Tapping into the Past: First Approach to a Diachronic Material Characterization of Mayapán Pottery
Abstract
1. Introduction
2. Materials and Methods
2.1. Materials
2.2. Methods
2.2.1. Laser Induced Breakdown Spectroscopy (LIBS)
2.2.2. Inductively Coupled Plasma Optical Emission Spectrometry (ICP-OES)
2.2.3. X-Ray Fluorescence Spectroscopy (XRF)
2.2.4. Fiber Optic Reflectance Spectroscopy (FORS) and Colorimetry
3. Results
3.1. LIBS and ICP-OES
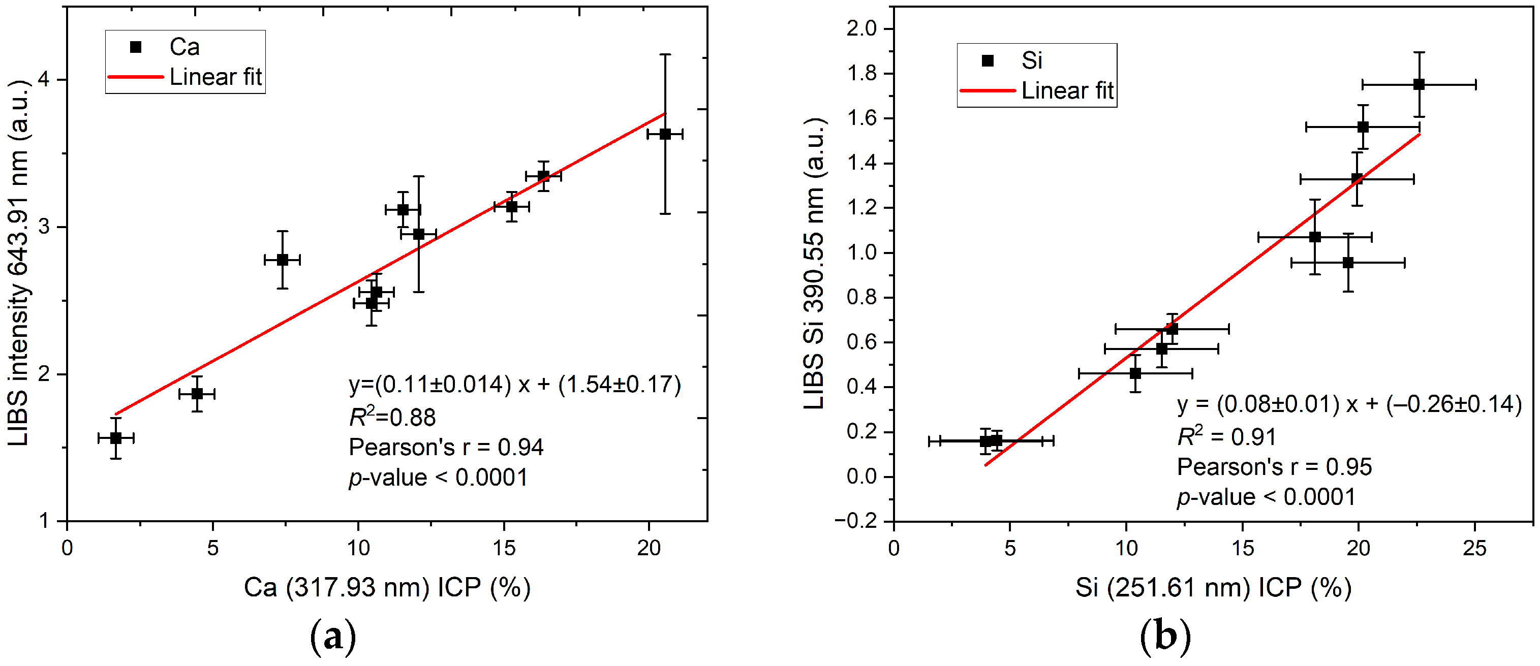
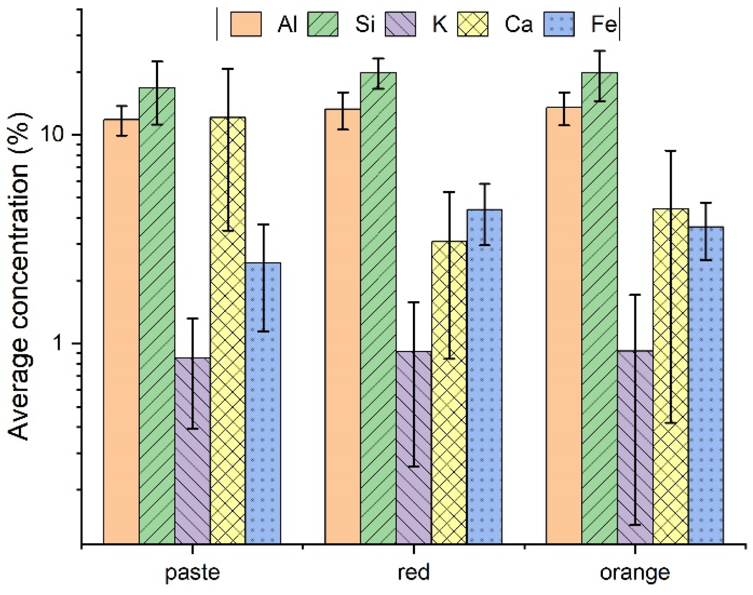
3.1.1. Analysis of Pastes
3.1.2. LIBS Analysis of Pottery Surface
3.2. XRF
3.2.1. Analysis of Pastes
3.2.2. Analysis of Color Regions from Classic Epoch Objects
3.2.3. Analysis of Archaeological Paste Varieties
3.2.4. Characterization of Radiographic Classification Types of Pastes
3.3. FORS
3.3.1. Surfaces Reflectance Analysis
3.3.2. SWIR Spectral Region Reflectance Analysis of Pastes
4. Discussion
5. Conclusions
Author Contributions
Funding
Data Availability Statement
Acknowledgments
Conflicts of Interest
Appendix A
| Item ID | Count | Temporality | Type-Variety (Figure 11) | XRF Analyzed Objects | FORS Analyzed Objects | Analyzed Pigments |
|---|---|---|---|---|---|---|
| 1–76 | 76 | Middle Preclassic (700–450 BC) | Chunhinta–1 Kin–2 Loche bicromo–3 | 15 | 74 | Orange Yellow Black White Beige Paste |
| 79–118 | 40 | Late Preclassic (450 BC–250 CE) | Grupo Sierra–1 | 6 | 39 | Orange Yellow Paste |
| 119–169 | 51 | Early Classic (250–600 CE) | NA | 25 | 31 | Orange Yellow White Paste |
| 170–227 | 58 | Late Classic (600–750 CE) | Chablekal–1 Chuburna–6 Kinich–1 Teabo–2 Ticul–1 Yokat–1 | 36 | 49 | Orange Yellow Ocre Green Black White Paste |
| 228–237 | 10 | Terminal Classic (750–1100 CE) | NA | 7 | 10 | Orange Yellow Ocre Black Paste |
| 238–248 | 11 | Postclassic (1050/1100–1543 CE) | Tecoh–1 | 8 | 11 | Orange Yellow Ocre Green Black White Beige |
| Total | 248 | 20 | 97 | 214 | Paste |
| Sherd/Sample | 18 | 54 | 90 | 97 | 112 | 131 | 180 | 186 | 231 | 236 | 238 |
|---|---|---|---|---|---|---|---|---|---|---|---|
| Temporality | Middle Preclassic | Middle Preclassic | Late Preclassic | Late Preclassic | Late Preclassic | Early Classic | Late Classic | Late Classic | Terminal Classic | Terminal Classic | Postclassic |
