Fire Risk Assessment and Driving Factor Analysis for the Building Complex of the Palace Museum in China
Abstract
1. Introduction
2. Materials and Methods
2.1. Fire Risk Assessment Method
2.1.1. Establishment of a Fire Risk Assessment Indicator System
2.1.2. Fire Risk Assessment Based on Entropy-Weighted TOPSIS Method
- 1.
- Data matrix standardization.
- 2.
- Entropy calculation.
- 3.
- Determination of index weight.
- 4.
- Reconstruction of entropy-weighted fire risk index matrix.
- 5.
- Identification of positive ideal and negative ideal solutions.
- 6.
- Calculation of distances to positive ideal and negative ideal solutions.
- 7.
- Calculation of the relative proximity.
2.1.3. Gradation and Visualization of Fire Risk Assessment Results
2.2. Geodetector Model
2.2.1. Factor Detector
2.2.2. Interaction Detector
2.3. Study Area
2.3.1. The Palace Museum
2.3.2. Data Processing
3. Results
3.1. Fire Risk Assessment for the Ancient Building Complex of the Palace Museum
3.1.1. Index Weight
3.1.2. Fire Risk Assessment Results
3.2. Geodetector Results
3.2.1. Factor Detector Results
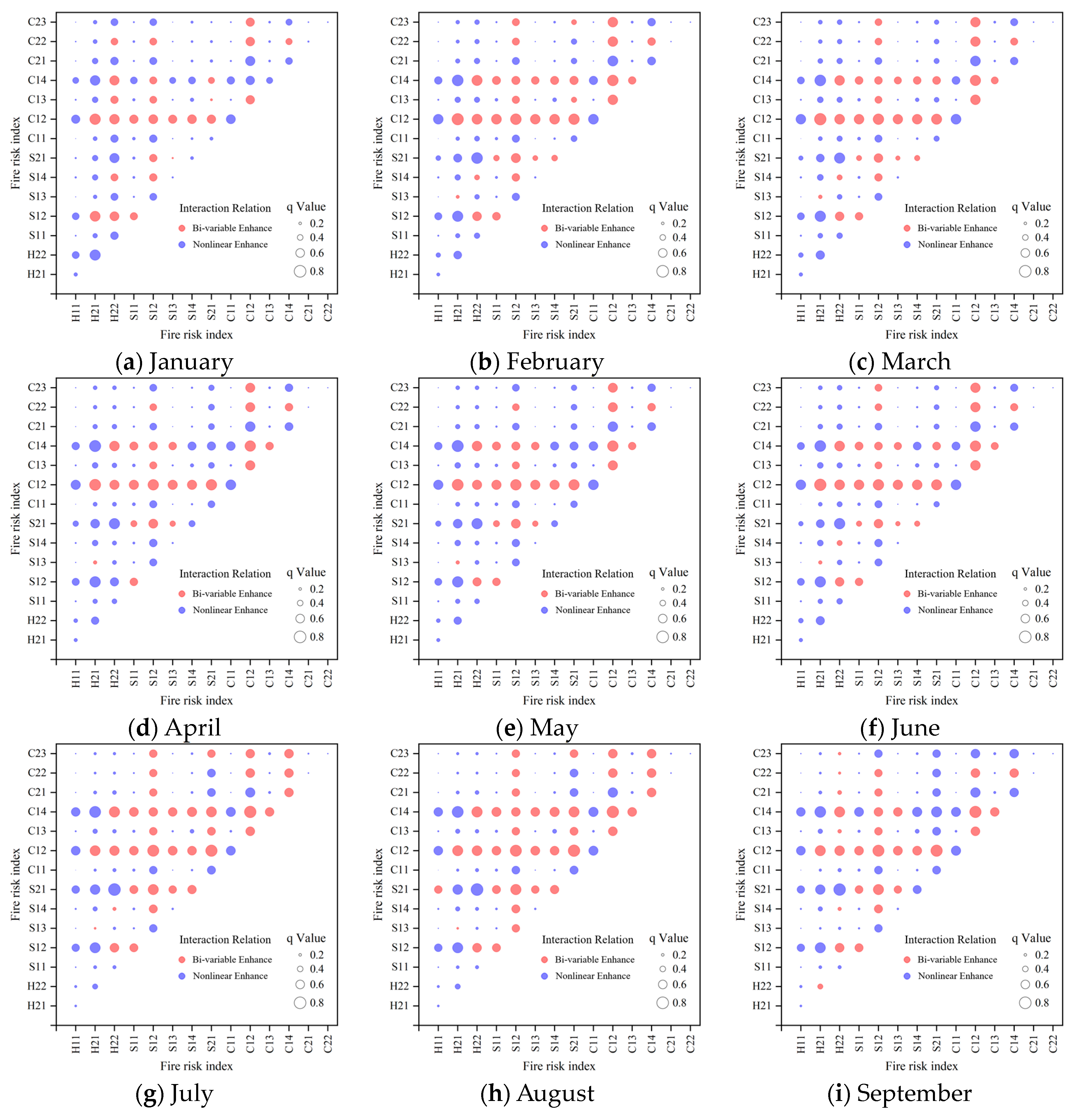
3.2.2. Interaction Detector Results
4. Discussion
4.1. The Influence of Temporal Indicators on the Dynamic Change of Fire Risk
4.2. Geodetector Model Contributes to Fire Risk Prevention Resource Allocation
5. Conclusions
- (1)
- The weight of the indicators was calculated using the entropy weighting method, and the results showed that the weight of three indicators, namely visitor number, structural component complexity, and cultural relics, are relatively high.
