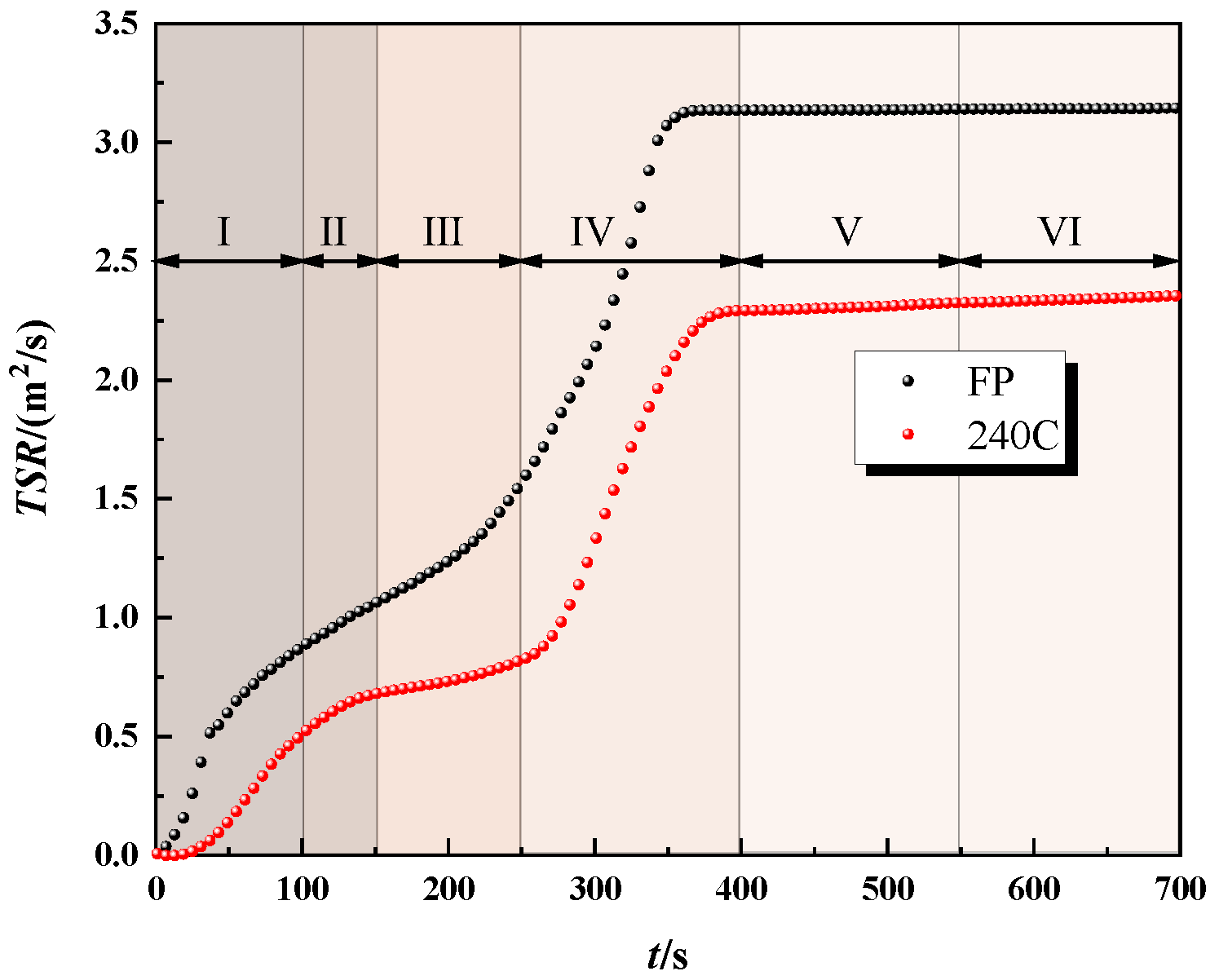
3.1.4. Total Smoke Release
3.2. Numerical Simulation Results
3.2.1. Parameter Settings
3.2.2. Dynamic Flame Spread Analysis
3.2.3. Dynamic Smoke Spread Analysis
3.2.4. Temperature
3.2.5. CO2 Concentration Change Analysis
3.2.6. CO Concentration Analysis
4. Conclusions
- (1)
- Wood combustion characteristics: The combustion process of wood can be divided into six stages: the heat absorption and dehydration stage, the ignition stage, the transition stage, the combustion acceleration stage, the extinguishing stage, and the carbonization stage. Comparing fresh pine wood (FP) with artificially aged pine wood (240C), it was found that the aged wood is more easily ignited and has a reduced combustion intensity. Key parameters such as heat-release rate (HRR), total heat release (THR), smoke production rate (SPR), and total smoke release (TSR) are all lower in aged wood compared to new wood.
