Mapping the Most Susceptible Regions to Fire in Portugal
Abstract
1. Introduction
2. Materials and Methods
2.1. Data
2.1.1. Land Cover and Vegetation Data
2.1.2. Burned Area and Fire Related Variables
2.2. Applied Methodology
2.2.1. Pre-Processing of Data
2.2.2. Identification of Susceptible Areas
2.2.3. Assessment for the Burned Areas of 2022
3. Results
3.1. Historical Vegetation Activity and Burned Area Patterns in Portugal
3.2. Vegetation Activity Trends and Fire Related Conditions
3.3. Principal Component Analysis
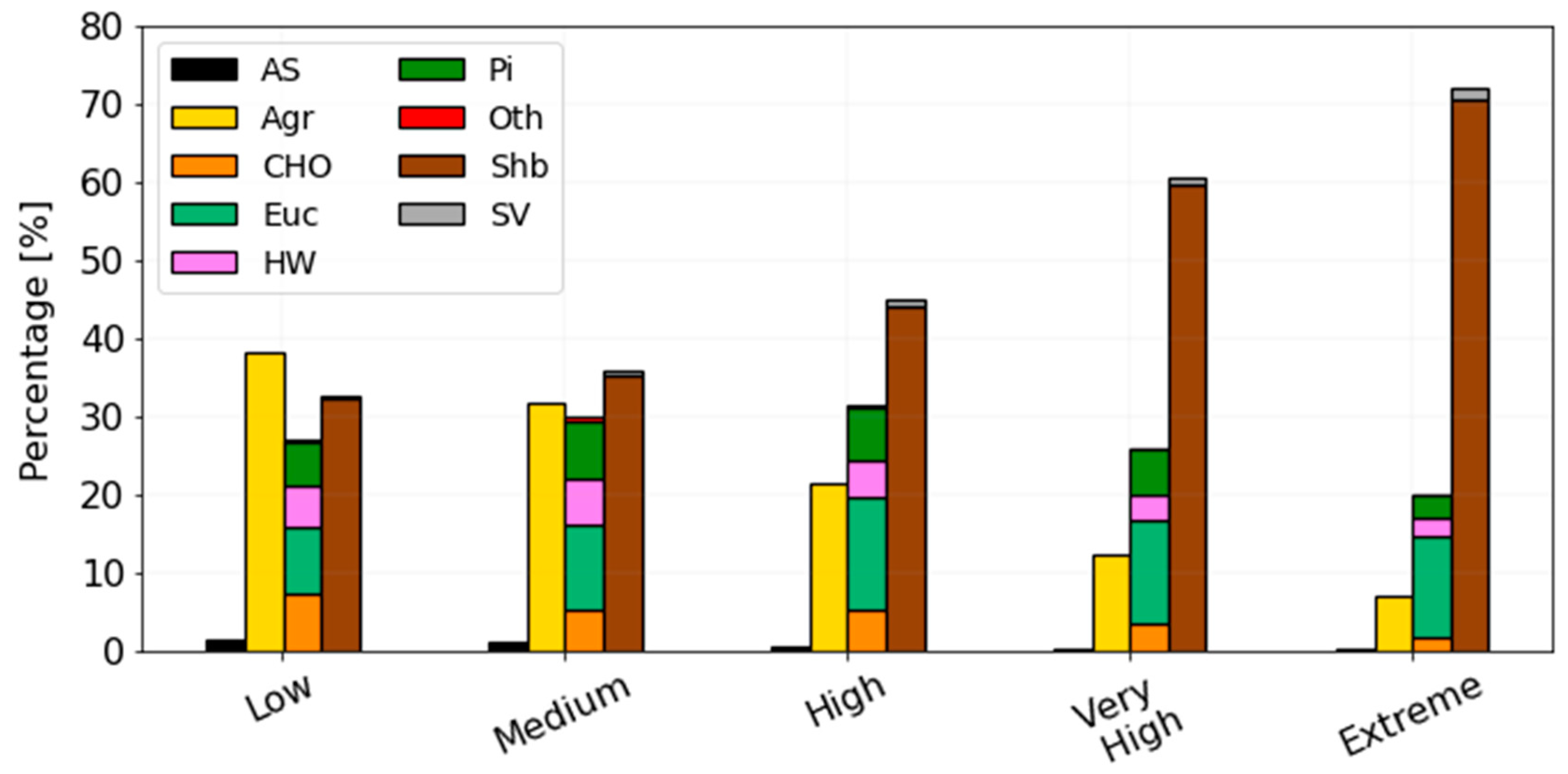
3.4. Land Cover Distribution of Susceptible Areas
3.5. Susceptibility of 2022 Burned Areas
4. Discussion
5. Conclusions
Supplementary Materials
Author Contributions
Funding
Institutional Review Board Statement
Informed Consent Statement
Data Availability Statement
Conflicts of Interest
References
- Pausas, J.G.; Llovet, J.; Rodrigo, A.; Vallejo, R. Are wildfires a disaster in the Mediterranean basin?—A review. Int. J. Wildland Fire 2008, 17, 713–723. [Google Scholar] [CrossRef]
- Mitsopoulos, L.; Mallinis, G.; Karali, A.; Giannakopoulos, C.; Arianoutsou, M. Mapping fire behaviour under changing climate in a Mediterranean landscape in Greece. Reg. Environ. Chang. 2016, 16, 1929–1940. [Google Scholar] [CrossRef]
- Gonçalves, A.C.; Sousa, A.M.O. The fire in the Mediterranean region: A case study of forest fires in Portugal. In Mediterranean Identities-Environment, Society, Culture; Fuerst-Bielis, B., Ed.; IntechOpen: London, UK, 2017; pp. 305–335. [Google Scholar] [CrossRef]
- Miller, J.D.; Skinner, C.N.; Safford, H.D.; Knapp, E.E.; Ramirez, C.M. Trends and causes of severity, size, and number of fires in northwestern California, USA. Ecol. Appl. 2012, 22, 184–203. [Google Scholar] [CrossRef]
- Singleton, M.P.; Thode, A.E.; Sánchez Meador, A.J.; Iniguez, J.M. Increasing trend in high-severity in the southwestern USA from 1984 to 2015. For. Ecol. Manag. 2019, 433, 709–719. [Google Scholar] [CrossRef]
- Parks, S.A.; Abatzoglou, J.T. Warmer and Drier Fire Seasons Contribute to Increases in Area Burned at high Severity in Western US Forests from 1985 to 2017. Geophys. Res. Lett. 2020, 47, e2020GL089858. [Google Scholar] [CrossRef]
