Assessing the Impact of Climate Variability on Wildfires in the N’Zi River Watershed in Central Côte d’Ivoire
Abstract
1. Introduction
2. Materials and Methods
2.1. Study Site
2.2. Dataset Description
2.2.1. Meteorological Data
- -
- the Angstrom Index (AI), used primarily in Sweden and its inputs are the air temperature and relative humidity to calculate a numerical index of fire danger [29];
- -
- the Lowveld Fire Danger Index (FDI), widely used in South Africa and providing a reasonably good measure of short-term wildfire risk. The inputs are the maximum temperature, the wind speed and the relative humidity [30];
- -
- the Standardized Precipitation Index (SPI), used to quantify the precipitation deficit and characterize meteorological drought on a range of timescales, and based only on precipitation [31].
2.2.2. Active Fire and Burned Area Data
2.3. Methodology
2.3.1. Seasonal Kendall Test
2.3.2. Sen’s Slope
2.3.3. Spearman Correlation
2.3.4. Nonparametric Regression
3. Results
3.1. Wildfire Regime and Trends
3.2. Spearman Correlation
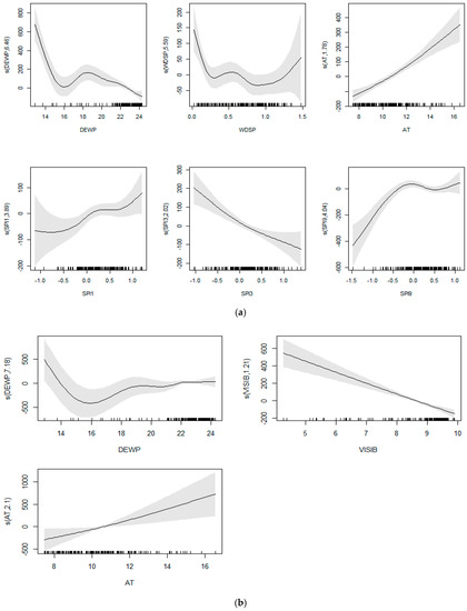
3.3. Nonparametric Regression
4. Discussion
5. Conclusions
Author Contributions
Acknowledgments
Conflicts of Interest
References
- Goldammer, J.G.; De Ronde, C. Wildland Fire Management Handbook for Sub-Saharan Africa; Goldammer, J.G., de Ronde, C., Eds.; Global Fire Monitoring Center: Freiburg, Germany, 2004. [Google Scholar]
- Food Agriculture Organization (FAO). Fire Management Global Assessment 2006; FAO: Rome, Italy, 2007. [Google Scholar]
- Bakirci, M. Negative impacts of forest fires on ecological balance and environmental sustainability: Case of Turkey. J. Geogr. 2010, 5, 15–32. [Google Scholar]
- Dennis, R.A.; Mayer, J.; Applegate, G.; Chokkalingam, U.; Colfer, C.J.P.; Kurniawan, I.; Lachowski, H.; Maus, P.; Permana, R.P.; Ruchiat, Y.; et al. Fire, people and pixels: linking social science and remote sensing to understand underlying causes and impacts of fires in Indonesia. Hum. Ecol. 2005, 33, 465–504. [Google Scholar] [CrossRef]
- Hirschberger, P. Forests Ablaze: Causes and Effects of Global Forest Fires; Winter, S., von Laer, Y., Köberich, T., Eds.; WWF Deutschland: Berlin, Germany, 2016. [Google Scholar]
- Jolly, W.M.; Cochrane, M.A.; Freeborn, P.H.; Holden, Z.A.; Brown, T.J.; Williamson, G.J.; Bowman, D.M.J.S. Climate-induced variations in global wildfire danger from 1979 to 2013. Nat. Commun. 2015, 6, 7537. [Google Scholar] [CrossRef] [PubMed]
- Laris, P. Integrating Land Change Science and Savanna Fire Models in West Africa. Land 2013, 2, 609–636. [Google Scholar] [CrossRef]
- GIEC. Changements Climatiques 2014: Rapport de Synthèse; Contribution des Groupes de Travail I, II et III au cinquième Rapport D’évaluation du Groupe D’experts Intergouvernemental sur L’évolution du Climat; Pachauri, R.K., Meyer, L.A., Eds.; GIEC: Genève, Switzerland, 2014. [Google Scholar]
- Paudel, B.; Acharya, B.S.; Ghimire, R.; Dahal, K.R.; Bista, P. Adapting agriculture to climate change and variability in Chitwan: Long-term trends and farmers’ perceptions. Agric. Res. 2014, 3, 165–174. [Google Scholar] [CrossRef]