- (2)
- Impact of aging on fire characteristics of historical wooden structures: Although the aging process does not change the propagation patterns of flames and smoke, it accelerates the spread of fire within wooden structures, increases temperatures during the fire process, and enhances smoke emissions, thereby overall increasing the fire hazard of historical wooden structures.
- (3)
- Changes in environmental parameters during a fire: In fires occurring in both new and old historical buildings, the patterns of changes in temperature, CO, and CO2 levels are similar, rising with the duration of the fire and the height of the measurement points. The temperature, CO, and CO2 values at ground level are significantly lower than those at higher measurement points, indicating that evacuation close to the ground is relatively safer during a fire.
Author Contributions
Funding
Institutional Review Board Statement
Informed Consent Statement
Data Availability Statement
Acknowledgments
Conflicts of Interest
References
- Deng, J.; Liu, T.; Yao, M.; Yi, X.; Bai, G.; Huang, Q.; Li, Z. Comparative study of the combustion and kinetic characteristics of fresh and naturally aged pine wood. Fuel 2023, 343, 127962. [Google Scholar] [CrossRef]
- Zhou, B.; Zhou, X.; Chao, M. Fire protection of historic buildings: A case study of group-living yard in Tianjin. J. Cult. Herit. 2012, 13, 389–396. [Google Scholar]
- Xu, Q.; Jin, C.; Jiang, Y. Compare the flammability of two extruded polystyrene foams with micro-scale combustion calorimeter and cone calorimeter tests. J. Therm. Anal. Calorim. 2016, 127, 2359–2366. [Google Scholar] [CrossRef]
- Jin, E.; Chung, Y. Combustion Characteristics of Wood Panels Treated with Phosphorus-Nitrogen Additives. BioResources 2016, 11, 4319–4331. [Google Scholar] [CrossRef]
- Terrei, L.; Acem, Z.; Georges, V.; Lardet, P.; Boulet, P.; Parent, G. Experimental tools applied to the ignition study of spruce wood under cone calorimeter. Fire Saf. J. 2019, 108, 102845. [Google Scholar] [CrossRef]
- Leonelli, L.; Barboni, T.; Santoni, P.; Quilichini, Y.; Coppalle, A. Characterization of aerosols emissions from the combustion of dead shrub twigs and leaves using a cone calorimeter. Fire Saf. J. 2017, 91, 800–810. [Google Scholar] [CrossRef]
- Makovicka Osvaldova, L.; Kadlicova, P.; Rychly, J. Fire Characteristics of Selected Tropical Woods Without and With Fire Retardant. Coatings 2020, 10, 527. [Google Scholar] [CrossRef]
- Nikolaeva, M.; Kärki, T. Influence of fire retardants on the reaction-to-fire properties of coextruded wood-polypropylene composites. Fire Mater. 2015, 40, 535–543. [Google Scholar] [CrossRef]
- Yang, P.; Tan, X.; Xin, W. Experimental study and numerical simulation for a storehouse fire accident. Build. Environ. 2011, 46, 1445–1459. [Google Scholar] [CrossRef]
- Xu, Q.; Chen, L.; Harries, K.A.; Zhang, F.; Liu, Q.; Feng, J. Combustion and charring properties of five common constructional wood species from cone calorimeter tests. Constr. Build. Mater. 2015, 96, 416–427. [Google Scholar] [CrossRef]
- Zhang, S.; Ni, X.; Zhao, M.; Feng, J.; Zhang, R. Numerical simulation of wood crib fire behavior in a confined space using cone calorimeter data. J. Therm. Anal. Calorim. 2015, 119, 2291–2303. [Google Scholar] [CrossRef]
- Rabe, S.; Schartel, B. The rapid mass calorimeter: Understanding reduced-scale fire test results. Polym. Test. 2017, 57, 165–174. [Google Scholar] [CrossRef]
- Richter, F.; Rein, G. A multiscale model of wood pyrolysis in fire to study the roles of chemistry and heat transfer at the mesoscale. Combust Flame 2020, 216, 316–325. [Google Scholar] [CrossRef]
- Wen, J.; Kang, K.; Donchev, T.; Karwatzki, J.M. Validation of FDS for the prediction of medium-scale pool fires. Fire Saf. J. 2007, 42, 127–138. [Google Scholar] [CrossRef]
