Simulation of the Impact of Firebrands on the Process of the Wood Layer Ignition
Abstract
1. Introduction
2. Materials and Methods
Mathematical Model
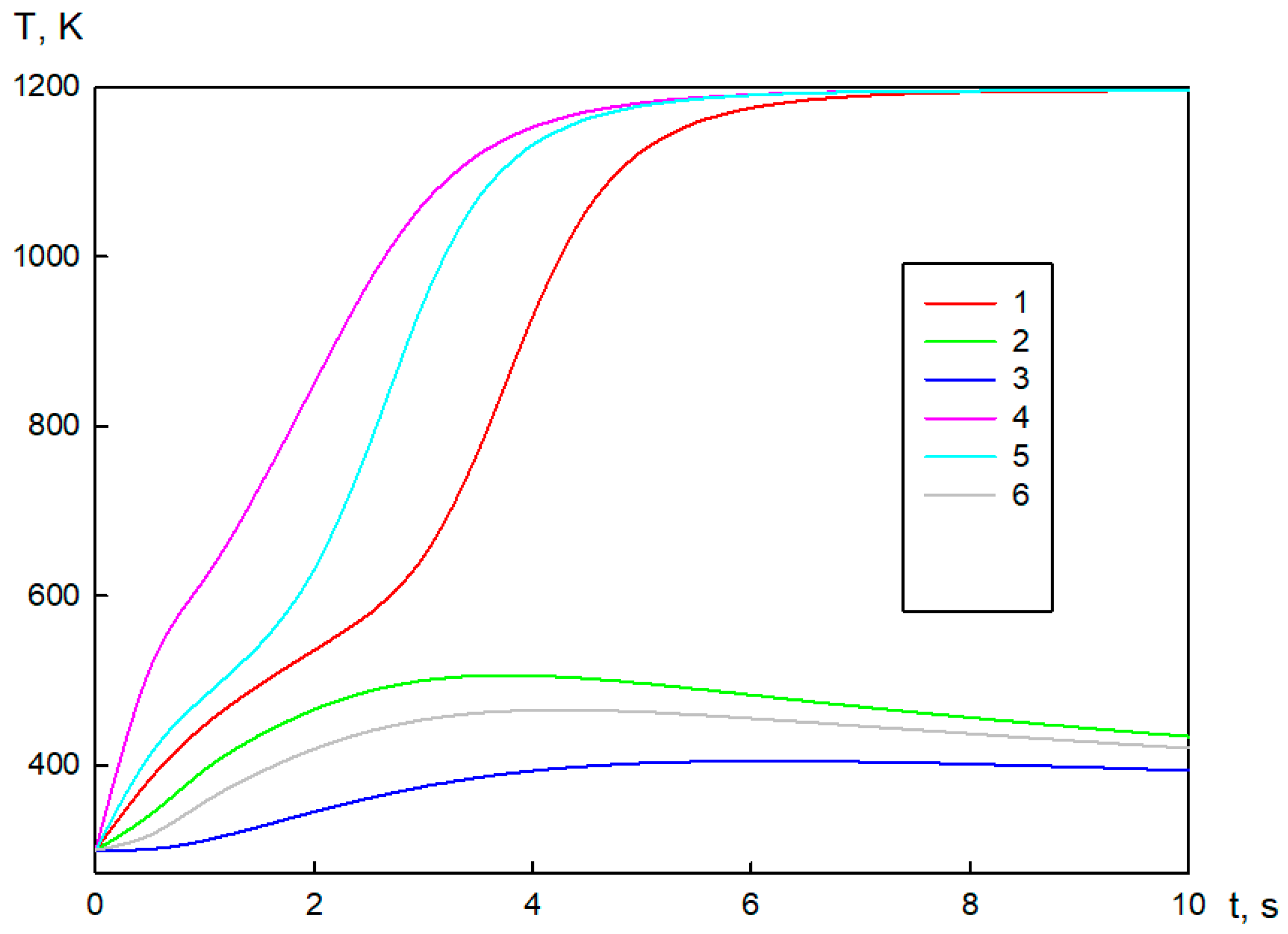
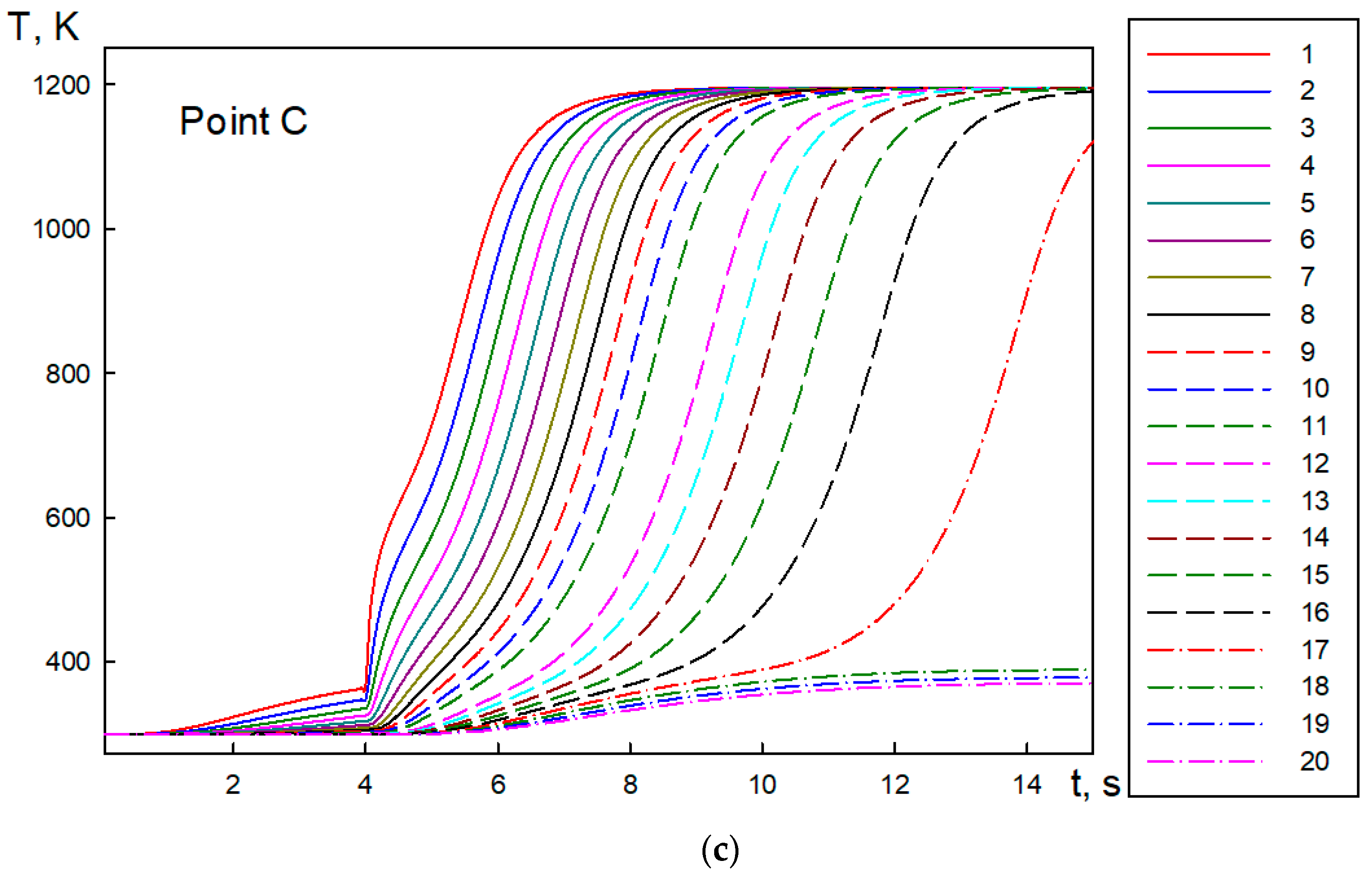
3. Results and Discussion
4. Conclusions
5. Limitations
- The blown air flow was assumed to be laminar. Turbulence was not considered.
- The wind speed was assumed to be constant over time.
- The wind direction was chosen to be perpendicular to the long side of the firebrand.
- The firebrands were assumed to have a regular shape (rectangular parallelepiped) with uniform thermophysical properties. The temperature distribution in the firebrands at the initial moment of time was not taken into account (the temperature at all points of the firebrand had the same value).
- Ideal contact of the firebrand surface with the wood layer was assumed.