- (2)
- According to the fire risk assessment and grading results of each building, the monthly fire risk level can be visualized with the aid of ArcGIS software. The monthly fire risk maps showed a seasonal pattern, which is mainly caused by the dynamic change in temporal indices including temperature, precipitation, humidity, and visitor number.
- (3)
- The factor detector model shows that the safety protective grade indicator has the strongest explanatory power for the spatial differentiation of fire risk across all months, followed by indices of staff number and building function. The spatial distribution changes of these factors significantly affect the spatial pattern of fire risk within the Palace Museum.
- (4)
- By analyzing the interaction between the driving factors of fire risk, it was found that the main types of interaction are nonlinear enhancement and bi-variable enhancement. This also indicates that the synergistic effect between different influencing factors results in spatial heterogeneity of fire risk.
Author Contributions
Funding
Data Availability Statement
Acknowledgments
Conflicts of Interest
References
- Li, J.; Li, H.; Zhou, B.; Wang, X.; Zhang, H. Investigation and statistical analysis of fire loads of 83 historic buildings in Beijing. Int. J. Archit. Herit. 2020, 14, 471–482. [Google Scholar] [CrossRef]
- Zhou, B.; Jiang, C.; Wang, K.; Romão, X.; Yoshioka, H.; Wang, W.; Tao, Z.; Zhao, H. A review: The analysis of fires in Chinese historic building and research progress on the fire protection. Therm. Sci. Eng. Prog. 2024, 54, 102850. [Google Scholar] [CrossRef]
- An, Z.-y.; Liu, B. Chinese historic buildings fire safety and countermeasure. Procedia Eng. 2013, 52, 23–26. [Google Scholar]
- Akaa, O.; Abu, A.; Spearpoint, M.; Giovinazzi, S. Optimising design decision-making for steel structures in fire using a hybrid analysis technique. Fire Saf. J. 2017, 91, 532–541. [Google Scholar] [CrossRef]
- Moshashaei, P.; Alizadeh, S.S. Fire risk assessment: A systematic review of the methodology and functional areas. Iran. J. Health Saf. Environ. 2017, 4, 654–669. [Google Scholar]
- Liu, F.; Zhao, S.; Weng, M.; Liu, Y. Fire risk assessment for large-scale commercial buildings based on structure entropy weight method. Saf. Sci. 2017, 94, 26–40. [Google Scholar] [CrossRef]
- Zhang, X.; Li, X.; Mehaffey, J.; Hadjisophocleous, G. A probability-based Monte Carlo life-risk analysis model for fire emergencies. Fire Saf. J. 2017, 89, 51–62. [Google Scholar] [CrossRef]
- Bertetto, A.M.; D’Angella, P.; Fronterre, M. Residual strength evaluation of Notre Dame surviving masonry after the fire. Eng. Fail. Anal. 2021, 122, 105183. [Google Scholar] [CrossRef]
- Salazar, L.G.F.; Romão, X.; Paupério, E. Review of vulnerability indicators for fire risk assessment in cultural heritage. Int. J. Disaster Risk Reduct. 2021, 60, 102286. [Google Scholar] [CrossRef]
- Ibrahim, M.N.; Abdul-Hamid, K.; Ibrahim, M.S.; Mohd-Din, A.A.; Yunus, R.M.; Yahya, M.R. The development of fire risk assessment method for heritage building. Procedia Eng. 2011, 20, 317–324. [Google Scholar] [CrossRef][Green Version]
- Ju, H.; Zhang, Z.; Zuo, L.; Wang, J.; Zhang, S.; Wang, X.; Zhao, X. Driving forces and their interactions of built-up land expansion based on the geographical detector–a case study of Beijing, China. Int. J. Geogr. Inf. Sci. 2016, 30, 2188–2207. [Google Scholar] [CrossRef]
- Chen, N.; Chen, L.; Ma, Y.; Chen, A. Regional disaster risk assessment of China based on self-organizing map: Clustering, visualization and ranking. Int. J. Disaster Risk Reduct. 2019, 33, 196–206. [Google Scholar] [CrossRef]
