Next Article in Journal
Investigation of the Minimum Ignition Energy Required for Combustion of Coal Dust Blended with Fugitive Methane
Previous Article in Journal
Particulate Matter Production from Prescribed Burns in the Chicagoland Area
 
 
Font Type:
Arial Georgia Verdana
Font Size:
Aa Aa Aa
Line Spacing:
Column Width:
Background:
Article

A Deep Learning Approach for Predicting Aerial Suppressant Drops in Wildland Firefighting Using Automatic Dependent Surveillance–Broadcast Data

1
Department of Forest and Rangeland Stewardship, Colorado State University, 1472 Campus Delivery, Fort Collins, CO 80523, USA
2
Human Dimensions Program, USDA Forest Service, Rocky Mountain Research Station, 240 W Prospect Road, Fort Collins, CO 80526, USA
3
USDA Forest Service, Rocky Mountain Research Station, 800 East Beckwith, Missoula, MT 59801, USA
*
Author to whom correspondence should be addressed.
Fire 2024, 7(11), 380; https://doi.org/10.3390/fire7110380
Submission received: 30 August 2024 / Revised: 21 October 2024 / Accepted: 22 October 2024 / Published: 25 October 2024

Abstract

This study utilizes Automatic Dependent Surveillance–Broadcast (ADS-B) data sourced by the OpenSky Network to curate a dataset aimed at enhancing the precision of aerial suppressant drop predictions in wildland firefighting. By amalgamating ADS-B data with Automated Telemetry Unit (ATU) drop information, this research constructs a reliable base for analyzing the spatial aspects of aerial firefighting operations. Using sequential machine learning models, specifically Long Short-Term Memory (LSTM) networks and 1D Convolutional Neural Networks (1DCNN), the study interprets complex flight dynamics to predict drop locations. The dataset, covering 2017 to 2023, is labeled and segmented to reflect accurate suppressant release events, facilitating the distinction between drop and non-drop activities in fixed-wing aircraft. The LSTM model demonstrated strong predictive performance with an F1 score of 0.922, effectively identifying suppressant drop events with high accuracy. This model’s reliable predictions can significantly improve situational awareness in real-time aerial firefighting operations, enabling more informed decision-making and better coordination of resources during wildfire events.

1. Introduction

Wildfires have become increasingly prevalent across various global regions, resulting in increasing risks to human health and habitation, natural systems, as well as a corresponding increase in aviation suppression operations globally. Fixed-wing aircraft used in wildland firefighting, such as large air tankers (LATs), very large air tankers (VLATs), and scoopers, play an important role in the management of wildfires [1,2]. With their increased utilization, interest in effectiveness and safety has also increased [3,4]. However, monitoring and tracking their operations, including accurately pinpointing drop locations, pose significant challenges [5]. In the United States, individual contracted vendors are responsible for reporting the locations of suppressant drops. However, the lack of standardization in data reporting, with each vendor providing data in different formats, complicates the collection and post-processing efforts. These challenges hinder the availability of data for real-time tracking.
Automatic Dependent Surveillance–Broadcast data (ADS-B) is a surveillance technology required by the Federal Aviation Administration (FAA) for all aircraft operating in Class A airspaces nationwide [6]. The OpenSky Network, a real-time global flight tracking system, provides comprehensive flight trajectory data that could significantly enhance firefighting aircraft tracking and management, and thereby effectiveness [7,8]. This system’s open-source nature allows researchers to access Mode S transponder data from each aircraft. By leveraging the OpenSky Network, raw trajectory data can be extracted for further analysis, identifying specific flight patterns and behaviors such as aerial suppressant drops. The integration of this spatial data with machine learning techniques enables us to train predictive models that consider flight characteristics during operations, thus predicting the drop locations.
Despite previous studies utilizing the OpenSky Network for automated flight pattern identification [9,10,11], research identifying suppressant drop locations using aircraft tracking remains unexplored. Aerial drops conducted by wildland firefighting aircraft are unique such that they reduce the plane’s cargo load by up to 73.5 metric tons over a short distance [12]. This requires pilots to ‘pitch up’ and increase acceleration. This maneuver allows the aircraft to regain its lost altitude quickly and ensures safe clearance of trees and other potential obstacles in the wildland environment. The swift changes in flight dynamics during this operation make it an interesting case study for aerial trajectory analysis. Others have employed rule-based and statistical methods to discern take-offs, landings, and holding patterns related to firefighting, yet the identification of suppressant drop locations was not addressed [9].
Currently, the tracking of aircraft drop locations relies on automated telemetry units (ATU), necessitating post-flight data uploads by each contracted vendor, followed by additional data processing steps. This approach limits the tracking to known drop locations, omitting the aircraft’s position during transit. Our methodology leverages real-time flight tracking data, offering immediate and continuous aircraft location information, not just at drop locations. This enhancement in data availability significantly improves situational awareness for ground-based firefighting teams, thereby increasing safety and operational response effectiveness.
Further, only aircraft contracted through the US Forest Service (USFS) are required to maintain and report the data. Thus, retardant drop data from airtankers contracted through the state of California and military aircraft using the Module Airborne Fire Fighting System (MAFFS) are not available through the ATU analysis process although these diverse aircraft from different management agencies will support the same fires. The absence of consistent ATU data may create an incomplete picture of fire suppression actions and limit our ability to understand the effectiveness of retardants. Implementing our methodology allows us to have a more complete picture of how aviation is supporting suppression actions.
This study proposes an approach to collect ADS-B flight data of airtankers and combine them with the historically recorded airtanker suppressant drop data. Integrating both data sources may support future research in studying airtanker flight patterns and drop locations. To demonstrate the use of those data, we establish test cases by building sequential machine learning models to predict suppressant drop location during wildland firefighting operations.
In this study, we introduce a dataset derived from the detailed Mode S transponder data that reflects the flight behavior of firefighting aircraft. This dataset is part of an effort to improve the tracking and monitoring of aerial firefighting operations. We utilize sequential machine learning models, namely Long Short-Term Memory (LSTM) and 1D Convolutional Neural Networks (1DCNN), to analyze this data. Both these techniques offer unique advantages in processing sequential data to detect temporal patterns in flight data [13,14]. Our goal is to better predict suppressant drop locations, aiding in the efficient deployment and monitoring of firefighting resources.