- Mertz, O.; Halsnæs, K.; Olesen, J.E.; Rasmussen, K. Adaptation to climate change in developing countries. Environ. Manag. 2009, 43, 743–752. [Google Scholar] [CrossRef] [PubMed]
- Tanner, T.; Mitchell, T. Entrenchment or enhancement: Could climate change adaptation help reduce poverty? Development 2008, 39, 6–15. [Google Scholar] [CrossRef]
- Kull, C.A.; Laris, P. Fire ecology and fire politics in Mali and Madagascar. In Tropical Fire Ecology: Climate Change, Land Use and Ecosystem Dynamics; Springer: Berlin/Heidelberg, Germany, 2009; pp. 171–226. [Google Scholar] [CrossRef]
- Shlisky, A.; Alencar, A.; Nolasco, M.M.; Curran, L. Overview: Global fire regime conditions, threats, and opportunities for fire management in the tropics. In Tropical Fire Ecology; Springer: Berlin/Heidelberg, Germany, 2009; pp. 65–83. [Google Scholar]
- Mbow, C.; Nielsen, T.T.; Rasmussen, K. Savanna fires in east-central Senegal: Distribution patterns, resource management and perceptions. Hum. Ecol. 2000, 28, 561–583. [Google Scholar] [CrossRef]
- Levine, J.S. Biomass Burning and the Production of Greenhouse Gases. In Climate Biosphere Interaction: Biogenic Emissions and Environmental Effects of Climate Change; Zepp, R.G., Ed.; John Wiley and Sons: New York, NY, USA, 1994; pp. 139–160. [Google Scholar]
- Loehman, R.A.; Reinhardt, E.; Riley, K.L. Wildland fire emissions, carbon, and climate: Seeing the forest and the trees—A cross-scale assessment of wildfire and carbon dynamics in fire-prone, forested ecosystems. For. Ecol. Manag. 2014, 317, 9–19. [Google Scholar] [CrossRef]
- Etc Terra; RONGEAD; BNETD. Analyse Qualitative des Facteurs de Déforestation et de Dégradation des Forêts en Côte d’Ivoire; MINEDD: Abidjan, Côte d’Ivoire, 2016. [Google Scholar]
- Bigot, S. Variabilité Climatique, Interactions et Modifications Environnementales: L’exemple de la Côte d’Ivoire; Université des Sciences et Technologies de Lille: Lille, France, 2005. [Google Scholar]
- MINEF. Campagne Nationale de Lutte Contre les fEux de Brousse Edition 2016–2017. Available online: http://www.eauxetforets.gouv.ci/index.php/le-minef/actualites/a-la-une/514-campagne-nationale-de-lutte-contre-les-feux-de-brousse-edition-2016-2017 (accessed on 14 June 2017).
- N’Guessan, J.A.; Yoboue, K.B.; N’Daoule, R. La variabilité pluviométrique et ses impacts sur l’alimentation en eau des milieux ruraux du département de Dimbokro (Centre-Est de la Côte d’Ivoire). Eur. Sci. J. 2015, 11, 36–57. [Google Scholar]
- Brou, Y.T. Impacts des modifications bioclimatiques et de l’amenuisement des terres forestières dans les paysanneries ivoiriennes: Quelles solutions pour une agriculture durable en Côte d’Ivoire. Cuad. Geogr. 2009, 45, 13–29. [Google Scholar]
- Bigot, S.; Brou, T.Y.; Oszwald, J.; Diedhiou, A. Facteurs de la variabilité pluviométrique en Côte d’Ivoire et relations avec certaines modifications environnementales. Sécheresse 2005, 16, 5–13. [Google Scholar]
- Kouassi, A.M.; Kouamé, K.F.; Koffi, Y.B.; Dje, K.B.; Paturel, J.E.; Oulare, S. Analyse de la Variabilité Climatique et de ses Influences sur les Régimes Pluviométriques Saisonniers en Afrique de L’ouest: Cas du Bassin Versant du N’zi (Bandama) en Côte d’Ivoire. Available online: http://cybergeo.revues.org/23388 (accessed on 1 April 2017).
