Canadian Fire Management Agency Readiness for WildFireSat: Assessment and Strategies for Enhanced Preparedness
Abstract
1. Introduction
1.1. Fire Intelligence and Use
1.2. WildfFireSat
1.3. Readiness for WildfFireSat
“…the key to operational success remains in the hands of the wildfire management community. In order to achieve meaningful impact in wildfire management operations, the end-user engagement described in this study must continue for the duration of the mission to ensure that wildfire management needs continue to be heard and that wildfire managers develop a sense of ownership in the mission.”Johnston et al. [23].
1.4. Objectives
2. Methods
2.1. Determine our Construct for Readiness
- Understanding: This factor considers the degree and scope of knowledge about remote sensing, associated products, and uses within an agency (e.g., planning, interpretation, and decision-making using spatial and modelling products). A high level of understanding of remote sensing and associated modelling suggests that agencies are better positioned to envision where and how WildFireSat products can integrate into current operations. This can include inference on the degree of change necessary in policies, procedures, and practices, as well as the willingness to make the appropriate changes.
- Organization: This factor considers the capacity of the people, culture, processes, and agency structure to incorporate WildFireSat data products into policies, procedures, and practices. A high level of organization capacity signifies that there are elements (such as administrational supports and flexible processes) in place to develop the necessary implementation plans (e.g., training, procedures, communications). This can also mean that the agency has a culture of innovation, support from champions and upper management, and openness to use remote sensing and associated products.
