Summer and Fall Extreme Fire Weather Projected to Occur More Often and Affect a Growing Portion of California throughout the 21st Century
Abstract
1. Introduction
2. Materials and Methods
2.1. Study Area
2.2. Statistical Downscaling Method
2.3. Climate Model Simulations of Extreme Fire Weather in California Ecoregions
3. Results
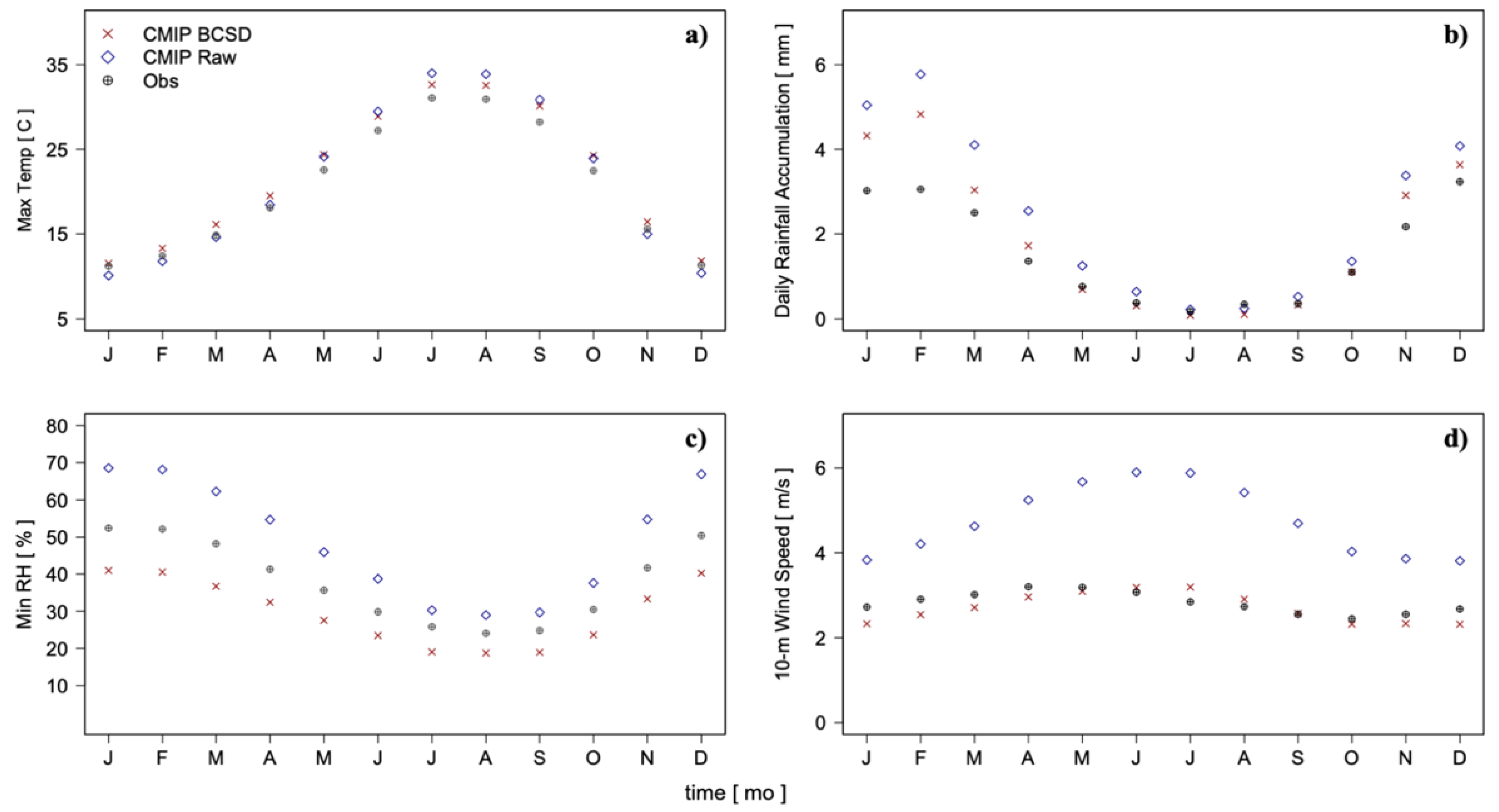
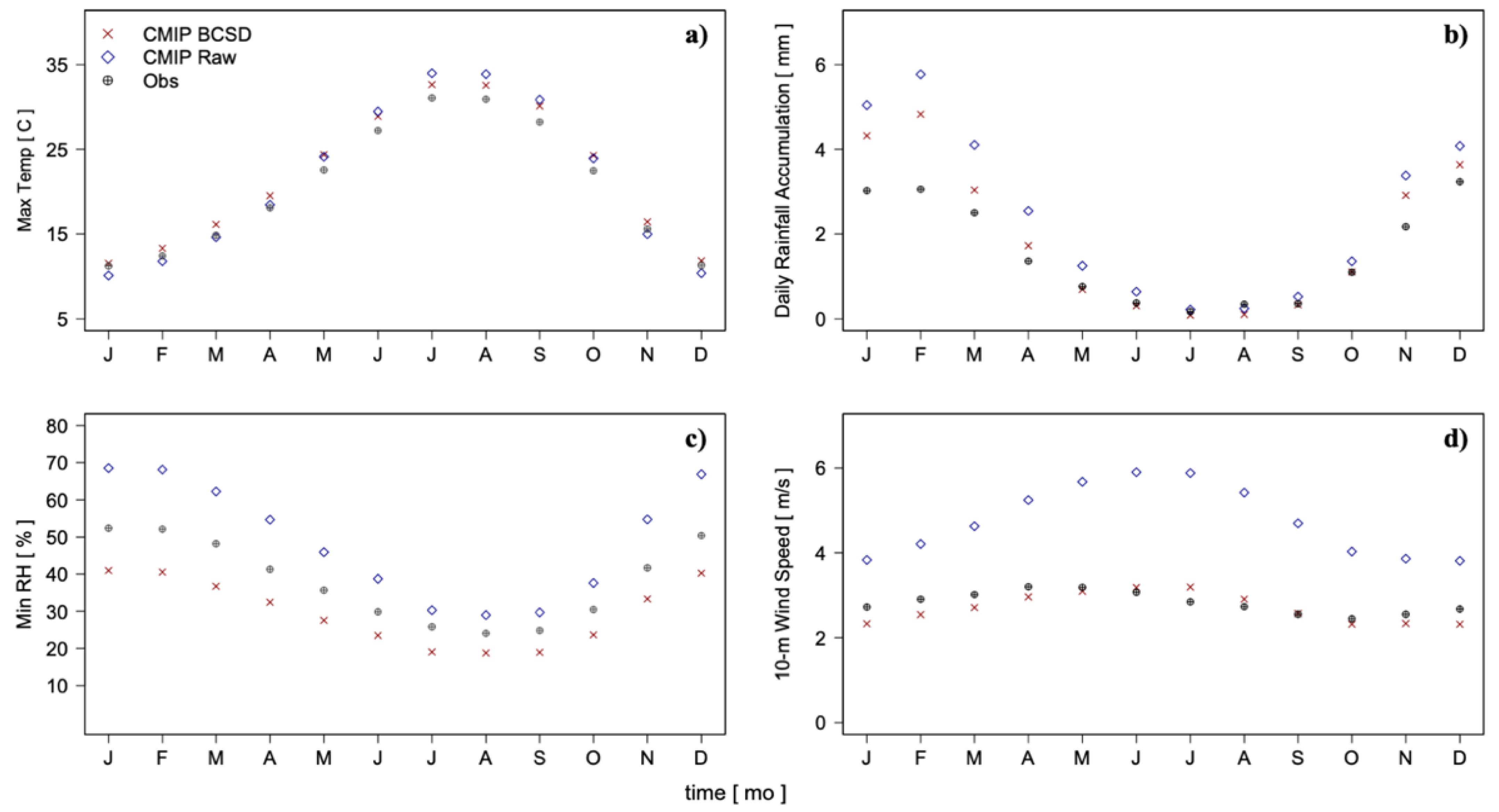
3.1. Validation of Historical Simulations
3.2. Fire Weather Anomalies and Relative Change
3.3. 95th Percentile Exceedance Maps
3.4. Fire Weather Frequency Distributions
3.5. Fire Weather Index Julian Day Climatologies
4. Discussion
4.1. Extreme Fire Weather in California’s Future Will Become More Severe and Last Longer
4.2. Climate Change Impacts on California Ecosystems
4.3. Limitations
5. Conclusions
Author Contributions
Funding
Institutional Review Board Statement
Informed Consent Statement
Data Availability Statement
Acknowledgments
Conflicts of Interest
References
- Williams, A.P.; Abatzoglou, J.T.; Gershunov, A.; Guzman-Morales, J.; Bishop, D.A.; Balch, J.K.; Lettenmaier, D.P. Observed impacts of anthropogenic climate change on wildfire in California. Earth’s Future 2019, 7, 892–910. [Google Scholar] [CrossRef]
- Abatzoglou, J.T.; Williams, A.P. Impact of anthropogenic climate change on wildfire across western US forests. Proc. Natl. Acad. Sci. USA 2016, 113, 11770–11775. [Google Scholar] [CrossRef]
- Goss, M.; Swain, D.L.; Abatzoglou, J.T.; Sarhadi, A.; Kolden, C.A.; Williams, A.P.; Diffenbaugh, N.S. Climate change is increasing the likelihood of extreme autumn wildfire conditions across California. Environ. Res. Lett. 2020, 15, 9. [Google Scholar] [CrossRef]
- Keeley, J.E.; Syphard, A.D. Climate change and future fire regimes: Examples from California. Geosciences 2016, 6, 37. [Google Scholar] [CrossRef]