- Yao, T.B.; Akindès, F.; Bigot, S. La variabilité climatique en Côte d’Ivoire: Entre perceptions sociales et réponses agricoles. Cah. Agric. 2005, 14, 533–540. [Google Scholar] [CrossRef]
- Strydom, S.; Savage, M.J. Potential impacts of climate change on wildfire dynamics in the midlands of KwaZulu-Natal, South Africa. Clim. Chang. 2017, 143, 385–397. [Google Scholar] [CrossRef]
- Eldin, M. Le climat. In Le Milieu Naturel de la Côte d’Ivoire; Avenard, J.-M., Eldin, M., Girard, G., Touchebeuf, P., Guillaumet, J.-L., Adjanohoun, E., Perraud, A., Eds.; ORSTOM: Paris, France, 1971; pp. 73–108. [Google Scholar]
- Goula, B.T.A.; Savané, I.; Fadika, V.; Konan, B.; Kouadio, G.B. Impact de la variabilité climatique sur les ressources hydriques des bassins du N’Zo et N’Zi en Côte d’Ivoire (Afrique Tropicale Humide). VertigO 2006, 7, 1–12. [Google Scholar] [CrossRef]
- National Centers for Environmental Information. Global Surface Summary of the Day—GSOD. Available online: https://data.noaa.gov/dataset/dataset/global-surface-summary-of-the-day-gsod (accessed on 4 January 2017).
- Ångström, A. Swedish meteorological research 1939–1948. Tellus 1949, 1, 60–64. [Google Scholar] [CrossRef]
- Harrison, D.C. Improving Integrated Wildfire Management in the Fynbos Biome of South Africa Using Information on Synoptic-Scale Atmospheric Features That Promote Wildfires. Ph.D. Thesis, University of Cape Town, Cape Town, South Africa, 2015. [Google Scholar]
- McKee, T.B.; Doesken, N.J.; Kleist, J. The relationship of drought frequency and duration to time scales. In Proceedings of the 8th Conference on Applied Climatology, Anaheim, CA, USA, 17–22 January 1993. [Google Scholar]
- Giglio, L.; Schroeder, W.; Justice, C.O. The collection 6 MODIS active fire detection algorithm and fire products. Remote Sens. Environ. 2016, 178, 31–41. [Google Scholar] [CrossRef] [PubMed]
- Schroeder, W.; Oliva, P.; Giglio, L.; Csiszar, I.A. The New VIIRS 375m active fire detection data product: Algorithm description and initial assessment. Remote Sens. Environ. 2014, 143, 85–96. [Google Scholar] [CrossRef]
- Giglio, L.; Boschetti, L.; Roy, D.; Hoffmann, A.A.; Humber, M. Collection 6 MODIS Burned Area Product User’s Guide—Version 1.0; NASA EOSDIS Land Processes DAAC: Sioux Falls, SD, USA, 2016.
- Kaufman, Y.J.; Justice, C.O.; Flynn, L.P.; Kendall, J.D.; Prins, E.M.; Giglio, L.; Ward, D.E.; Menzel, W.P.; Setzer, A.W. Potential global fire monitoring from EOS-MODIS. J. Geophys. Res. Atmos. 1998, 103, 32215–32238. [Google Scholar] [CrossRef]
- LANCE FIRMS. Collection 6 NRT Hotspot/Active Fire Detections MCD14DL. Available online: https://earthdata.nasa.gov/firms (accessed on 21 June 2017).
- LANCE FIRMS. NRT VIIRS 375 m Active Fire product VNP14IMGT. Available online: https://earthdata.nasa.gov/firms (accessed on 21 June 2017).
- Giglio, L.; Justice, C.; Boschetti, L.; Roy, D. MCD64A1 MODIS/Terra + Aqua Burned Area Monthly L3 Global 500m SIN Grid V006; NASA EOSDIS Land Processes DAAC: Sioux Falls, SD, USA, 2015.
- Pohlert, T. Non-Parametric Trend Tests and Change-Point Detection. Available online: https://cran.r-project.org/web/packages/trend/vignettes/trend.pdf (accessed on 30 July 2018).