2. Materials and Methods

The map visualizes the spatial distribution of data gathered for our study within the western United States, encompassing latitudes from 30° to 50° North and longitudes from 125° to 100.5° West (Figure 1). The red dots indicate the precise locations of wildfire suppressant drops where comprehensive flight information was available from the OpenSky Network’s tracking data. These points align with regions historically impacted by wildfires, demonstrating where aerial suppression has been deployed and where our data collection was most reliable.
To distinguish individual aircraft within the OpenSky database, we collected a set of Mode S codes corresponding to aircraft contracted by the USFS for wildland firefighting tasks. This effort began by individually identifying tail numbers of aircraft known to participate in wildfire suppression (https://fireaviation.com/, accessed on 21 August 2023). Subsequently, we extracted the corresponding Mode S codes (Base 16/Hex) from the FAA flight registry (https://registry.faa.gov/aircraftinquiry/Search/NNumberInquiry, accessed on 21 August 2023). Through this process, we identified unique codes, each linked to a specific aircraft involved in firefighting operations. The identification of Mode S codes enables the targeted querying of individual aircraft data, which is needed for the detailed analysis and tracking of aircraft flight patterns during operation.
Our study relies on two main datasets: ADS-B data and ATU drop data. Both are needed for the precise identification and labeling of aerial drop locations in aircraft operations during wildland firefighting. The ATU data provide an established ground truth for the location of firefighting suppressant drops. These units are required on air-tankers contracted by the USFS, documenting the aerial application of water or fire suppressant during wildfire incidents. Spanning from 2017 to 2023, the data are represented as polyline records. These records estimate the opening and closing points of the aircraft’s release door mechanism, indicating the start and end points of a drop. These insights into when and where an aircraft executed the drops serve as reference points. We align these points with ADS-B flight trajectory information, identifying known drop locations. This correlation process allows us to extract flight trajectory information that closely aligns with actual drop events.
The ADS-B dataset, sourced from the OpenSky Network, offers a stream of flight tracking data, capturing the dynamics of an aircraft’s flight patterns [8]. This dataset includes latitude, longitude, and time, which are needed in the construction of a space-time bounding box encapsulating the relevant drop data. The ADS-B data exhibits a two-dimensional array structure of form (t, n). Here, ‘t’ symbolizes discrete time intervals (measured at one-second intervals), while ‘n’ represents different flight characteristics. These attributes include altitude (m), speed (m/s), vertical climbing rate (m/s), and others that offer insights into the aircraft’s operation. The data downloading process was implemented using the PyOpenSky API, which facilitated the retrieval of ADS-B data through structured requests [15,16]. Using the ADS-B data together with ATU drop data, we developed a comprehensive dataset that integrates flight path information with fire suppressant drop locations, capturing the dynamic behavior of aircraft during active firefighting operations (Figure 2).
Above ground level (AGL) data acquisition is important for enhancing the understanding of aerial firefighting maneuvers, as aircraft must lower their AGL altitude for effective material drops with minimal dispersion [12]. We calculated the AGL drop height by leveraging the Google Earth Engine API [17] to obtain ground level surface elevations at specified drop locations and then determining the difference with the aircraft’s altimeter readings from the ADS-B dataset. Consequently, our refined dataset includes ADS-B data, ATU drop data locations, and the calculated AGL height data, providing a complete view of aerial drop practices and associated flight characteristics including aircraft AGL.
To guarantee the reliability of our dataset in accurately identifying ADS-B data corresponding to drop events, we employed a comprehensive data labeling and preprocessing strategy. This strategy validated the spatial overlay between ADS-B flight trajectory data and ATU drop data, ensuring the dataset’s integrity and applicability. First, we verified that each ADS-B data entry was correctly associated with its unique aircraft code. We queried the OpenSky Network request with the unique Mode S codes of each aircraft. This step confirmed that the designated aircraft were conducting the drops, aligning with the information from the ATU dataset. We then validated the spatial congruence between ADS-B and ATU drop data to ensure that the ADS-B data accurately reflected aircraft positions during firefighting suppressant drop events. This validation process involved comparing the geographical coordinates and timestamps from both data sources, ensuring precise correspondence and alignment, as exemplified by the flight paths and suppressant release locations depicted in the figure below (Figure 3). This alignment is important for accurately identifying the suppressant drop locations during aerial firefighting operations. By cross-referencing the ADS-B and ATU data, we ensure the precise synchronization of drop events, enabling more accurate modeling and analysis of aerial suppressant operations.
The OpenSky Network is a ground-based receiver network, which can result in interrupted signals from aircraft, particularly during low-altitude operations in mountainous areas commonly encountered in wildland firefighting [18]. To address this, we used a data filtering process. This process identified training samples that exhibit an almost uninterrupted stream of last contact timings. Specifically, we selected samples that contained 26 unique last contact numbers within the 30 s interval, enabling us to isolate and remove samples with limited and inconsistent coverage. Consequently, this improves the quality of the dataset by ensuring a selection composed of samples that consistently document the moments leading up to and including the initiation of aerial drops. The resulting dataset offers a more accurate and reliable reflection of an aircraft’s trajectory and operational patterns during drop and non-drop sequences (Figure 4).
Given the short timing of aerial drop events, we chose a 30 s timeframe for data collection surrounding drop events. This decision was informed by the ATU dataset, which records the time the suppressant release mechanism was open, showing average drop times of 1.79 s for scoopers, 2.63 s for LATs, and 2.66 s for VLATs. By capturing information 15 s before and after the start of drops identified in the ATU dataset, we ensured that our dataset contained comprehensive and contextually relevant information surrounding aerial drop events. This approach enabled a more thorough analysis of the operational dynamics during these maneuvers.
The process of creating 30 s samples for drop and non-drop activities involves segmenting continuous flight data into smaller time intervals, enabling the capture of specific operational events. In the context of aerial firefighting, these samples help us to analyze and understand the trajectory and operational patterns of fixed-wing aircraft. By dividing the data into these manageable segments, we derive understanding of the sequence of events leading up to and during aerial drops, facilitating a detailed examination of flight parameters such as altitude, velocity, and location during moments of operation. The flow of this segmented data into the model training process, from preprocessing to final prediction, is illustrated in Figure 5, providing a visual representation of the modeling workflow.
In the context of wildland firefighting operations, where aircraft activities are predominantly non-drop activities with the actual suppressant drops being relatively infrequent, there arises a natural imbalance in the dataset. This imbalance reflects the reality of operational flights, with most data representing transit or preparation phases compared to the less frequent suppressant drop events. This scenario poses a challenge for data analysis and model training, as a model trained on such a dataset might become biased towards predicting non-drop activities, neglecting the suppressant drop predictions.
In the data acquisition phase, we gathered ADS-B data for each aircraft engaged in wildfire suppression throughout the course of an entire day. To accurately differentiate between drop and non-drop activities, we applied the same filtering criteria across all data segments. We separated the drop segments from non-drop segments to ensure that non-drop samples were devoid of any ADS-B data from 15 s before to 15 s after an actual drop event.
In our study, we designed two sequential neural network models using the Keras library in Python 3.10, which is integrated within the TensorFlow framework [19,20]. This approach allowed us to leverage the Keras API to construct our model architectures to analyze sequential flight information. The architecture of the 1DCNN is structured with a Conv1D layer, employing 8 filters with a kernel size of 3 and a rectified linear unit activation function (‘relu’). The input sequence, which has the shape (30, n), indicates 30 s time steps with n features at each step. Following the initial convolutional layer, a MaxPooling1D layer with a pool size of 2 is applied. The model then flattens the pooled output and applies a dense layer with 64 neurons, utilizing a ‘relu’ activation function. A Dropout layer with a rate of 0.5 is included. The architecture concludes with a Dense output layer comprising a single neuron with a ‘sigmoid’ activation function. This configuration is chosen for binary classification tasks, where the output represents the probability of the input sequence being classified as a ‘drop’ event. The model is compiled with the ‘adam’ optimizer and ‘binary_crossentropy’ loss function [21].
The LSTM architecture begins with an LSTM layer consisting of 30 units. The LSTM layer’s output is then fed into a Dropout layer with a rate of 0.5 to prevent overfitting by randomly omitting a portion of the features during training. This is followed by a Dense output layer with a single neuron and a ‘sigmoid’ activation function, suitable for binary classification tasks where the goal is to predict the likelihood of a ‘drop’ event occurrence. Like the 1DCNN model, the LSTM was compiled using the ‘adam’ optimizer and ‘binary_crossentropy’ loss function.
Both types of models were trained over 10 epochs, with 70% of the samples allocated for training and the remaining 30% reserved for performance evaluation. Given the imbalanced nature of the dataset, we specifically calculated precision, recall, and F1 scores to assess the models’ performance, particularly their ability to accurately identify the less frequent suppressant drop events. The F1 score was particularly valuable in this context, as it provides a balanced measure of precision and recall, helping to ensure that the models are effective in predicting minority-class events. This evaluation provided an understanding of how well the models would perform in real-world scenarios, particularly in accurately detecting suppressant drop events.
During the validation phase, we tested different combinations of input covariates to determine which factors were most influential in the predictive accuracy of our models. Specifically, we examined various combinations of vertical climbing rate, aircraft velocity, and height above ground level to understand their impact on the models’ ability to accurately identify suppressant drop events. This process involved evaluating the contribution of each covariate set to the models’ precision, recall, and F1 scores, providing insights into which factors most significantly influenced the models’ performance.

