The Effects of Crown Scorch on Post-fire Delayed Mortality Are Modified by Drought Exposure in California (USA)
Abstract
:1. Introduction
2. Materials and Methods
3. Results
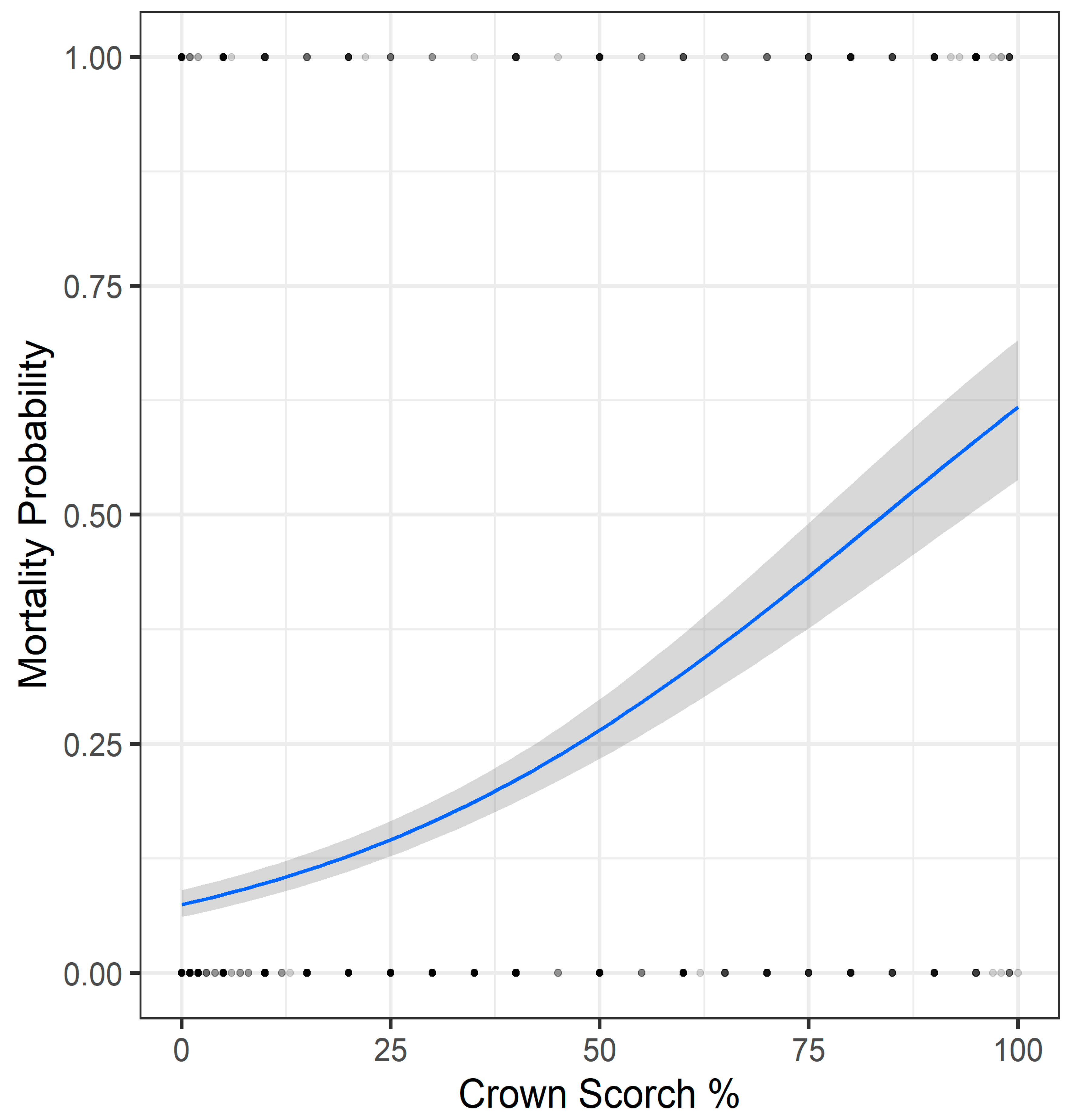
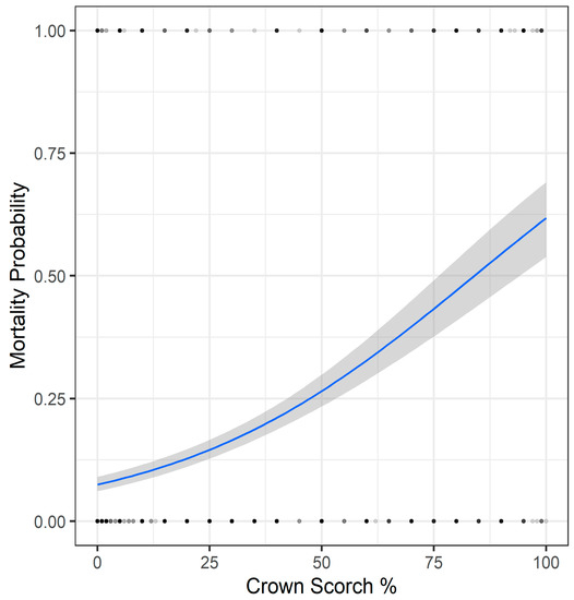
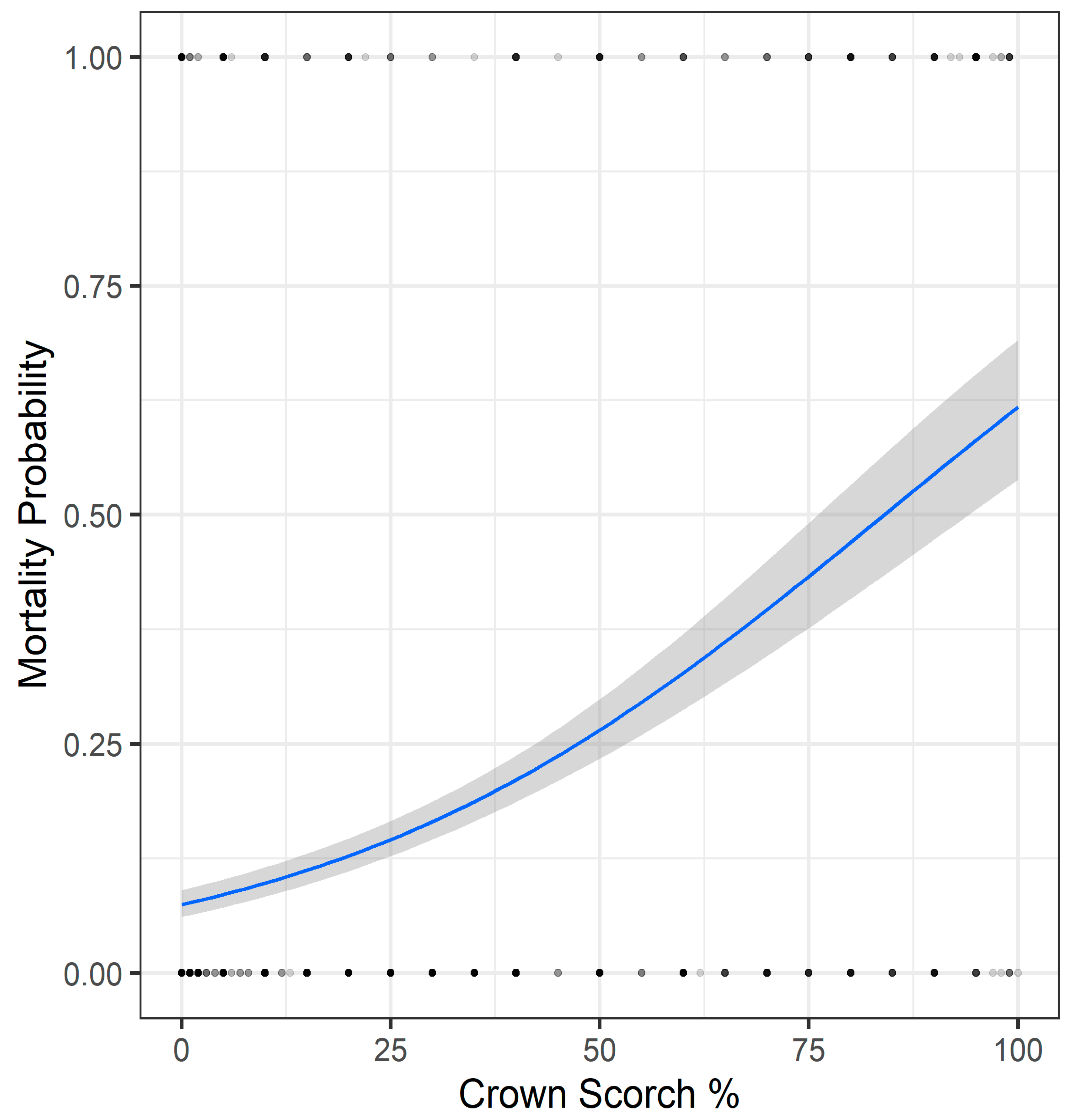
3.1. Crown Scorch and Drought Exposure
3.2. Influence of other First-order, Site and Species Predictors
3.3. Logistic Model Performance
4. Discussion
4.1. Drought Exposure Modifies Crown Scorch Mortality Predictions
4.2. Limits of First-Order Factors in Predicting Post-Fire Mortality
4.3. Moving Forward with Post-Fire Mortality Modelling
5. Conclusions
Author Contributions
Funding
Data Availability Statement
Acknowledgments
Conflicts of Interest
Appendix A

References
- Asner, G.P.; Brodrick, P.G.; Anderson, C.B.; Vaughn, N.; Knapp, D.E.; Martin, R.E. Progressive forest canopy water loss during the 2012–2015 California drought. Proc. Natl. Acad. Sci. USA 2015, 113, E249–E255. [Google Scholar] [CrossRef] [PubMed] [Green Version]
- Savage, M. Anthropogenic and natural disturbance and patterns of mortality in a mixed conifer forest in California. Can. J. For. Res. 1994, 24, 1149–1159. [Google Scholar] [CrossRef]
- van Mantgem, P.J.; Nesmith, J.C.B.; Keifer, M.; Knapp, E.E.; Flint, A.; Flint, L. Climatic stress increases forest fire severity across the western United States. Ecol. Lett. 2013, 16, 1151–1156. [Google Scholar] [CrossRef] [PubMed]
- Reinhardt, E.D.; Dickinson, M.B. First-Order Fire Effects Models for Land Management: Overview and Issues. Fire Ecol. 2010, 6, 131–142. [Google Scholar] [CrossRef]
- Hood, S.M.; Varner, J.M.; Van Mantgem, P.; Cansler, C.A. Fire and tree death: Understanding and improving modeling of fire-induced tree mortality. Environ. Res. Lett. 2018, 13, 113004. [Google Scholar] [CrossRef]
- Hood, S.M.; Smith, S.L.; Cluck, D.R. Delayed Conifer Tree Mortality following Fire in California. Gen. Tech. Rep. 2007, PSW-GTR-20, 261–283. [Google Scholar]