- Dong, L.; Leung, L.R.; Qian, Y.; Zou, Y.; Song, F.; Chen, X. Meteorological environments associated with California wildfires and their potential roles in wildfire changes during 1984–2017. J. Geophys. Res. Atmos. 2021, 126, 5. [Google Scholar] [CrossRef]
- Touma, D.; Stevenson, S.; Lehner, F.; Coats, S. Human-driven greenhouse gas and aerosol emissions cause distinct regional impacts on extreme fire weather. Nat. Commun. 2021, 12, 212. [Google Scholar] [CrossRef]
- Bonan, G.B. Forests and climate change: Forcings, feedbacks, and the climate benefits of forests. Science 2008, 320, 1444–1449. [Google Scholar] [CrossRef]
- Bradstock, R.A. A Biogeographic Model of Fire Regimes in Australia: Current and Future Implications: A Biogeographic Model of Fire in Australia. Glob. Ecol. Biogeogr. 2010, 19, 145–158. [Google Scholar] [CrossRef]
- McKenzie, D.; Littell, J.S. Climate change and the eco-hydrology of fire: Will area burned increase in a warming Western USA? Ecol. Appl. 2017, 27, 26–36. [Google Scholar] [CrossRef]
- Littell, J.S. Drought and fire in the Western USA: Is climate attribution enough? Curr. Clim. Chang. Rep. 2018, 4, 396–406. [Google Scholar] [CrossRef]
- Williams, J.W.; Jackson, S.T.; Kutzbach, J.E. Projected Distributions of Novel and Disappearing Climates by 2100 AD. Proc. Natl. Acad. Sci. USA 2007, 104, 5738–5742. [Google Scholar] [CrossRef] [PubMed]
- Johnstone, J.F.; Allen, C.D.; Franklin, J.F.; Frelich, L.E.; Harvey, B.J.; Higuera, P.E.; Mack, M.C.; Meentemeyer, R.K.; Metz, M.R.; Perry, G.L.W.; et al. Changing disturbance regimes, ecological memory, and forest resilience. Front. Ecol. Environ. 2016, 14, 369–378. [Google Scholar] [CrossRef]
- Abatzoglou, J.T.; Brown, T.J. A Comparison of Statistical Downscaling Methods Suited for Wildfire Applications: STATISTICAL DOWNSCALING FOR WILDFIRE APPLICATIONS. Int. J. Clim. 2012, 32, 772–780. [Google Scholar] [CrossRef]