- Mann, H.B. Nonparametric tests against trend. Econometrica 1945, 13, 245. [Google Scholar] [CrossRef]
- Kendall, M. Rank Correlation Methods, 4th ed.; Charles Griffin: London, UK, 1970. [Google Scholar]
- Hirsch, R.M.; Slack, J.R. A Nonparametric Trend test for seasonal data with serial dependence. Water Resour. Res. 1984, 20, 727–732. [Google Scholar] [CrossRef]
- Roy, D.P.; Boschetti, L.; Justice, C.O.; Ju, J. The collection 5 MODIS burned area product—Global evaluation by comparison with the MODIS active fire product. Remote Sens. Environ. 2008, 112, 3690–3707. [Google Scholar] [CrossRef]
- Millard, S.P. EnvStats: An R Package for Environmental Statistics; Springer: New York, NY, USA, 2013. [Google Scholar]
- R Core Team. R: A Language and Environment for Statistical Computing; R: The R Foundation: Vienna, Austria, 2017. [Google Scholar]
- Wood, S.N. Mgcv: GAMs and generalized ridge regression for R. R News 2001, 1, 20–25. [Google Scholar]
- Wood, S.N. Fast stable restricted maximum likelihood and marginal likelihood estimation of semiparametric generalized linear models. J. R. Stat. Soc. Ser. B Stat. Methodol. 2011, 73, 3–36. [Google Scholar] [CrossRef]
- Wood, S.N. Generalized Additive Models: An Introduction with R, 2nd ed.; Chapman & Hall/CRC: Boca Raton, FL, USA, 2017. [Google Scholar]
- Hastie, T.; Tibshirani, R. Generalized Additive Models. Stat. Sci. 1986, 1, 297–310. [Google Scholar] [CrossRef]
- James, G.; Witten, D.; Hastie, T. An Introduction to Statistical Learning: With Applications in R; Springer Science + Business Media: New York, NY, USA, 2014. [Google Scholar]
- Lukacs, P.M.; Burnham, K.P.; Anderson, D.R. Model selection bias and Freedman’s paradox. Ann. Inst. Stat. Math. 2010, 62, 117–125. [Google Scholar] [CrossRef]
- Maindonald, J. Gamclass: Functions and Data for a Course on Modern Regression and Classification. 2018. Available online: https://cran.r-project.org/package=gamclass (accessed on 10 August 2018).
- Yao, N. Mapping Bushfire Distribution and Burn Severity in West Africa Using Remote Sensing Observations. Ph.D. Thesis, University of Würzburg, Würzburg, Germany, 2010. [Google Scholar]
- Giglio, L.; Loboda, T.; Roy, D.P.; Quayle, B.; Justice, C.O. An active-fire based burned area mapping algorithm for the MODIS sensor. Remote Sens. Environ. 2009, 113, 408–420. [Google Scholar] [CrossRef]
- Oliveras, I.; Anderson, L.O.; Malhi, Y. Application of remote sensing to understanding fire regimes and biomass burning emissions of the tropical Andes. Glob. Biogeochem. Cycles 2014, 28, 480–496. [Google Scholar] [CrossRef]
- Roy, D.P.; Jin, Y.; Lewis, P.E.; Justice, C.O. Prototyping a global algorithm for systematic fire-affected area mapping using MODIS time series data. Remote Sens. Environ. 2005, 97, 137–162. [Google Scholar] [CrossRef]
- Kone, Z. Analyse de la Dynamique Spatio-Temporelle des Feux de Brousse et Leur Relation avec les Facteurs Climatiques dans la Zone Préforestière de la Côte d’Ivoire: Apport de l’Imagerie Satellitaire et des Systèmes d’Informations Géographiques; Mémoire de fin d’Études; Institut National Polytechnique Félix Houphouët-Boigny: Yamoussoukro, Côte d’Ivoire, 2014. [Google Scholar]
