Next Article in Journal
A Novel Spectral–Spatial Methodology for Hierarchical Fuel Type Mapping in Mediterranean Ecosystems Using Sentinel-2 Timeseries and Auxiliary Thematic Data
Previous Article in Journal
Research on the Propagation Law of Fire Smoke on the Working Face of a Belt Conveyor
 
 
Font Type:
Arial Georgia Verdana
Font Size:
Aa Aa Aa
Line Spacing:
Column Width:
Background:
Article

Experimental Study on Cryogenic Compressed Hydrogen Jet Flames

1
State Key Laboratory of Chemical Safety, SINOPEC Research Institute of Safety Engineering Co., Ltd., Qingdao 266071, China
2
National Registration Center for Chemicals, Ministry of Emergency Management, Qingdao 266071, China
*
Author to whom correspondence should be addressed.
Fire 2024, 7(11), 406; https://doi.org/10.3390/fire7110406
Submission received: 23 September 2024 / Revised: 1 November 2024 / Accepted: 2 November 2024 / Published: 5 November 2024

Abstract

Cryogenic compressed hydrogen (CcH2) technology combines the advantages of high pressure and low temperature to achieve high hydrogen storage density without liquefying the hydrogen, which has broad application prospects. However, the safety concerns related to cryogenic hydrogen need to be carefully addressed beforehand. In the present work, cryogenic hydrogen jet flames are experimentally investigated for various release pressures and initial temperatures. The flame length and thermal radiation flux were measured for horizontally releasing with nozzle diameters of 0.5–2 mm, temperatures ranging from 93 to 298 K, and initial pressures of 2–10 MPa. The results show that the flame length is dependent on the nozzle diameter, stagnation pressure and temperature. At a given pressure, the flame length, size and total radiant power increase with decreasing temperature, which is attributed to the lower jet flow velocity and higher density of low-temperature hydrogen. The normalized flame length Lf/D is correlated with the pressure ratio and temperature ratio. The correlation can be used to predict the flame length at various hydrogen pressures and temperatures. The normalized flame length of the cryogenic hydrogen jet flame is greater than that of the room-temperature hydrogen jet flame. The radiative heat flux of the flame can be predicted by the mass flow rate of the jet flow.