Author Contributions
Funding
Conflicts of Interest
Nomenclature
| Term | Meaning (Units) |
| Nomenclature | |
| heat capacity () | |
| density () | |
| temperature () | |
| thermal conductivity () | |
| radiation intensity (W ) | |
| is the characteristic particle size () | |
| reaction heat of pyrolysis, drying and combustion of coke () | |
| the rate of pyrolysis, drying, and combustion (coke) | |
| is the degree of blackness of the wood layer | |
| integral radiation absorption coefficient, () | |
| integral radiation attenuation coefficient, () | |
| is the black body radiation constant | |
| pre-exponential factor | |
| relative moisture content of wood sample | |
| rate of the enthalpy change, () | |
| activation energy, (J ) | |
| wind speed, ( | |
| gravity factor, (m ) | |
| coefficient of diffusion, ( | |
| molecular mass, (kg ) | |
| pressure, | |
| viscosity, (Pa s) | |
| universal gas constant, () | |
| heat capacity of gas at constant pressure, (Pa) | |
| t | time, (s) |
| x, y, z | coordinates, (m) |
| Subscripts | |
| solid phase (wood, firebrands) | |
| pyrolysis | |
| drying | |
| wood layer | |
| gas | |
| 1 | dry organic substance |
| 2 | water in the liquid-drop condition |
| 3 | condensed pyrolysis products |
| oxygen | |
| carbon monoxide | |
| carbon dioxide | |
| nitrogen | |
| water | |
| O | ambient |
References
- Katurji, M.; Noonan, B.; Zhang, J.; Valencia, A.; Shumacher, B.; Kerr, J.; Strand, T.; Pearce, G.; Zawar-Reza, P. Atmospheric turbulent structures and fire sweeps during shrub fires and implications for flaming zone behaviour. Int. J. Wildland Fire 2023, 32, 43–55. [Google Scholar] [CrossRef]
- Voulgarakis, A.; Field, R.D. Fire Influences on Atmospheric Composition, Air Quality and Climate. Curr. Pollut. Rep. 2015, 1, 70–81. [Google Scholar] [CrossRef]
- Babrauskas, V. Firebrands and Embers. In Encyclopedia of Wildfires and Wildland-Urban Interface (WUI) Fires; Manzello, S., Ed.; Springer: Cham, The Switzerland, 2018. [Google Scholar] [CrossRef]
- Koo, E.; Pagni, P.J.; Weise, D.R.; Woycheese, J.P. Firebrands and spotting ignition in large-scale fires. Int. J. Wildland Fire 2010, 19, 818–843. [Google Scholar] [CrossRef]
- Suzuki, S.; Manzello, S.L. Characteristics of Firebrands Collected from Actual Urban Fires. Fire Technol. 2018, 54, 1533–1546. [Google Scholar] [CrossRef]
- Suzuki, S.; Manzello, S.L.; Lage, M.; Laing, G. Firebrand generation data obtained from a full-scale structure burn. Int. J. Wildland Fire 2012, 21, 961–968. [Google Scholar] [CrossRef]
- Zhou, A.; Quarles, S.L.; Weise, D.R. Final Report: Fire Ember Production from Wildland and Structural Fuels; JFSP Project ID: 15-1-04-4; North Carolina Agricultural and Technical State University: Greensboro, NC, USA, 2019; pp. 1–66. [Google Scholar] [CrossRef]
- Quarles, S.L. Vulnerability of Vents to Wind-Blown Embers; IBHS: Richburg, SC, USA, 2017. [Google Scholar]
- Suzuki, S.; Manzello, S.L. Initial study on thatched roofing assembly ignition vulnerabilities to firebrand showers. Fire Saf. J. 2019, 103, 34–37. [Google Scholar] [CrossRef]
- Kasymov, D.P.; Paletsky, A.A. Effect of a fire retardant on the ignition of pine wood exposed to smoldering particles of pine bark. In Proceedings of the EPJ Web of Conferences, Crete, Greece, 17–29 August 2017; Volume 159, pp. 1–26. [Google Scholar] [CrossRef][Green Version]