- Information management and information technology (IMIT): This factor considers the agility, familiarity, and processes required to implement WildFireSat data products and is specific to the hardware, software, storage, organization, and retrieval of information and data within an agency. Although this indicator is one element of overall organizational readiness, it is important to assess this separately given the specific support required from IMIT due to the nature of the products expected with WildFireSat and how they must be integrated by agencies in their IMIT systems.
2.2. Determine the Scope
2.3. Design and Complete the Agency Survey
2.4. Score Indicators of Agency Readiness
2.5. Assign Weights to the Contribution of Indicator Scores to Readiness
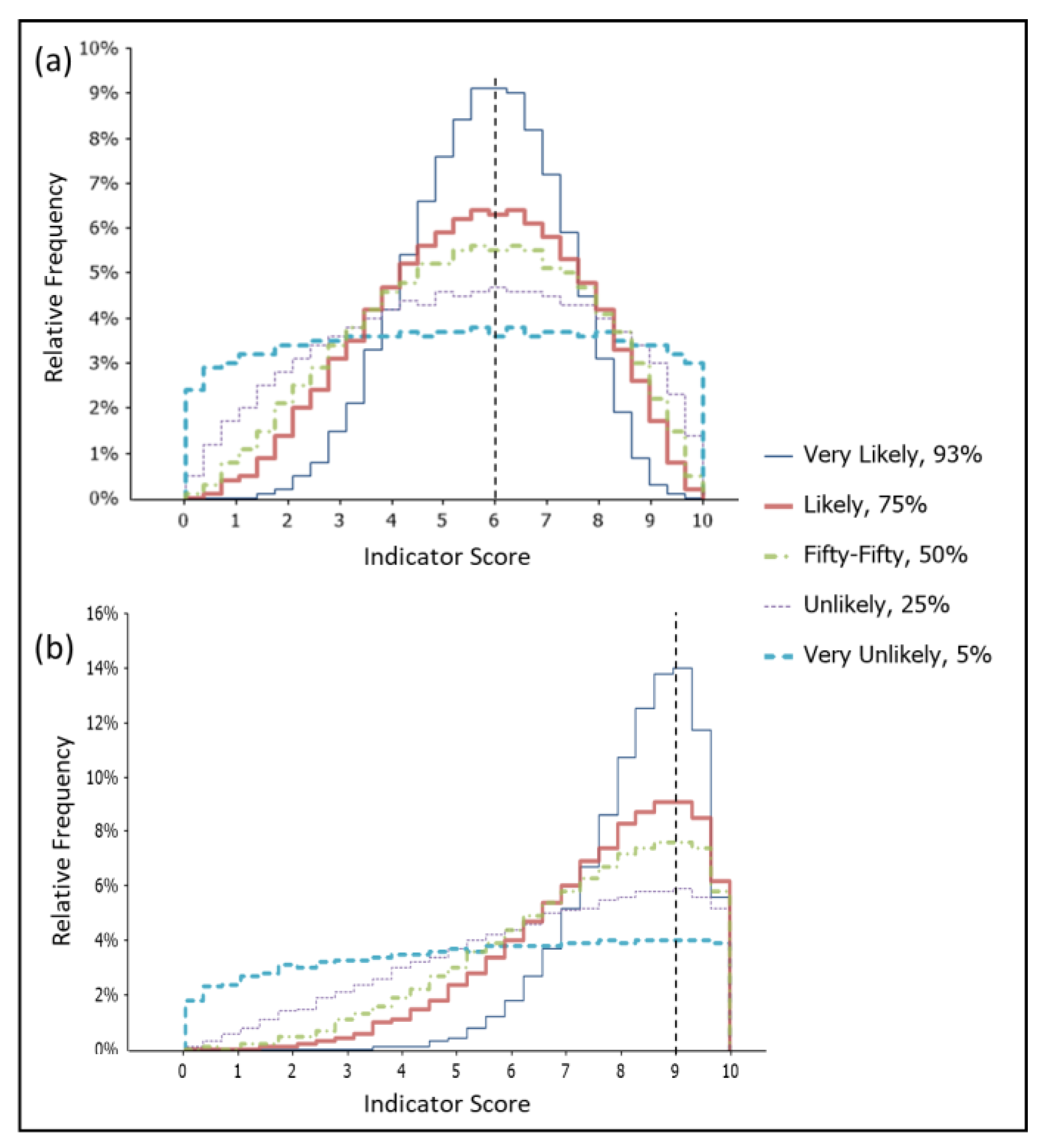
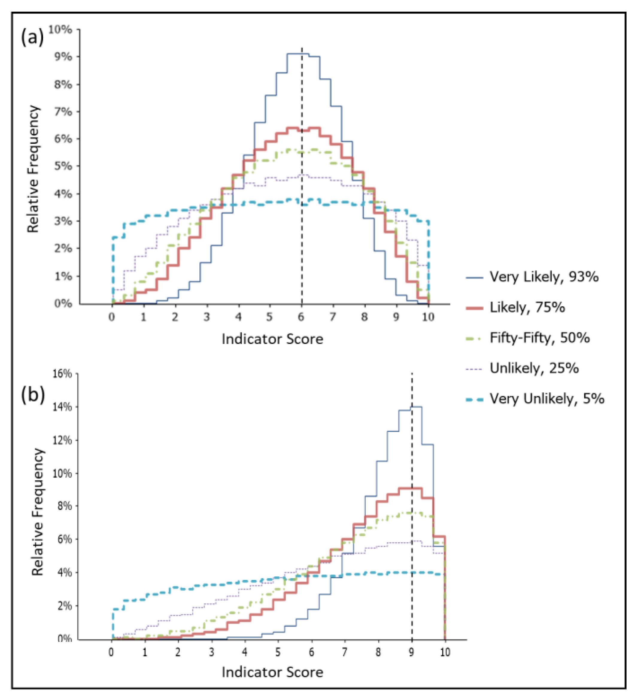
2.6. Characterize Uncertainty and Calibrate with Fire Management Subject Matter Experts
- The indicator scores may not accurately represent the agency’s state because:
- The survey questions may have been misinterpreted, or
- The survey responses may not represent the agency’s state, or
- The survey responses may have been misinterpreted when scoring the indicators.
- 2.
- The contribution weights may not accurately represent the strength of the relationship between each indicator and the agency readiness component.
2.7. Explore Agency Similarities
3. Results
3.1. Readiness Results
3.2. Agency Similarity Results
4. Discussion
4.1. Strategies and Activities That May Increase Readiness
4.2. Applications
4.3. Limitations
4.4. Validation
5. Conclusions
Supplementary Materials
Author Contributions
Funding
Institutional Review Board Statement
Informed Consent Statement
Data Availability Statement
Acknowledgments
Conflicts of Interest
References
- Wein, R.W.; MacLean, D.A. The Role of Fire in Northern Circumpolar Ecosystems; John Wiley and Sons: Hoboken, NJ, USA, 1983. [Google Scholar]
- MNP. A Review of the 2016 Horse River Wildfire; MNP LLP, Alberta Agriculture and Forestry Preparedness and Response: Edmonton, AB, Canada, 2017; 92p, Available online: https://wildfire.alberta.ca/resources/reviews/2016-wildfire-review.aspx (accessed on 1 December 2022).