- N’Datchoh, E.T.; Konaré, A.; Diedhiou, A.; Diawara, A.; Quansah, E.; Assamoi, P. Effects of climate variability on savannah fire regimes in West Africa. Earth Syst. Dyn. 2015, 6, 161–174. [Google Scholar] [CrossRef]
- Dwomoh, F.; Wimberly, M. Fire Regimes and Their Drivers in the Upper Guinean Region of West Africa. Remote Sens. 2017, 9, 1117. [Google Scholar] [CrossRef]
- Andela, N.; Morton, D.C.; Giglio, L.; Chen, Y.; van der Werf, G.R.; Kasibhatla, P.S.; DeFries, R.S.; Collatz, G.J.; Hantson, S.; Kloster, S.; et al. A human-driven decline in global burned area. Science 2017, 356, 1356–1362. [Google Scholar] [CrossRef] [PubMed]
- Etienne, P. Le Fait Villageois Baoulé; ORSTOM: Abidjan, Côte d’Ivoire, 1971. [Google Scholar]
- Bruzon, Y. Les pratiques du feu en Afrique subhumide: exemples des milieux savanicoles de la Centrafrique et de la Côte d’Ivoire In Dynamique des Systèmes Agraires, France; Blanc-Pamard, C., Boutrais, J., Eds.; ORSTOM: Paris, France, 1994; pp. 147–162. [Google Scholar]
- Trollope, W.S.W.; de Ronde, C.; Geldenhuys, C.J. Fire behaviour In Wildland fire management: Handbook for Sub-Sahara Africa; Goldammer, J.G., de Ronde, C., Eds.; Global Fire Monitoring Center: Freiburg, Germany, 2004; pp. 27–59. [Google Scholar]
- Nielsen, T.T.; Rasmussen, K. Utilization of NOAA AVHRR for assessing the determinants of savanna fire distribution in Burkina Faso. Int. J. Wildl. Fire 2001, 10, 129–135. [Google Scholar] [CrossRef]
- Govender, N.; Trollope, W.S.W.; Van Wilgen, B.W. The effect of fire season, fire frequency, rainfall and management on fire intensity in savanna vegetation in South Africa. J. Appl. Ecol. 2006, 43, 748–758. [Google Scholar] [CrossRef]
- Guiguindibaye, M.; Belem, M.; Boussim, J. Caractéristiques des feux dans un incendie en savane soudanienne au Tchad. Int. J. Biol. Chem. Sci. 2013, 7, 1147. [Google Scholar] [CrossRef]
- Kull, C.A. Madagascar aflame: landscape burning as peasant protest, resistance, or a resource management tool? Polit. Geogr. 2002, 21, 927. [Google Scholar] [CrossRef]
- Holsten, A.; Dominik, A.R.; Costa, L.; Kropp, J.P. How well do meteorological indices explain forest fire ocurrence in Germany? In Proceedings of the EGU General Assembly, Vienna, Austria, 7–12 April 2013. [Google Scholar]
- Xiao, Y.; Zhang, X.; Ji, P. Modeling forest fire occurrences using count-data mixed models in qiannan autonomous prefecture of Guizhou province in China. PLoS. ONE 2015, 10, e0120621. [Google Scholar] [CrossRef] [PubMed]
- Archibald, S.; Roy, D.P.; Van Wilgen, B.W.; Scholes, R.J. What limits fire? An examination of drivers of burnt area in Southern Africa. Glob. Chang. Biol. 2009, 15, 613–630. [Google Scholar] [CrossRef]
- Sá, A.C.L.; Turkman, M.A.A.; Pereira, J.M.C. Exploring fire incidence in Portugal using generalized additive models for location, scale and shape (GAMLSS). Model. Earth Syst. Environ. 2018, 4, 199–220. [Google Scholar] [CrossRef]
- Pausas, J.G.; Ribeiro, E. The global fire-productivity relationship. Glob. Ecol. Biogeogr. 2013, 22, 728–736. [Google Scholar] [CrossRef]
- Ríos-Pena, L.; Kneib, T.; Cadarso-Suárez, C.; Klein, N.; Marey-Pérez, M. Studying the occurrence and burnt area of wildfires using zero-one-inflated structured additive beta regression. Environ. Model. Softw. 2018, 1–12. [Google Scholar] [CrossRef]