- Suzuki, S.; Manzello, S.L. Firebrand production from building components fitted with siding treatments. Fire Saf. J. 2016, 80, 64–70. [Google Scholar] [CrossRef]
- Suzuki, S.; Manzello, S.L. Garnering understanding into complex firebrand generation processes from large outdoor fires using simplistic laboratory-scale experimental methodologies. Fuel 2020, 267, 117154. [Google Scholar] [CrossRef]
- Kasymov, D.P.; Agafontsev, M.V.; Perminov, V.V.; Martynov, P.S. Estimation of pine wood fire-resistance exposed to the heat emission using thermography. In Proceedings of the 25th International Symposium on Atmospheric and Ocean Optics: Atmospheric Physics, Tomsk, Russian, 30 June–5 July 2019; Volume 11208. [Google Scholar] [CrossRef]
- Suzuki, S.; Manzello, S.L.; Hayashi, Y. The size and mass distribution of firebrands collected from ignited building components exposed to wind. Proc. Combust. Inst. 2013, 34, 2479–2485. [Google Scholar] [CrossRef]
- Kasymov, D.P.; Tarakanova, V.A.; Martynov, P.S.; Agafontsev, M.V. Studying firebrands interaction with flat surface of various wood construction materials in laboratory conditions. J. Phys. Conf. Ser. 2019, 1359, 012092. [Google Scholar] [CrossRef]
- Salehizadeh, H.; Hakes, R.S.P.; Gollner, M.J. Critical Ignition Conditions of Wood by Cylindrical Firebrands. Front. Mech. Eng. 2021, 7, 630324. [Google Scholar] [CrossRef]
- Ellis, P.F. The Aerodynamic and Combustion Characteristics of Eucalypt Bark—A Firebrand Study. Ph.D. Thesis, Australian National University, Canberra, ACT, Australia, 2000. [Google Scholar]
- Ganteaume, A.; Lampin-Maillet, C.; Guijarro, M.; Hernando, C.; Jappiot, M.; Fonturbel, T.; Pérez-Gorostiaga, P.; Vega, J. Spot fires: Fuel bed flammability and capability of firebrands to ignite fuel beds. Int. J. Wildland Fire 2009, 18, 951–969. [Google Scholar] [CrossRef]
- Krupiczka, R. Analysis of thermal conductivity in granular materials. Int. J. Chem. Eng. 1967, 7, 122–144. [Google Scholar] [CrossRef]
- Manzello, S.L.; Cleary, T.G.; Shields, J.R.; Yang, J.C. On the ignition of fuel beds by firebrands. Fire Mater. 2006, 30, 77–87. [Google Scholar] [CrossRef]
- Lautenberger, C.; Fernandez-Pello, A.C. Generalized pyrolysis model for combustible solids. Fire Saf. J. 2009, 44, 819–839. [Google Scholar] [CrossRef]
- Matvienko, O.V.; Kasymov, D.P.; Filkov, A.I.; Daneyko, O.I.; Gorbatov, D.A. Simulation of fuel bed ignition by wildland firebrands. Int. J. Wildland Fire 2018, 27, 550–561. [Google Scholar] [CrossRef]
- Hakes, R.S.P.; Salehizadeh, H.; Weston-Dawkes, M.J.; Gollner, M.J. Thermal characterization of firebrand piles. Fire Saf. J. 2019, 104, 34–42. [Google Scholar] [CrossRef]
- Tao, Z.; Bathras, B.; Kwon, B.; Biallas, B.; Gollner, M.J.; Yang, R. Effect of firebrand size and geometry on heating from a smoldering pile under wind. Fire Saf. J. 2021, 120, 103031. [Google Scholar] [CrossRef]
- Kwon, B. In Proceedings of the Ignition Propensity of Structural Materials Exposed to Multiple Firebrands in Wildland-Urban Interface (WUI) Fires: Effects of Firebrand Distribution and Ambient Wind Spring Technical Meeting of the Central States Section of the Combustion Institute, Detroit, Michigan, 1 May 2022; pp. 1–10.