1. Introduction

Hydrogen is a clean energy carrier with a wide range of sources and a high calorific value of combustion. Safe and efficient hydrogen storage and transport technology is the key to realizing hydrogen energy from technology validation to market rollout [1]. Cryogenic compressed hydrogen (CcH2) technology combines the advantages of high pressure and low temperature to achieve high hydrogen storage densities without the need to liquefy the hydrogen, offering promising applications. To develop norms and standards for the management of cryogenic hydrogen storage and transport, it is important to understand the accidental hydrogen release and dispersion characteristics as well as the flame properties for a range of realistic scenarios and environmental conditions.
The behavior of hydrogen leakage, as well as the characteristics of hydrogen ignition and flames, have been extensively studied. Hydrogen leaks can be classified into large-scale leaks and small-scale leaks. Compared to large-scale leaks caused by catastrophic tank ruptures, small-scale leaks, which occur due to loose bolts or damaged sealing materials, are more common. Similarly, small leaks are normally precursors to larger ones [2]. Xu et al. [3] conducted an in-depth analysis of a comprehensive hydrogen accident database that was compiled by the University of Houston. Their study revealed that out of the 676 recorded hydrogen-related incidents, a significant 59.98% did not have any identifiable external sources that could have initiated the ignition. This is because hydrogen has the lowest minimum ignition energy among all combustible gases; therefore, hydrogen leaking through pinholes, narrow gaps, or ruptured pipelines is likely to be ignited by sources such as static electricity.
Since Hawthorne began his pioneering research on expanding hydrogen flames [4], a large amount of previous work has focused on hydrogen jet flames at room temperature. In the presence of a point source of ignition or in the case of spontaneous combustion, a jet fire is likely to start when hydrogen leaks and forms a jet [5]. For the same hydrogen flow rate, the flame length from a circular leakage hole presents the most hazardous scenario compared to a slit nozzle. Therefore, the flame length from a circular leakage hole is used to assess safety [6]. Theoretically, Golovichev and Yasakov [7] predicted the ratio of the maximum flame length to the nozzle diameter L/D = 220 with respect to the hydrogen jet. Previous studies have investigated the flame length over the entire operating range from natural convection (plume) to forced convection (jet) and derived a calculation formula for the basic flame length [3,8,9]. Mogi et al. [6] studied a horizontal hydrogen jet flame with a pressure of 0.01–40 MPa and a nozzle diameter of 0.1–4 mm, and they developed an empirical correlation between the jet flame size and the release pressure and nozzle diameter. Liang Gong et al. [10] investigated the effects of barrier wall distance and release temperature on the flame width and temperature distribution of hydrogen jet flames. Takeno et al. [11] established a jet flame radiation flux calculation method suitable for high pressure ranges and wide nozzle diameter ranges. Molkov et al. [12] summarized the reports of previous experimental studies on hydrogen jet flames and developed a new dimensionless model applicable to high-pressure hydrogen under-expanded jet flames based on the dimensional analysis method.
At present, there have been some studies on cryogenic hydrogen jet flames, but most studies have focused on low jet pressures with only a small amount of research on high-pressure jet flames. Veser et al. [13] conducted experimental research on cryogenic compressed hydrogen jets and visualized the propagation process of turbulent flames using high-speed photography and background schlieren guidance technology. Friedrich et al. [14] conducted experiments on the release and ignition of horizontal low-temperature hydrogen jets (35–65 K, 0.7–3.5 MPa), studying the temperature, velocity, turbulence, and concentration distribution of different circular nozzle diameters during release. Panda et al. [15] measured the ignition distance and flame characteristics of hydrogen jets at constant temperature (37–295 K) and constant pressure (maximum 0.6 MPa). The results showed that the maximum ignition distance of the cryogenic hydrogen jet flame was larger, and the normalized flame length was found to be proportional to the jet Reynolds number. Gong et al. [16] developed a prediction equation for flame length and width for low-temperature conditions (140–300 K, 0.15–0.35 MPa) based on room-temperature flame data. Ba et al. [17] also developed a correlation model for predicting the trajectory temperature and radial temperature distribution of a CcH2 jet flame based on experimental data from Panda et al. [15]. Hall et al. [18] conducted low-temperature hydrogen leakage ignition experiments, observed flame reignition and secondary explosions, and predicted the safe distances for stable jet fires, initial deflagration, and secondary explosions based on the minimum calorific value of thermal radiation harm to the human body. Kobayashi et al. [19] developed a correlation equation for the length of cryogenic compressed hydrogen flames under the condition of releasing pressure up to 90 MPa. The predicted value of this equation is about 30% higher than that of the previously proposed equation for room-temperature hydrogen flames. The increase in the length of the cryogenic compressed hydrogen flame will lead to an increase in radiation intensity, increasing thermal radiation hazards. The determination of the radiation influence area of cryogenic hydrogen flames for different operating conditions through experimental and simulation research has important reference value for the safe distance design of hydrogen facilities.
In summary, existing research mainly focuses on high-pressure room-temperature or low-pressure cryogenic hydrogen jets, studying the leakage and ignition characteristics. There is a lack of experimental research on the jet flames and thermal radiation behaviors of cryogenic compressed hydrogen, and currently, only a few experimental results can be referred to. In this work, the characteristics of cryogenic compressed hydrogen jet flames are investigated, and predictive models for flame length and thermal radiation are developed.

