Comparative Study of Longitudinal Temperature Decay of Weak and Strong Plumes with Different Tunnel Aspect Ratios
Abstract
1. Introduction
2. Numerical Methods
2.1. Tunnel Model
2.2. Fire Scenarios
2.3. Grid Independence Analysis
3. Results and Discussion
3.1. Ceiling Temperature Distribution Characteristics
3.2. The Maximum Excess Temperature
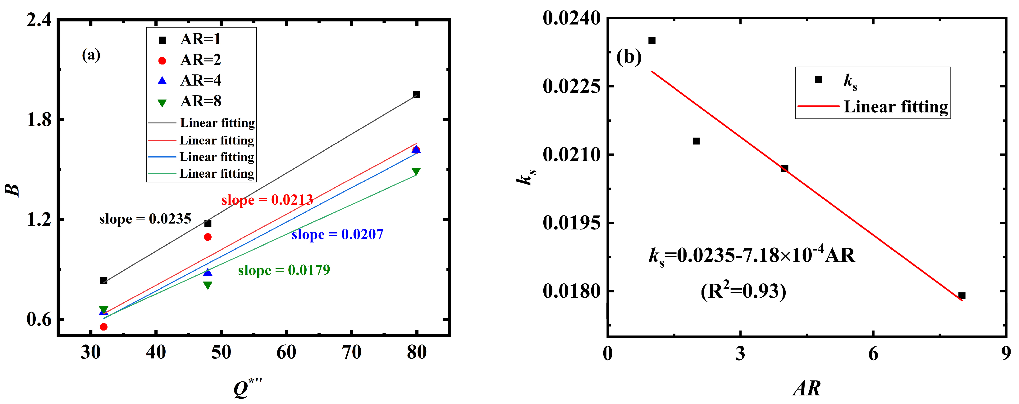
3.3. Longitudinal Temperature Decay Law
4. Conclusions
- (1)
- The aspect ratio of the tunnel has a minimal impact on the temperature distribution near the fire area, but it has a significant influence on the temperature distribution far away from the fire source. As the tunnel’s aspect ratio increases, the temperature under the ceiling decreases.
- (2)
- An empirical model was developed to predict the dimensionless maximum excess temperature by introducing a characteristic fire source diameter based on Ji’s correlation.
- (3)
- The far-field temperature gradient of the fire source shows a non-monotonic trend with distance. The decreasing gradient of the temperature distribution induced by a strong plume is greater than that induced by a weak plume.
- (4)
- The influence of HRR on the attenuation behavior of longitudinal temperature can be ignored under weak plume conditions, while the influence of HRR on the decay behavior of longitudinal temperature is greater under strong plume conditions. Consequently, the correlations of longitudinal temperature decay driven by weak and strong plumes were established, respectively, with tunnel aspect ratios being considered.
Author Contributions
Funding
Institutional Review Board Statement
Informed Consent Statement
Data Availability Statement
Conflicts of Interest
References
- Ji, J.; Guo, F.; Gao, Z.; Zhu, J. Effects of ambient pressure on transport characteristics of thermal-driven smoke flow in a tunnel. Int. J. Therm. Sci. 2018, 125, 210–217. [Google Scholar] [CrossRef]
- Wan, H.; Gao, Z.; Ji, J.; Fang, J.; Zhang, Y. Experimental study on horizontal gas temperature distribution of two propane diffusion flames impinging on an unconfined ceiling. Int. J. Therm. Sci. 2019, 136, 1–8. [Google Scholar] [CrossRef]
- Karlsson, B.; Quintiere, J. Enclosure Fire Dynamics; CRC Press: Boca Raton, FL, USA, 1999. [Google Scholar]
- Tao, H.; Xu, Z.; Zhang, Y.; Zhang, X.; Fan, C. An experimental study on the smoke spread in underground interconnected infrastructure with longitudinal ventilation. Tunn. Undergr. Space Technol. 2023, 142, 105381. [Google Scholar] [CrossRef]
- Li, L.; Cheng, X.; Wang, X.; Zhang, H. Temperature distribution of fire-induced flow along tunnels under natural ventilation. J. Fire Sci. 2011, 2, 16. [Google Scholar] [CrossRef]
- Hu, L.H.; Huo, R.; Peng, W.; Chow, W.K.; Yang, R.X. On the maximum smoke temperature under the ceiling in tunnel fires. Tunn. Undergr. Space Technol. 2006, 21, 650–655. [Google Scholar] [CrossRef]
- Caliendo, C.; Genovese, G.; Russo, I. A Simultaneous Analysis of the User Safety and Resilience of a Twin-Tube Road Tunnel. Appl. Sci. 2022, 12, 3357. [Google Scholar] [CrossRef]