- Kwon, B.; Liao, Y.-T.T. Effects of spacing on flaming and smoldering firebrands in wildland–urban interface fires. J. Fire Sci. 2022, 40, 155–174. [Google Scholar] [CrossRef]
- Manzello, S.L.; Suzuki, S. The world is burning: What exactly are firebrands and why should anyone care? Front. Mech. Eng. 2023, 8, 1072214. [Google Scholar] [CrossRef]
- Rivera, J.; Hernández, N.; Consalvi, J.; Reszka, P.; Contreras, J.; Fuentes, A. Ignition of wildland fuels by idealized firebrands. Fire Saf. J. 2021, 120, 103036. [Google Scholar] [CrossRef]
- Manzello, S.L.; Suzuki, S. Experimental investigation of wood decking assemblies exposed to firebrand showers. Fire Saf. J. 2017, 92, 122–131. [Google Scholar] [CrossRef] [PubMed]
- Manzello, S.L.; Suzuki, S.; Hayashi, Y. Enabling the study of structure vulnerabilities to ignition from wind driven firebrand showers: A summary of experimental results. Fire Saf. J. 2012, 54, 181–196. [Google Scholar] [CrossRef]
- Manzello, S.L.; Park, S.-H.; Suzuki, S.; Shields, J.R.; Hayashi, Y. Experimental investigation of structure vulnerabilities to firebrand showers. Fire Saf. J. 2011, 46, 568–578. [Google Scholar] [CrossRef]
- Suzuki, S.; Manzello, S.L. Role of accumulation for ignition of fuel beds by firebrands. Appl. Energy Combust. Sci. 2020, 1–4, 100002. [Google Scholar] [CrossRef]
- Manzello, S.L.; Shields, J.R.; Cleary, T.G.; Maranghides, A.; Mell, W.E.; Yang, J.C.; Hayashi, Y.; Nii, D.; Kurita, T. On the development and characterization of a firebrand generator. Fire Saf. J. 2008, 43, 258–268. [Google Scholar] [CrossRef]
- Manzello, S.L.; Suzuki, S. Experimentally Simulating Wind Driven Firebrand Showers in Wildland-urban Interface (WUI) Fires: Overview of the NIST Firebrand Generator (NIST Dragon) Technology. Procedia Eng. 2013, 62, 91–102. [Google Scholar] [CrossRef][Green Version]
- Kasymov, D.P.; Agafontsev, M.V.; Perminov, V.V.; Loboda, E.L.; Loboda, Y.A.; Reyno, V.V.; Orlov, K.E. Study of resistance to ignition of wood structures under the thermal impact of the flow of burning particles. Combust. Explos. Shock. Waves 2023, 2. in press. [Google Scholar]
- Manzello, S.L.; Park, S.-H.; Cleary, T.G. Investigation on the ability of glowing firebrands deposited within crevices to ignite common building materials. Fire Saf. J. 2009, 44, 894–900. [Google Scholar] [CrossRef]
- Viegas, D.; Almeida, M.; Raposo, J.; Oliveira, R.; Viegas, C. Ignition of Mediterranean Fuel Beds by Several Types of Firebrands. Fire Technol. 2014, 50, 61–77. [Google Scholar] [CrossRef]
- Urban, J.L.; Song, J.; Santamaria, S.; Fernandez-Pello, C. Ignition of a spot smolder in a moist fuel bed by a firebrand. Fire Saf. J. 2019, 108, 102833. [Google Scholar] [CrossRef]
- Wessies, S.S.; Chang, M.K.; Marr, K.C.; Ezekoye, O.A. Experimental and Analytical Characterization of Firebrand Ignition of Home Insulation Materials. Fire Technol. 2019, 55, 1027–1056. [Google Scholar] [CrossRef]
- Hernández, N.; Fuentes, A.; Consalvi, J.; Elicer-Cortés, J. Spontaneous ignition of wildland fuel by idealized firebrands. Exp. Therm. Fluid Sci. 2018, 95, 88–95. [Google Scholar] [CrossRef]
- Koo, E.; Rodman, R.; Linn, P.J.; Pagni, C.B. Edminster Modelling firebrand transport in wildfires using HIGRAD/FIRETEC. Int. J. Wildland Fire 2012, 21, 396–417. [Google Scholar] [CrossRef]
- Reszka, P.; Cruz, J.; Valdivia, J.; González, F.; Rivera, J.; Carvajal, C.; Fuentes, A. Ignition delay times of live and dead pinus radiata needles. Fire Saf. J. 2020, 112, 102948. [Google Scholar] [CrossRef]