- Etchels, H.; O’Donnell, A.J.; Lachlan McCaw, W.; Grierson, P.F. Fire severity impacts on tree mortality and post-fire recruitment in tall eucalypt forests of southwest Australia. For. Ecol. Manag. 2020, 459, 117850. [Google Scholar] [CrossRef]
- Tran, B.N.; Tanase, M.A.; Bennett, L.T.; Aponte, C. Are High Severity Fires Increasing in Southern Australia? In Proceedings of the IEEE International Geoscience and Remote Sensing Symposium, Waikoloa, HI, USA, 26 September–2 October 2020; pp. 4630–4633. [Google Scholar]
- Barbero, R.; Abatzoglou, J.T.; Larkin, N.K.; Kolden, C.A.; Stocks, B. Climate change presents increased potential for very large fires in the contiguous United States. Int. J. Wildland Fires 2015, 24, 892–899. [Google Scholar] [CrossRef]
- Turco, M.; Jerez, S.; Augusto, S.; Tarín-Carrasco, P.; Ratola, N.; Jiménez-Guerrero, P.; Trigo, R.M. Climate drivers of the 2017 devastating fires in Portugal. Sci. Rep. 2019, 9, 13886. [Google Scholar] [CrossRef]
- Sutanto, S.J.; Vitolo, C.; Di Napoli, C.; D’Andrea, M.; Van Lanen, H.A.J. Heatwaves, droughts and fires: Exploring compound and cascading dry hazards at the pan-European scale. Environ. Int. 2020, 134, 105276. [Google Scholar] [CrossRef]
- Pellegreni, A.F.; Ahlström, A.; Hobbie, S.E.; Reich, P.B.; Nieradzik, L.P.; Staver, A.C.; Bryant, C.S.; Jumpponen, A.; Anderegg, W.R.L.; Randerson, J.T.; et al. Fire frequency drives decadal changes in soil carbon and nitrogen and ecosystem productivity. Nature 2018, 553, 194–198. [Google Scholar] [CrossRef]
- Jones, G.M.; Kramer, H.A.; Berigan, W.J.; Whitmore, S.A.; Gutiérrez, R.J.; Peery, M.Z. Megafire causes persistent loss of an old-forest species. Anim. Conserv. 2021, 24, 925–936. [Google Scholar] [CrossRef]
- Pereira, P.; Francos, M.; Brevik, E.C.; Ubeda, X.; Bogunovic, I. Post-fire soil management. Curr. Opin. Environ. Sci. Health 2018, 5, 26–32. [Google Scholar] [CrossRef]
- Mora, C.; Vieira, G. The Climate of Portugal. In Landscapes and Landforms of Portugal; Vieira, G., Zêzere, J., Mora, C., Eds.; World Geomorphological Landscapes; Springer: Cham, Switzerland, 2020. [Google Scholar] [CrossRef]