| Al 396.153 nm (%) | 1.63 | 1.61 | 1.57 | 0.76 | 0.79 | 0.11 | 1.97 | 0.94 | 1.56 | 1.71 | 0.26 |
| Ba 233.527 nm (ppm) | 52.83 | 45.91 | 69.02 | 17.52 | 28.77 | 19.59 | 56.64 | 35.54 | 67.32 | 63.91 | 6.48 * |
| Ca 317.933 nm (%) | 10.63 | 10.45 | 7.396 | 16.37 | 15.28 | 20.55 | 4.461 | 12.08 | 1.67 | 1.92 | 11.54 |
| Cr 267.716 nm (ppm) | 19.38 | 11.25 | 14.55 | 20.19 | 40.45 | 5.32 | 23.63 | 31.54 | 14.25 | 14.6 | <LOD |
| Cu 327.393 nm (ppm) | <LOD | <LOD | <LOD | <LOD | <LOD | 3.05 | <LOD | <LOD | <LOD | 2.35 | <LOD |
| Fe 238.204 nm (%) | 0.48 | 0.40 | 0.50 | 0.45 | 0.34 | 0.07 | 0.72 | 0.62 | 0.66 | 0.56 | 0.06 |
| K 766.490 nm (%) | 1.38 | 1.40 | 0.75 | 0.90 | 0.80 | 0.25 | 0.93 | 0.45 | 0.95 | 0.95 | 0.44 |
| Li 670.784 nm (ppm) | 0.93 | 0.56 * | 0.78 * | 0.28 * | 0.55 * | <LOD | 0.90 | 1.03 | 1.15 | 1.21 | <LOD |
| Mg 285.213 nm (%) | 0.96 | 0.83 | 0.62 | 0.61 | 0.74 | 0.37 | 0.31 | 0.32 | 0.35 | 0.24 | 4.65 |
| Mn 257.610 nm (ppm) | 30.93 | 30.88 | 25.11 | 78.56 | 12.92 | 19.85 | 201.33 | 59.70 | 82.48 | 80.89 | 11.27 |
| Ni 231.604 nm (ppm) | 10.22 | 9.08 | 8.47 | 10.57 | 10.70 | 4.42 * | 14.28 | 12.94 | 14.46 | 9.76 | 5.36 |
| Pb 220.353 nm (ppm) | <LOD | <LOD | <LOD | <LOD | <LOD | <LOD | <LOD | 73.23 | <LOD | <LOD | <LOD |
| Si 251.611 nm (%) | 19.54 | 19.93 | 18.12 | 11.52 | 11.98 | 4.43 | 20.18 | 10.39 | 22.60 | 21.07 | 3.95 |
| Sr 407.771 nm (ppm) | 23.46 | 17.59 | 92.82 | 11.30 | 33.75 | 45.64 | 16.03 | 20.53 | 17.73 | 14.50 | 25.21 |
| Ti 334.940 nm (ppm) | 443.43 | 470.50 | 400.79 | 346.30 | 380.49 | 98.20 | 568.59 | 588.77 | 535.94 | 438.74 | 83.05 |
| V 290.880 nm (ppm) | 70.00 | 80.00 | 40.00 | 70.00 | 70.00 | 10.00 | 80.00 | 70.00 | 70.00 | 60.00 | <LOD |
| Zn 206.200 nm (ppm) | 18.92 | 18.38 | 11.96 | 8.45 | 7.89 | 3.39 | 20.46 | 7.73 | 13.51 | 12.14 | 7.81 |
| Element | LOD (ppm) | LOQ (ppm) | Dynamic Range (mg/L) |
|---|---|---|---|
| Al 396.153 nm | 3.29 | 10.97 | 10–500 |
| Ba 233.527 nm | 3.56 | 11.87 | 0.1–10 |
| Ca 317.933 nm | 1.80 | 6.00 | 10–500 |
| Cr 267.716 nm | 2.89 | 9.63 | 0.1–10 |
| Cu 327.393 nm | 0.41 | 1.37 | 0.1–10 |
| Fe 238.204 nm | 0.95 | 3.17 | 0.1–10 |
| K 766.49 nm | 77.30 | 257.67 | 1–100 |
| Li 670.784 nm | 0.26 | 0.87 | 0.1–10 |
| Mg 285.213 nm | 0.76 | 2.53 | 0.1–10 |
| Mn 257.61 nm | 0.18 | 0.60 | 0.1–10 |
| Ni 231.604 nm | 1.39 | 4.63 | 0.1–10 |
| Pb 220.353 nm | 15.59 | 51.97 | 0.1–10 |