- Hood, S.M.; Cluck, D.R.; Jones, B.E.; Pinnell, S. Radial and stand-level thinning treatments: 15-year growth response of legacy ponderosa and Jeffrey pine trees. Restor. Ecol. 2017, 26, 813–819. [Google Scholar] [CrossRef]
- Grayson, L.; Progar, R.A.; Hood, S.M. Predicting post-fire tree mortality for 14 conifers in the Pacific Northwest, USA: Model evaluation, development, and thresholds. For. Ecol. Manag. 2017, 399, 213–226. [Google Scholar] [CrossRef]
- O’Brien, J.J.; Hiers, J.K.; Mitchell, R.J.; Varner, J.M.; Mordecai, K.; Iii, J.M.V. Acute Physiological Stress and Mortality Following Fire in a Long-Unburned Longleaf Pine Ecosystem. Fire Ecol. 2010, 6, 1–12. [Google Scholar] [CrossRef]
- Varner, J.M.; Hood, S.M.; Aubrey, D.P.; Yedinak, K.; Hiers, J.K.; Jolly, W.M.; Shearman, T.M.; McDaniel, J.K.; O’Brien, J.J.; Rowell, E.M. Tree crown injury from wildland fires: Causes, measurement and ecological and physiological consequences. New Phytol. 2021, 231, 1676–1685. [Google Scholar] [CrossRef]
- Thies, W.G.; Westlind, D.; Loewen, M.; Brenner, G. A field guide to predict delayed mortality of fire-damaged ponderosa pine: Application and validation of the Malheur model. Gen. Tech. Rep. 769. 2008, 16, 769. [Google Scholar] [CrossRef] [Green Version]
- Cansler, C.A.; Hood, S.M.; Varner, J.M.; Van Mantgem, P.J.; Agne, M.C.; Andrus, R.A.; Ayres, M.P.; Ayres, B.D.; Bakker, J.D.; Battaglia, M.A.; et al. The Fire and Tree Mortality Database, for empirical modeling of individual tree mortality after fire. Sci. Data 2020, 7, 1–14. [Google Scholar] [CrossRef]
- Littell, J.S.; McKenzie, D.; Peterson, D.L.; Westerling, A.L. Climate and wildfire area burned in western U.S. ecoprovinces, 1916–2003. Ecol. Appl. 2009, 19, 1003–1021. [Google Scholar] [CrossRef] [PubMed]
- Guarín, A.; Taylor, A.H. Drought triggered tree mortality in mixed conifer forests in Yosemite National Park, California, USA. For. Ecol. Manag. 2005, 218, 229–244. [Google Scholar] [CrossRef]