- Tedim, F.; Leone, V.; Amraoui, M.; Bouillon, C.; Coughlan, M.; Delogu, G.; Fernandes, P.M.; Ferreira, C.; McCaffrey, S.; McGee, T.; et al. Defining extreme wildfire events: Difficulties, challenges, and impacts. Firehouse 2018, 1, 9. [Google Scholar] [CrossRef]
- Parente, J.; Pereira, M.G.; Amraoui, M.; Fischer, E.M. Heat waves in Portugal: Current regimes, changes in future climate and impacts on extreme wildfires. Sci. Total Environ. 2018, 631–632, 534–549. [Google Scholar] [CrossRef] [PubMed]
- Gouveia, C.M.; Bastos, A.; Trigo, R.M.; DaCamara, C.C. Drought impacts on vegetation in the pre- and post-fire events over Iberian Peninsula. Nat. Hazards Earth Syst. Sci. 2012, 12, 3123–3137. [Google Scholar] [CrossRef]
- Ermitão, T.; Gouveia, C.M.; Bastos, A.; Russo, A.C. Interactions between Hot and Dry Fuel Conditions and Vegetation Dynamics in the 2017 Fire Season in Portugal. Environ. Res. Lett. 2022, 17, 095009. [Google Scholar] [CrossRef]
- Ramos, A.M.; Russo, A.; DaCamara, C.C.; Nunes, S.; Sousa, P.; Soares, P.M.M.; Lima, M.M.; Hurduc, A.; Trigo, R.M. The compound event that triggered the destructive fires of October 2017 in Portugal. iScience 2023, 26, 106141. [Google Scholar] [CrossRef]
- Turco, M.; Bedia, J.; Di Liberato, F.; Fiorucci, P.; von Hardenberg, J.; Koutsias, N.; Llasat, M.-C.; Xystrakis, F.; Provenzale, A. Decreasing fires in Mediterranean Europe. PLoS ONE 2016, 11, e0150663. [Google Scholar] [CrossRef]
- Silva, J.S.; Vaz, P.; Moreira, F.; Catry, F.; Rego, F.C. Wildfires as a major driver of landscape dynamics in three fire-prone areas of Portugal. Landsc. Urban Plan. 2011, 101, 349–358. [Google Scholar] [CrossRef]
- Nunes, A. Regional variability and driving forces behind forest fires in Portugal an overview of the last three decades (1980-2009). Appl. Geogr. 2012, 34, 576–586. [Google Scholar] [CrossRef]
- Moreira, F.; Rego, F.C.; Ferreira, P.G. Temporal (1958–1995) pattern of change in a cultural landscape of northwestern Portugal: Implications for fire occurrence. Landsc. Ecol. 2001, 16, 557–567. [Google Scholar] [CrossRef]
- Casau, M.; Dias, M.F.; Teixeira, L.; Matias, J.C.O.; Nunes, L.J.R. Reducing rural fire risk through the development of a sustainable supply chain model for residual agroforestry biomass supported in a Web platform: A case study in Portugal Central region with the Project BioAgroFloRes. Fire 2022, 5, 61. [Google Scholar] [CrossRef]