- Li, H.; Sheffield, J.; Wood, E.F. Bias Correction of Monthly Precipitation and Temperature Fields from Intergovernmental Panel on Climate Change AR4 Models Using Equidistant Quantile Matching. J. Geophys. Res. 2010, 115, D10. [Google Scholar] [CrossRef]
- Zhang, L.; Xu, Y.; Meng, C.; Li, X.; Liu, H.; Wang, C. Comparison of Statistical and Dynamic Downscaling Techniques in Generating High-Resolution Temperatures in China from CMIP5 GCMs. J. Appl. Meteorol. Climatol. 2020, 59, 207–235. [Google Scholar] [CrossRef]
- van Wagner, C.E. The Development and Structure of the Canadian Forest Fire Weather Index System; Canadian Forest Service: Ottawa, ON, Canada, 1987. [Google Scholar]
- Lawson, B.D.; Armitage, O.B. Weather Guide for the Canadian Forest Fire Danger Rating System; Natural Resources Canada, Canadian Forest Service: Edmonton, AB, Canada, 2008. [Google Scholar]
- Lawson, B.D. Fire Weather Index—The Basis for Fire Danger Rating in British Columbia; Canadian Fisheries and Environment Canada, Canadian Forestry Service: Victoria, QC, Canada, 1977. [Google Scholar]
- Seager, R.; Hooks, A.; Williams, A.P.; Cook, B.; Nakamura, J.; Henderson, N. Climatology, Variability, and Trends in the U.S. Vapor Pressure Deficit, an Important Fire-Related Meteorological Quantity. J. Appl. Meteorol. Climatol. 2015, 54, 1121–1141. [Google Scholar] [CrossRef]
- Zhuang, Y.; Fu, R.; Santer, B.D.; Dickinson, R.E.; Hall, A. Quantifying contributions of natural variability and anthropogenic forcings on increased fire weather risk over the western United States. Proc. Natl. Acad. Sci. USA 2021, 118, e2111875118. [Google Scholar] [CrossRef]
- Level III and IV Ecoregions of Continental United States. Available online: https://www.epa.gov/eco-research/level-iii-and-iv-ecoregions-continental-united-states (accessed on 20 July 2021).