- Li, J.; Li, H.; Zhou, B.; Wang, X.; Zhang, H. Investigation and Statistical Analysis of Fire Loads of 83 Historic Buildings in Beijing. Int. J. Archit. Herit. 2020, 14, 471–482. [Google Scholar] [CrossRef]
- Byström, A.; Cheng, X.; Wickström, U.; Veljkovic, M. Full-scale experimental and numerical studies on compartment fire under low ambient temperature. Build. Environ. 2012, 51, 255–262. [Google Scholar] [CrossRef]
- Tung, S.; Su, H.; Tzeng, C.; Lai, C. Experimental and numerical investigation of a room fire in a wooden-frame historical building. Int. J. Archit. Herit. 2020, 14, 106–118. [Google Scholar] [CrossRef]
- Huai, C.; Xie, J.; Liu, F.; Du, J.; Chow, D.H.; Liu, J. Experimental and Numerical Analysis of Fire Risk in Historic Chinese Temples: A Case in Beijing. Int. J. Archit. Herit. 2021, 16, 1844–1858. [Google Scholar] [CrossRef]
- Chen, G.; Hu, Y.; Peng, F.; Bian, J.; Li, M.; Yao, C.; Sun, R. Fabrication of strong nanocomposite films with renewable forestry waste/montmorillonite/reduction of graphene oxide for fire retardant. Chem. Eng. J. 2018, 337, 436–445. [Google Scholar] [CrossRef]
- Ding, C.; Zhang, S.; Pan, M.; Li, M.; Zhang, Y.; Mei, C. Improved processability and high fire safety of wood plastic composites via assembling reversible imine crosslinking network. Chem. Eng. J. 2021, 423, 130295. [Google Scholar] [CrossRef]
- Xie, H.; Lai, X.; Li, H.; Gao, J.; Zeng, X.; Huang, X.; Lin, X. A highly efficient flame retardant nacre-inspired nanocoating with ultrasensitive fire-warning and self-healing capabilities. Chem. Eng. J. 2019, 369, 8–17. [Google Scholar] [CrossRef]
- Li, J.; Zhang, X.; Li, J.; Li, R.; Qian, M.; Song, P. An experimental study of the damage degrees to ancient building timber caused by lightning strikes. J. Electrost. 2017, 90, 23–30. [Google Scholar] [CrossRef]
- Chen, G.; Chen, C.; Pei, Y.; He, S.; Liu, Y.; Jiang, B.; Hu, L. A Strong, Flame-retardant, and Thermally Insulating Wood Laminate. Chem. Eng. J. 2019, 383, 123109. [Google Scholar] [CrossRef]
- Werrel, M.; Deubel, J.H.; Krüger, S.; Hofmann, A.; Krause, U. The calculation of the heat release rate by oxygen consumption in a controlled-atmosphere cone calorimeter. Fire Mater. 2013, 38, 204–226. [Google Scholar] [CrossRef]
- Bernardini, G.; Azzolini, M.; D’Orazio, M.; Quagliarini, E. Intelligent evacuation guidance systems for improving fire safety of Italian-style historical theatres without altering their architectural characteristics. J. Cult. Herit. 2016, 22, 1006–1018. [Google Scholar] [CrossRef]
- Zhang, J.; Li, Z.; Shao, Z.; Zhang, L.; Wang, D. Hierarchically Tailored Hybrids via Interfacial-Engineering of Self-Assembled UiO-66 and Prussian Blue Analogue: Novel Strategy to Impart Epoxy High-efficient Fire Retardancy and Smoke Suppression. Chem. Eng. J. 2020, 400, 125942. [Google Scholar] [CrossRef]
- ASTM D4329-13; Standard Practice for Fluorescent Ultraviolet (UV) Lamp Apparatus Exposure of Plastics. ASTM Int.: West Conshohocken, PA, USA, 2020; pp. 1–6.
- Standard ISO 4892-3:2016, Plastics—Methods of Exposure to Laboratory Light Sources—Part 3: Fluorescent UV Lamps. Available online: https://www.iso.org/standard/67793.html (accessed on 30 October 2021).
- GB/T 14522-2008; Plastics, Coatings and Rubber Materials—Artificial Weathering Testing Methods—Light Source: Fluorescent Ultraviolet Lamp. General Administration of Quality Supervision, Inspection and Quarantine of the People’s Republic of China, & Standardization Administration of China: Beijing, China, 2008.
- ISO 5660-1:2015; Reaction to Fire Tests. Heat Release, Smoke Production and Mass Loss Rate. Part 1: Heat Release Rate (Cone Calorimeter Method) and Smoke Production Rate (Dynamic Measurement). 3rd ed. International Organization for Standardization: Geneva, Switzerland, 2015; p. 55.