- Fekete, A.; Hufschmidt, G.; Kruse, S. Benefits and Challenges of Resilience and Vulnerability for Disaster Risk Management. Int. J. Disaster Risk Sci. 2014, 5, 3–20. [Google Scholar] [CrossRef]
- Yuan, C.; He, Y.; Feng, Y.; Wang, P. Fire hazards in heritage villages: A case study on Dangjia Village in China. Int. J. Disaster Risk Reduct. 2018, 28, 748–757. [Google Scholar] [CrossRef]
- Granda, S.; Ferreira, T.M. Assessing vulnerability and fire risk in old urban areas: Application to the historical centre of Guimarães. Fire Technol. 2019, 55, 105–127. [Google Scholar] [CrossRef]
- Naser, M.; Kodur, V. A probabilistic assessment for classification of bridges against fire hazard. Fire Saf. J. 2015, 76, 65–73. [Google Scholar] [CrossRef]
- Brambilla, A.; Gasparri, E. Mould growth models and risk assessment for emerging timber envelopes in Australia: A comparative study. Buildings 2021, 11, 261. [Google Scholar] [CrossRef]
- Prieto, A.J.; Vásquez, V.; Silva, A.; Horn, A.; Alejandre, F.J.; Macías-Bernal, J.M. Protection value and functional service life of heritage timber buildings. Build. Res. Inf. 2019, 47, 567–584. [Google Scholar] [CrossRef]
- Rajčić, V.; Skender, A.; Damjanović, D. An innovative methodology of assessing the climate change impact on cultural heritage. Int. J. Archit. Herit. 2018, 12, 21–35. [Google Scholar] [CrossRef]
- Brimblecombe, P.; Hayashi, M.; Futagami, Y. Mapping Climate Change, Natural Hazards and Tokyo’s Built Heritage. Atmosphere 2020, 11, 680. [Google Scholar] [CrossRef]
- Prieto, A.J.; Verichev, K.; Carpio, M. Heritage, resilience and climate change: A fuzzy logic application in timber-framed masonry buildings in Valparaíso, Chile. Build. Environ. 2020, 174, 106657. [Google Scholar] [CrossRef]
- Dong, Q.; You, F.; Hu, S.-q. Investigation of Fire Protection Status for Nanjing Representative Historical Buildings and Future Management Measures. Procedia Eng. 2014, 71, 377–384. [Google Scholar] [CrossRef]
- Zhang, L.; Tian, F.; Zheng, X.; Sun, Z. Spatial configuration of fire protection for historical streets in China using space syntax. J. Cult. Herit. 2023, 59, 140–150. [Google Scholar] [CrossRef]
- Garcia-Castillo, E.; Paya-Zaforteza, I.; Hospitaler, A. Fire in heritage and historic buildings, a major challenge for the 21st century. Dev. Built Environ. 2023, 13, 100102. [Google Scholar] [CrossRef]
- Torero, J.L. Fire Safety of Historical Buildings: Principles and Methodological Approach. Int. J. Archit. Herit. 2019, 13, 926–940. [Google Scholar] [CrossRef]
- Liao, D.; Zhuo, X.; Tao, J. A Dynamic Fire Risk Assessment Method for Compact Historic Villages Based on the Improved FRAME. Int. J. Disaster Risk Reduct. 2024, 114, 104935. [Google Scholar] [CrossRef]
- Li, X.; Qin, R. Performance-based firefighting in dense historic settlements: An exploration of a firefighting approach combining value and risk assessment with numerical simulation. Front. Archit. Res. 2022, 11, 1134–1150. [Google Scholar] [CrossRef]
- Tozo Neto, J.; Ferreira, T.M. Assessing and mitigating vulnerability and fire risk in historic centres: A cost-benefit analysis. J. Cult. Herit. 2020, 45, 279–290. [Google Scholar] [CrossRef]
- Chen, P. Effects of the entropy weight on TOPSIS. Expert Syst. Appl. 2021, 168, 114186. [Google Scholar] [CrossRef]
- Lee, K.M.; Lim, H.S.; Cho, J.W.; Lee, S.K.; Min, S.H.; Min, J.K. Fire risk assessment of building use types using natural breaks (Jenks). Fire Sci. Eng. 2019, 33, 63–71. [Google Scholar] [CrossRef]