2. Experimental System

The experimental system consists of two parts: a gas cooling and releasing system, and an ignition and measurement system. The gas cooling and releasing system mainly includes gas cylinder assembly, a heat exchanger, a liquid nitrogen storage tank, a vacuum insulation pipeline and a nozzle as well as corresponding control and monitoring instruments. In the experiment, helium gas was first used to blow the heat exchanger and vacuum insulation pipeline to ensure that there was no residual air inside the pipeline. Subsequently, liquid nitrogen was used to precool the heat exchanger and pipelines, and hydrogen gas was introduced into the coiled heat exchanger soaked in liquid nitrogen for cooling. Finally, hydrogen continued to cool in a buffer tank soaked in liquid nitrogen (24.8 L), further maintaining the temperature of hydrogen cooling and maintaining pressure stability. The pressure and temperature inside the buffer tank and at the nozzle outlet were measured by pressure sensors (PTS330G.30M.N41.3.A.120, Shanghai Gekun Electronic Technology Co., Ltd., Shanghai, China) and temperature sensors (KZWK/P-191, BNP-WZP-02-12M-A-PT100, Taizhou Nuowei Mechanical and Electrical Equipment Co., Ltd., Taizhou, China), using solenoid valves to ensure a constant pressure release at the nozzle exit. The entire low-temperature heat exchanger is designed with a vacuum layer on the outside, and the outlet pipeline is wrapped with insulation cotton to reduce the heat exchange between low-temperature hydrogen and the atmosphere and improve heat transfer efficiency, as shown in Figure 1.
The cooled high-pressure hydrogen gas was horizontally released through a circular nozzle made of 316 L steel and ignited by an electric spark igniter. The igniter started before the start of the jet and immediately went out after the jet was ignited. The ignition head was placed 0.4 m away from the nozzle exit along the jet centerline. The mass flow rate at the jet outlet was calculated based on the pressure and temperature inside the buffer tank, using the real gas isentropic expanding equations. The minimum flow rate of the experiment was 0.25 g/s (0.5 mm, 298 K, 2 MPa), and the maximum flow rate was 38.92 g/s (2 mm, 93 K, 10 MPa). The experiment was conducted in the early morning or evening when there was no wind. The humidity range in the data recorded during the experiment was 61–72%.
Due to the correlation between infrared flame length, visible flame length, and ultraviolet flame length, this study used infrared flame length to characterize flame length. The flame shape was recorded by the infrared camera FLIR T320 arranged on one side of the flame. The storage rate of flame infrared images was 50 fps. The flame length for each flame image is the horizontal distance from the tip of the flame to the nozzle. After the flame stabilized, 200 flame images were taken, and their average was calculated to obtain the flame lengths.
The flame thermal radiation was measured by the TS-34C thermal radiometer of Dongfang Dingfeng Technology (Beijing, China). This thermal radiation meter has a range of 200 kw/m2, a maximum temperature of 300 °C and a response time of 50 ms. The thermal radiometer was located on the same horizontal plane as the nozzle exit with a radial distance of 3 m from the center point of the flame axis. Table 1 shows the distance from the center of the flame to the nozzle outlet, which is half of the flame length measured in the experiment. The camera and thermal radiometer arrangement is shown in Figure 2.