- Joshi, J.; Sukumar, R. Improving prediction and assessment of global fires using multilayer neural networks. Sci. Rep. 2021, 11, 3295. [Google Scholar] [CrossRef]
- Calheiros, T.; Benali, A.; Silva, J.N.; Pereira, M.; Nunes, J.P. Spatial variability in the relation between fire weather and burned area: Patterns and drivers in Portugal. Nat. Hazards Earth Syst. Sci. Discuss. 2021, 2021, 1–30. [Google Scholar] [CrossRef]
- Oliveira, S.; Zezêre, J.L. Assessing the biophysical and social drivers of burned area distribution at the local scale. J. Environ. Manag. 2020, 264, 110449. [Google Scholar] [CrossRef]
- Oliveira, S.; Gonçalves, A.; Zezere, J.L. Reassessing wildfire susceptibility and hazard for mainland Portugal. Sci. Total Environ. 2021, 762, 143121. [Google Scholar] [CrossRef]
- Bergonse, R.; Oliveira, S.; Santos, P.; Zêzere, J.L. Wildfire Risk Levels at the Local Scale: Assessing the Relative Influence of Hazard, Exposure, and Social Vulnerability. Fire 2022, 5, 166. [Google Scholar] [CrossRef]
- Bergonse, R.; Oliveira, S.; Zêzere, J.L.; Moreira, F.; Ribeiro, P.F.; Leal, M.; Lima e Santos, J.M. Biophysical controls over fire regime properties in Central Portugal. Sci. Total Environ. 2022, 810, 152314. [Google Scholar] [CrossRef]
- Benali, A.; Sá, A.C.; Pinho, J.; Fernandes, P.M.; Pereira, J.M. Understanding the impact of different landscape-level fuel management strategies on wildfire hazard in central Portugal. Forests 2021, 12, 522. [Google Scholar] [CrossRef]
- Wu, C.; Niu, Z.; Gao, S. Gross primary production estimation from MODIS data with vegetation index and photosynthetically active radiation in maize. J. Geophys. Res. Atmos. 2010, 115. [Google Scholar] [CrossRef]
- Running, S.W.; Zhao, M. Daily GPP and Annual NPP (MOD17A2/A3) Products NASA Earth Observing System MODIS Land Algorithm. MOD17 User’s Guide. pp. 1–28. 2015. Available online: https://www.ntsg.umt.edu/files/modis/MOD17UsersGuide2015_v3.pdf (accessed on 1 March 2022).
- Copernicus DEM. 2021. Available online: https://spacedata.copernicus.eu/documents/20126/0/GEO1988%E2%80%93CopernicusDEMSPE%E2%80%93002_ProductHandbook_I1.00.pdf (accessed on 8 April 2022).