| Si 251.611 nm | 22.77 | 75.90 | 10–500 |
| Sr 407.771 nm | 0.20 | 0.67 | 0.1–10 |
| Ti 334.94 nm | 0.46 | 1.53 | 0.1–10 |
| V 290.88 nm | 1.09 | 3.63 | 0.1–10 |
| Zn 206.2 nm | 0.29 | 0.97 | 0.1–10 |
| Element | NIST SRM 2706 Recoveries (%) | NIST SRM 2709a Recoveries (%) |
|---|---|---|
| Al 396.153 nm | 94.55 | 107.46 |
| Ba 233.527 nm | 94.36 | 89.89 |
| Ca 317.933 nm | 92.53 | 91.18 |
| Cr 267.716 nm | 102.66 | 106.92 |
| Cu 327.393 nm | 106.75 | 96.90 |
| Fe 238.204 nm | 96.47 | 103.79 |
| K 766.49 nm | 94.08 | 104.74 |
| Li 670.784 nm | 104.27 | - |
| Mg 285.213 nm | 45.93 | 79.40 |
| Mn 257.61 nm | 95.53 | N.A. |
| Ni 231.604 nm | 134.21 | 64.59 |
| Pb 220.353 nm | 87.45 | - |
| Si 251.611 nm | 84.00 | 87.64 |
| Sr 407.771 nm | 96.90 | 94.14 |
| Ti 334.94 nm | 86.11 | 84.17 |
| V 290.88 nm | 95.05 | 108.18 |
| Zn 206.2 nm | 91.06 | 86.50 |
Appendix B

References
- Pollock, H.E.D. Mayapan, Yucatan, Mexico; Pollock, H.E.D., Roys, R.L., Proskourakoff, T., Ledyard, A., Eds.; Carnegie Institution of Washington: Washington, DC, USA, 1962; Volume 619. [Google Scholar]
- Masson, M.A.; Hare, T.S.; Peraza Lope, C.; Russell, B.W. (Eds.) Settlement, Economy, and Society at Mayapán, Yucatán, México; University of Pittsburg: Pittsburg, PA, USA, 2021. [Google Scholar]
- Meanwell, J.L.; Paris, E.H.; Cruz Alvarado, W.; Peraza Lope, C. Metallurgical Ceramics from Mayapán, Yucatán, Mexico. J. Archaeol. Sci. 2013, 40, 4306–4318. [Google Scholar] [CrossRef]
- Isphording, W.C. The Clays of Yucatan, Mexico: A Contrast in Genesis. In Developments in Sedimentology; Elsevier: Amsterdam, The Netherlands, 1984; pp. 59–73. [Google Scholar]
- Arnold, D.E. Ethnomineralogy of Ticul, Yucatan Potters: Etics and Emics. Am. Antiq. 1971, 36, 20–40. [Google Scholar] [CrossRef]
- Schuraytz, B.C.; Sharpton, V.L.; Marín, L.E. Petrology of Impact-Melt Rocks at the Chicxulub Multiring Basin, Yucatán, Mexico. Geology 1994, 22, 868. [Google Scholar] [CrossRef]
- Seligson, K.E.; Ortiz Ruiz, S.; Barba Pingarrón, L. Prehispanic Maya Burnt Lime Industries: Previous Studies and Future Directions. Anc. Mesoam. 2019, 30, 199–219. [Google Scholar] [CrossRef]
- Pérez, M.; de Lucio, O.G.; Mitrani, A.; Peraza Lope, C.; Cruz Alvarado, W.; Ortiz Ruiz, S. Material Characterization of Mayapán’s Effigy Censers’ Sherds. Minerals 2023, 13, 974. [Google Scholar] [CrossRef]