3. Results and Discussion

3.1. Flame Length

The jet flame length is a key parameter for assessing the risk of hydrogen jet flame and determining the safety distance of hydrogen production equipment. The measured flame images and flame lengths of cryogenic hydrogen jets for various temperatures and initial pressures are shown in Figure 3.
In the experiments, a nozzle with a diameter of 2.0 mm was used. The experimental results showed that the flame length showed an increasing trend as the initial pressure increased and the initial temperature decreased. The flame length is about 5.11 m with an initial pressure of 10 MPa and an initial temperature of 93 K. When the initial temperature is 298 K, the flame length is about 2.23 m, which is less than half of the flame length for cryogenic conditions.
The jet flame lengths for various nozzle diameters and initial pressures are shown in Figure 4 with the initial temperature of 93 K. The flame length increases with the increase in nozzle diameter. When the initial pressure is 10 MPa, the flame length is 1.43 m with a nozzle diameter of 0.5 mm, 2.72 m with a nozzle diameter of 1 mm, and 3.98 m with a nozzle diameter of 1.5 mm.
The mass flow rate of released cryogenic hydrogen for various initial temperatures, pressures and nozzle diameters is shown in Figure 5. The hydrogen density is higher at higher pressure and lower temperature. As the hydrogen release pressure increases and the release temperature decreases, the mass flow rate at the leak outlet increases significantly. The mass flow at the nozzle outlet was calculated from the recorded pressure drop and volume in the tank. The hydrogen volume in the outlet pipe was ignored. The minimum mass flow rate is 0.445 g/s (298 K, 0.5 mm, 2 MPa), and the maximum mass flow rate is 46.3 g/s (93 K, 2 mm, 10 MPa), as shown in Figure 5.
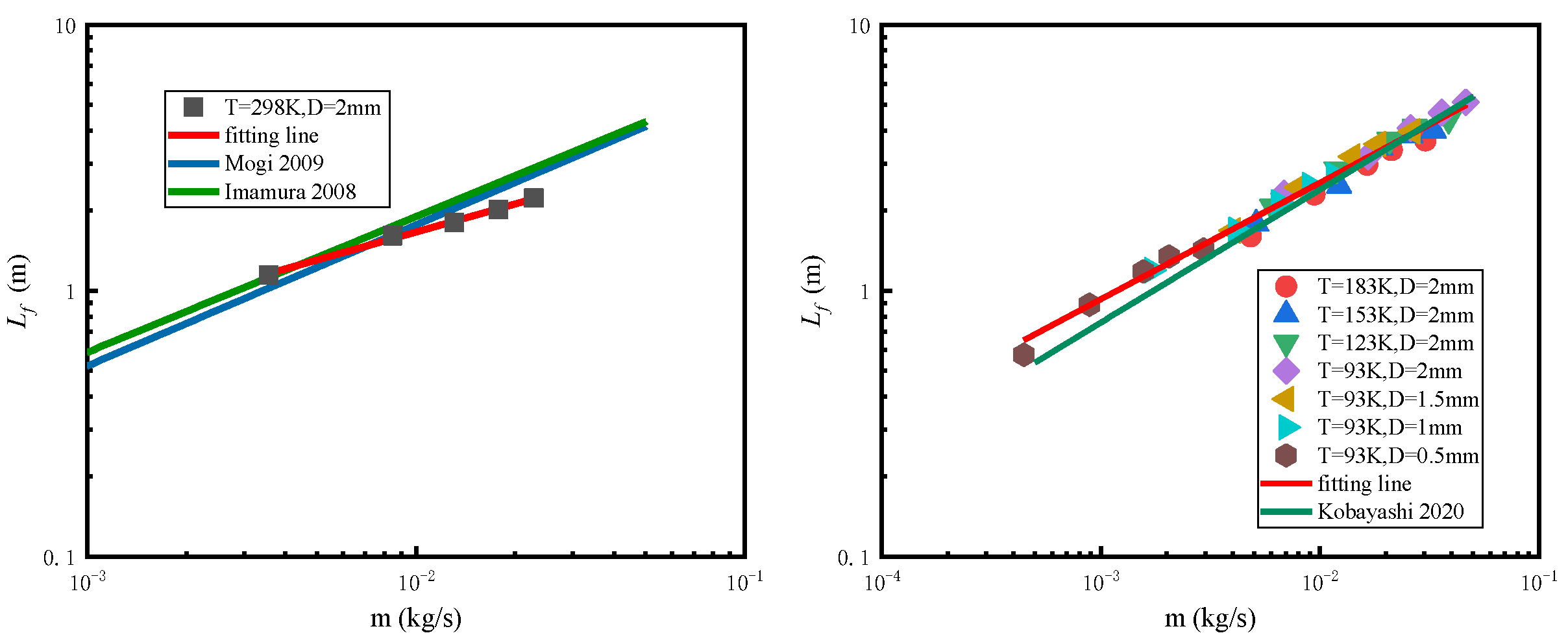
After a leakage of cryogenic hydrogen, a larger mass flow rate leads to a longer flame. This would increase the potential safety risk, and this report is consistent with previous results in the literature [6]. The cryogenic hydrogen jet flame length (Lf) and mass flow rate ( m ˙ ) can be expressed as power functions [19]. The experimental data were fitted as shown below:
L f = 19.133 m ˙ 0.438
As shown in Figure 6, there is no significant correlation between the flame length and nozzle diameter for cryogenic hydrogen jet flames with mass flow rate as the variable, which is in agreement with the results of Mogi and Horiguchi [6]. The experimental results are inconsistent with Kalghatgi’s [20] conclusion that the flame length increases with increasing leak diameter at a constant mass flow rate.
Under room-temperature conditions, the flame lengths measured in this study showed a slower increase in flame length compared to the flame lengths measured by Mogi et al. [6] and Imamura et al. [21]. This is due to the fact that a horizontal cryogenic hydrogen jet flame was produced in this study. The larger the mass flow rate, the more the flame is affected by buoyancy and the flame tail rises significantly. The data are in good agreement with the experimental work of Kobayashi et al. [19].
According to previous studies [21,22], the dimensionless cryogenic hydrogen flame length (Lf) is a function of the product of the release pressure ratio and the release temperature ratio. Similarly, a predictive model is proposed to describe the dimensionless flame length of a cryogenic hydrogen jet:
L f / D = c 1 ( P 0 / P r ) c 2 ( T r / T 0 ) c 3
where Lf is the hydrogen flame length, D is the nozzle diameter, P0 is the release pressure and Pr is atmospheric pressure. Tr is the room temperature and T0 is the release temperature. Respectively, c1, c2, and c3 are constant coefficients.
For room temperature (T0 = Tr = 298 K), the model can be expressed as
L f / D = c 1 × ( P 0 / P r ) c 2
The correlation between the length of the hydrogen jet flame and the release pressure at room temperature can be expressed as
L f / D = 181 × ( P 0 / P r ) 0.395
For the condition of low initial temperature (93, 123, 153, and 183 K), the following correlation can be obtained by data fitting:
L f / D = 181 ( P 0 / P r ) 0.395 ( T r / T 0 ) 0.707
The experimental results are fitted as shown in Figure 7.
Instead of calculating the flame length from the exit parameter, molkov [23] proposes a dimensionless flame length calculation method. The derived dimensionless flame lengths used for correlation can be re-expressed in terms of Reynolds and Froude numbers as
ρ 1 ρ r ( U 1 C N ) 3 = g μ 1 ρ r C N 3 R e F r
where ρ 1 is the hydrogen outlet density, and the Reynolds and Frontier numbers are defined as
Re = ρ r D U 1 μ 1
F r = U N 2 D g
The local speed of sound for cryogenic hydrogen is defined as
C N = γ R H 2 T N ( 1 b ρ N )
which is in the following conservative equation:
L f / D = 1403 X 0.196 , X = ρ 1 ρ r ( U 1 C N ) 3 < 0.0001
L f / D = 230 , 0.0001 < X = ρ 1 ρ r ( U 1 C N ) 3 < 0.07
L f / D = 805 X 0.47 , X = ρ 1 ρ r ( U 1 C N ) 3 > 0.07
There are three distinct parts in the dimensionless correlation, the conventional buoyancy controlled jet, the momentum controlled (expanding jet) and the under-expanding jet.
Here, the hydrogen is at the actual exit at the speed of sound, U1 = CN, The room-temperature condition is shown in Figure 8. The fitted equation is
L f / D = 493 ( ρ 1 ρ r ) 0.47
The low-temperature condition is shown in Figure 9. The fitted equation is
L f / D = 654 ( ρ 1 ρ r ) 0.47
For momentum-controlled highly under-expanded jet flames, the dimensionless length of the jet flame is significantly higher for cryogenic conditions than for room-temperature conditions with coefficients that are slightly lower than those of Molkov’s [23] length prediction model for under-expanded jet flames.