- Collins, J.; Riegler, D.G.; Schrader, H.; Tinz, M. Applying Terrain and Hydrological Editing to Tandem-X Data to Create a Consumer-Ready Worlddem Product. Int. Arch. Photogramm. Remote Sens. Spat. Inf. Sci. 2015, 40, 1149–1154. [Google Scholar] [CrossRef]
- Marešová, J.; Gdulová, K.; Pracná, P.; Moravec, D.; Gábor, L.; Prošek, J.; Barták, V.; Moudrý, V. Applicability of Data Acquisition Characteristics to the Identification of Local Artefacts in Global Digital Elevation Models: Comparison of the Copernicus and TanDEM-X DEMs. Remote Sens. 2021, 13, 3931. [Google Scholar] [CrossRef]
- Costa, H.; Benevides, P.; Moreira, F.D.; Moraes, D.; Caetano, M. Spatially Stratified and Multi-Stage Approach for National Land Cover Mapping Based on Sentinel-2 Data and Expert Knowledge. Remote Sens. 2022, 14, 1865. [Google Scholar] [CrossRef]
- Giglio, L.; Boschetti, L.; Roy, D.P.; Humber, M.L.; Justice, C.O. The Collection 6 MODIS burned area mapping algorithm and product. Remote Sens. Environ. 2018, 217, 72–85. [Google Scholar] [CrossRef]
- Van Wagner, C.E. Development, and Structure of the Canadian Forest Fire Weather Index System; Report No. 1992 Canadian Forestry Service; Petawawa National Forestry Institute: Chalk River, ON, Canada, 1987. [Google Scholar]
- Abatzoglou, J.T.; Williams, A.P.; Boschetti, L.; Zubkova, M.; Kolden, C.A. Global patterns of interannual climate-fire relationships. Glob. Chang. Biol. 2018, 24, 5164–5175. [Google Scholar] [CrossRef]
- Di Giuseppe, F.; Vitolo, C.; Krzeminski, B.; Barnard, C.; Maciel, P.; San-Miguel, J. Fire Weather Index: The skill provided by the European Centre for Medium-Range Weather Forecasts ensemble prediction system. Nat. Hazards Earth Syst. 2020, 20, 2365–2378. [Google Scholar] [CrossRef]
- Viegas, D.X.; Bovio, G.; Ferreira, A.; Nosenzo, A.; Sol, B. Comparative study of various methods of fire danger evaluation in Southern Europe. Int. J. Wildland 2000, 9, 235–246. [Google Scholar] [CrossRef]
- Herbasch, H.; Bell, B.; Berrisford, P.; Hirahar, S.; Horányi, A.; Muñoz-Sabater, J.; Nicolas, J.; Peubey, C.; Radu, R.; Schepers, D.; et al. The ERA5 global reanalysis. Q. J. R. Meteorol. Soc. 2020, 146, 1999–2049. [Google Scholar] [CrossRef]
- Wooster, M.J.; Roberts, G.; Freeborn, P.H.; Xu, W.; Govaerts, Y.; Beeby, R.; He, J.; Lattanzio, A.; Fisher, D.; Mullen, R. LSA SAF Meteosat FRP products–Part 1: Algorithms, product contents, and analysis. Atmos. Chem. Phys. 2015, 15, 13217–13239. [Google Scholar] [CrossRef]
- Pinto, M.M.; DaCamara, C.C.; Trigo, I.F.; Trigo, R.M.; Turkman, K.F. Fire danger rating over Mediterranean Europe based on fire radiative power derived from Meteosat. Nat. Hazards Earth Syst. Sci. 2018, 18, 515–529. [Google Scholar] [CrossRef]
- Trigo, I.F.; DaCamara, C.C.; Viterbo, P.; Roujean, J.-L.; Olesen, F.; Barroso, C.; Camacho-de-Coca, F.; Carrer, D.; Freitas, S.C.; García-Haro, J.; et al. The satellite application facility for land surface analysis. Int. J. Remote Sens. 2011, 32, 2725–2744. [Google Scholar] [CrossRef]