- Manzello, S.L.; Cleary, T.G.; Shields, J.R.; Maranghides, A.; Mell, W.; Yang, J.C. Experimental investigation of firebrands: Generation and ignition of fuel beds. Fire Saf. J. 2008, 43, 226–233. [Google Scholar] [CrossRef]
- Manzello, S.L.; Cleary, T.G.; Shields, J.R.; Yang, J.C. Ignition of mulch and grasses by firebrands in wildland—Urban interface fires. Int. J. Wildl. Fire 2006, 15, 427–431. [Google Scholar] [CrossRef]
- Meerpoel-Pietri, K.; Tihay-Felicelli, V.; Santoni, P.-A. Determination of the critical conditions leading to the ignition of decking slabs by flaming firebrands. Fire Saf. J. 2021, 120, 103017. [Google Scholar] [CrossRef]
- Filkov, A.; Kasymov, D.; Zima, V.; Matvienko, O. Experimental investigation of surface litter ignition by bark firebrands. AIP Conf. Proc. 2016, 1698, 060004. [Google Scholar] [CrossRef]
- Bearinger, E.D.; Hodges, J.L.; Yang, F.; Rippe, C.M.; Lattimer, B.Y. Localized heat transfer from firebrands to surfaces. Fire Saf. J. 2020, 120, 103037. [Google Scholar] [CrossRef]
- Abul-Huda, Y.M.; Bouvet, N. Thermal dynamics of deposited firebrands using phosphor thermometry. Proc. Combust. Inst. 2021, 38, 4757–4765. [Google Scholar] [CrossRef]
- Warey, A. Influence of thermal contact on heat transfer from glowing firebrands. Case Stud. Therm. Eng. 2018, 12, 301–311. [Google Scholar] [CrossRef]
- Glushkov, D.O.; Kuznetsov, G.V.; Strizhak, P.A. Heat and mass transfer at gas-phase ignition of grinded coal layer by several metal particles heated to a high temperature. Thermophys. Aeromechanics 2017, 24, 593–604. [Google Scholar] [CrossRef]
- Glushkov, D.; Kuznetsov, G.; Strizhak, P. Ignition of a metallized composite solid propellant by a group of hot particles. Combust. Explos. Shock. Waves 2016, 52, 694–702. [Google Scholar] [CrossRef]
- Glushkov, D.O.; Strizhak, P.A. Mathematical Modeling of Heat and Mass Transfer Processes with Chemical Reaction at Polymeric Material Ignition by Several Small-Size Hot Particles. Math. Probl. Eng. 2015, 2015, 613143. [Google Scholar] [CrossRef]
- Manzello, S.L.; Suzuki, S.; Gollner, M.; Carlos Fernandez-Pello, A. Role of firebrand combustion in large outdoor fire spread. Prog. Energy Combust. Sci. 2020, 76, 100801. [Google Scholar] [CrossRef] [PubMed]
- Manzello, S.L.; Suzuki, S. Influence of board spacing on mitigating wood decking assembly ignition. Fire Saf. J. 2019, 110, 102913. [Google Scholar] [CrossRef]
- Suzuki, S.; Manzello, S.L. Investigating Coupled Effect of Radiative Heat Flux and Firebrand Showers on Ignition of Fuel Beds. Fire Technol. 2020, 57, 683–697. [Google Scholar] [CrossRef]
- Manzello, S.; Suzuki, S. Exposing Decking Assemblies to Continuous Wind-Driven Firebrand Showers. Fire Saf. Sci. 2014, 11, 1339–1352. [Google Scholar] [CrossRef][Green Version]
- Ozicik, M.N. Radiative Transfer and Interactions with Conduction and Convection; J. Wiley: Hoboken, NJ, USA, 1973. [Google Scholar]
- Grishin, A.M. Mathematical Modeling of Forest Fires and New Methods of Fighting Them; Albini, F.A., Ed.; Tomsk Publishing House: Tomsk, Russia, 1997. [Google Scholar]
- Grishin, A.M.; Matvienko, O.V. Numerical Investigation of the Formation of a Convective Column and a Fire Tornado by Forest Fires. J. Eng. Phys. Thermophys. 2014, 87, 1080–1093. [Google Scholar] [CrossRef]
- Patankar, S. Numerical Methods of Solving Problems on Heat and Mass Exchange and Fluid Dynamics; Énergoatomizdat: Moscow, Russia, 1983. [Google Scholar]
- Arkhipov, V.A.; Matvienko, O.V.; Trofimov, V.F. Combustion of sprayed liquid fuel in a swirling flow. Combust. Explos. Shock. Waves 2005, 41, 140–150. [Google Scholar] [CrossRef]