- Papachristodoulou, C.; Oikonomou, A.; Ioannides, K.; Gravani, K. A Study of Ancient Pottery by Means of X-Ray Fluorescence Spectroscopy, Multivariate Statistics and Mineralogical Analysis. Anal. Chim. Acta 2006, 573–574, 347–353. [Google Scholar] [CrossRef] [PubMed]
- Papakosta, V.; Lopez-Costas, O.; Isaksson, S. Multi-method (FTIR, XRD, PXRF) Analysis of Ertebølle Pottery Ceramics from Scania, Southern Sweden. Archaeometry 2020, 62, 677–693. [Google Scholar] [CrossRef]
- Kuzmanovic, M.; Stancalie, A.; Milovanovic, D.; Staicu, A.; Damjanovic-Vasilic, L.; Rankovic, D.; Savovic, J. Analysis of Lead-Based Archaeological Pottery Glazes by Laser Induced Breakdown Spectroscopy. Opt. Laser Technol. 2021, 134, 106599. [Google Scholar] [CrossRef]
- Centeno, S.A.; Williams, V.I.; Little, N.C.; Speakman, R.J. Characterization of Surface Decorations in Prehispanic Archaeological Ceramics by Raman Spectroscopy, FTIR, XRD and XRF. Vib. Spectrosc. 2012, 58, 119–124. [Google Scholar] [CrossRef]
- Shackley, M.S. (Ed.) X-Ray Fluorescence Spectrometry (XRF) in Geoarchaeology; Springer: New York, NY, USA, 2011; ISBN 978-1-4419-6885-2. [Google Scholar]
- Khajehzadeh, N.; Kauppinen, T.K. Fast Mineral Identification Using Elemental LIBS Technique. IFAC-PapersOnLine 2015, 28, 119–124. [Google Scholar] [CrossRef]
- Stoner, W.D. The Analytical Nexus of Ceramic Paste Composition Studies: A Comparison of NAA, LA-ICP-MS, and Petrography in the Prehispanic Basin of Mexico. J. Archaeol. Sci. 2016, 76, 31–47. [Google Scholar] [CrossRef]
- De Benedetto, G.E.; Nicolì, S.; Pennetta, A.; Rizzo, D.; Sabbatini, L.; Mangone, A. An Integrated Spectroscopic Approach to Investigate Pigments and Engobes on Pre-Roman Pottery. J. Raman Spectrosc. 2011, 42, 1317–1323. [Google Scholar] [CrossRef]
- Morales Valderrama, C.; Merino Carrión, L.; García Cook, Á. La Alfarería de Yucatán: Una Tradición al Finalizar El Siglo XX. In La Producción Alfarera en el México Antiguo I; National Institute of Anthropology and History (INAH): Mexico City, Mexico, 2005; pp. 121–142. [Google Scholar]
- de Landa, D. Relación de Las Cosas de Yucatán, 8th ed.; Editorial Porrúa, S.A.: Mexico City, Mexico, 1986. [Google Scholar]