- Bolton, D.K.; Coops, N.C.; Hermosilla, T.; Wulder, M.A.; White, J.C. Assessing variability in post-fire forest structure along gradients of productivity in the Canadian boreal using multi-source remote sensing. J. Biogeogr. 2017, 44, 1294–1305. [Google Scholar] [CrossRef]
- DaCamara, C.C.; Calado, T.J.; Ermida, S.L.; Trigo, I.F.; Amraoui, M.; Turkman, K.F. Calibration of the Fire Weather Index over Mediterranean Europe based on fire activity retrieved from MSG satellite imagery. Int. J. Wildland Fire 2014, 23, 945–958. [Google Scholar] [CrossRef]
- Abson, D.J.; Dougill, A.J.; Strigner, L.C. Using Principal Component Analysis for information-rich socio-ecological vulnerability mapping in Southern Africa. Appl. Geogra. 2012, 35, 515–524. [Google Scholar] [CrossRef]
- Alonso, C.; Gouveia, C.M.; Russo, A.; Páscoa, P. Crop’s exposure, sensitivity and adaptive capacity to drought occurrence. Nat. Hazards Earth Syst. Sci. 2019, 19, 2727–2743. [Google Scholar] [CrossRef]
- Bento, V.; Russo, A.; Vieira, I.; Gouveia, C. Identification of forest vulnerability to droughts in Iberian Peninsula. Theor. Appl. Climatol. 2023, 152, 559–579. [Google Scholar] [CrossRef]
- Colonico, M.; Tomao, A.; Ascoli, D.; Corona, P.; Giannino, F.; Moris, J.V.; Romano, R.; Salvati, L.; Barbati, A. Rural development and wildfire prevention: Evidences of spatial mismatches with fire activity. Land Use Policy 2022, 117, 106079. [Google Scholar] [CrossRef]
- ICNF Report. 2022. Available online: https://www.icnf.pt/api/file/doc/4e8a66514175d0f7 (accessed on 1 October 2022).
- García-Herrera, R.; Hernández, E.; Barriopedro, D.; Paredes, D.; Trigo, R.M.; Trigo, I.F.; Mendes, M.A. The outstanding 2004/05 drought in the Iberian Peninsula: Associated atmospheric circulation. J. Hydrometeorol. 2007, 8, 483–498. [Google Scholar] [CrossRef]
- Gouveia, C.; Trigo, R.M.; DaCamara, C.C. Drought and vegetation stress monitoring in Portugal using satellite data. Nat. Hazards Earth Syst. Sci. 2009, 9, 185–195. [Google Scholar] [CrossRef]
- Ermitão, T.; Gouveia, C.M.; Bastos, A.; Russo, A.C. Vegetation Productivity Losses Linked to Mediterranean Hot and Dry Events. Remote Sens. 2021, 13, 4010. [Google Scholar] [CrossRef]
- Abatzoglou, J.T.; Williams, A.P.; Barbero, R. Global Emergence of Anthropogenic Climate Change in Fire Weather Indices. Geophys. Res. Lett. 2018, 46, 326–336. [Google Scholar] [CrossRef]
- Lionello, P.; Abrantes, F.; Gacic, M.; Planton, S.; Trigo, R.; Ulbrich, U. The climate of the Mediterranean region: Research progress and climate change impacts. Reg. Environ. Chang. 2014, 14, 1679–1684. [Google Scholar] [CrossRef]
- Aparício, S.; Carvalhais, N.; Seixas, J. Climate change impacts on the vegetation carbon cycle of the Iberian Peninsula—Intercomparison of CMIP5 results. J. Geophys. Res. Biogeosci. 2015, 120, 641–660. [Google Scholar] [CrossRef]
- Gouveia, C.M.; Páscoa, P.; Russo, A.; Trigo, R.M. Land degradation trend assessment over Iberia during 1982–2012. Cuad. Investig. Geogr. 2016, 42, 89–112. [Google Scholar] [CrossRef]