3.2. Thermal Radiation

Cryogenic hydrogen produces higher thermal radiant energy during combustion processes. Due to the transparency of the hydrogen flame, its thermal radiation characteristics are different from those of conventional hydrocarbon fuels. The results show that the thermal radiation of hydrogen flame is mainly determined by the infrared radiation of water vapor, while the combustion of cryogenic hydrogen reduces the radiation efficiency of its flame. However, the radiation levels are still high. It is of great significance to measure the thermal radiation of flames and study the influence range of its thermal effect.
The thermal radiation data are averaged over about 20 s after the cryogenic hydrogen flame has stabilized. The variation in thermal radiation with pressure for various temperatures and nozzle diameters is shown in Figure 10 and Figure 11.
As the temperature of the hydrogen gas decreases or the pressure increases, there is a significant increase in the intensity of thermal radiation from the hydrogen jet flame. An increase in the leakage aperture also enhances the thermal radiation intensity of the hydrogen jet flame. Increasing the pressure of the hydrogen or decreasing the temperature of the hydrogen enhances the bulk density of the hydrogen while increasing the mass flow rate of the leakage. This means that more mass of hydrogen is burning, so both the flame length and the thermal radiation increase. Within certain limits, an increase in flame length is usually accompanied by an enlargement of the combustion zone, which increases the total heat release rate and leads to higher thermal radiation. Thermal radiation originates mainly from the hot gases in the flame and the products of combustion (e.g., water vapor). The longer the flame, the larger the high-temperature region and the higher the heat radiation. The correlation between thermal radiation and mass flow rate, as shown in Figure 12, can be expressed as
Q = 126155 m 1 . 23
The intensity of thermal radiation shows a significant power relationship with the mass flow rate of the cryogenic hydrogen outlet.