- Pérez, M.; de Lucio, O.G.; Sobral, H.M.; Márquez-Herrera, C.; Goguitchaichvili, A.; Ortiz, S. Characterization of Traditional Pottery Artifacts from Yucatán Peninsula, México: Implications for Manufacturing Process Based on Elemental Analyses. Minerals 2024, 14, 993. [Google Scholar] [CrossRef]
- Wheat, J.B.; Gifford, J.C.; Wasley, W.W. Ceramic Variety, Type Cluster, and Ceramic System in Southwestern Pottery Analysis. In Americanist Culture History Fundamentals of Time, Space, and Form; Lee Lyman, R., O’Brien, M.J., Dunnell, C.R., Eds.; 1997; pp. 434–447. [Google Scholar]
- Smith, R.E. The Pottery of Mayapan Including Studies of Ceramic Material from Uxmal, Kabah, and Chichen Itza; Cambridge, Peabody Museum of Archaeology and Ethnology, Harvard University: Cambridge, MA, USA, 1971; Volume 66. [Google Scholar]
- Smith, R.E.; Willey, G.R.; Gifford, J.C. The Type-Variety Concept as a Basis for the Analysis of Maya Pottery. Am. Antiq. 1960, 25, 330–340. [Google Scholar] [CrossRef]
- Peraza Lope, C.; Masson, M.A.; Cruz Alvarado, W.; Russell, B.W. Effigy Censer and Figurine Production At the Postclassic Maya City of Mayapan, Mexico. Anc. Mesoam. 2023, 34, 455–475. [Google Scholar] [CrossRef]
- Nagaya, A.; de Lucio, O.G.; Ortiz Ruiz, S.; Uc González, E.; Peraza Lope, C.; Cruz Alvarado, W. Description and Classification of Tempering Materials Present in Pottery Using Digital X-Radiography. NDT 2024, 2, 456–473. [Google Scholar] [CrossRef]
- Kadachi, A.N.; Al-Eshaikh, M.A. Limits of Detection in XRF Spectroscopy. X-Ray Spectrom. 2012, 41, 350–354. [Google Scholar] [CrossRef]
- Rousseau, R.M.; Richard, D.R.; Rousseau, M. Detection Limit and Estimate of Uncertainty of Analytical XRF Results. Rigaku J. 2014, 18, 33–47. [Google Scholar]
- Fiamegos, Y.; de la Calle Guntiñas, M.B. Validation Strategy for an Ed-Xrf Method to Determine Trace Elements in a Wide Range of Organic and Inorganic Matrices Based on Fulfilment of Performance Criteria. Spectrochim. Acta Part B At. Spectrosc. 2018, 150, 59–66. [Google Scholar] [CrossRef]
- Sobral, H.; Amador-Mejía, M.; Márquez-Herrera, C. Characterization of Pottery from Teotihuacan Using Laser-Induced Breakdown Spectroscopy and Inductively Coupled Plasma Optical Emission Spectroscopy. Appl. Spectrosc. 2021, 75, 728–738. [Google Scholar] [CrossRef]