- Klos, R.J.; Wang, G.G.; Bauerle, W.L.; Rieck, J.R. Drought impact on forest growth and mortality in the southeast USA: An analysis using Forest Health and Monitoring data. Ecol. Appl. 2009, 19, 699–708. [Google Scholar] [CrossRef]
- Gustafson, E.J.; Sturtevant, B.R. Modeling Forest Mortality Caused by Drought Stress: Implications for Climate Change. Ecosystems 2012, 16, 60–74. [Google Scholar] [CrossRef]
- Barker, J.S.; Fried, J.S.; Gray, A.N. Evaluating Model Predictions of Fire Induced Tree Mortality Using Wildfire-Affected Forest Inventory Measurements. Forests 2019, 10, 958. [Google Scholar] [CrossRef] [Green Version]
- Bechtold, W.A.; Patterson, P.L. The Enhanced Forest Inventory and Analysis Program—National Sampling Design and Estimation Procedures. USDA Gen. Tech. Rep. 2005, 80, 85. [Google Scholar]
- Picotte, J.J.; Bhattarai, K.; Howard, D.; Lecker, J.; Epting, J.; Quayle, B.; Benson, N.; Nelson, K. Changes to the Monitoring Trends in Burn Severity program mapping production procedures and data products. Fire Ecol. 2020, 16, 1–12. [Google Scholar] [CrossRef]
- Jain, T.B.; Pilliod, D.S.; Graham, R.T.; Lentile, L.B.; Sandquist, J.E. Index for Characterizing Post-Fire Soil Environments in Temperate Coniferous Forests. Forests 2012, 3, 445–466. [Google Scholar] [CrossRef] [Green Version]
- Swezy, D.M.; Agee, J.K. Prescribed-fire effects on fine-root and tree mortality in old-growth ponderosa pine. Can. J. For. Res. 1991, 21, 626–634. [Google Scholar] [CrossRef]
- Kreye, J.K.; Varner, J.M.; Kobziar, L.N. Long-Duration Soil Heating Resulting from Forest Floor Duff Smoldering in Longleaf Pine Ecosystems. For. Sci. 2020, 66, 291–303. [Google Scholar] [CrossRef]
- USDA Forest Service. Fire Effects and Recovery Study. U.S. Department of Agriculture Forest Service, Pacific Northwest Research Station, Portland, OR. FIA Field Manual 44. 2019. Available online: https://www.fs.usda.gov/pnw/documents-and-media/2019-pnw-fia-ca-or-wa-fire-effects-and-recovery-field-manual-0 (accessed on 17 December 2021).