- Cruz, M.; Sullivan, A.; Gould, J.; Sims, N.; Bannister, A.; Hollis, J.; Hurley, R. Anatomy of a catastrophic wildfire: The Black Saturday Kilmore East fire in Victoria, Australia. For. Ecol. Manag. 2012, 284, 269–285. [Google Scholar] [CrossRef]
- Coogan, S.C.; Robinne, F.-N.; Jain, P.; Flannigan, M. Scientists’ warning on wildfire—A Canadian perspective. Can. J. For. Res. 2019, 49, 1015–1023. [Google Scholar] [CrossRef]
- Flannigan, M.D.; Amiro, B.D.; Logan, K.A.; Stocks, B.J.; Wotton, B.M. Forest Fires and Climate Change in the 21st Century. Mitig. Adapt. Strat. Glob. Chang. 2005, 11, 847–859. [Google Scholar] [CrossRef]
- Flannigan, M.D.; Krawchuk, M.A.; De Groot, W.J.; Wotton, B.M.; Gowman, L.M. Implications of changing climate for global wildland fire. Int. J. Wildland Fire 2009, 18, 483–507. [Google Scholar] [CrossRef]
- Coogan, S.C.P.; Cai, X.; Jain, P.; Flannigan, M. Seasonality and trends in human- and lightning-caused wildfires ≥ 2 ha in Canada, 1959–2018. Int. J. Wildland Fire 2020, 29, 473–485. [Google Scholar] [CrossRef]
- Wotton, B.M.; Nock, C.A.; Flannigan, M.D. Forest fire occurrence and climate change in Canada. Int. J. Wildland Fire 2010, 19, 253–271. [Google Scholar] [CrossRef]
- Flannigan, M.; Stocks, B.; Wotton, B. Climate change and forest fires. Sci. Total Environ. 2000, 262, 221–229. [Google Scholar] [CrossRef]
- Wotton, B.M.; Flannigan, M.; Marshall, A.G. Potential climate change impacts on fire intensity and key wildfire suppression thresholds in Canada. Environ. Res. Lett. 2017, 12, 095003. [Google Scholar] [CrossRef]
- Jain, P.; Wang, X.; Flannigan, M.D. Trend analysis of fire season length and extreme fire weather in North America between 1979 and 2015. Int. J. Wildland Fire 2017, 26, 1009–1020. [Google Scholar] [CrossRef]
- Wotton, B.M.; Flannigan, M.D. Length of the fire season in a changing climate. For. Chron. 1993, 69, 187–192. [Google Scholar] [CrossRef]
- Gaur, A.; Bénichou, N.; Armstrong, M.; Hill, F. Potential future changes in wildfire weather and behavior around 11 Canadian cities. Urban Clim. 2021, 35, 100735. [Google Scholar] [CrossRef]
- Hanes, C.; Wang, X.; Jain, P.; Parisien, M.-A.; Little, J.M.; Flannigan, M.D. Fire-regime changes in Canada over the last half century. Can. J. For. Res. 2019, 49, 256–269. [Google Scholar] [CrossRef]
- Hope, E.S.; McKenney, D.W.; Pedlar, J.H.; Stocks, B.J.; Gauthier, S. Wildfire Suppression Costs for Canada under a Changing Climate. PLoS ONE 2016, 11, e0157425. [Google Scholar] [CrossRef] [PubMed]
- Paveglio, T.B.; Brenkert-Smith, H.; Hall, T.; Smith, A.M.S. Understanding social impact from wildfires: Advancing means for assessment. Int. J. Wildland Fire 2015, 24, 212–224. [Google Scholar] [CrossRef]
- Hoffman, K.M.; Christianson, A.C.; Gray, R.W.; Daniels, L. Western Canada’s new wildfire reality needs a new approach to fire management. Environ. Res. Lett. 2022, 17, 061001. [Google Scholar] [CrossRef]
- Johnston, L.M.; Wang, X.; Erni, S.; Taylor, S.W.; Mcfayden, C.B.; Oliver, J.A.; Stockdale, C.; Christianson, A.; Boulanger, Y.; Gauthier, S.; et al. Wildland fire risk research in Canada. Environ. Rev. 2020, 28, 164–186. [Google Scholar] [CrossRef]