- Griffith, G.E.; Omernik, J.M.; Smith, D.W.; Cook, T.D.; Tallyn, E.; Moseley, K.; Johnson, C.B. Ecoregions of California. In U.S. Geological Survey Open-File Report 2016–1021; Western Geographic Science Center: Menlo Park, CA, USA, 2016. [Google Scholar]
- Abatzoglou, J.T. Development of gridded surface meteorological data for ecological applications and modelling. Int. J. Climatol. 2013, 33, 121–131. [Google Scholar] [CrossRef]
- Hancock, P.A.; Hutchinson, M.F. Spatial interpolation of large climate data sets using Bivariate Thin Plate Smoothing Splines. Environ. Model. Softw. 2006, 21, 1684–1694. [Google Scholar] [CrossRef]
- Hoar, T.; Nychka, D. Statistical Downscaling of the Community Climate System Model (CCSM) Monthly Temperature and Precipitation Projections [White Paper]. IMAGe/NCAR. Available online: http://www.gisclimatechange.org/Downscaling.pdf (accessed on 1 May 2022).
- Juras, J. Some common features of probability distributions for precipitation. Theor. Appl. Climatol. 1994, 49, 69–76. [Google Scholar] [CrossRef]
- Fu, G.; Viney, N.R.; Charles, S.P. Evaluation of various root transformations of daily precipitation amounts fitted with a normal distribution for Australia. Theor. Appl. Climatol. 2010, 99, 229–238. [Google Scholar] [CrossRef]
- Mesinger, F.; DiMego, G.; Kalnay, E.; Mitchell, K. North American Regional Reanalysis. Bull. Am. Meteorol. Soc. 2006, 87, 343–360. [Google Scholar] [CrossRef]
- Abatzoglou, J.T.; Dobrowski, S.Z.; Parks, S.A.; Hegewisch, K.C. Terraclimate, a high-resolution global dataset of monthly climate and climatic water balance from 1958–2015. Sci. Data 2018, 5, 170191. [Google Scholar] [CrossRef] [PubMed]
- Dong, C.; Williams, A.P.; Abatzoglou, J.T.; Lin, K.; Okin, G.S.; Gillespie, T.W.; Long, D.; Lin, Y.H.; Hall, A.; MacDonald, G.M. The season for large fires in Southern California is projected to lengthen in a changing climate. Commun. Earth Environ. 2022, 3, 22. [Google Scholar] [CrossRef]
- Jain, P.; Castellanos-Acuna, D.; Coogan, S.C.; Abatzoglou, J.T.; Flannigan, M.D. Observed increases in extreme fire weather driven by atmospheric humidity and temperature. Nat. Clim. Chang. 2022, 12, 63–70. [Google Scholar] [CrossRef]
- Jolly, W.M.; Cochrane, M.A.; Freeborn, P.H.; Holden, Z.A.; Brown, T.J.; Williamson, G.J.; Bowman, D.M. Climate-induced variations in global wildfire danger from 1979 to 2013. Nat. Commun. 2015, 6, 7537. [Google Scholar] [CrossRef]
- Swain, D.L. A shorter, sharper rainy season amplifies California wildfire risk. Geophys. Res. Lett. 2021, 48, e2021GL092843. [Google Scholar] [CrossRef]
- Top 20 Largest California Wildfires. 2022. Available online: https://www.fire.ca.gov/media/4jandlhh/top20_acres.pdf (accessed on 20 July 2021).