- Reddy, G.P.O. Spatial Data Management, Analysis, and Modeling in GIS: Principles and Applications. In Geospatial Technologies in Land Resources Mapping, Monitoring and Management; Reddy, G.P.O., Singh, S.K., Eds.; Springer International Publishing: Cham, Switzerland, 2018; pp. 127–142. [Google Scholar]
- Ferreira, T.M.; Vicente, R.; Raimundo Mendes da Silva, J.A.; Varum, H.; Costa, A.; Maio, R. Urban fire risk: Evaluation and emergency planning. J. Cult. Herit. 2016, 20, 739–745. [Google Scholar] [CrossRef]
- Silva, D.; Rodrigues, H.; Ferreira, T.M. Assessment and Mitigation of the Fire Vulnerability and Risk in the Historic City Centre of Aveiro, Portugal. Fire 2022, 5, 173. [Google Scholar] [CrossRef]
- Su, Y.; Li, T.; Cheng, S.; Wang, X. Spatial distribution exploration and driving factor identification for soil salinisation based on geodetector models in coastal area. Ecol. Eng. 2020, 156, 105961. [Google Scholar] [CrossRef]
- Zhu, L.; Meng, J.; Zhu, L. Applying Geodetector to disentangle the contributions of natural and anthropogenic factors to NDVI variations in the middle reaches of the Heihe River Basin. Ecol. Indic. 2020, 117, 106545. [Google Scholar] [CrossRef]
- Zhao, J.; Li, W.; Luo, H.; Miao, J. Research on protection of the architectural glazed ceramics in the Palace Museum, Beijing. J. Cult. Herit. 2010, 11, 279–287. [Google Scholar] [CrossRef]
- Jiao, L.; Lu, Y.; Zhang, M.; Chen, Y.; Wang, Z.; Guo, Y.; Xu, C.; Guo, J.; He, T.; Ma, L. Ancient plastid genomes solve the tree species mystery of the imperial wood “Nanmu” in the Forbidden City, the largest existing wooden palace complex in the world. Plants People Planet 2022, 4, 696–709. [Google Scholar] [CrossRef]
- Li, N.; Bagas, L.; Li, X.; Xiao, K.; Li, Y.; Ying, L.; Song, X. An improved buffer analysis technique for model-based 3D mineral potential mapping and its application. Ore Geol. Rev. 2016, 76, 94–107. [Google Scholar] [CrossRef]
- Shafabakhsh, G.A.; Famili, A.; Bahadori, M.S. GIS-based spatial analysis of urban traffic accidents: Case study in Mashhad, Iran. J. Traffic Transp. Eng. (Engl. Ed.) 2017, 4, 290–299. [Google Scholar] [CrossRef]
- Gonçalves, D.N.S.; Gonçalves, C.d.M.; Assis, T.F.d.; Silva, M.A.d. Analysis of the Difference between the Euclidean Distance and the Actual Road Distance in Brazil. Transp. Res. Procedia 2014, 3, 876–885. [Google Scholar] [CrossRef]
- Lei, Y.; Shen, Z.; Tian, F.; Yang, X.; Wang, F.; Pan, R.; Wang, H.; Jiao, S.; Kou, W. Fire risk level prediction of timber heritage buildings based on entropy and XGBoost. J. Cult. Herit. 2023, 63, 11–22. [Google Scholar] [CrossRef]
- Zhang, X.; Dai, P.; Zhao, Z. Reflections on the Indoor Environmental Monitoring System of the Heritage Buildings in the Palace Museum—A Case Study of the Meridian Gate Exhibition Hall. Int. Arch. Photogramm. Remote Sens. Spat. Inf. Sci. 2021, 46, 951–955. [Google Scholar] [CrossRef]











| Primary Index | Secondary Index | Tertiary Index | Code | Description | Positive (+)/ Negative (−) | References |
|---|---|---|---|---|---|---|
| Hazard factors | Ignition source | Electrical installation | H11 | The number of electrical installations in the heritage building | + | [14,15] |
| Combustible goods | Structural component complexity | H21 | The structural component complexity of the heritage building | + | [16,17] | |
| Cultural relic | H22 | The number of cultural relic collections in the heritage building | + | [9,10] | ||
| Environment | Temperature | H31 | The monthly maximum temperature at the heritage site | + | [18,19,20] | |
| Precipitation | H32 | The monthly average precipitation at the heritage site | − | [18,20] | ||