4. Conclusions

The prediction of the size and radiation heat flux of cryogenic compressed hydrogen jet flames is crucial for assessing the safety risks of the cryogenic hydrogen system. This study conducted experimental measurements on cryogenic compressed hydrogen jet flames for various release conditions, including different leakage nozzle diameters (0.5 to 2 mm), initial release pressures (2 to 10 MPa), and initial temperatures (93 to 298 K). Due to the large mass flow rate at higher release pressure and lower release temperature, the length of the cryogenic compressed hydrogen jet flame increases with the increase in release pressure and the decrease in release temperature. The length of the cryogenic hydrogen jet flame has been correlated with the mass flow rate. An empirical correlation between the normalized flame length Lf/D and the jet temperature ratio Tr/T0 has been developed, which can be used to quickly predict the length of cryogenic compressed hydrogen jet flames. The predictive ability of the normalized flame length correlation established in this study exceeds that of experimental correlations based on the Froude number and Reynolds number in the literature. In addition, an empirical correlation has been developed for predicting the radiation heat flux of cryogenic compressed hydrogen jet flames.

Author Contributions

Conceptualization: S.N. and A.Y.; Investigation: S.N. and P.C.; Formal analysis: S.N., Y.Z. and H.L.; Validation: S.N.; Writing—original draft: S.N.; Writing—review and editing: H.L., Y.L. and A.Y. All authors have read and agreed to the published version of the manuscript.

Funding

This research was funded by The National Key Research and Development Program of China under the contract No. 2023YFE0199100.

Institutional Review Board Statement

Not applicable.

Informed Consent Statement

Not applicable.

Data Availability Statement

The original contributions presented in the study are included in the article, further inquiries can be directed to the corresponding author.

Conflicts of Interest

Authors Shishuai Nie, Peng Cai, Huan Liu, Yonghao Zhou, Yi Liu and Anfeng Yu were employed by the company SINOPEC Research Institute of Safety Engineering Co., Ltd. The authors declare that the research was conducted in the absence of any commercial or financial relationships that could be construed as a potential conflict of interest.