- Lutes, D.; Keane, R.E.; Reinhardt, E.D. FOFEM 6.0 User Guide.USDA Forest Service, Rocky Mountain Research Station: Fort Collins, CO), USDA For. Serv. Rocky Mt. Res. Stn. Fort Collins, CO), 2012. Available online: https://www.frames.gov/catalog/15530 (accessed on 17 December 2021).
- Dai, A. The climate data guide: Palmer drought severity index (PDSI). 2017. Available online: https://climatedataguide.ucar.edu/climate-data/palmer-drought-severity-index-pdsi (accessed on 6 October 2021).
- Dai, A. Characteristics and trends in various forms of the Palmer Drought Severity Index during 1900–2008. J. Geophys. Res. Earth Surf. 2011, 116, 537. [Google Scholar] [CrossRef] [Green Version]
- Khan, R.; Brandenburger, T.A. ROCit: Performance Assessment of Binary Classifier with Visualization. 2019. Available online: https://cran.r-project.org/web/packages/ROCit/index.html (accessed on 17 December 2021).
- Hood, S.M.; Smith, S.L.; Cluck, D.R. Predicting mortality for five California conifers following wildfire. For. Ecol. Manag. 2010, 260, 750–762. [Google Scholar] [CrossRef]
- Ganio, L.M.; Woolley, T.; Shaw, D.C.; Fitzgerald, S.A. The Discriminatory Ability of Postfire Tree Mortality Logistic Regression Models. For. Sci. 2015, 61, 344–352. [Google Scholar] [CrossRef]
- Wickham, H. ggplot2: Elegant Graphics for Data Analysis; Springer: New York, NY, USA, 2016. [Google Scholar]
- Fox, J. Effect Displays in R for Generalised Linear Models. J. Stat. Softw. 2003, 8, 1–27. Available online: https://www.jstatsoft.org/article/view/v008i15 (accessed on 17 December 2021). [CrossRef] [Green Version]
- Long, J.A.; Interactions: Comprehensive, User-Friendly Toolkit for Probing Interactions. R package version 1.1.0. 2019. Available online: https://cran.r-project.org/package=interactions (accessed on 17 December 2021).