- Zimmerman, T. Wildland fire management decision making. J. Agric. Sci. Technol. 2012, 2, 169–178. [Google Scholar]
- Boychuk, D.; McFayden, C.B.; Evens, J.; Shields, J.; Stacey, A.; Woolford, D.G.; Wotton, M.; Johnston, D.; Leonard, D.; McLarty, D. Assembling and Customizing Multiple Fire Weather Forecasts for Burn Probability and Other Fire Management Applications in Ontario, Canada. Fire 2020, 3, 16. [Google Scholar] [CrossRef]
- Martell, D.L. A Review of Recent Forest and Wildland Fire Management Decision Support Systems Research. Curr. For. Rep. 2015, 1, 128–137. [Google Scholar] [CrossRef]
- McLennan, J.; Holgate, A.M.; Omodei, M.M.; Wearing, A.J. Decision Making Effectiveness in Wildfire Incident Management Teams. J. Conting. Crisis Manag. 2006, 14, 27–37. [Google Scholar] [CrossRef]
- Johnston, J.M.; Jackson, N.; Mcfayden, C.; Phong, L.N.; Lawrence, B.; Davignon, D.; Wooster, M.J.; Van Mierlo, H.; Thompson, D.K.; Cantin, A.S.; et al. Development of the User Requirements for the Canadian WildFireSat Satellite Mission. Sensors 2020, 20, 5081. [Google Scholar] [CrossRef] [PubMed]
- Thompson, M.P.; Calkin, D.E. Uncertainty and risk in wildland fire management: A review. J. Environ. Manag. 2011, 92, 1895–1909. [Google Scholar] [CrossRef] [PubMed]
- Lipshitz, R.; Strauss, O. Coping with Uncertainty: A Naturalistic Decision-Making Analysis. Organ. Behav. Hum. Decis. Processes 1997, 69, 149–163. [Google Scholar] [CrossRef]
- KPMG. May 2016 Wood Buffalo Wildfire Post-Incident Assessment Report. 2017. Available online: https://open.alberta.ca/publications/may-2016-wood-buffalo-wildfire-post-incident-assessment-report (accessed on 10 February 2023).
- Rapp, C.; Rabung, E.; Wilson, R.; Toman, E. Wildfire decision support tools: An exploratory study of use in the United States. Int. J. Wildland Fire 2020, 29, 581–594. [Google Scholar] [CrossRef]
- Government of Canada. WildFireSat: Enhancing Canada’s Ability to Manage Wildfires. Canadian Space Agency. 2022. Available online: https://www.asc-csa.gc.ca/eng/satellites/wildfiresat/ (accessed on 1 December 2022).
- Government of Canada. WildFireSat Mission Requirements Document, Rev. A; Canadian Space Agency: Ottawa, ON, Canada, 2022.
- Wooster, M.J.; Roberts, G.J.; Giglio, L.; Roy, D.P.; Freeborn, P.H.; Boschetti, L.; Justice, C.; Ichoku, C.; Schroeder, W.; Davies, D.; et al. Satellite remote sensing of active fires: History and current status, applications and future requirements. Remote Sens. Environ. 2021, 267, 112694. [Google Scholar] [CrossRef]
- Land Processes Distributed Active Archive Center (LP DAAC). Aqua MODIS Acquisition Plan Through August 2026. USGS. (10 November 2021). Available online: https://lpdaac.usgs.gov/news/aqua-modis-acquisition-plan-through-august-2026/ (accessed on 1 December 2022).
- MODIS Characterization Support Team (MCST). Terra/MODIS Prepares for Constellation Exit. NASA. (20 September 2022). Available online: https://mcst.gsfc.nasa.gov/news/terramodis-prepares-constellation-exit. (accessed on 1 December 2022).