References

  1. Dincer, I.; Aydin, M.I. New paradigms in sustainable energy systems with hydrogen. Energy Convers. Manag. 2023, 283, 116950. [Google Scholar] [CrossRef]
  2. Ferreira, O.; Fonseca, A.; Adame, C.F.; Bundaleski, N.; Robinson, R.; Teodoro, O.M. Advancing hydrogen leak detection: Design and calibration of reference leaks. Int. J. Hydrogen Energy 2024, 68, 1090–1096. [Google Scholar] [CrossRef]
  3. Xu, B.P.; Wen, J.X.; Dembele, S.; Tam, V.H.Y.; Hawksworth, S.J. The effect of pressure boundary rupture rate on spontaneous ignition of pressurized hydrogen release. J. Loss Prev. Process Ind. 2009, 22, 279–287. [Google Scholar] [CrossRef]
  4. Hawthorne, W.R.; Weddell, D.S.; Hottel, H.C. Mixing and combustion in turbulent gas jets. In Proceedings of the Symposium on Combustion and Flame, and Explosion Phenomena, Madison, WI, USA, 7–11 September 1948; Elsevier: Amsterdam, The Netherlands, 1948; Volume 3, pp. 266–288. [Google Scholar]
  5. Cermellia, D.; Curròa, F.; Vairob, T.; Fabianoa, B. Hydrogen jet-fire: Accident investigation and implementation of safety measures for the design of a downstream oil plant. Chem. Eng. Trans. 2018, 67, 415–420. [Google Scholar] [CrossRef]
  6. Mogi, T.; Horiguchi, S. Experimental study on the hazards of high-pressure hydrogen jet diffusion flames. J. Loss Prev. Process Ind. 2009, 22, 45–51. [Google Scholar] [CrossRef]
  7. Golovichev, V.I.; Yasakov, V.A. Analysis of a reacting submerged hydrogen jet. Combust. Explos. Shock. Waves 1972, 8, 41–56. [Google Scholar] [CrossRef]
  8. Becker, H.A.; Liang, D. Visible length of vertical free turbulent diffusion flames. Combust. Flame 1978, 32, 115–137. [Google Scholar] [CrossRef]
  9. Baev, V.K.; Yasakov, V.A. Effect of lifting forces on the length of diffusion flames. [Calculated and experimental data for Reynolds number of H, CO, C/sub 2/H/sub 2/, CH/sub 4/, C/sub 3/H/sub 8/, C/sub 4/H/sub 10/in flames]. Fiz. Goreniya Vzryva 1974, 10, 835–841. [Google Scholar]
  10. Gong, L.; Han, Y.; Zheng, X.; Wang, H.; Mo, T.; Zhang, Y.; Yao, Y. Effect of distance of vertical barrier wall and release temperature on the hydrogen jet flame width and temperature distribution induced by impingement of ignited release of cryogenic hydrogen. Combust. Flame 2024, 259, 113133. [Google Scholar] [CrossRef]
  11. Takeno, K.; Yamamoto, S. Practical approaches for evaluating radiative heat from high pressure hydrogen flame. Int. J. Hydrogen Energy 2024, 67, 516–520. [Google Scholar] [CrossRef]
  12. Molkov, V.; Saffers, J.B. The correlation for non-premixed hydrogen jet flame length in still air. In Proceedings of the 10th International Symposium on Fire Safety Science, Baltimore, MD, USA, 19–24 June 2011; International Association for Fire Safety Science: Quincy, MA, USA, 2011. [Google Scholar]
  13. Veser, A.; Kuznetsov, M.; Fast, G.; Friedrich, A.; Kotchourko, N.; Stern, G.; Schwall, M.; Breitung, W. The structure and flame propagation regimes in turbulent hydrogen jets. Int. J. Hydrogen Energy 2011, 36, 2351–2359. [Google Scholar] [CrossRef]
  14. Friedrich, A.; Breitung, W.; Stern, G.; Veser, A.; Kuznetsov, M.; Fast, G.; Oechsler, B.; Kotchourko, N.; Jordan, T.; Travis, J.; et al. Ignition and heat radiation of cryogenic hydrogen jets. Int. J. Hydrogen Energy 2012, 37, 17589–17598. [Google Scholar] [CrossRef]
  15. Panda, P.P.; Hecht, E.S. Ignition and flame characteristics of cryogenic hydrogen releases. Int. J. Hydrogen Energy 2017, 42, 775–785. [Google Scholar] [CrossRef]
  16. Gong, L.; Mo, T.; Han, Y.; Zheng, X.; Yang, S.; Yao, Y.; Zhang, Y. Experimental investigation on the behaviors and temperature distribution of cryogenic hydrogen jet flames. Int. J. Hydrogen Energy 2024, 50, 1062–1074. [Google Scholar] [CrossRef]
  17. Ba, Q.; Zhao, Z.; Zhang, Y.; Liu, Y.; Christopher, D.M.; Ge, P.; Li, X. Modeling of cryogenic compressed hydrogen jet flames. Int. J. Hydrogen Energy 2024, 51, 917–927. [Google Scholar] [CrossRef]
  18. Hall, J.E.; Hooker, P.; Willoughby, D. Ignited releases of liquid hydrogen: Safety considerations of thermal and overpressure effects. Int. J. Hydrogen Energy 2014, 39, 20547–20553. [Google Scholar] [CrossRef]
  19. Kobayashi, H.; Muto, D.; Daimon, Y.; Umemura, Y.; Takesaki, Y.; Maru, Y.; Yagishita, T.; Nonaka, S.; Miyanabe, K. Experimental study on cryo-compressed hydrogen ignition and flame. Int. J. Hydrogen Energy 2020, 45, 5098–5109. [Google Scholar] [CrossRef]
  20. Kalghatgi, G.T. Lift-off heights and visible lengths of vertical turbulent jet diffusion flames in still air. Combust. Sci. Technol. 1984, 41, 17–29. [Google Scholar]