- Cansler, C.A.; Hood, S.M.; van Mantgem, P.J.; Varner, J.M. A large database supports the use of simple models of post-fire tree mortality for thick-barked conifers, with less support for other species. Fire Ecol. 2020, 16, 25. [Google Scholar] [CrossRef]
- Ryan, K.C.; Reinhardt, E.D. Predicting postfire mortality of seven western conifers. Can. J. For. Res. 1988, 18, 1291–1297. [Google Scholar] [CrossRef]
- Bär, A.; Michaletz, S.T.; Mayr, S. Fire effects on tree physiology. New Phytol. 2019, 223, 1728–1741. [Google Scholar] [CrossRef] [Green Version]
- McDowell, N.G. Mechanisms Linking Drought, Hydraulics, Carbon Metabolism, and Vegetation Mortality. Plant Physiol. 2011, 155, 1051–1059. [Google Scholar] [CrossRef] [Green Version]
- Adams, H.D.; Zeppel, M.; Anderegg, W.R.L.; Hartmann, H.; Landhäusser, S.M.; Tissue, D.; Huxman, T.E.; Hudson, P.J.; Franz, T.E.; Allen, C.D.; et al. A multi-species synthesis of physiological mechanisms in drought-induced tree mortality. Nat. Ecol. Evol. 2017, 1, 1285–1291. [Google Scholar] [CrossRef] [PubMed]
- Knapp, E.E.; Bernal, A.A.; Kane, J.M.; Fettig, C.J.; North, M.P. Variable thinning and prescribed fire influence tree mortality and growth during and after a severe drought. For. Ecol. Manag. 2020, 479, 118595. [Google Scholar] [CrossRef]
- Van Mantgem, P.J.; Caprio, A.C.; Stephenson, N.L.; Das, A.J. Does Prescribed Fire Promote Resistance to Drought in Low Elevation Forests of the Sierra Nevada, California, USA? Fire Ecol. 2016, 12, 13–25. [Google Scholar] [CrossRef]
- van der Plas, F.; Schröder-Georgi, T.; Weigelt, A.; Barry, K.; Meyer, S.; Alzate, A.; Barnard, R.L.; Buchmann, N.; de Kroon, H.; Ebeling, A.; et al. Plant traits alone are poor predictors of ecosystem properties and long-term ecosystem functioning. Nat. Ecol. Evol. 2020, 4, 1602–1611. [Google Scholar] [CrossRef]
- Schwartz, N.B.; Feng, X.; Muscarella, R.; Swenson, N.G.; Umaña, M.N.; Zimmerman, J.K.; Uriarte, M. Topography and Traits Modulate Tree Performance and Drought Response in a Tropical Forest. Front. For. Glob. Chang. 2020, 3, 596256. [Google Scholar] [CrossRef]
- Stephens, S.L.; Maier, L.; Gonen, L.; York, J.D.; Collins, B.M.; Fry, D.L. Variation in fire scar phenology from mixed conifer trees in the Sierra Nevada. Can. J. For. Res. 2018, 48, 101–104. [Google Scholar] [CrossRef]
- Reed, C.C.; Hood, S.M. Few generalizable patterns of tree-level mortality during extreme drought and concurrent bark beetle outbreaks. Sci. Total Environ. 2020, 750, 141306. [Google Scholar] [CrossRef]
- Trugman, A.T.; Anderegg, L.D.; Anderegg, W.R.; Das, A.J.; Stephenson, N.L. Why is Tree Drought Mortality so Hard to Predict? Trends Ecol. Evol. 2021, 36, 520–532. [Google Scholar] [CrossRef]
- Partelli-Feltrin, R.; Johnson, D.M.; Sparks, A.M.; Adams, H.D.; Kolden, C.A.; Nelson, A.S.; Smith, A.M.S. Drought Increases Vulnerability of Pinus ponderosa Saplings to Fire-Induced Mortality. Fire 2020, 3, 56. [Google Scholar] [CrossRef]
- Goulden, M.L.; Bales, R.C. California forest die-off linked to multi-year deep soil drying in 2012–2015 drought. Nat. Geosci. 2019, 12, 632–637. [Google Scholar] [CrossRef]
- Aubin, I.; Boisvert-Marsh, L.; Kebli, H.; McKenney, D.; Pedlar, J.; Lawrence, K.; Hogg, E.H.; Boulanger, Y.; Gauthier, S.; Ste-Marie, C. Tree vulnerability to climate change: Improving exposure-based assessments using traits as indicators of sensitivity. Ecosphere 2018, 9, e02108. [Google Scholar] [CrossRef]
- Madakumbura, G.D.; Goulden, M.L.; Hall, A.; Fu, R.; Moritz, M.A.; Koven, C.D.; Kueppers, L.M.; Norlen, C.A.; Randerson, J.T. Recent California tree mortality portends future increase in drought-driven forest die-off. Environ. Res. Lett. 2020, 15, 124040. [Google Scholar] [CrossRef]
- Chavardès, R.D.; Daniels, L.D.; Eskelson, B.N.I.; Gedalof, Z. Using Complementary Drought Proxies Improves Interpretations of Fire Histories in Montane Forests. Tree-Ring Res. 2020, 76, 74–88. [Google Scholar] [CrossRef]
- Long, A.L. “Drought,” Disturb. Sustain. For. West. United States. Disturbance and sustainability in forests of the Western United States. USFS Gen. Tech. Rep. PNW-GTR-992, 2021. Available online: https://www.fs.fed.us/pnw/pubs/pnw_gtr992.pdf (accessed on 17 December 2021).