- Parks, S.A.; Parisien, M.A.; Miller, C.; Dobrowski, S.Z. Fire activity and severity in the western US vary along proxy gradients representing fuel amount and fuel moisture. PLoS ONE 2014, 9, e99699. [Google Scholar] [CrossRef]
- Bonan, G. Ecological Climatology: Concepts and Applications; Cambridge University Press: Cambridge, UK, 2015; ISBN 978-1107619050. [Google Scholar]
- Archibald, S.; Lehmann, C.E.R.; Gomez-Dans, J.L.; Bradstock, R.A. Defining Pyromes and Global Syndromes of Fire Regimes. Proc. Nat. Acad. Sci. USA 2013, 110, 6442–6447. [Google Scholar] [CrossRef]
- Meyn, A.; White, P.S.; Buhk, C.; Jentsch, A. Environmental Drivers of Large, Infrequent Wildfires: The Emerging Conceptual Model. Prog. Phys. Geogr. 2007, 31, 287–312. [Google Scholar] [CrossRef]
- Parks, S.A.; Miller, C.; Abatzoglou, J.T.; Holsinger, L.M.; Parisien, M.A.; Dobrowski, S.Z. How will climate change affect wildland fire severity in the western US? Environ. Res. Lett. 2016, 11, 035002. [Google Scholar] [CrossRef]
- Meng, R.; Dennison, P.E.; D’Antonio, C.M.; Moritz, M.A. Remote sensing analysis of vegetation recovery following short-interval fires in southern California shrublands. PLoS ONE 2014, 9, e110637. [Google Scholar] [CrossRef] [PubMed]
- Krawchuk, M.A.; Moritz, M.A. Constraints on Global Fire Activity Vary across a Resource Gradient. Ecology 2011, 92, 121–132. [Google Scholar] [CrossRef] [PubMed]
- Keeley, J.E.; Syphard, A.D. Twenty-first century California, USA, wildfires: Fuel-Dominated vs. wind-dominated fires. Fire Ecol. 2019, 15, 24. [Google Scholar] [CrossRef]
- Araya-Osses, D.; Casanueva, A.; Román-Figueroa, C.; Uribe, J.M.; Paneque, M. Climate change projections of temperature and precipitation in Chile based on statistical downscaling. Clim. Dyn. 2020, 54, 4309–4330. [Google Scholar] [CrossRef]
- Hurteau, M.D.; Liang, S.; Westerling, A.L.; Wiedinmyer, C. Vegetation-fire feedback reduces projected area burned under climate change. Sci. Rep. 2019, 9, 2838. [Google Scholar] [CrossRef]











| CMIP Raw | CMIP BCSD | |
|---|---|---|
| Max Temperature | ||
| sCor/tCor | 0.82/0.97 | 0.95/0.97 |
| sBias/tBias | 0.74 (±2.76)/−0.76 (±0.8) | 1.17 (±1.62)/−1.18 (±0.77) |
| sRMSE/tRMSE | 2.11 (±1.93)/2.45 (±0.46) | 1.55 (±1.26)/2.22 (±0.49) |
| Daily Precip Acc | ||
| sCor/tCor | 0.88/0.61 | 0.88/0.61 |
| sBias/tBias | 0.96 (±0.55)/−0.93 (±0.57) | 0.42 (±1.19)/−0.42 (±0.54) |
| sRMSE/tRMSE | 0.97 (±0.52)/1.97 (±0.55) | 0.64 (±1.08)/1.64 (±0.44) |
| Min. Rel Hum | ||
| sCor/tCor | 0.79/0.86 | 0.87/0.86 |
| sBias/tBias | 10.75 (±8.03)/−13.72 (±3.98) | −8.3 (±6.91)/5.51 (±3.83) |
| sRMSE/tRMSE | 12.18 (±5.62)/16.57 (±3.41) | 8.48 (±6.69)/12.58 (±3.92) |
| Wind Speed | ||
| sCor/tCor | 0.3/0.47 | 0.7/0.51 |
| sBias/tBias | 0.67 (±0.68)/−0.69 (±0.09) | 0.29 (±0.65)/−0.29 (±0.09) |
| sRMSE/tRMSE | 0.8 (±0.51)/0.88 (±0.08) | 0.51 (±0.5)/0.51 (±0.08) |
| CA | SCM | SCC | CCF | K | C | EC | SN | CV | MWCM | NAD | |
|---|---|---|---|---|---|---|---|---|---|---|---|
