Experiment Study on the Effectiveness of Various and Mixed Kinds of Low Expansion Foam of 120# Gasoline Pool Fire Suppression
Abstract
1. Introduction
2. Experimental Setup and Methodology
2.1. Experimental Setup
2.2. Models of Heat Transmission
3. Results and Discussion
3.1. Applicability of Foam Extinguishing Agent
3.2. Fire Suppression Procedure
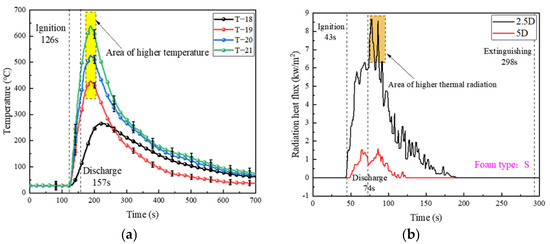
3.3. Temperature Analysis of Foam Extinguishing
3.4. Flame Temperature and Heat Flow in Erectly
3.5. Flow Velocity of Foam on the Oil-Water Mixed Liquids Surface
3.6. Temperature Analysis under the Gasoline Surface of Several foam Extinguishing Agents
3.7. The Foam Stability
4. Conclusions
- (1)
- The instantaneous increase in flame temperature caused by discharging the foam poses a significant risk in actual rescue situations. Time required to put out a fire depends on the fuel’s surface temperature, as we saw above. The findings show that FP foam and AFFF are more effective than water on a 120# gasoline pool fire, and that the cooling performance was noticeable on the fire’s surface. Our video imaging procedure and the resulting curves are an attempt to provide safe temperatures for extinguishing fires with 120# gasoline. In this study, the extinguishing temperatures of 120# gasoline fuel were determined to be in the non-dimensional range of 0.62 to 0.66;
- (2)
- Foam suppression highlights the foam’s cooling function. According to the findings, the order of the foams’ cooling effectiveness in the 120# gasoline pool fire is as follows: S + FP/AR > S + S/AR > AFFF/AR > AFFF + AFFF/AR > S + AFFF/AR > S/AR + AFFF/AR;
- (3)
- According to the results, foam with an expansion ratio of 8.7:1 (FP + AFFF/AR) has greater re-ignition resistance and burn-back protection;
- (4)
- The research presented herein offers a useful framework for selecting foam for liquid fire suppression. The cooling impact of the foam is the most important aspect in the event of 120# gasoline pool fires. Based on the findings of the experiments, FP foam and AFFF are recommended for use in hydrocarbon fuel fire rescues for successful fire suppression. Then, we may utilize synthetic foam and AR-foams to effectively douse the flames with foam and keep the area cold for as long as possible.
Author Contributions
Funding
Institutional Review Board Statement
Informed Consent Statement
Data Availability Statement
Acknowledgments
Conflicts of Interest
References
- Kim, A.K.; Dlugogorski, B.Z. Multipurpose Overhead Compressed-Air Foam System and Its Fire Suppression Performance. J. Fire Prot. Eng. 1996, 8, 133–150. [Google Scholar] [CrossRef]
- Hill, C.; Eastoe, J. Foams: From nature to industry. Adv. Colloid Interface Sci. 2017, 247, 496–513. [Google Scholar] [CrossRef]
- Hill, C.; Czajka, A.; Hazell, G.; Grillo, I.; Rogers, S.E.; Skoda, M.W.; Joslin, N.; Payne, J.; Eastoe, J. Surface and bulk properties of surfactants used in fire-fighting. J. Colloid Interface Sci. 2018, 530, 686–694. [Google Scholar] [CrossRef] [PubMed]
- Yu, X.; Jiang, N.; Miao, X.; Li, F.; Wang, J.; Zong, R.; Lu, S. Comparative studies on foam stability, oil-film interaction and fire extinguishing performance for fluorine-free and fluorinated foams. Process. Saf. Environ. Prot. 2019, 133, 201–215. [Google Scholar] [CrossRef]
- Ranjbar, H.; Shahraki, B.H. Effect of Aqueous Film-Forming Foams on the Evaporation Rate of Hydrocarbon Fuels. Chem. Eng. Technol. 2013, 36, 295–299. [Google Scholar] [CrossRef]