- Parker, T.J.; Clancy, K.M.; Mathiasen, R.L. Interactions among fire, insects and pathogens in coniferous forests of the interior western United States and Canada. Agric. For. Èntomol. 2006, 8, 167–189. [Google Scholar] [CrossRef]
- Kolb, T.; Keefover-Ring, K.; Burr, S.J.; Hofstetter, R.; Gaylord, M.; Raffa, K.F. Drought-Mediated Changes in Tree Physiological Processes Weaken Tree Defenses to Bark Beetle Attack. J. Chem. Ecol. 2019, 45, 888–900. [Google Scholar] [CrossRef]
- Fettig, C.J.; Mortenson, L.A.; Bulaon, B.M.; Foulk, P.B. Tree mortality following drought in the central and southern Sierra Nevada, California, USA. Ecol. Manag. 2018, 432, 164–178. [Google Scholar] [CrossRef]
- Carlson, A.R.; Sibold, J.S.; Assal, T.J.; Negrón, J.F. Evidence of compounded disturbance effects on vegetation recovery following high-severity wildfire and spruce beetle outbreak. PLoS ONE 2017, 12, e0181778. [Google Scholar] [CrossRef] [Green Version]
- Ganio, L.M.; Progar, R.A. Mortality predictions of fire-injured large Douglas-fir and ponderosa pine in Oregon and Washington, USA. For. Ecol. Manag. 2017, 390, 47–67. [Google Scholar] [CrossRef] [Green Version]
- Kane, J.M.; Van Mantgem, P.J.; Lalemand, L.B.; Keifer, M. Higher sensitivity and lower specificity in post-fire mortality model validation of 11 western US tree species. Int. J. Wildland Fire 2017, 26, 444–454. [Google Scholar] [CrossRef]
- Agee, J.K. Monitoring postfire tree mortality in mixed-conifer forests of Crater Lake, Oregon, USA. Nat. Areas J. 2003, 23, 114–120. [Google Scholar]
- Varner, J.M.; Putz, F.E.; O’Brien, J.J.; Hiers, J.K.; Mitchell, R.J.; Gordon, D.R. Post-fire tree stress and growth following smoldering duff fires. For. Ecol. Manag. 2009, 258, 2467–2474. [Google Scholar] [CrossRef]
- Neary, D.G.; Ryan, K.C.; DeBano, L.F. Wildland Fire in Ecosystems: Effects of Fire on Soils and Water, General Technical Report RMRSGTR-42-Vol.4; USDA, Forest Service, Rocky Mountain Research Station: Ogden, UT, USA, 2005; p. 250. [Google Scholar]
- Stephens, S.L.; Finney, M.A. Prescribed fire mortality of Sierra Nevada mixed conifer tree species: Effects of crown damage and forest floor combustion. For. Ecol. Manag. 2002, 162, 261–271. [Google Scholar] [CrossRef]
- Goulden, M.L.; Bales, R.C. Mountain runoff vulnerability to increased evapotranspiration with vegetation expansion. Proc. Natl. Acad. Sci. USA 2014, 111, 14071–14075. [Google Scholar] [CrossRef] [PubMed] [Green Version]
- Shearman, T.M.; Varner, J.M.; Hood, S.M.; Cansler, C.A.; Hiers, J.K. Modelling post-fire tree mortality: Can random forest improve discrimination of imbalanced data? Ecol. Model. 2019, 414, 108855. [Google Scholar] [CrossRef]
- Kemp, K.B.; Higuera, P.; Morgan, P. Fire legacies impact conifer regeneration across environmental gradients in the U.S. northern Rockies. Landsc. Ecol. 2015, 31, 619–636. [Google Scholar] [CrossRef]
- Korb, J.E.; Fornwalt, P.J.; Stevens-Rumann, C.S. What drives ponderosa pine regeneration following wildfire in the western United States? For. Ecol. Manag. 2019, 454, 117663. [Google Scholar] [CrossRef]