- Ramsay, B.; Flett, D.; Andersen, H.S.; Gill, R.; Nghiem, S.; Bertoia, C. Preparation for the operational use of RADARSAT-2 for ice monitoring. Can. J. Remote Sens. 2004, 30, 415–423. [Google Scholar] [CrossRef]
- Arkett, M.; Braithwaite, L.; Pestieau, P.; Carrieres, T.; Pogson, L.; Fabi, C.; Geldsetzer, T. Preparation by the Canadian Ice Service for the Operational Use of the RADARSAT Constellation Mission in their Ice and Oil Spill Monitoring Programs. Can. J. Remote Sens. 2015, 41, 380–389. [Google Scholar] [CrossRef]
- McFayden, C.B.; George, C.; Johnston, L.M.; Wotton, M.; Johnston, D.; Sloane, M.; Johnston, J.M. A case-study ofwildland fire management knowledge exchange: The barriers and facilitators in the development and integration of the Canadian Forest Fire Danger Rating System in Ontario, Canada. Int. J. Wildland Fire 2022, 31, 835–846. [Google Scholar] [CrossRef]
- Rafferty, A.E.; Jimmieson, N.; Armenakis, A.A. Change Readiness. J. Manag. 2013, 39, 110–135. [Google Scholar] [CrossRef]
- Sankey, S. Blueprint for Wildland Fire Science in Canada (2019–2029); Natural Resources Canada, Canadian Forest Service, Northern Forestry Centre: Edmonton, AB, Canada, 2018; Available online: http://cfs.nrcan.gc.ca/publications?id=39429 (accessed on 10 February 2023).
- Canadian Council of Forest Ministers. Canadian Wildland Fire Strategy: A 10-Year Review and Renewed Call to Action; Natural Resources Canada: Ottawa, ON, Canada, 2016; ISBN 978-0-660-05656-2. Available online: https://www.ccfm.org/releases/canadian-wildland-fire-strategy-a-10-year-review-and-renewed-call-to-action/ (accessed on 10 February 2023).
- Canadian Council of Forest Ministers. Canadian Council of Forest Ministers Wildland Fire Management Working Group—Action Plan 2021–2026; Natural Resources Canada: Ottawa, ON, Canada, 2021; ISBN 978-0-660-39184-7. Available online: https://www.ccfm.org/releases/wildland-fire-management-working-group-action-plan-2021-2026/ (accessed on 10 February 2023).
- Worley, C.G.; Lawler, E.E. Building a Change Capability at Capital One Financial. Organ. Dyn. 2009, 38, 245–251. [Google Scholar] [CrossRef]
- Armenakis, A.A.; Harris, S.G.; Mossholder, K. Creating Readiness for Organizational Change. Hum. Relat. 1993, 46, 681–703. [Google Scholar] [CrossRef]
- Lokuge, S.; Sedera, D.; Grover, V.; Dongming, X. Organizational readiness for digital innovation: Development and empirical calibration of a construct. Inf. Manag. 2019, 56, 445–461. [Google Scholar] [CrossRef]
- Ford, J.D.; King, D. A framework for examining adaptation readiness. Mitig. Adapt. Strat. Glob. Chang. 2015, 20, 505–526. [Google Scholar] [CrossRef]
- McFayden, C.B.; Johnston, L.M.; Woolford, D.G.; George, C.; Johnston, D.; Boychuk, D.; Wotton, B.M.; Johnston, J.M. A Conceptual Framework for Knowledge Exchange in a Wildland Fire Research and Practice Context. In Applied Data Science: Data Translators Across the Disciplines; Woolford, D., Kotsopoulos, D., Samuels, B., Eds.; Springer, Interdisciplinary Applied Sciences: London, UK, in press.
- Gopalakrishnan, S.; Santoro, M. Distinguishing Between Knowledge Transfer and Technology Transfer Activities: The Role of Key Organizational Factors. IEEE Trans. Eng. Manag. 2004, 51, 57–69. [Google Scholar] [CrossRef]
- Yusif, S.; Hafeez-Baig, A.; Soar, J. e-Health readiness assessment factors and measuring tools: A systematic review. Int. J. Med. Inform. 2017, 107, 56–64. [Google Scholar] [CrossRef] [PubMed]
- Digman, L.A. Organizational factors related to technology transfer and innovation. J. Technol. Transf. 1977, 2, 61–68. [Google Scholar] [CrossRef]
- Goodman, S.J.; Gurka, J.; DeMaria, M.; Schmit, T.J.; Mostek, A.; Jedlovec, G.; Siewert, C.; Feltz, W.; Gerth, J.; Brummer, R.; et al. The GOES-R Proving Ground: Accelerating User Readiness for the Next-Generation Geostationary Environmental Satellite System. Bull. Am. Meteorol. Soc. 2012, 93, 1029–1040. [Google Scholar] [CrossRef]