  21. Imamura, T.; Hamada, S.; Mogi, T.; Wada, Y.; Horiguchi, S.; Miyake, A.; Ogawa, T. Experimental investigation on the thermal properties of hydrogen jet flame and hot currents in the downstream region. Int. J. Hydrogen Energy 2008, 33, 3426–3435. [Google Scholar] [CrossRef]
  22. Yu, X.; Wu, Y.; Zhao, Y.; Wang, C. Flame characteristics of under-expanded, cryogenic hydrogen jet fire. Combust. Flame 2022, 244, 112294. [Google Scholar] [CrossRef]
  23. Molkov, V. Fundamentals of hydrogen safety engineering II. 2012. Available online: https://www.bookboon.com (accessed on 1 August 2024).
Figure 1. Hydrogen cooling and releasing system.
Figure 1. Hydrogen cooling and releasing system.
Fire 07 00406 g001
Figure 2. Thermal radiometer and camera arrangement.
Figure 2. Thermal radiometer and camera arrangement.
Fire 07 00406 g002
Figure 3. Flame images and flame lengths for various temperatures and initial pressures.
Figure 3. Flame images and flame lengths for various temperatures and initial pressures.
Fire 07 00406 g003
Figure 4. Flame lengths for various nozzle diameters and initial pressures.
Figure 4. Flame lengths for various nozzle diameters and initial pressures.
Fire 07 00406 g004
Figure 5. Hydrogen mass flow rate for various initial temperatures, pressures and nozzle diameters.
Figure 5. Hydrogen mass flow rate for various initial temperatures, pressures and nozzle diameters.
Fire 07 00406 g005
Figure 6. The relationship between flame length and mass flow rate (left: room temperature; right: cryogenic) [6,19,21].
Figure 6. The relationship between flame length and mass flow rate (left: room temperature; right: cryogenic) [6,19,21].
Fire 07 00406 g006
Figure 7. Flame length as a function of release pressure and temperature and the ratio of atmospheric pressure to temperature [6,21].
Figure 7. Flame length as a function of release pressure and temperature and the ratio of atmospheric pressure to temperature [6,21].
Fire 07 00406 g007
Figure 8. The flame length as a function of the ratio of the release density to atmospheric density and for room-temperature hydrogen.
Figure 8. The flame length as a function of the ratio of the release density to atmospheric density and for room-temperature hydrogen.
Fire 07 00406 g008
Figure 9. The flame length as a function of the ratio of the release density to atmospheric density and for cryogenic hydrogen.
Figure 9. The flame length as a function of the ratio of the release density to atmospheric density and for cryogenic hydrogen.
Fire 07 00406 g009
Figure 10. Heat radiation for various temperatures.
Figure 10. Heat radiation for various temperatures.
Fire 07 00406 g010
Figure 11. Heat radiation for various nozzle diameters.
Figure 11. Heat radiation for various nozzle diameters.
Fire 07 00406 g011
Figure 12. Heat radiation for various mass flow rates.
Figure 12. Heat radiation for various mass flow rates.
Fire 07 00406 g012
Table 1. Position of the radiometer.
Table 1. Position of the radiometer.
Release Pressure (MPa)Release Temperature
(K)
Axial Distance
(m)
Release Pressure (MPa)Release Temperature
(K)
Axial Distance
(m)
22980.572931.16
42980.814931.60
62980.906932.05
82981.018932.34
102981.1210932.56
21830.802930.84
41831.154931.23
61831.496931.60
81831.698931.78
101831.8410931.99
21530.892930.60
41531.244930.85
61531.726931.08
81531.928931.25
101532.0010931.36
21231.042930.29
41231.434930.44
61231.856930.59
81232.078930.67
101232.2010930.71
Disclaimer/Publisher’s Note: The statements, opinions and data contained in all publications are solely those of the individual author(s) and contributor(s) and not of MDPI and/or the editor(s). MDPI and/or the editor(s) disclaim responsibility for any injury to people or property resulting from any ideas, methods, instructions or products referred to in the content.

Share and Cite

MDPI and ACS Style

Nie, S.; Cai, P.; Liu, H.; Zhou, Y.; Liu, Y.; Yu, A. Experimental Study on Cryogenic Compressed Hydrogen Jet Flames. Fire 2024, 7, 406. https://doi.org/10.3390/fire7110406

AMA Style

Nie S, Cai P, Liu H, Zhou Y, Liu Y, Yu A. Experimental Study on Cryogenic Compressed Hydrogen Jet Flames. Fire. 2024; 7(11):406. https://doi.org/10.3390/fire7110406

Chicago/Turabian Style

Nie, Shishuai, Peng Cai, Huan Liu, Yonghao Zhou, Yi Liu, and Anfeng Yu. 2024. "Experimental Study on Cryogenic Compressed Hydrogen Jet Flames" Fire 7, no. 11: 406. https://doi.org/10.3390/fire7110406

APA Style

Nie, S., Cai, P., Liu, H., Zhou, Y., Liu, Y., & Yu, A. (2024). Experimental Study on Cryogenic Compressed Hydrogen Jet Flames. Fire, 7(11), 406. https://doi.org/10.3390/fire7110406

Article Metrics

Back to TopTop