3. Results

Using our curated dataset, we identified 1709 high-quality drop samples, each verified as a suppressant drop location based on our data filtering rules. Additionally, we compiled 21,536 non-drop samples, each representing a distinct 30 s flight interval during non-drop periods, ensuring no temporal overlap with the drop samples. These samples were used for training and validating our LSTM and 1DCNN models to capture the short-duration wildfire suppressant drop.
We validated the models’ performance using a separate set of flight sequences not included in the training phase, assessing them on precision, recall, and F1 score metrics. The results demonstrated that both models were effective in identifying suppressant drop events. The LSTM model performed well when using vertical climbing rate and height above ground level as covariates. This model achieved an F1 score of 0.922, with a precision of 0.964 and a recall of 0.884 (Table 1).
We also showcase the classifier’s utility by employing an LSTM model trained on covariates including the vertical climbing rate and height above ground level. This model is applied to an unseen dataset comprising continuous flight data featuring a drop event at its midpoint. The LSTM model is initially fitted to the first 30 s window of the flight data sequence, and then it sequentially predicts the drop event likelihood, shifting the analysis window one second forward with each prediction. The input covariates and the corresponding model output predictions are visualized in Figure 6. The figure illustrates the sequential prediction output of an LSTM model applied to flight data during an aerial firefighting operation. The top two plots display the flight data’s input covariates: the vertical rate and the aircraft’s height above ground level (AGL), over time. The vertical red line in these plots marks the start of the suppressant drop, serving as a reference point. The bottom plot presents the LSTM model’s prediction, displaying the likelihood of a drop event occurring over time steps. The probability peaks around the actual drop event, reflecting the model’s successful identification of the drop event based on the input covariates.

4. Discussion

The performance metrics presented in Table 1, particularly the F1 score of 0.922 achieved by the LSTM model, highlight the model’s effectiveness in accurately predicting suppressant drop events. The precision of 0.964 indicates that when the model predicts a suppressant drop within the 30 s window, it is correct 96.4% of the time. This suggests that the model is highly accurate, though much of the flight is spent in transit, making recall an important metric. The recall of 0.884 reflects the model’s ability to correctly identify 88.4% of the samples that contained an actual drop event within the 30 s interval. For instance, if 100 samples contained actual suppressant drop events, the model would correctly identify approximately 88 of those. Figure 6 visually illustrates the model’s performance by showing the relationship between the aircraft’s vertical rate, height above ground level, and the predicted likelihood of a suppressant drop. The sharp peak in the bottom plot corresponds to the predicted drop event, demonstrating the model’s ability to capture the flight dynamics of a suppressant drop. This level of performance suggests that the LSTM model could serve as a viable alternative to traditional ATU tracking, offering faster and potentially more reliable real-time predictions. By enhancing situational awareness and reducing the latency associated with post-flight data processing, this model has the potential to significantly improve the coordination and effectiveness of aerial firefighting operations, thereby supporting more informed decision-making during wildfire events.
This approach represents a resource for developing machine learning algorithms aimed at predicting aerial suppressant drops. In this study, we acquired and labeled an open-source dataset with the intention of advancing real-time flight tracking machine learning models. Continued development of these models could greatly improve situational awareness in the field. For example, ongoing initiatives such as the Colorado Team Awareness Kit (CoTAK) that provide real-time tracking of public safety aircraft positions can be further enhanced by this work. By integrating this model while expanding the ground-based collection of ADS-B data, fire managers could gain access not only to the real-time positions of aircraft but also to the precise locations of suppressant drops. This added layer of information could significantly enhance the coordination and effectiveness of firefighting operations, providing insights that aid in decision-making during active wildfire events.
The integration of real-time flight tracking data to predict aerial suppressant drops using deep learning is a novel approach that has not been previously explored in wildfire management [22]. While past studies have focused on analyzing holding flight patterns [9], this study is the first to specifically identify suppressant drop locations by combining ADS-B data with ATU drop records. Although the dataset used in this study was limited to fixed-wing aircraft, helicopters are widely recognized as a critical asset in wildfire suppression across the United States [23]. An extension of this work could involve incorporating helicopter drop data to enhance the model’s applicability across different types of aircraft.
Future research could focus on improving the precision and accuracy of predicting the actual locations where suppressant is deposited, rather than identifying the aircraft’s position during a drop. By incorporating additional datasets, such as weather data (e.g., wind speed, wind direction) and topographical information (e.g., terrain slope, elevation), models could better account for the factors that influence where the suppressant disperses once it leaves the aircraft. The inclusion of real-time environmental variables, such as wind direction and wind speed, could provide insights into the dynamic conditions that affect the trajectory and spread of the suppressant after it is released. This would enable the models to predict not just the moment of drop initiation but a more precise area of ground coverage that the suppressant will achieve.
Traditionally, the tracking of aircraft drop locations has relied on automated telemetry units, which require post-flight data uploads and subsequent processing by each vendor. This process limits tracking to known drop locations, excluding the aircraft’s position during transit. By leveraging real-time flight tracking data, our methodology provides immediate and continuous location information for firefighting aircraft, extending beyond just the drop points. This advancement significantly improves situational awareness for ground-based firefighting teams, leading to better coordination, increased safety, and more effective operational responses. Ultimately, the integration of a standardized, real-time dataset represents a significant step forward in the management of aerial wildland firefighting strategies.
In conclusion, this model provides a standardized set of suppressant drop data, which addresses the challenges posed by the varying data formats used by different contractors. In accordance with the John D. Dingell, Jr. Conservation, Management, and Recreation Act, Section 1114, our research aligns with the legislative mandate to develop and operate a tracking system that remotely monitors the positions of wildland fire resources. The standardized workflow we have developed is not only compliant with this mandate but also enhances the overall safety and operational efficiency of firefighting efforts and could feasibly be utilized globally where ADS-B data are available.