- Sontake, A.R.; Wagh, S.M. The phase-out of perfluorooctane sulfonate (PFOS) and the global future of aqueous film forming foam (AFFF), innovations in fire Fighting foam. Chem. Eng. Sci. 2014, 2, 11–14. [Google Scholar] [CrossRef]
- Zhao, H.; Liu, J.-S. The Feasibility Study of Extinguishing Oil Tank Fire by Using Compressed Air Foam System. Procedia Eng. 2016, 135, 61–66. [Google Scholar] [CrossRef]
- Wang, K.; Fang, J.; Shah, H.R.; Lang, X.; Mu, S.; Zhang, Y.; Wang, J. Research on the influence of foaming gas in compressed air/nitrogen foam on extinguishing the n-heptane tank fire. J. Loss Prev. Process. Ind. 2021, 72, 104533. [Google Scholar] [CrossRef]
- Hinnant, K.; Button, M.; Giles, S.; Snow, A.; Ananth, R. Fuel effects on aqueous film formation and foam degradation and their impact on fire suppression by foams containing fluorosurfactants. Fire Mater. 2020, 45, 833–841. [Google Scholar] [CrossRef]
- Hinnant, K.M.; Giles, S.L.; Smith, E.P.; Snow, A.W.; Ananth, R. Characterizing the role of fluorocarbon and hydrocarbon surfactants in firefighting-foam formulations for fire-suppression. Fire Technol. 2019, 56, 1413–1441. [Google Scholar] [CrossRef]
- Laundess, A.J.; Rayson, M.S.; Dlugogorski, B.Z.; Kennedy, E.M. Small-scale test protocol for firefighting foams DEF (AUST) 5706: Effect of bubble size distribution and expansion ratio. Fire Technol. 2010, 47, 149–162. [Google Scholar] [CrossRef]
- Sheng, Y.; Jiang, N.; Sun, X.; Lu, S.; Li, C. Experimental study on effect of foam stabilizers on aqueous film-forming foam. Fire Technol. 2017, 54, 211–228. [Google Scholar] [CrossRef]
- Chen, T.; Fu, X.-C.; Bao, Z.-M.; Xia, J.-J.; Wang, R.-J. Experimental study on the extinguishing efficiency of compressed air foam sprinkler system on oil pool fire. Procedia Eng. 2018, 211, 94–103. [Google Scholar] [CrossRef]
- Zhao, M.; Ni, X.; Zhang, S.; Cao, W.; Guan, Y.; Liang, C.; Wang, X.; Zhang, H. Improving the performance of fluoroprotein foam in extinguishing gasoline pool fires with addition of bromofluoropropene. Fire Mater. 2014, 40, 261–272. [Google Scholar] [CrossRef]
- Zhang, Q.; Wang, L.; Bi, Y.; Xu, D.; Zhi, H.; Qiu, P. Experimental investigation of foam spread and extinguishment of the large-scale methanol pool fire. J. Hazard. Mater. 2015, 287, 87–92. [Google Scholar] [CrossRef]
- Su, L.; Wang, L.J.; Wang, Z.H.; Zhang, J.; Tian, Y.X.; Yan, Y.G. Investigation on compressed air foams fire-extinguishing model for fuel tray fire. Procedia Eng. 2012, 45, 663–668. [Google Scholar] [CrossRef]
- Xu, Z.; Guo, X.; Yan, L.; Kang, W. Fire-extinguishing performance and mechanism of aqueous film-forming foam in diesel pool fire. Case Stud. Therm. Eng. 2019, 17, 100578. [Google Scholar] [CrossRef]
- Bourgeois, A.; Bergendahl, J.; Rangwala, A. Biodegradability of fluorinated fire-fighting foams in water. Chemosphere 2015, 131, 104–109. [Google Scholar] [CrossRef]
- Wang, K.; Fang, J.; Shah, H.R.; Mu, S.; Lang, X.; Wang, J.; Zhang, Y. A theoretical and experimental study of extinguishing compressed air foam on an n-heptane storage tank fire with variable fuel thickness. Process. Saf. Environ. Prot. 2020, 138, 117–129. [Google Scholar] [CrossRef]
- Kang, W.; Yan, L.; Ding, F.; Guo, X.; Xu, Z. Experimental study on fire-extinguishing efficiency of protein foam in diesel pool fire. Case Stud. Therm. Eng. 2019, 16, 100557. [Google Scholar] [CrossRef]
- Li, Z.; Zhu, H.; Zhao, J.; Zhang, Y.; Hu, L. Experimental Research on the Effectiveness of Different Types of Foam of Extinguishing Methanol/Diesel Pool Fires. Combust. Sci. Technol. 2022, 1–19. [Google Scholar] [CrossRef]
- GB 15308; Foam Extinguishing Agent. Standards Press of China: Beijing, China, 2006.