| JJA | |||||||||||
| FWI | |||||||||||
| Hist | 25 | 10 | 24 | 14 | 11 | 9 | 8 | 13 | 10 | 12 | 15 |
| Mid | 33 | 19 | 31 | 24 | 12 | 19 | 17 | 23 | 29 | 3 | 26 |
| Late | 34 | 20 | 32 | 26 | 13 | 20 | 18 | 22 | 31 | 3 | 29 |
| VPD | |||||||||||
| Hist | 23 | 12 | 18 | 15 | 11 | 10 | 7 | 17 | 8 | 18 | 22 |
| Mid | 39 | 33 | 33 | 39 | 31 | 33 | 33 | 35 | 34 | 31 | 43 |
| Late | 47 | 43 | 39 | 49 | 44 | 46 | 47 | 42 | 48 | 40 | 52 |
| SON | |||||||||||
| FWI | |||||||||||
| Hist | 12 | 8 | 13 | 9 | 6 | 7 | 6 | 8 | 7 | 7 | 8 |
| Mid | 16 | 11 | 16 | 13 | 9 | 13 | 12 | 14 | 15 | 3 | 11 |
| Late | 18 | 14 | 18 | 15 | 9 | 15 | 15 | 16 | 17 | 3 | 14 |
| VPD | |||||||||||
| Hist | 12 | 9 | 11 | 9 | 7 | 7 | 6 | 10 | 6 | 10 | 10 |
| Mid | 21 | 18 | 19 | 21 | 18 | 18 | 17 | 20 | 19 | 19 | 19 |
| Late | 27 | 26 | 26 | 27 | 25 | 25 | 25 | 26 | 27 | 24 | 26 |
| SON | CA | SCM | SCC | CCF | K | C | EC | SN | CV | MWCM | NAD |
|---|---|---|---|---|---|---|---|---|---|---|---|
| FWI | |||||||||||
| Hist | 19,920 | 672 | 976 | 3728 | 1648 | 656 | 896 | 2336 | 2144 | 656 | 5328 |
| Mid | 14,552 | 3088 | 5344 | 11,664 | 3680 | 5040 | 4320 | 9200 | 18,368 | 80 | 19,840 |
| Late | 64,672 | 4848 | 6784 | 16,000 | 4016 | 5840 | 5824 | 12,048 | 23,520 | 64 | 32,784 |
| VPD | |||||||||||
| Hist | 18,992 | 768 | 944 | 3632 | 1552 | 672 | 848 | 2400 | 2288 | 656 | 5520 |
| Mid | 54,192 | 6656 | 8752 | 27,424 | 15,168 | 5728 | 11,136 | 14,992 | 27,632 | 4368 | 29,552 |
| Late | 109,344 | 9520 | 11,504 | 46,400 | 21,712 | 9568 | 15,792 | 22,096 | 42,048 | 6048 | 49,712 |
Publisher’s Note: MDPI stays neutral with regard to jurisdictional claims in published maps and institutional affiliations. |
© 2022 by the authors. Licensee MDPI, Basel, Switzerland. This article is an open access article distributed under the terms and conditions of the Creative Commons Attribution (CC BY) license (https://creativecommons.org/licenses/by/4.0/).
Share and Cite
Rother, D.E.; De Sales, F.; Stow, D.; McFadden, J.P. Summer and Fall Extreme Fire Weather Projected to Occur More Often and Affect a Growing Portion of California throughout the 21st Century. Fire 2022, 5, 177. https://doi.org/10.3390/fire5060177
Rother DE, De Sales F, Stow D, McFadden JP. Summer and Fall Extreme Fire Weather Projected to Occur More Often and Affect a Growing Portion of California throughout the 21st Century. Fire. 2022; 5(6):177. https://doi.org/10.3390/fire5060177
Chicago/Turabian StyleRother, David E., Fernando De Sales, Doug Stow, and Joseph P. McFadden. 2022. "Summer and Fall Extreme Fire Weather Projected to Occur More Often and Affect a Growing Portion of California throughout the 21st Century" Fire 5, no. 6: 177. https://doi.org/10.3390/fire5060177
APA StyleRother, D. E., De Sales, F., Stow, D., & McFadden, J. P. (2022). Summer and Fall Extreme Fire Weather Projected to Occur More Often and Affect a Growing Portion of California throughout the 21st Century. Fire, 5(6), 177. https://doi.org/10.3390/fire5060177