Author Contributions

Conceptualization, B.M.P. and D.E.C.; methodology, S.M. and Y.W.; software, S.M.; validation, S.M., Y.W. and B.M.P.; formal analysis, S.M.; investigation, B.M.P., Y.W. and S.M.; resources, S.M.; data curation, S.M.; writing—original draft preparation, S.M.; writing—review and editing, D.E.C., Y.W. and B.M.P.; visualization, S.M.; supervision, B.M.P.; project administration, D.E.C.; funding acquisition, D.E.C. All authors have read and agreed to the published version of the manuscript.

Funding

This project was funded by a joint venture agreement 19-JV-11221636-170 between Colorado State University and the USDA Forest Service Rocky Mountain Research Station.

Institutional Review Board Statement

Not applicable.

Informed Consent Statement

Not applicable.

Data Availability Statement

The code used in this study is openly available in GitHub repository: https://github.com/ShayneGeo/adsbFlightTracking.

Acknowledgments

We would like to thank Jim Riddering for providing the available dataset. Additionally, we extend our gratitude to Matthew Thompson for his assistance with the conceptual framework.

Conflicts of Interest

The authors declare no conflicts of interest. The findings and conclusions in this report are those of the author(s) and should not be construed to represent any official USDA or U.S. Government determination or policy. This research was supported [in part] by the U.S. Department of Agriculture, Forest Service. Any use of trade, firm, or product names is for descriptive purposes only and does not imply endorsement by the U.S. government.