- Zalok, E.; Hadjisophocleous, G.V.; Mehaffey, J.R. Fire loads in commercial premises. Fire Mater. 2009, 33, 63–78. [Google Scholar] [CrossRef]
- Brodny, J.; Tutak, M. Determination of the zone with a particularly high risk of endogenous fires in the goaves of a longwall with caving. J. Appl. Fluid Mech. 2018, 11, 545–553. [Google Scholar] [CrossRef]
- Bartlett, A.I.; Hadden, R.M.; Hidalgo, J.P.; Santamaria, S.; Wiesner, F.; Bisby, L.A.; Deeny, S.; Lane, B. Auto-extinction of engineered timber: Application to compartment fires with exposed timber surfaces. Fire Saf. J. 2017, 91, 407–413. [Google Scholar] [CrossRef]
- Chen, C.; Hsieh, W.D.; Hu, W.; Lai, C.; Lin, T. Experimental investigation and numerical simulation of a furnished office fire. Build. Environ. 2010, 45, 2735–2742. [Google Scholar] [CrossRef]
- Durak, S.; Erbil, Y.; Akıncıtürk, N. Sustainability of an architectural heritage site in Turkey: Fire risk assessment in Misi village. Int. J. Archit. Herit. 2011, 5, 334–348. [Google Scholar] [CrossRef]
- Neto, J.T.; Ferreira, T.M. Assessing and mitigating vulnerability and fire risk in historic centres: A cost-benefit analysis. J. Cult. Herit. 2020, 45, 279–290. [Google Scholar] [CrossRef]
- Kang, F.; Tian, R.C.; Zhang, J.X.; Wang, D.K.; Xie, H.X.; Pan, C.; Zhou, T.B.; Deng, J. Study on microstructure evolution characteristics of coal in low temperature oxidation stage in goaf of Longfeng Coal Mine. Combust. Sci. Technol. 2024, 1–20. [Google Scholar] [CrossRef]
- Ma, L.; Zhang, P.; Chen, X.; He, Y.; Wei, G.; Fan, J. Numerical investigation of coupling hazard zone of coal spontaneous combustion and gas in gob for high-gas mines. Case Stud. Therm. Eng. 2024, 63, 105341. [Google Scholar] [CrossRef]














| Sample | Industrial Analysis (wt.%) | Elemental Analysis (wt.%) | ||||||
|---|---|---|---|---|---|---|---|---|
| Mad | Aad | Vad | FCad | C | H | O | N | |
| FP | 3.39 | 0.49 | 81.16 | 14.96 | 48.68 | 6.14 | 42.82 | 2.36 |
| 240C | 3.72 | 2.46 | 76.88 | 16.94 | 47.34 | 5.86 | 45.58 | 1.22 |
| Fire Category | α/(kW/s2) | Typical Combustible Materials |
|---|---|---|
| Super-fast | 0.1876 | Oil pool fire, flammable furniture, light curtains |
| Fast | 0.0469 | Pouches full of things, plastic foam, stacked wooden shelves |
| Medium-speed | 0.0117 | Cotton and polyester box-spring mattresses, wooden desk and chair |
| Slow | 0.0029 | Heavy woodwork |
| Parameter | HRR/(kW/m2) | THR/(MJ/m2) | SPR/(m2/s) | TSR/(m2/s) |
|---|---|---|---|---|
| FP | 173 | 35 | 0.026 | 3.12 |
| 240C | 106 | 31 | 0.018 | 2.34 |
Disclaimer/Publisher’s Note: The statements, opinions and data contained in all publications are solely those of the individual author(s) and contributor(s) and not of MDPI and/or the editor(s). MDPI and/or the editor(s) disclaim responsibility for any injury to people or property resulting from any ideas, methods, instructions or products referred to in the content. |
© 2024 by the authors. Licensee MDPI, Basel, Switzerland. This article is an open access article distributed under the terms and conditions of the Creative Commons Attribution (CC BY) license (https://creativecommons.org/licenses/by/4.0/).
Share and Cite
Liu, T.; Li, A.; Yao, M.; Deng, J.; Huang, Q.; Li, Z.; Li, H.; Yi, X. Fire Behavior Characteristics and Computational Simulation Research on Historic Wooden Structures. Fire 2024, 7, 478. https://doi.org/10.3390/fire7120478
Liu T, Li A, Yao M, Deng J, Huang Q, Li Z, Li H, Yi X. Fire Behavior Characteristics and Computational Simulation Research on Historic Wooden Structures. Fire. 2024; 7(12):478. https://doi.org/10.3390/fire7120478
Chicago/Turabian StyleLiu, Tongshuang, Ang Li, Min Yao, Jun Deng, Qianrui Huang, Zheng Li, Haojia Li, and Xin Yi. 2024. "Fire Behavior Characteristics and Computational Simulation Research on Historic Wooden Structures" Fire 7, no. 12: 478. https://doi.org/10.3390/fire7120478
APA StyleLiu, T., Li, A., Yao, M., Deng, J., Huang, Q., Li, Z., Li, H., & Yi, X. (2024). Fire Behavior Characteristics and Computational Simulation Research on Historic Wooden Structures. Fire, 7(12), 478. https://doi.org/10.3390/fire7120478