- Krawchuk, M.A.; Moritz, M.A.; Parisien, M.-A.; Van Dorn, J.; Hayhoe, K. Global Pyrogeography: the Current and Future Distribution of Wildfire. PLoS ONE 2009, 4, e5102. [Google Scholar] [CrossRef] [PubMed]
- Ríos-Pena, L.; Cadarso-Suárez, C.; Kneib, T.; Marey-Pérez, M. Applying binary structured additive regression (STAR) for predicting wildfire in Galicia, Spain. Procedia Environ. Sci. 2015, 27, 123–126. [Google Scholar] [CrossRef]
- Lee, H.-J.; Choi, Y.; Lee, S.-W. Complex Relationships of the Effects of Topographic Characteristics and Susceptible Tree Cover on Burn Severity. Sustainability 2018, 10, 295. [Google Scholar] [CrossRef]











| Type | Code | Signification | Unit |
|---|---|---|---|
| Meteorological variables | PRCP | Total precipitation | mm |
| TMOY | Mean temperature | °C | |
| MAX | Maximum temperature | °C | |
| MIN | Minimum temperature | °C | |
| AT | Thermal amplitude | °C | |
| ET0 | Reference evapotranspiration | mm | |
| WDSP | Wind speed | m/s | |
| MXSPD | Maximum wind speed | m/s | |
| RH | Relative humidity | % | |
| VDP | Vapour-pressure deficit | mbar | |
| SLP | Sea level pressure | mbar | |
| DEWP | Dewpoint | °C | |
| VISIB | Visibility | km | |
| Drought and fire danger indices | SPI1 | 1-month Standardized Precipitation Index | |
| SPI3 | 3-month Standardized Precipitation Index | ||
| SPI6 | 6-month Standardized Precipitation Index | ||
| SPI9 | 9-month Standardized Precipitation Index | ||
| SPI12 | 12-month Standardized Precipitation Index | ||
| AI | Angstrom Index | ||
| FDI | Lowveld Fire Danger Index |
| Localization | Number of Wildfires | Burned Areas | ||||||
|---|---|---|---|---|---|---|---|---|
| Sen’s Slope | Test Z | p-Value | Sign. | Sen’s Slope | Test Z | p-Value | Sign. | |
| Forest zone | −0.3401 | −7.52 | 5.50 × 10−14 | *** | −0.1326 | −3.016 | 0.002564 | ** |
| Preforest zone | −0.2523 | −5.567 | 2.60 × 10−8 | *** | −0.0482 | −1.106 | 0.268964 | ns |
| Sudanian zone | −0.1639 | −3.697 | 0.000218 | *** | −0.0086 | −0.199 | 0.842119 | ns |
| N’Zi Watershed | −0.2631 | −5.611 | 2.01 × 10−8 | *** | −0.0807 | −1.796 | 0.0725 | ns |
| Parameter | Location | |||||||
|---|---|---|---|---|---|---|---|---|
| Forest Zone | Preforest Zone | Sudanian Zone | N’Zi River Watershed | |||||
| Family | Gaussian | Gaussian | Gaussian | Gaussian | ||||
| Link function | Identity | Identity | Identity | Identity | ||||
| Adjusted R2 | 0.814 | 0.874 | 0.995 | 0.772 | ||||
| Deviance explained (%) | 84.7 | 89.7 | 99.8 | 80.1 | ||||
| GCV score | 315.64 | 2181.7 | 10.249 | 9491.8 | ||||
| AIC | 1336.409 | 2004.422 | 201.9355 | 2277.71 | ||||
| Covariates | edf | p-Value | edf | p-Value | edf | p-Value | edf | p-Value |
| PRCP | - | - | - | - | - | - | - | - |
| TMOY | - | - | 3.936 | 4.66 × 10−5 | - | - | - | - |
| MAX | - | - | - | - | - | - | - | - |
| MIN | - | - | 4.894 | 0.040997 | 9.000 | 4.29 × 10−9 | - | - |
| AT | - | - | 4.394 | 0.000145 | - | - | 1.780 | 5.44 × 10−14 |
| ET0 | - | - | - | - | - | - | - | - |
| WDSP | - | - | - | - | - | - | 5.587 | 0.0028282 |
| MXSPD | - | - | - | - | - | - | - | - |
| RH | - | - | - | - | - | - | - | - |
| VDP | 7.771 | 2.24 × 10−7 | - | - | - | - | - | |
| SLP | - | - | - | - | - | - | - | |
| DEWP | - | - | 8.740 | <2 × 10−16 | - | - | 6.459 | 1.71 × 10−11 |