References

  1. Stonesifer, C.S.; Calkin, D.E.; Thompson, M.P.; Belval, E.J. Is This Flight Necessary? The Aviation Use Summary (AUS): A Framework for Strategic, Risk-Informed Aviation Decision Support. Forests 2021, 12, 1078. [Google Scholar] [CrossRef]
  2. Calkin, D.E.; Stonesifer, C.S.; Thompson, M.P.; McHugh, C.W. Large Airtanker Use and Outcomes in Suppressing Wildland Fires in the United States. Int. J. Wildland Fire 2014, 23, 259–271. [Google Scholar] [CrossRef]
  3. U.S. Department of Agriculture, Forest Service. Aerial Firefighting Use and Effectiveness (AFUE) Report; U.S. Department of Agriculture: Washington, DC, USA, 2020.
  4. Stonesifer, C.S.; Calkin, D.E.; Thompson, M.P.; Kaiden, J.D. Developing an Aviation Exposure Index to Inform Risk-Based Fire Management Decisions. J. For. 2014, 112, 581–590. [Google Scholar]
  5. Stonesifer, C.S.; Calkin, D.E.; Thompson, M.P.; Stockmann, K.D. Fighting Fire in the Heat of the Day: An Analysis of Operational and Environmental Conditions of Use for Large Airtankers in United States Fire Suppression. Int. J. Wildland Fire 2016, 25, 520–533. [Google Scholar] [CrossRef]
  6. Electronic Code of Federal Regulations: 14 CFR § 91.225—Automatic Dependent Surveillance-Broadcast (ADS-B) Out Equipment and Use 2020. Available online: https://www.ecfr.gov/current/title-14/chapter-I/subchapter-F/part-91/subpart-C/section-91.225 (accessed on 1 August 2023).
  7. Sun, J.; Vû, H.; Olive, X.; Hoekstra, J.M. Mode S Transponder Comm-B Capabilities in Current Operational Aircraft. Proceedings 2020, 59, 4. [Google Scholar] [CrossRef]
  8. Schäfer, M.; Strohmeier, M.; Lenders, V.; Martinovic, I.; Wilhelm, M. Bringing up OpenSky: A Large-Scale ADS-B Sensor Network for Research. In Proceedings of the IPSN-14 Proceedings of the 13th International Symposium on Information Processing in Sensor Networks, Berlin, Germany, 15–17 April 2014; IEEE: New York, NY, USA, 2014; pp. 83–94. [Google Scholar]
  9. Olive, X.; Sun, J.; Lafage, A.; Basora, L. Detecting Events in Aircraft Trajectories: Rule-Based and Data-Driven Approaches. Proceedings 2020, 59, 8. [Google Scholar] [CrossRef]
  10. Proud, S.R. Go-around Detection Using Crowd-Sourced ADS-B Position Data. Aerospace 2020, 7, 16. [Google Scholar] [CrossRef]
  11. Xu, Z.; Lu, X.; Zhang, Z. Aircraft Go-around Detection Employing Open Source ADS-B Data. In Proceedings of the 2021 IEEE 3rd International Conference on Civil Aviation Safety and Information Technology (ICCASIT), Changsha, China, 20–22 October 2021; IEEE: New York, NY, USA, 2021; pp. 259–262. [Google Scholar]
  12. USDA Forest Sercive. Standards for Airtanker Operations. 2019. Available online: https://www.fs.usda.gov/sites/default/files/2019-09/standards_for_airtanker_operations_-_final_-_2019_approved_0.pdf (accessed on 15 August 2023).
  13. Kumar, M.V.; Omkar, S.; Ganguli, R.; Sampath, P.; Suresh, S. Identification of Helicopter Dynamics Using Recurrent Neural Networks and Flight Data. J. Am. Helicopter Soc. 2006, 51, 164–174. [Google Scholar] [CrossRef]
  14. Nanduri, A.; Sherry, L. Anomaly Detection in Aircraft Data Using Recurrent Neural Networks (RNN). In Proceedings of the 2016 Integrated Communications Navigation and Surveillance (ICNS), Herndon, VA, USA, 19–21 April 2016; IEEE: New York, NY, USA, 2016; p. 5C2-1. [Google Scholar]
  15. Sun, J.; Vû, H.; Ellerbroek, J.; Hoekstra, J.M. Pymodes: Decoding Mode-s Surveillance Data for Open Air Transportation Research. IEEE Trans. Intell. Transp. Syst. 2019, 21, 2777–2786. [Google Scholar] [CrossRef]
  16. Sun, J.; Hoekstra, J.M. Integrating pyModeS and OpenSky Historical Database. In Proceedings of the OpenSky, Zurich, Switzerland, 21–22 November 2019; pp. 63–72. [Google Scholar]
  17. Gorelick, N.; Hancher, M.; Dixon, M.; Ilyushchenko, S.; Thau, D.; Moore, R. Google Earth Engine: Planetary-Scale Geospatial Analysis for Everyone. Remote Sens. Environ. 2017, 202, 18–27. [Google Scholar] [CrossRef]