- Gao, Z.; Li, L.; Sun, C.; Zhong, W.; Yan, C. Effect of longitudinal slope on the smoke propagation and ceiling temperature characterization in sloping tunnel fires under natural ventilation. Tunn. Undergr. Space Technol. 2022, 123, 104396. [Google Scholar] [CrossRef]
- Ding, H.; Quintiere, J.G. An integral model for turbulent flame radial lengths under a ceiling. Fire Saf. J. 2012, 52, 25–33. [Google Scholar] [CrossRef]
- Alpert, R.L. Turbulent Ceiling-Jet Induced by Large-Scale Fires. Combust. Sci. Technol. 1975, 11, 197–213. [Google Scholar] [CrossRef]
- Chen, L.; Tang, F.; Pang, H. Ceiling heat flux and downward received radiation heat flux induced by weak and relative strong fire plume in ventilation tunnels. Appl. Therm. Eng. 2020, 169, 114924. [Google Scholar] [CrossRef]
- Heskestad, G. Engineering Relations for Fire Plumes. Fire Saf. J. 1984, 7, 25–32. [Google Scholar] [CrossRef]
- Mccaffrey, B.J. Purely Buoyant Diffusion Flames: Some Experimental Results; National Institute of Standards and Technology: Gaithersburg, MD, USA, 1979; NBSIR 79–1910.
- Hurley, M.J. SFPE Handbook of Fire Protection Engineering, 5th ed.; Springer: New York, NY, USA, 2016. [Google Scholar]
- Yi, L.; Niu, J.L.; Xu, Z.S.; Wu, D.X. Experimental studies on smoke movement in a model tunnel with longitudinal ventilation. Tunn. Undergr. Space Technol. 2013, 35, 135–141. [Google Scholar] [CrossRef]
- Zhang, X.; Hu, L.; Zhu, W.; Zhang, X.; Yang, L. Flame extension length and temperature profile in thermal impinging flow of buoyant round jet upon a horizontal plate. Appl. Therm. Eng. 2014, 73, 15–22. [Google Scholar] [CrossRef]
- Gao, Z.H.; Liu, Z.X.; Wan, H.X.; Zhu, J.P. Experimental study on longitudinal and transverse temperature distribution of sidewall confined ceiling jet plume. Appl. Therm. Eng. 2016, 107, 583–590. [Google Scholar] [CrossRef]
- Tang, F.; Hu, P.; Wen, J. Experimental investigation on lateral ceiling temperature distribution induced by wall-attached fire with various burner aspect ratios in underground space. Fire Saf. J. 2021, 120, 103055. [Google Scholar] [CrossRef]
- Zhou, T.; Zhou, Y.; Fan, C.; Wang, J. Experimental study on temperature distribution beneath an arced tunnel ceiling with various fire locations. Tunn. Undergr. Space Technol. 2020, 98, 103344. [Google Scholar] [CrossRef]
- Li, Z.; Gao, Y.; Li, X.; Mao, P.; Zhang, Y.; Jin, K.; Li, T.; Chen, L. Effects of transverse fire locations on flame length and temperature distribution in a bifurcated tunnel fire. Tunn. Undergr. Space Technol. 2021, 112, 103893. [Google Scholar] [CrossRef]
- Ji, J.; Bi, Y.; Venkatasubbaiah, K.; Li, K. Influence of aspect ratio of tunnel on smoke temperature distribution under ceiling in near field of fire source. Appl. Therm. Eng. 2016, 106, 1094–1102. [Google Scholar] [CrossRef]
- Xu, Z.; Zhao, J.; Liu, Q.; Chen, H.; Liu, Y.; Geng, Z.; He, L. Experimental investigation on smoke spread characteristics and smoke layer height in tunnels. Fire Mater. 2019, 43, 303–309. [Google Scholar] [CrossRef]