- Ushakov, V.M.; Matvienko, O.V. Numerical Investigation of the Heat Exchange and Firing of Reactive Channel Walls by a High-Temperature Swirling-Gas glow. J. Eng. Phys. Thermophys. 2005, 78, 541–547. [Google Scholar] [CrossRef]
- Arkhipov, V.A.; Egorov, A.G.; Ivanin, S.V.; Maslov, E.A.; Matvienko, O.V. Numerical simulation of aerodynamics and combustion of a gas mixture in a channel with sudden expansion. Combust. Explos. Shock Waves 2010, 46, 647–655. [Google Scholar] [CrossRef]
- Matvienko, O.V. Mathematical Modeling of the Heat Transfer and Conditions of Ignition of a Turbulent Flow of a Reactive Gas. J. Eng. Phys. Thermophys. 2016, 89, 212–220. [Google Scholar] [CrossRef]
- Egorov, A.G.; Tizilov, A.S.; Niyazov, V.Y.; Arkhipov, V.A.; Matvienko, O.V. Effect of the swirl of cocurrent high-velocity wind speed on the geometry of an aluminum-air flame. Russ. J. Phys. Chem. 2014, 8, 712–715. [Google Scholar] [CrossRef]
- Westbrook, C.K.; Dryer, F.L. Chemical kinetic modeling of hydrocarbon combustion. Prog. Energy Combust. Sci. 1984, 10, 1–57. [Google Scholar] [CrossRef]
- Loboda, E.; Matvienko, O.; Vavilov, V.; Reyno, V. Infrared thermographic evaluation of flame turbulence scale. Infrared Phys. Technol. 2015, 72, 1–7. [Google Scholar] [CrossRef]
- Matvienko, O.V.; Baigulova, A.I.; Bubenchikov, A.M. Mathematical Modeling of Catalytic Oxidation of Methane in a Channel with a Porous Insert. J. Eng. Phys. Thermophys. 2014, 87, 1298–1312. [Google Scholar] [CrossRef]
- Grishin, A.M.; Matvienko, O.V.; Rudi, Y.A. Mathematical modeling of gas combustion in a twisted jet and of the formation of a fiery whirlwind. J. Eng. Phys. Thermophys. 2009, 82, 906–913. [Google Scholar] [CrossRef]
- Loitsyanskii, L.G. Mekhanika Zhidkosti i Gaza [Fluid and Gas Mechanics]; Nauka Publ.: Moskow, Russia, 1987; 840p. [Google Scholar]
- Gebhart, B.; Jaluria, Y.; Mahajan, R.L.; Sammakia, B. Free-Convective Flows, Heat and Mass Transfer; MIR: Moscow, Russia, 1991; Volume 1, 678p. [Google Scholar]
- Kasymov, D.; Agafontsev, M.; Perminov, V.; Martynov, P.; Reyno, V.; Loboda, E. Experimental Investigation of the Effect of Heat Flux on the Fire Behavior of Engineered Wood Samples. Fire 2020, 3, 61. [Google Scholar] [CrossRef]



















Disclaimer/Publisher’s Note: The statements, opinions and data contained in all publications are solely those of the individual author(s) and contributor(s) and not of MDPI and/or the editor(s). MDPI and/or the editor(s) disclaim responsibility for any injury to people or property resulting from any ideas, methods, instructions or products referred to in the content. |
© 2023 by the authors. Licensee MDPI, Basel, Switzerland. This article is an open access article distributed under the terms and conditions of the Creative Commons Attribution (CC BY) license (https://creativecommons.org/licenses/by/4.0/).
Share and Cite
Matvienko, O.; Kasymov, D.; Loboda, E.; Lutsenko, A.; Daneyko, O. Simulation of the Impact of Firebrands on the Process of the Wood Layer Ignition. Fire 2023, 6, 148. https://doi.org/10.3390/fire6040148
Matvienko O, Kasymov D, Loboda E, Lutsenko A, Daneyko O. Simulation of the Impact of Firebrands on the Process of the Wood Layer Ignition. Fire. 2023; 6(4):148. https://doi.org/10.3390/fire6040148
Chicago/Turabian StyleMatvienko, Oleg, Denis Kasymov, Egor Loboda, Anastasia Lutsenko, and Olga Daneyko. 2023. "Simulation of the Impact of Firebrands on the Process of the Wood Layer Ignition" Fire 6, no. 4: 148. https://doi.org/10.3390/fire6040148
APA StyleMatvienko, O., Kasymov, D., Loboda, E., Lutsenko, A., & Daneyko, O. (2023). Simulation of the Impact of Firebrands on the Process of the Wood Layer Ignition. Fire, 6(4), 148. https://doi.org/10.3390/fire6040148