- Hamins, A.; Kashiwagi, T.; Burch., R. Characteristics of pool fire burning. In Fire Resistance of Industrial Fluids; ASTM International: West Conshohocken, PA, USA, 1995. [Google Scholar]
- Vali, A. Investigation of the Transport Phenomena within the Liquid Phase of a Methanol Pool Fire. Ph.D. Thesis, University of Alberta, Edmonton, AB, Canada, 2014. [Google Scholar]
- Zhao, J.; Huang, H.; Jomaas, G.; Zhong, M.; Yang, R. Experimental study of the burning behaviors of thin-layer pool fires. Combust. Flame 2018, 193, 327–334. [Google Scholar] [CrossRef]
- Drysdale, D. An Introduction to Fire Dynamics, 3rd ed.; John Wiley & Sons, Ltd.: New York, NY, USA, 2011. [Google Scholar]
- Fletcher, T.H.; Haycock, D.; Tollefsen, S.; Lignell, D.O. Merging of Horizontally and Vertically Separated Small-Scale Buoyant Flames. Fire 2021, 4, 51. [Google Scholar] [CrossRef]
- Tao, C.; He, Y.; Zhuang, Y.; Qian, Y.; Cheng, X.; Wang, X. The investigation of flame length of buoyancy-controlled gas fire bounded by wall and ceiling. Appl. Therm. Eng. 2017, 127, 1172–1183. [Google Scholar] [CrossRef]
- Wang, Y.; Vouros, A.; Zhang, J.; Delichatsios, M.A. Numerical and experimental validation study of flame extent of a pool fire under the ceiling. J. Loss Prev. Process. Ind. 2017, 49, 652–659. [Google Scholar] [CrossRef]
- He, P.X.; Wang, P.; Wang, K.; Liu, X.P.; Wang, C.M.; Tao, C.F.; Liu, Y.Q. The evolution on the behavior of flame height and air flow for double rectangular pool fires. Fuel 2019, 237, 486–493. [Google Scholar] [CrossRef]
- Liu, Q.; Du, B.; Yan, Q.; Shi, L.; Li, M.; Li, Z. Study on Coupled Combustion Behavior of Two Parallel Line Fires. Fire 2022, 5, 14. [Google Scholar] [CrossRef]
- Hurley, M.J.; Gottuk, D.; Hall, J.R., Jr.; Harada, K.; Kuligowski, E.; Puchovsky, M.; Torero, J.; Watts, J.M., Jr.; Wieeczrek, C. Foam Agents and AFFF System Design Considerations. In SFPE Handbook of Fire Protection Engineering; Scheffey, J.L., Ed.; Springer: New York, NY, USA, 2015; pp. 1658–1660. [Google Scholar]
- Nakakuki, A. Heat transfer in pool fires at a certain small lip height. Combust. Flame 2002, 131, 259–272. [Google Scholar] [CrossRef]
- Magrabi, S.; Dlugogorski, B.; Jameson, G. A comparative study of drainage characteristics in AFFF and FFFP compressed-air fire-fighting foams. Fire Saf. J. 2002, 37, 21–52. [Google Scholar] [CrossRef]
- Lunkenheimer, K.; Malysa, K.; Winsel, K.; Geggel, K.; Siegel, S. Novel method and parameters for testing and characterization of foam stability. Langmuir 2009, 26, 3883–3888. [Google Scholar] [CrossRef]
- Britan, A.; Ben-Dor, G.; Shapiro, H.; Liverts, M.; Shreiber, I. Drainage effects on shock wave propagating through aqueous foams. Colloids Surf. A Physicochem. Eng. Asp. 2007, 309, 137–150. [Google Scholar] [CrossRef]












| Foam Types | Surface Tension mN/m | Interfacial Tension mN/m | 25% Drainage Time min |
|---|---|---|---|
| S | 16.1 | 4.0 | 5.1 |
| S/AR | 15.0 | 3.1 | 16.5 |
| AFFF | 16.6 | 3.0 | 4.7 |
| AFFF/AR | 17.5 | 2.4 | 15.3 |
| FP | 16.1 | 3.1 | 5.5 |
| FP/AR | 16.0 | 2.7 | 7.5 |