  18. Schafer, M.; Strohmeier, M.; Smith, M.; Fuchs, M.; Pinheiro, R.; Lenders, V.; Martinovic, I. OpenSky Report 2016: Facts and Figures on SSR Mode S and ADS-B Usage. In Proceedings of the 2016 IEEE/AIAA 35th Digital Avionics Systems Conference (DASC), Sacramento, CA, USA, 25–29 September 2016; IEEE: New York, NY, USA, 2016; pp. 1–9. [Google Scholar]
  19. Abadi, M.; Agarwal, A.; Barham, P.; Brevdo, E.; Chen, Z.; Citro, C.; Corrado, G.S.; Davis, A.; Dean, J.; Devin, M.; et al. TensorFlow: Large-Scale Machine Learning on Heterogeneous Systems. arXiv 2015, arXiv:1603.04467. [Google Scholar]
  20. Chollet, F. Deep Learning with Python; Simon and Schuster: New York, NY, USA, 2021. [Google Scholar]
  21. Kingma, D.P.; Ba, J. Adam: A Method for Stochastic Optimization. arXiv 2014, arXiv:1412.6980. [Google Scholar]
  22. Jain, P.; Coogan, S.C.; Subramanian, S.G.; Crowley, M.; Taylor, S.; Flannigan, M.D. A Review of Machine Learning Applications in Wildfire Science and Management. Environ. Rev. 2020, 28, 478–505. [Google Scholar] [CrossRef]
  23. Thompson, M.P.; Calkin, D.E.; Herynk, J.; McHugh, C.W.; Short, K.C. Airtankers and Wildfire Management in the US Forest Service: Examining Data Availability and Exploring Usage and Cost Trends. Int. J. Wildland Fire 2012, 22, 223–233. [Google Scholar] [CrossRef]
Figure 1. Map of documented wildfire suppressant drops in the western United States with available OpenSky Network ADS-B data. Red dots represent the locations of drops where flight data were successfully retrieved and analyzed. This subset of data points reflects instances where comprehensive flight tracking information was accessible, highlighting the geographical areas of active aerial firefighting efforts where data collection was feasible. The map is projected in the WGS 84 coordinate system (EPSG: 4326), matching the global positioning system used by the ADS-B data source.
Figure 1. Map of documented wildfire suppressant drops in the western United States with available OpenSky Network ADS-B data. Red dots represent the locations of drops where flight data were successfully retrieved and analyzed. This subset of data points reflects instances where comprehensive flight tracking information was accessible, highlighting the geographical areas of active aerial firefighting efforts where data collection was feasible. The map is projected in the WGS 84 coordinate system (EPSG: 4326), matching the global positioning system used by the ADS-B data source.
Fire 07 00380 g001
Figure 2. (a) Representation of flight paths derived from ADS-B data points, with the ATU drop path marked by a black line. (b) Enlarged view illustrating the congruence of ADS-B and ATU data points, demonstrating data consistency.
Figure 2. (a) Representation of flight paths derived from ADS-B data points, with the ATU drop path marked by a black line. (b) Enlarged view illustrating the congruence of ADS-B and ATU data points, demonstrating data consistency.
Fire 07 00380 g002
Figure 3. This figure compares two different data sources used in this study: flight trajectory points captured by ADS-B data, and ATU drop data within a 30 s window. Each panel illustrates a unique suppressant release event, showing flight paths marked by points at one-second intervals and suppressant release locations measured using the onboard ATU instrument, denoted by a solid blue rectangle. This figure demonstrates the spatial alignment between the two data sources used in the modeling process.
Figure 3. This figure compares two different data sources used in this study: flight trajectory points captured by ADS-B data, and ATU drop data within a 30 s window. Each panel illustrates a unique suppressant release event, showing flight paths marked by points at one-second intervals and suppressant release locations measured using the onboard ATU instrument, denoted by a solid blue rectangle. This figure demonstrates the spatial alignment between the two data sources used in the modeling process.
Fire 07 00380 g003
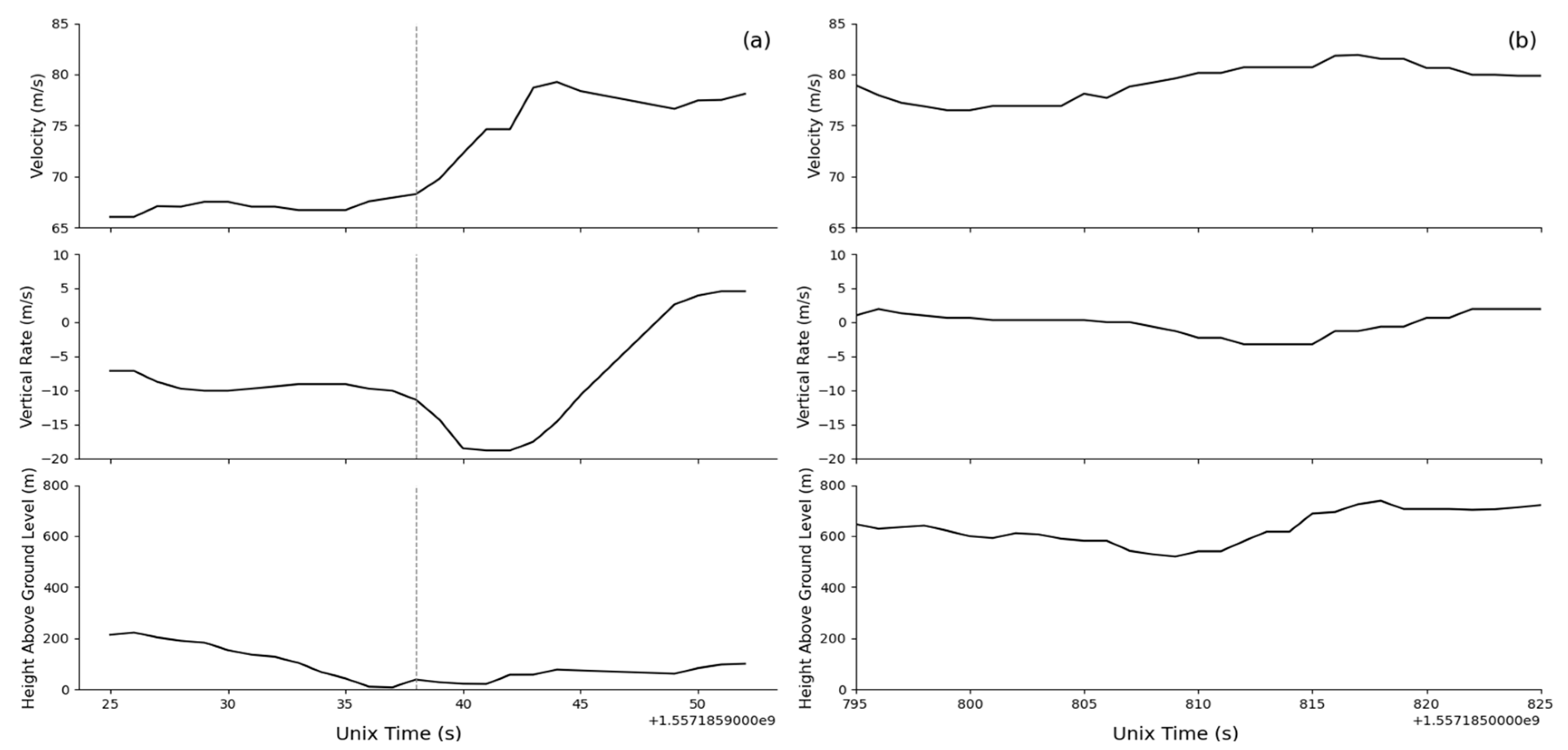