- Hossain, F.; Srinivasan, M.; Peterson, C.; Andral, A.; Beighley, E.; Anderson, E.; Amini, R.; Birkett, C.; Bjerklie, D.; Blain, C.A.; et al. Engaging the User Community for Advancing Societal Applications of the Surface Water Ocean Topography Mission. Bull. Am. Meteorol. Soc. 2017, 98, ES285–ES290. [Google Scholar] [CrossRef]
- Lalonde, S.J.; Mach, K.J.; Anderson, C.M.; Francis, E.J.; Sanchez, D.L.; Stanton, C.Y.; Turner, P.A.; Field, C.B. Forest management in the Sierra Nevada provides limited carbon storage potential: An expert elicitation. Ecosphere 2018, 9, e02321. [Google Scholar] [CrossRef]
- Fried, J.S.; Gilless, J.K. Expert opinion estimation of fireline production rates. For. Sci. 1989, 35, 870–877. [Google Scholar] [CrossRef]
- Hirsch, K.G.; Corey, P.N.; Martell, D.L. Using expert judgment to model initial attack fire crew effectiveness. For. Sci. 1998, 44, 539–549. [Google Scholar] [CrossRef]
- Miller, C.; Landres, P. Exploring Information Needs for Wildland Fire and Fuels Management; RMRS-GTR-127; Department of Agriculture, Forest Service, Rocky Mountain Research Station: Fort Collins, CO, USA, 2004; 36p. [Google Scholar] [CrossRef]
- Mcfayden, C.B.; Boychuk, D.; Woolford, D.G.; Wheatley, M.J.; Johnston, L. Impacts of wildland fire effects on resources and assets through expert elicitation to support fire response decisions. Int. J. Wildland Fire 2019, 28, 885–900. [Google Scholar] [CrossRef]
- Thompson, M.P.; Scott, J.; Helmbrecht, D.; Calkin, E.D. Integrated wildfire risk assessment: Framework development and application on the Lewis and Clark National Forest in Montana, USA. Integr. Environ. Assess. Manag. 2013, 9, 329–342. [Google Scholar] [CrossRef] [PubMed]
- Venn, T.J.; Calkin, D.E. Accommodating non-market values in evaluation of wildfire management in the United States: Challenges and opportunities. Int. J. Wildland Fire 2011, 20, 327–339. [Google Scholar] [CrossRef]
- Canadian Council of Forest Ministers. Canadian Dialog on Wildland Fire and Forest Resilience—What We Heard Report; Natural Resources Canada: Ottawa, ON, Canada, 2022; ISBN 978-0-660-43722-4. Available online: https://www.ccfm.org/releases/canadian-dialogue-on-wildland-fire-and-forest-resilience-what-we-heard-report-spring-2022/ (accessed on 10 February 2023).
- Gordon, G. Developing More Common Language, Terminology and Data Standards for Wildland Fire Management in Canada; Canadian Forest Fire Interagency Centre: Winnipeg, MB, Canada, 2014; 45p, Available online: https://www.ciffc.ca/sites/default/files/2019-03/Developing_More_Common_Terminolgy_-_Final_Report.pdf (accessed on 10 February 2023).
- Gordon, G. Workforce Demographic Issues in Canada’s Wildland Fire Management Agencies; Canadian Forest Fire Interagency Centre: Winnipeg, MB, Canada, 2014; 51p, Available online: https://ciffc.ca/sites/default/files/2019-03/Workforce_Demographic_Issues_-_Final_2.pdf (accessed on 10 February 2023).
- Tymstra, C.; Stocks, B.J.; Cai, X.; Flannigan, M.D. Wildfire management in Canada: Review, challenges and opportunities. Prog. Disaster Sci. 2020, 5, 100045. [Google Scholar] [CrossRef]
- Knol, A.B.; Slottje, P.; Van Der Sluijs, J.P.; Lebret, E. The use of expert elicitation in environmental health impact assessment: A seven step procedure. Environ. Health 2010, 9, 19. [Google Scholar] [CrossRef]
- Hardy, C.C. Wildland fire hazard and risk: Problems, definitions, and context. For. Ecol. Manag. 2005, 211, 73–82. [Google Scholar] [CrossRef]
- Cambridge University Press. Readiness. Cambridge Dictionary. Available online: https://dictionary.cambridge.org/dictionary/english/readiness (accessed on 1 December 2022).
- Canadian Interagency Forest Fire Centre (CIFFC). Glossary of Forest Fire Management Terms; Canadian Interagency Forest Fire Centre: Winnipeg, MB, Canada, 2022; Available online: https://www.ciffc.ca/publications/glossary (accessed on 20 October 2022).