| Foam Types | Essential Component | Application Scene |
|---|---|---|
| S | (Synthetic foaming agent) Sodium alcohol ether sulphate and sodium lauryl sulfate; sodium alkylbenzene sulfonate; ethylene glycol. | Common solid and liquid fire. |
| S/AR | Xanthan gum; other ingredients are consistent with synthetic foam. | Fire of polarity solution. |
| AFFF | Alkyl polyglycolide; Fluorocarbon surfactant FC-4(C20H20F23N2O4I); Ethylene glycol. | Common solid and water-insoluble liquid fire. |
| AFFF/AR | Xanthan gum; other ingredients are consistent with AFFF. | Common solid and liquid fire. |
| FP | Hydrolyzed animal protein; sodium alkylbenzene sulfonate; fluorocarbon surfactant FC-4(C20H20F23N2O4I); ferrous sulphate; methyl 4-hydroxybenzoate; butyl cellosolve. | Common solid and liquid fire. |
| FP/AR | Xanthan gum; other ingredients are consistent with FP. | Fire of polarity solution. |
| Combustible Liquid Fire | Explanation of Symbols in the Table | |||
|---|---|---|---|---|
| No. | Foam Types | Water-insoluble flammable liquid | Water-soluble flammable liquid | ○ indicates that it is applicable; △ means it can be used, the effect is worse than ○, and the use should be limited; □ indicates that it is not normally used, and can be replaced when ○ and △ extinguishing agents are scarce; The information in this table comes from the practical experience of fire fighting and rescue of Guangdong Fire Rescue Corps, and is formulated with reference to China’s current foam firefighting standards |
| 1 | S | ○ | ○ | |
| 2 | S/AR | □ | ○ | |
| 3 | AFFF | ○ | □ | |
| 4 | AFFF/AR | △ | ○ | |
| 5 | FP | ○ | □ | |
| 6 | FP/AR | □ | ○ | |
| No. | Foam Types | Foam Expansion | Fire Extinguishing Time (s) | 25% Burn-Back Time (s) | Consumption of Fire Foam (L) |
|---|---|---|---|---|---|
| 1 | AFFF + AFFF/AR | 8.5 | 122 | 90 | 24.55 |
| 2 | AFFF + S/AR | 7.5 | 137 | 100 | 25.90 |
| 3 | AFFF | 9.0 | 158 | 83 | 28.15 |
| 4 | FP + FP/AR | 5.6 | 160 | 52 | 29.45 |
| 5 | FP + S/AR | 5.9 | 162 | 97 | 31.50 |
| 6 | FP | 6.0 | 162 | 80 | 32.20 |
| 7 | S + AFFF/AR | 6.6 | 163 | 86 | 32.15 |
| 8 | S + AFFF | 8.8 | 178 | 123 | 34.75 |
| 9 | AFFF + FP | 8.1 | 180 | 99 | 35.50 |
| 10 | AFFF/AR | 5.0 | 188 | 88 | 36.05 |
| 11 | S + FP | 6.8 | 205 | 122 | 39.55 |
| 12 | S/AR + AFFF/AR | 5.5 | 223 | 140 | 43.15 |
| 13 | S | 7.0 | 225 | 105 | 42.75 |
| 14 | FP + AFFF/AR | 8.7 | 225 | 223 | 43.75 |
| 15 | S/AR + FP/AR | 5.4 | 229 | 57 | 44.15 |
| 16 | AFFF/AR + FP/AR | 5.1 | 235 | 55 | 46.75 |
| 17 | S + FP/AR | 6.8 | 258 | 119 | 48.55 |
| 18 | AFFF + FP/AR | 8.0 | 266 | 84 | 50.75 |
| 19 | FP/AR | 5.2 | 275 | 50 | 52.65 |
| 20 | S + S/AR | 6.2 | 276 | 110 | 53.15 |
| 21 | S/AR | 9.3 | 375 | 100 | 75.75 |
| No. | Foam Extinguishing Agent | The Temperature When Firing Suppression (°C) | The Temperature after 200 s of Fire Suppression (°C) | No. | Foam Extinguishing Agent | The Temperature When Firing Suppression (°C) | The Temperature after 200 s of Fire Suppression (°C) |
|---|---|---|---|---|---|---|---|
| 1 | S | 29.59 | 36.94 | 12 | AFFF + FP | 47.91 | 47.93 |