Figure 4. Comparative visualization of aircraft flight parameters during firefighting operations. (a) Represents a time series during an active suppressant drop event, highlighting the aircraft’s velocity, vertical rate, and height above ground level. The dotted vertical line in (a) marks the timestamp of the start of the suppressant release, illustrated by a significant change in vertical rate and AGL, which is not present in (b). (b) Depicts a similar time series where no drop events occur, displaying steadier flight parameters throughout the observed period. These graphs provide a distinction between the aircraft’s flight behavior during drop and non-drop sequences and visually show data with continuous coverage.
Figure 4. Comparative visualization of aircraft flight parameters during firefighting operations. (a) Represents a time series during an active suppressant drop event, highlighting the aircraft’s velocity, vertical rate, and height above ground level. The dotted vertical line in (a) marks the timestamp of the start of the suppressant release, illustrated by a significant change in vertical rate and AGL, which is not present in (b). (b) Depicts a similar time series where no drop events occur, displaying steadier flight parameters throughout the observed period. These graphs provide a distinction between the aircraft’s flight behavior during drop and non-drop sequences and visually show data with continuous coverage.
Fire 07 00380 g004
Figure 5. A flowchart depicting the workflow of integrating ATU and ADS-B data, segmenting flight trajectories, training the LSTM model, and generating suppressant drop predictions.
Figure 5. A flowchart depicting the workflow of integrating ATU and ADS-B data, segmenting flight trajectories, training the LSTM model, and generating suppressant drop predictions.
Fire 07 00380 g005
Figure 6. Visualization of LSTM model predictions for a fixed-wing aerial suppressant drop across time (Unix). The vertical red line indicates the start of the suppressant drop. The first two subplots depict the input covariates: vertical rate (m/s) and height AGL (m) over time. The input covariates were unseen during the model training. The third subplot illustrates the predicted drop likelihood over time.
Figure 6. Visualization of LSTM model predictions for a fixed-wing aerial suppressant drop across time (Unix). The vertical red line indicates the start of the suppressant drop. The first two subplots depict the input covariates: vertical rate (m/s) and height AGL (m) over time. The input covariates were unseen during the model training. The third subplot illustrates the predicted drop likelihood over time.
Fire 07 00380 g006
Table 1. Performance metrics of LSTM and 1DCNN models using different covariate combinations for aerial suppressant drop event classification. The table presents precision, recall, and F1 score for each model, evaluated on covariate sets including velocity (m/s) (V), height above ground level (m) (AGL), and vertical climbing rate (m/s) (Vert).
Table 1. Performance metrics of LSTM and 1DCNN models using different covariate combinations for aerial suppressant drop event classification. The table presents precision, recall, and F1 score for each model, evaluated on covariate sets including velocity (m/s) (V), height above ground level (m) (AGL), and vertical climbing rate (m/s) (Vert).
LSTM1DCNN
CovariatesPrecisionRecallF1 ScorePrecisionRecallF1-Score
Vert, AGL, V0.9400.8380.8860.8320.9140.871
Vert, AGL0.9640.8840.9220.9330.9110.922
V, AGL0.8340.7750.8030.8590.8970.878
Vert, V0.9460.8740.9090.9110.8020.853
Vert0.8630.7690.8140.8800.8230.851
AGL0.8940.8400.8660.8780.8660.872
V0.8570.2280.3470.680.2900.407
Disclaimer/Publisher’s Note: The statements, opinions and data contained in all publications are solely those of the individual author(s) and contributor(s) and not of MDPI and/or the editor(s). MDPI and/or the editor(s) disclaim responsibility for any injury to people or property resulting from any ideas, methods, instructions or products referred to in the content.