- Landry, M.; Malouin, J.L.; Oral, M. Model validation in operations research. Eur. J. Oper. Res. 1983, 14, 207–220. [Google Scholar] [CrossRef]
- Canadian Interagency Forest Fire Centre (CIFFC). Directory of Wildland Fire Management Personnel; Canadian Interagency Forest Fire Centre: Winnipeg, MB, Canada, 2022; Available online: https://www.ciffc.ca/sites/default/files/2022-04/Directory_2022_04_01_1.pdf (accessed on 23 January 2022).
- Winship, C.; Mare, R.D. Models for Sample Selection Bias. Annu. Rev. Soc. 1992, 18, 327–350. [Google Scholar] [CrossRef]
- Roux, D.J.; Rogers, K.H.; Biggs, H.C.; Ashton, P.J.; Sergeant, A. Bridging the Science–Management Divide: Moving from Unidirectional Knowledge Transfer to Knowledge Interfacing and Sharing. Ecol. Soc. 2006, 11, 4. [Google Scholar] [CrossRef]
- Canadian Forest Service (CFS). Canadian National Fire Database—Agency Fire Data; Natural Resources Canada, Canadian Forest Service, Northern Forestry Centre: Edmonton, AB, Canada; Available online: https://cwfis.cfs.nrcan.gc.ca/ha/nfdb (accessed on 12 October 2022).
- Public Safety Canada. The Canadian Disaster Database; Government of Canada: Ottawa, ON, Canada, 2022; Available online: https://www.publicsafety.gc.ca/cnt/rsrcs/cndn-dsstr-dtbs/index-en.aspx (accessed on 10 February 2023).
- Canadian Forest Service (CFS). Evacuation Dataset. Internal Data; Canadian Forest Service: Ottawa, ON, Canada, 2021. [Google Scholar]
- Canadian Interagency Forest Fire Centre (CIFFC). Canadian Fire Costs 2019. Internal Data; Canadian Interagency Forest Fire Centre: Winnipeg, MB, Canada, 2020. [Google Scholar]
- Statistics Canada. Consumer Price Index, Annual Average, not Seasonally Adjusted. Table 18-10-0005-01; Government of Canada: Ottawa, ON, Canada, 2022; Available online: https://www150.statcan.gc.ca/t1/tbl1/en/tv.action?pid=1810000501&pickMembers%5B0%5D=1.2&cubeTimeFrame.startYear=2000&cubeTimeFrame.endYear=2019&referencePeriods=20000101%2C20190101 (accessed on 10 February 2023).
- Weber, E.U.; Hilton, D.J. Contextual effects in the interpretations of probability words: Perceived base rate and severity of events. J. Exp. Psychol. Hum. Percept. Perform. 1990, 16, 781–789. [Google Scholar] [CrossRef]
- Vose, D. Risk Analysis, A Quantitative Guide; John Wiley & Sons Ltd.: Hoboken, NJ, USA, 2000. [Google Scholar]
- Day, W.H.E.; Edelsbrunner, H. Efficient algorithms for agglomerative hierarchical clustering methods. J. Classif. 1984, 1, 7–24. [Google Scholar] [CrossRef]
- Sneath, P.H.; Sokal, R. Numerical Taxonomy; W. H. Freeman and Company: New York, NY, USA, 1973. [Google Scholar]
- Dixon, J.K. Pattern Recognition with Partly Missing Data. IEEE Trans. Syst. Man Cybern. 1979, 9, 617–621. [Google Scholar] [CrossRef]
- Atayero, A.A.; Oluwatobi, S.O.; Alege, P.O. An Assessment of the Internet of Things (IoT) Adoption Readiness of Sub-Saharan Africa. J. S. Afr. Bus. Res. 2016, 13, 1–13. [Google Scholar] [CrossRef]
- Woolford, D.G.; Martell, D.L.; McFayden, C.B.; Evens, J.; Stacey, A.; Wotton, B.M.; Boychuk, D. The development and implementation of a human-caused wildland fire occurrence prediction system for the province of Ontario, Canada. Can. J. For. Res. 2021, 51, 303–325. [Google Scholar] [CrossRef]








| 1 | Official duration of the fire season a [60] | 2 | 20 years median annual number of fires (2002–2021) [69] |
| 3 | Ratio of 95th percentile and median annual number of fires [69] | 4 | 20 years median annual area burned (2002–2021) [69] |
| 5 | Ratio of 95th percentile and medial annual area burned [69] | 6 | 10 years number of wildfire disasters (2012–2021) [70] |
| 7 | 10 yr. number of evacuation events (2012–2021) [71] | 8 | 10 years median fixed costs, adjusted to 2019 dollars (2008–2017) b,c [72] |
| 9 | Relative average change of fixed costs (trend) adjusted to 2019 dollars (2008–2017) b,c | ||