- Hutto, R.L. Toward Meaningful Snag-Management Guidelines for Postfire Salvage Logging in North American Conifer Forests. Conserv. Biol. 2006, 20, 984–993. [Google Scholar] [CrossRef]
- Dunn, C.J.; O’Connor, C.D.; Reilly, M.J.; Calkin, D.E.; Thompson, M.P. Spatial and temporal assessment of responder exposure to snag hazards in post-fire environments. For. Ecol. Manag. 2019, 441, 202–214. [Google Scholar] [CrossRef]
- Belcher, C.M.; New, S.L.; Gallagher, M.R.; Grosvenor, C.; Mark; Kenneth, J.; Skowronsk, N.S. Bark charcoal reflectance may have the potential to estimate the heat delivered to tree boles by wildland fires. Int. J. Wildl. Fire 2021, 30, 391–397. [Google Scholar] [CrossRef]
- Hood, S.; Lutes, D. Predicting Post-Fire Tree Mortality for 12 Western US Conifers Using the First Order Fire Effects Model (FOFEM). Fire Ecol. 2017, 13, 66–84. [Google Scholar] [CrossRef]
- Harmon, M.E.; Bell, D.M. Mortality in Forested Ecosystems: Suggested Conceptual Advances. Forests 2020, 11, 572. [Google Scholar] [CrossRef]
- Keane, R.E.; Ryan, K.C.; Veblen, T.T.; Allen, C.D.; Logan, J.; Hawkes, B. Cascading effects of fire exclusion in the Rocky Mountain ecosystems: A literature review. RMRS-GTR-91. 2002, 91. [Google Scholar] [CrossRef] [Green Version]
- Hood, S.M. Physiological responses to fire that drive tree mortality. Plant, Cell Environ. 2021, 44, 692–695. [Google Scholar] [CrossRef] [PubMed]
- Rebain, S.A. The Fire and Fuels Extension to the Forest Vegetation Simulator: Updated Model Documentation. USDA For. Serv. Int. Rep. 2010, 408, 403. [Google Scholar]
- Senf, C.; Buras, A.; Zang, C.S.; Rammig, A.; Seidl, R. Excess forest mortality is consistently linked to drought across Europe. Nat. Commun. 2020, 11, 1–8. [Google Scholar] [CrossRef] [PubMed]
- Hoover, C.M.; Bush, R.; Palmer, M.; Treasure, E. Using Forest Inventory and Analysis Data to Support National Forest Management: Regional Case Studies. J. For. 2020, 118, 313–323. [Google Scholar] [CrossRef]
- Hessburg, P.F.; Spies, T.A.; Perry, D.A.; Skinner, C.N.; Taylor, A.H.; Brown, P.M.; Stephens, S.L.; Larson, A.J.; Churchill, D.J.; Povak, N.A.; et al. Tamm Review: Management of mixed-severity fire regime forests in Oregon, Washington, and Northern California. For. Ecol. Manag. 2016, 366, 221–250. [Google Scholar] [CrossRef] [Green Version]




| Common Name | Scientific Name | n | Bark Coefficient (Vsp) |
|---|---|---|---|
| canyon live oak (QUCH) | Quercus chrysolepis Liebm. | 319 | 0.024 |
| Douglas-fir (PSME) | Pseudotsuga menziesii (Mirb.) Franco | 421 | 0.063 |
| incense-cedar (CADE) | Calocedrus decurrens (Torr.) Florin | 126 | 0.06 |
| Jeffrey pine (PIJE) | Pinus jeffreyi Grev. & Balf. | 129 | 0.068 |
| ponderosa pine (PIPO) | Pinus ponderosa Lawson & C. Lawson | 257 | 0.062 |
| white fir (ABCO) | Abies concolor (Gord. & Glend.) Lindl. ex Hildebr. | 317 | 0.048 |
| Variable | Units | Mean | Standard Deviation | Median | Min | Max |
|---|---|---|---|---|---|---|
| Crown Scorch | percent of compacted crown length | 18 | 28 | 5 | 0 | 100 |
| Soil Char | percent cover | 22 | 27 | 7.5 | 0 | 99.5 |
| Stem char | percent of circumference | 66 | 39 | 85 | 0 | 100 |
| Bark Thickness | cm | 1.1 | 0.9 | 0.8 | 0.03 | 5 |