Share and Cite

MDPI and ACS Style

Magstadt, S.; Wei, Y.; Pietruszka, B.M.; Calkin, D.E. A Deep Learning Approach for Predicting Aerial Suppressant Drops in Wildland Firefighting Using Automatic Dependent Surveillance–Broadcast Data. Fire 2024, 7, 380. https://doi.org/10.3390/fire7110380

AMA Style

Magstadt S, Wei Y, Pietruszka BM, Calkin DE. A Deep Learning Approach for Predicting Aerial Suppressant Drops in Wildland Firefighting Using Automatic Dependent Surveillance–Broadcast Data. Fire. 2024; 7(11):380. https://doi.org/10.3390/fire7110380

Chicago/Turabian Style

Magstadt, Shayne, Yu Wei, Bradley M. Pietruszka, and David E. Calkin. 2024. "A Deep Learning Approach for Predicting Aerial Suppressant Drops in Wildland Firefighting Using Automatic Dependent Surveillance–Broadcast Data" Fire 7, no. 11: 380. https://doi.org/10.3390/fire7110380

APA Style

Magstadt, S., Wei, Y., Pietruszka, B. M., & Calkin, D. E. (2024). A Deep Learning Approach for Predicting Aerial Suppressant Drops in Wildland Firefighting Using Automatic Dependent Surveillance–Broadcast Data. Fire, 7(11), 380. https://doi.org/10.3390/fire7110380

Article Metrics

Back to TopTop