- Lee, S.R.; Ryou, H.S. An experimental study of the effect of the aspect ratio on the critical velocity in longitudinal ventilation tunnel fires. J. Fire Sci. 2005, 23, 119–138. [Google Scholar] [CrossRef]
- Li, Y.Z.; Ingason, H. Effect of cross section on critical velocity in longitudinally ventilated tunnel fires. Fire Saf. J. 2017, 91, 303–311. [Google Scholar] [CrossRef]
- Zhang, T.; Wang, G.; Hu, H.; Huang, Y.; Zhu, K.; Wu, K. Study on temperature decay characteristics of fire smoke backflow layer in tunnels with wide-shallow cross-section. Tunnel. Undergr. Space Technol. 2021, 112, 103874. [Google Scholar] [CrossRef]
- Zhang, T.; Wang, G.; Li, J.; Huang, Y.; Zhu, K.; Wu, K. Experimental study of back-layering length and critical velocity in longitudinally ventilated tunnel fire with various rectangular cross-sections. Fire Saf. J. 2021, 126, 103483. [Google Scholar] [CrossRef]
- Mcgrattan, K.; Hostikka, S.; Mcdermott, R.; Floyd, J.; Weinschenk, C.; Overholt, K. Fire Dynamics Simulator User’s Guide; National Institute of Standards and Technology: Gaithersburg, MD, USA, 2016.
- Jiang, X.; Chen, X.; Xiao, N.; Liao, X.; Fan, C. Influence of the competitive effect of V-shaped slope tunnel on smoke characteristics. Tunnel. Undergr. Space Technol. 2021, 118, 104193. [Google Scholar] [CrossRef]
- Yao, Y.; Qu, B.; Zhu, H.; Wang, J.; Zhao, S.; Wang, Q. Theoretical and numerical study on critical velocity and driving force for preventing smoke backlayering in a connection roadway fire of coal mines. Tunn. Undergr. Space Technol. 2022, 127, 104566. [Google Scholar] [CrossRef]
- Wang, Y.; Sun, X.; Liu, S.; Yan, P.; Qin, T.; Zhang, B. Simulation of back-layering length in tunnel fire with vertical shafts. Appl. Therm. Eng. 2016, 109, 344–350. [Google Scholar] [CrossRef]
- Zhang, X.; Lin, Y.; Shi, C.; Zhang, J. Numerical simulation on the maximum temperature and smoke back-layering length in a tilted tunnel under natural ventilation. Tunnel. Undergr. Space Technol. 2021, 107, 103661. [Google Scholar] [CrossRef]
- Xu, Z.; Xu, W.; He, L.; Xie, E.; Wang, T.; Tao, H. Numerical study on the smoke extraction efficiency and the improvement through a smoke reservoir in the naturally ventilated tunnel with vertical shaft. Tunn. Undergr. Space Technol. 2020, 103, 103505. [Google Scholar] [CrossRef]
- Li, Z.; Jiang, H.; Gao, Y.; Jin, K.; Zhang, Y.; Li, T. Study on flow characteristics of fire smoke in bifurcated tunnel. J. Saf. Sci. Technol. 2021, 5, 5. (In Chinese) [Google Scholar]
- Wan, H.X.; Gao, Z.H.; Han, J.Y.; Ji, J.; Ye, M.J.; Zhang, Y.M. A numerical study on smoke back-layering length and inlet air velocity of fires in an inclined tunnel under natural ventilation with a vertical shaft. Int. J. Therm. Sci. 2019, 138, 11. [Google Scholar] [CrossRef]
- Yao, Y.; Li, Y.Z.; Ingason, H.; Cheng, X. Numerical study on overall smoke control using naturally ventilated shafts during fires in a road tunnel. Int. J. Therm. Sci. 2019, 140, 491–504. [Google Scholar] [CrossRef]