- Pausas, J.G.; Fernández-Muñoz, S. Fire regime changes in the Western Mediterranean Basin: From fuel-limited to drought-driven fire regime. Clim. Chang. 2012, 110, 215–226. [Google Scholar] [CrossRef]
- Mateus, P.; Fernandes, P.M. Forest Fires in Portugal: Dynamics, Causes and Policies. In Forest Context and Policies in Portugal; Reboredo, F., Ed.; World Forests; Springer: Cham, Switzerland, 2014; Volume 19. [Google Scholar] [CrossRef]
- Oliveira, S.; Oehler, F.; San-Miguel-Ayanz, J.; Camia, A.; Pereira, J.M.C. Modeling spatial patterns of fire occurrence in Mediterranean Europe using Multiple Regression and Random Forest. For. Ecol. Manag. 2012, 275, 117–129. [Google Scholar] [CrossRef]








| Variable | Source | Spatial Resolution | Temporal Coverage |
|---|---|---|---|
| Gross Primary Production (GPP) | MODIS | 500 m | 2001–2021 |
| Net Primary Production (NPP) | MODIS | 500 m | 2001–2021 |
| Elevation | Copernicus GLO-90 | ~90 m | - |
| Burned Areas | MODIS | 500 m | 2001–2022 |
| Fire Weather Index (FWI) | ERA5 | ~25 km | 1979–2021 |
| Fire Released Energy (FRE) | LSA-SAF | 3–4 km | 2004–2020 |
| Fire Risk Map (FRM) | LSA-SAF | 3–4 km | 2017–2021 |
| Land Cover | DGT 2021 | ~10 m | 2021 |
| CATEGORY | VARIABLE | ACRONYM |
|---|---|---|
| Physical | Elevation | Elevation |
| Ecological | accumulation along the period 2001–2021 | |
| Linear Trend of GPP | ||
| Linear Trend of NPP | ||
| Fire | Fire Frequency | FF |
| Number of months elapsed since the last fire occurrence | TwB | |
| Fire Released Energy | FRE | |
| Fire Risk Map | FRM | |
| Probability of FWI > 50.1 |
| p20 | p40 | p60 | p80 | p95 | |
|---|---|---|---|---|---|
| signal | 0.94 | 2.37 | 4.40 | 7.12 | 11.71 |
Disclaimer/Publisher’s Note: The statements, opinions and data contained in all publications are solely those of the individual author(s) and contributor(s) and not of MDPI and/or the editor(s). MDPI and/or the editor(s) disclaim responsibility for any injury to people or property resulting from any ideas, methods, instructions or products referred to in the content. |
© 2023 by the authors. Licensee MDPI, Basel, Switzerland. This article is an open access article distributed under the terms and conditions of the Creative Commons Attribution (CC BY) license (https://creativecommons.org/licenses/by/4.0/).
Share and Cite
Ermitão, T.; Páscoa, P.; Trigo, I.; Alonso, C.; Gouveia, C. Mapping the Most Susceptible Regions to Fire in Portugal. Fire 2023, 6, 254. https://doi.org/10.3390/fire6070254
Ermitão T, Páscoa P, Trigo I, Alonso C, Gouveia C. Mapping the Most Susceptible Regions to Fire in Portugal. Fire. 2023; 6(7):254. https://doi.org/10.3390/fire6070254
Chicago/Turabian StyleErmitão, Tiago, Patrícia Páscoa, Isabel Trigo, Catarina Alonso, and Célia Gouveia. 2023. "Mapping the Most Susceptible Regions to Fire in Portugal" Fire 6, no. 7: 254. https://doi.org/10.3390/fire6070254
APA StyleErmitão, T., Páscoa, P., Trigo, I., Alonso, C., & Gouveia, C. (2023). Mapping the Most Susceptible Regions to Fire in Portugal. Fire, 6(7), 254. https://doi.org/10.3390/fire6070254