| VISIB | - | - | 8.464 | 1.05 × 10−7 | 7.913 | 8.68 × 10−12 | - | - |
| SPI1 | - | - | - | - | 5.087 | 0.0127 | 3.889 | 0.02521 |
| SPI3 | - | - | - | - | - | - | 2.018 | 8.81 × 10−6 |
| SPI6 | 4.124 | 0.002021 | - | - | - | - | 4.044 | 5.37 × 10−8 |
| SPI9 | 5.048 | 0.005825 | - | - | - | - | - | - |
| SPI12 | 2.710 | 0.012842 | - | - | - | - | - | - |
| AI | - | - | - | - | - | - | - | - |
| FDI | 8.015 | 0.000266 | 4.018 | 0.003571 | 8.873 | 4.55 × 10−14 | - | - |
| Location | ||||||||
|---|---|---|---|---|---|---|---|---|
| Parameter | Forest Zone | Preforest Zone | Sudanian Zone | N’Zi River Watershed | ||||
| Family | Gaussian | Gaussian | Gaussian | Gaussian | ||||
| Link function | Identity | Identity | Identity | Identity | ||||
| Adjusted R2 | 0.771 | 0.869 | 0.981 | 0.784 | ||||
| Deviance explained (%) | 84.2 | 89.3 | 99.7 | 81.3 | ||||
| GCV score | 4.73 × 107 | 2261.7 | 4.5052 × 107 | 9088 | ||||
| AIC | 3344.81 | 2011.501 | 782.5832 | 2268.917 | ||||
| Covariates | edf | p-Value | edf | p-Value | edf | p-Value | edf | p-Value |
| PRCP | - | - | - | - | - | - | - | - |
| TMOY | 7.236 | 0.00129 | 3.719 | 0.000873 | - | - | - | - |
| MAX | - | - | - | - | - | - | - | - |
| MIN | 2.112 | 0.00133 | 5.447 | 0.001879 | - | - | - | - |
| AT | - | - | 4.335 | 0.001950 | 8.851 | 0.00293 | 2.098 | 0.00772 |
| ET0 | 2.101 | 0.00396 | - | - | - | - | - | - |
| WDSP | - | - | - | - | - | - | - | - |
| MXSPD | - | - | - | - | 3.932 | 0.00140 | ||
| RH | - | - | - | - | - | - | - | - |
| VDP | - | - | - | - | - | - | - | - |
| SLP | - | - | - | - | - | - | - | - |
| DEWP | 7.517 | 0.01403 | 8.883 | <2 × 10−16 | - | - | 7.175 | 5.48 × 10−13 |
| VISIB | 8.678 | 8.26 × 10−7 | 8.500 | 8.25 × 10−9 | 9.000 | 1.59 × 10−5 | 1.208 | 3.99 × 10−10 |
| SPI1 | - | - | - | - | - | - | - | - |
| SPI3 | 8.945 | 3.48 × 10−12 | - | - | - | - | - | - |
| SPI6 | - | - | - | - | - | - | - | - |
| SPI9 | 7.289 | 0.00149 | - | - | - | - | - | - |
| SPI12 | - | - | - | - | - | - | - | - |
| AI | - | - | - | - | - | - | - | - |
| FDI | 6.692 | 0.01818 | 4.139 | 0.039573 | 7.043 | 0.01027 | - | - |
© 2018 by the authors. Licensee MDPI, Basel, Switzerland. This article is an open access article distributed under the terms and conditions of the Creative Commons Attribution (CC BY) license (http://creativecommons.org/licenses/by/4.0/).
Share and Cite
Kouassi, J.-L.K.; Wandan, N.E.; Mbow, C. Assessing the Impact of Climate Variability on Wildfires in the N’Zi River Watershed in Central Côte d’Ivoire. Fire 2018, 1, 36. https://doi.org/10.3390/fire1030036
Kouassi J-LK, Wandan NE, Mbow C. Assessing the Impact of Climate Variability on Wildfires in the N’Zi River Watershed in Central Côte d’Ivoire. Fire. 2018; 1(3):36. https://doi.org/10.3390/fire1030036
Chicago/Turabian StyleKouassi, Jean-Luc Kouakou, Narcisse Eboua Wandan, and Cheikh Mbow. 2018. "Assessing the Impact of Climate Variability on Wildfires in the N’Zi River Watershed in Central Côte d’Ivoire" Fire 1, no. 3: 36. https://doi.org/10.3390/fire1030036
APA StyleKouassi, J.-L. K., Wandan, N. E., & Mbow, C. (2018). Assessing the Impact of Climate Variability on Wildfires in the N’Zi River Watershed in Central Côte d’Ivoire. Fire, 1(3), 36. https://doi.org/10.3390/fire1030036