- Hai, S.; Zhu, S.; He, F.; Xiang, C.; She, J.; Li, G.; Yuan, W.; Bian, H. Shanghai Construction Specifications (DG TJ 08-2033-2017 J11197-2017): Road Tunnel Design Standards; Tongji University Press: Shanghai, China, 2017. [Google Scholar]
- Shanghai Tunnel Engineering Rail Transit Design and Research Institute. Road Tunnel Design Code, DGTJ08-2033-2017, J11197-2017; Tongji University Press: Shanghai, China, 2017. [Google Scholar]
- Wang, K.-h.; Liu, Y.-q.; Zhang, P.-h.; Guo, Y.-l. Numerical study on the impact of wall thermal inertia on maximum smoke temperature and longitudinal attenuation in long channel fires. Int. J. Therm. Sci. 2023, 184, 107940. [Google Scholar] [CrossRef]
- Ji, J.; Fu, Y.; Li, K.; Sun, J.; Fan, C.; Shi, W. Experimental study on behavior of sidewall fires at varying height in a corridor-like structure. Proc. Combust. Inst. 2015, 35, 2639–2646. [Google Scholar] [CrossRef]
- Gao, Z.H.; Ji, J.; Fan, C.G.; Sun, J.H.; Zhu, J.P. Influence of sidewall restriction on the maximum ceiling gas temperature of buoyancy-driven thermal flow. Energy Build. 2014, 84, 13–20. [Google Scholar] [CrossRef]














| AR | A | B | C | Adj-R2 |
|---|---|---|---|---|
| 1 | 1.00022 | 0.45719 | 0.04195 | 0.96 |
| 2 | 1.02938 | 0.41419 | 0.0312 | 0.97 |
| 4 | 1.02412 | 0.42393 | 0.03081 | 0.98 |
| 8 | 1.03699 | 0.42914 | 0.02866 | 0.96 |
Disclaimer/Publisher’s Note: The statements, opinions and data contained in all publications are solely those of the individual author(s) and contributor(s) and not of MDPI and/or the editor(s). MDPI and/or the editor(s) disclaim responsibility for any injury to people or property resulting from any ideas, methods, instructions or products referred to in the content. |
© 2024 by the authors. Licensee MDPI, Basel, Switzerland. This article is an open access article distributed under the terms and conditions of the Creative Commons Attribution (CC BY) license (https://creativecommons.org/licenses/by/4.0/).
Share and Cite
Li, Z.; Liu, X.; Cheng, Y.; Li, G.; Xu, D.; Hou, W.; Zheng, R.; Li, B. Comparative Study of Longitudinal Temperature Decay of Weak and Strong Plumes with Different Tunnel Aspect Ratios. Fire 2024, 7, 431. https://doi.org/10.3390/fire7120431
Li Z, Liu X, Cheng Y, Li G, Xu D, Hou W, Zheng R, Li B. Comparative Study of Longitudinal Temperature Decay of Weak and Strong Plumes with Different Tunnel Aspect Ratios. Fire. 2024; 7(12):431. https://doi.org/10.3390/fire7120431
Chicago/Turabian StyleLi, Zhisheng, Xin Liu, Yanying Cheng, Gang Li, Dong Xu, Wei Hou, Rui Zheng, and Baiyi Li. 2024. "Comparative Study of Longitudinal Temperature Decay of Weak and Strong Plumes with Different Tunnel Aspect Ratios" Fire 7, no. 12: 431. https://doi.org/10.3390/fire7120431
APA StyleLi, Z., Liu, X., Cheng, Y., Li, G., Xu, D., Hou, W., Zheng, R., & Li, B. (2024). Comparative Study of Longitudinal Temperature Decay of Weak and Strong Plumes with Different Tunnel Aspect Ratios. Fire, 7(12), 431. https://doi.org/10.3390/fire7120431