| 10 | Fire suppression service partnerships | 11 | Fire management partnerships |
| 12 | Science and translation collaborative partners | 13 | Training and implementation collaborative partners |
| 14 | Innovation and knowledge transfer full time equivalent positions (weighted by staff count) | 15 | Number of operational plans for preparedness and operations |
| 16 | Expected type of users for WildFireSat (e.g., all levels in the organization, function specific) | 17 | Number or geospatial staff |
| 18 | How knowledge of fixed wing and drone remote sensing is organized (e.g., centralized, distributed) | 19 | Types of remote sensing platforms currently used |
| 20 | Use of current space-based earth observation data | 21 | Degree of implementation of space-based earth observation data (e.g., derived products) |
| 22 | Large fire mapping process sophistication | 23 | Landscape scale situational awareness methods sophistication |
| 24 | Sophistication of operating procedures for fire monitoring | 25 | Escalation triage, the sophistication of methods and tools to prioritize fires |
| 26 | Existence of policies and procedures to govern approval of fire intelligence | 27 | Degree of process to determine what intelligence can be used operationally (e.g., directed, ad-hoc) |
| 28 | Frequency of use of current external intelligence sources | 29 | Complexity of process to implement new software or tool |
| 30 | Potential use of WildFireSat considering agency preference for external web-based access and in-house development | 31 | Number of agency groups or cadres to be engaged in WildFireSat preparedness |
| 32 | Current use of open-source and proprietary web services | 33 | Current barriers to open-source web service use |
| 34 | Current barriers to proprietary web service use | 35 | Current agency metadata standards or requirements |
| Strategy | Activities |
|---|---|
| Increasing education and training in remote sensing and for interpretation of fire intelligence for decision-making |
|
| |
Disclaimer/Publisher’s Note: The statements, opinions and data contained in all publications are solely those of the individual author(s) and contributor(s) and not of MDPI and/or the editor(s). MDPI and/or the editor(s) disclaim responsibility for any injury to people or property resulting from any ideas, methods, instructions or products referred to in the content. |
© 2023 by the authors. Licensee MDPI, Basel, Switzerland. This article is an open access article distributed under the terms and conditions of the Creative Commons Attribution (CC BY) license (https://creativecommons.org/licenses/by/4.0/).
Share and Cite
McFayden, C.B.; Hope, E.S.; Boychuk, D.; Johnston, L.M.; Richardson, A.; Coyle, M.; Sloane, M.; Cantin, A.S.; Johnston, J.M.; Lynham, T.J. Canadian Fire Management Agency Readiness for WildFireSat: Assessment and Strategies for Enhanced Preparedness. Fire 2023, 6, 73. https://doi.org/10.3390/fire6020073
McFayden CB, Hope ES, Boychuk D, Johnston LM, Richardson A, Coyle M, Sloane M, Cantin AS, Johnston JM, Lynham TJ. Canadian Fire Management Agency Readiness for WildFireSat: Assessment and Strategies for Enhanced Preparedness. Fire. 2023; 6(2):73. https://doi.org/10.3390/fire6020073
Chicago/Turabian StyleMcFayden, Colin B., Emily S. Hope, Den Boychuk, Lynn M. Johnston, Ashlin Richardson, Matthew Coyle, Meghan Sloane, Alan S. Cantin, Joshua M. Johnston, and Timothy J. Lynham. 2023. "Canadian Fire Management Agency Readiness for WildFireSat: Assessment and Strategies for Enhanced Preparedness" Fire 6, no. 2: 73. https://doi.org/10.3390/fire6020073
APA StyleMcFayden, C. B., Hope, E. S., Boychuk, D., Johnston, L. M., Richardson, A., Coyle, M., Sloane, M., Cantin, A. S., Johnston, J. M., & Lynham, T. J. (2023). Canadian Fire Management Agency Readiness for WildFireSat: Assessment and Strategies for Enhanced Preparedness. Fire, 6(2), 73. https://doi.org/10.3390/fire6020073