| Slope | percent | 44 | 40 | 45 | 0 | 100 |
| Minimum PDSI | Departure from normal | −4.6 | 1.1 | −4.31 | −8.7 | −4.11 |
| Median PDSI | Departure from normal | −0.73 | 0.2 | −0.68 | −1.09 | −0.25 |
| Maximum PDSI | Departure from normal | 4.81 | 0.8 | 4.63 | 4.14 | 7.06 |
| TRUE CONDITION | |||
|---|---|---|---|
| Dead = Positive | Live = Negative | Model Performance | |
| Predicted Condition | |||
| Dead | True Positive (TP) | False Positive (FP) | Positive Predictive Rate TP/(TP + FP) |
| Live | False Negative (FN) | True Negative (TN) | Negative Predictive Rate TN/(TN + FN) |
| Sensitivity = TP/(TP + FN) True Negative Rate (TNR) = TN/(FP + TN) | False positive rate (FPR) = FP/(FP +TN) Specificity = TN/(TN + FP) | Accuracy = (TP + TN)/ (TP +TN + FP + FN) |
| Variable | Coefficient(se) | Z Score | p. Value |
|---|---|---|---|
| Intercept | 2.53 (1.5) | 1.8 | 0.080 |
| Crown Scorch | 0.03 (0.02) | 11 | p < 0.0001 |
| Min PDSI | 1 (0.26) | 3.8 | 0.00016 |
| Slope | −0.02 (0.04) | −3.7 | 0.00030 |
| Crown Scorch × Median PDSI | −0.03 (.010) | −3.3 | 0.0010 |
| Min PDSI | 1 (0.26) | 3.77 | 0.00016 |
| Stem Char | 0.01 (0.030) | 2.9 | 0.0040 |
| Median PDSI | 0.51(0.63) | 2.8 | 0.0014 |
| Aspect NW | −0.63 (0.24) | −2.6 | 0.010 |
| CADE | −1.01 (0.41) | −2.5 | 0.013 |
| Soil char | 0.01 (0.03) | 2.27 | 0.023 |
| Aspect SE | −0.59 (0.26) | −2.2 | 0.029 |
| Bark Thickness | 0.2 (0.11) | 1.8 | 0.080 NS |
| Max PDSI | −0.25 (0.14) | 1.74 | 0.081 NS |
| PIJE | 0.42 (0.39) | 1.1 | 0.28 NS |
| PSME | −0.29 (0.35) | −0.82 | 0.41 NS |
| PIPO | −0.24 (0.34) | −0.71 | 0.47 NS |
| Aspect SW | −0.15 (0.25) | −0.25 | 0.52 NS |
| ABMA | −0.05 (0.33) | −0.15 | 0.88 NS |
| Thresholds | Accuracy | Sensitivity | Specificity | False Positive Rate |
|---|---|---|---|---|
| 0.75 | 0.86 | 0.05 | 1.00 | 0.0 |
| 0.50 | 0.87 | 0.27 | 0.98 | 0.02 |
| 0.25 | 0.83 | 0.52 | 0.88 | 0.10 |
Publisher’s Note: MDPI stays neutral with regard to jurisdictional claims in published maps and institutional affiliations. |
© 2022 by the authors. Licensee MDPI, Basel, Switzerland. This article is an open access article distributed under the terms and conditions of the Creative Commons Attribution (CC BY) license (https://creativecommons.org/licenses/by/4.0/).
Share and Cite
Barker, J.S.; Gray, A.N.; Fried, J.S. The Effects of Crown Scorch on Post-fire Delayed Mortality Are Modified by Drought Exposure in California (USA). Fire 2022, 5, 21. https://doi.org/10.3390/fire5010021
Barker JS, Gray AN, Fried JS. The Effects of Crown Scorch on Post-fire Delayed Mortality Are Modified by Drought Exposure in California (USA). Fire. 2022; 5(1):21. https://doi.org/10.3390/fire5010021
Chicago/Turabian StyleBarker, Jason S., Andrew N. Gray, and Jeremy S. Fried. 2022. "The Effects of Crown Scorch on Post-fire Delayed Mortality Are Modified by Drought Exposure in California (USA)" Fire 5, no. 1: 21. https://doi.org/10.3390/fire5010021
APA StyleBarker, J. S., Gray, A. N., & Fried, J. S. (2022). The Effects of Crown Scorch on Post-fire Delayed Mortality Are Modified by Drought Exposure in California (USA). Fire, 5(1), 21. https://doi.org/10.3390/fire5010021