| Humidity | H33 | The monthly average humidity at the heritage site | − | [18,19,20] | ||
| Sensitivity of hazard-bearing bodies | Building | Building area | S11 | The area of the heritage building | + | [1,9] |
| Building function | S12 | The function of the heritage building | + | [15,21] | ||
| Fire separation | S13 | The fire separation distance of the heritage building | − | [9,22] | ||
| Road closeness | S14 | The closeness of the roads to the heritage building | − | [14,23] | ||
| Visitors | Visitor number | S21 | The monthly number of visitors to the heritage site | + | [1,20] | |
| Loss control factors | Fire and safety management | Fire safety grade | C11 | The fire safety grade of the heritage building | − | [24,25] |
| Safety protective grade | C12 | The safety protective grade of the heritage building | − | [24,25] | ||
| Fire station distance | C13 | The distance from the heritage building to a fire station | − | [26] | ||
| Staff number | C14 | The staff number within the heritage building | − | [3] | ||
| Physical defense | Protection layer number | C21 | The number of protective layers around the heritage building | − | [27] | |
| Fire alarm system number | C22 | The fire alarm system number of the heritage building | − | [15,28] | ||
| Fire water supply system number | C23 | The fire water supply system number of the heritage building | − | [9] |
| Basis of Determination | Type | Graphical Representation |
|---|---|---|
| Nonlinear weakening | ![]() | |
| Uni-variable enhancement | ![]() | |
| Bi-variable enhancement | ![]() | |
| Independent | ![]() | |
| Nonlinear enhancement | ![]() |
| Index | Category | Representative Value |
|---|---|---|
| Structural component complexity | (Low, medium, and high) | (1, 2, 3) |
| Cultural relics | (none, few, medium, and many) | (0, 1, 2, 3) |
| Building function | (storehouse, office, exhibition hall) | (1, 2, 3) |
| Fire safety grade | (low, medium, and high) | (1, 2, 3) |
| Safety protective grade | (low, medium, and high) | (1, 2, 3) |
| Staff number | (none, few, medium, and many) | (0, 1, 2, 3) |
Disclaimer/Publisher’s Note: The statements, opinions and data contained in all publications are solely those of the individual author(s) and contributor(s) and not of MDPI and/or the editor(s). MDPI and/or the editor(s) disclaim responsibility for any injury to people or property resulting from any ideas, methods, instructions or products referred to in the content. |
© 2024 by the authors. Licensee MDPI, Basel, Switzerland. This article is an open access article distributed under the terms and conditions of the Creative Commons Attribution (CC BY) license (https://creativecommons.org/licenses/by/4.0/).
Share and Cite
Yang, X.; Shen, Z.; Lei, Y.; Wang, B.; Liu, J. Fire Risk Assessment and Driving Factor Analysis for the Building Complex of the Palace Museum in China. Fire 2024, 7, 468. https://doi.org/10.3390/fire7120468
Yang X, Shen Z, Lei Y, Wang B, Liu J. Fire Risk Assessment and Driving Factor Analysis for the Building Complex of the Palace Museum in China. Fire. 2024; 7(12):468. https://doi.org/10.3390/fire7120468
Chicago/Turabian StyleYang, Xinwei, Zhanfeng Shen, Yating Lei, Bo Wang, and Jinzhou Liu. 2024. "Fire Risk Assessment and Driving Factor Analysis for the Building Complex of the Palace Museum in China" Fire 7, no. 12: 468. https://doi.org/10.3390/fire7120468
APA StyleYang, X., Shen, Z., Lei, Y., Wang, B., & Liu, J. (2024). Fire Risk Assessment and Driving Factor Analysis for the Building Complex of the Palace Museum in China. Fire, 7(12), 468. https://doi.org/10.3390/fire7120468