| 2 | AFFF | 46.10 | 37.19 | 13 | AFFF + S/AR | 42.30 | 41.87 |
| 3 | FP | 32.60 | 46.22 | 14 | AFFF + AFFF/AR | 35.60 | 41.92 |
| 4 | S/AR | 29.68 | 38.21 | 15 | AFFF + FP/AR | 52.73 | 48.05 |
| 5 | AFFF/AR | 31.56 | 41.73 | 16 | FP + S/AR | 36.00 | 43.81 |
| 6 | FP/AR | 42.95 | 44.04 | 17 | FP + AFFF/AR | 32.99 | 43.96 |
| 7 | S + AFFF | 30.70 | 43.13 | 18 | FP + FP/AR | 33.34 | 47.47 |
| 8 | S + FP | 35.61 | 39.76 | 19 | S/AR + AFFF/AR | 39.95 | 45.27 |
| 9 | S + S/AR | 58.01 | 49.71 | 20 | S/AR + FP/AR | 43.35 | 51.47 |
| 10 | S + AFFF/AR | 42.82 | 42.43 | 21 | AFFF/AR + FP/AR | 36.32 | 48.68 |
| 11 | S + FP/AR | 41.16 | 46.78 |
| No. | Foam | Time of Flow (s) | Speed of Flow (m·s−1) | No. | Foam | Time of Flow (s) | Speed of Flow (m·s−1) |
|---|---|---|---|---|---|---|---|
| 1 | AFFF + AFFF/AR | 127 | 0.0189 | 12 | S + FP | 188 | 0.0128 |
| 2 | AFFF + S/AR | 130 | 0.0185 | 13 | FP + AFFF/AR | 193 | 0.0124 |
| 3 | FP + FP/AR | 138 | 0.0174 | 14 | FP/AR | 195 | 0.0123 |
| 4 | FP + S/AR | 143 | 0.0168 | 15 | S/AR + FP/AR | 204 | 0.0118 |
| 5 | S + AFFF/AR | 152 | 0.0158 | 16 | S/AR + AFFF/AR | 210 | 0.0114 |
| 6 | AFFF | 156 | 0.0153 | 17 | S + FP/AR | 213 | 0.0113 |
| 7 | FP | 156 | 0.0153 | 18 | S + S/AR | 216 | 0.0111 |
| 8 | AFFF + FP | 160 | 0.0150 | 19 | AFFF + FP/AR | 217 | 0.0111 |
| 9 | S | 163 | 0.0147 | 20 | AFFF/AR + FP/AR | 223 | 0.0108 |
| 10 | S + AFFF | 170 | 0.0141 | 21 | S/AR | 316 | 0.0076 |
| 11 | AFFF/AR | 170 | 0.0141 |
Disclaimer/Publisher’s Note: The statements, opinions and data contained in all publications are solely those of the individual author(s) and contributor(s) and not of MDPI and/or the editor(s). MDPI and/or the editor(s) disclaim responsibility for any injury to people or property resulting from any ideas, methods, instructions or products referred to in the content. |
© 2023 by the authors. Licensee MDPI, Basel, Switzerland. This article is an open access article distributed under the terms and conditions of the Creative Commons Attribution (CC BY) license (https://creativecommons.org/licenses/by/4.0/).
Share and Cite
Li, Z.; Zhu, H.; Qiu, F.; Zhao, J.; Tian, C. Experiment Study on the Effectiveness of Various and Mixed Kinds of Low Expansion Foam of 120# Gasoline Pool Fire Suppression. Fire 2023, 6, 121. https://doi.org/10.3390/fire6030121
Li Z, Zhu H, Qiu F, Zhao J, Tian C. Experiment Study on the Effectiveness of Various and Mixed Kinds of Low Expansion Foam of 120# Gasoline Pool Fire Suppression. Fire. 2023; 6(3):121. https://doi.org/10.3390/fire6030121
Chicago/Turabian StyleLi, Zhaoqian, Hongqing Zhu, Feng Qiu, Jinlong Zhao, and Chang Tian. 2023. "Experiment Study on the Effectiveness of Various and Mixed Kinds of Low Expansion Foam of 120# Gasoline Pool Fire Suppression" Fire 6, no. 3: 121. https://doi.org/10.3390/fire6030121
APA StyleLi, Z., Zhu, H., Qiu, F., Zhao, J., & Tian, C. (2023). Experiment Study on the Effectiveness of Various and Mixed Kinds of Low Expansion Foam of 120# Gasoline Pool Fire Suppression. Fire, 6(3), 121. https://doi.org/10.3390/fire6030121