- Ruvalcaba Sil, J.L.; Ramírez Miranda, D.; Aguilar Melo, V.; Picazo, F. SANDRA: A Portable XRF System for the Study of Mexican Cultural Heritage. X-Ray Spectrom. 2010, 39, 338–345. [Google Scholar] [CrossRef]
- Solé, V.A.; Papillon, E.; Cotte, M.; Walter, P.; Susini, J. A Multiplatform Code for the Analysis of Energy-Dispersive X-Ray Fluorescence Spectra. Spectrochim. Acta Part B At. Spectrosc. 2007, 62, 63–68. [Google Scholar] [CrossRef]
- Gonzalez-Garcia, F.; Romero-Acosta, V.; Garcia-Ramos, G.; Gonzalez-Rodrigez, M. Firing Transformations of Mixtures of Clays Containing Illite, Kaolinite and Calcium Carbonate Used by Ornamental Tile Industries. Appl. Clay Sci. 1990, 5, 361–375. [Google Scholar] [CrossRef]
- Buxeda I Garrigós, J.; Cau Ontiveros, M.A.; Kilikoglou, V. Chemical Variability in Clays and Pottery from a Traditional Cooking Pot Production Village: Testing Assumptions in Pereruela*. Archaeometry 2003, 45, 1–17. [Google Scholar] [CrossRef]
- Ferré Núria, G.; Pérez, P.; Luís, J.; De, V.; Pascual, Á.; Luísa, M.; Laura, O.C.; Carbó, D.; Teresa, M. The Clays of the Yucatan Peninsula as A Key-Material in the Archaeometric Studies of the Mayan Blue Pigment. Open Access J. Archaeol. Anthropol. 2023, 4, 1–15. [Google Scholar]
- Fabbri, B.; Gualtieri, S.; Shoval, S. The Presence of Calcite in Archeological Ceramics. J. Eur. Ceram. Soc. 2014, 34, 1899–1911. [Google Scholar] [CrossRef]
- Torrent, J.; Barrón, V. Diffuse Reflectance Spectroscopy of Iron Oxides. Encycl. Surf. Colloid. Sci. 2002, 1, 1438–1446. [Google Scholar]
- Sherman, D.M. Electronic Spectra of Fe3+ Oxides and Oxide Hydroxides on the near IR to near UV. Am. Mineral. 1985, 70, 1262–1269. [Google Scholar]
- Gliozzo, E. Ceramic Technology. How to Reconstruct the Firing Process. Archaeol. Anthropol. Sci. 2020, 12, 260. [Google Scholar] [CrossRef]
- Lugassi, R.; Ben-Dor, E.; Eshel, G. Reflectance Spectroscopy of Soils Post-Heating—Assessing Thermal Alterations in Soil Minerals. Geoderma 2014, 213, 268–279. [Google Scholar] [CrossRef]
- Palomar, T.; Grazia, C.; Pombo Cardoso, I.; Vilarigues, M.; Miliani, C.; Romani, A. Analysis of Chromophores in Stained-Glass Windows Using Visible Hyperspectral Imaging in-Situ. Spectrochim. Acta A Mol. Biomol. Spectrosc. 2019, 223, 117378. [Google Scholar] [CrossRef]
- Torrent, J.; Barrón, V. The Visible Diffuse Reflectance Spectrum in Relation to the Color and Crystal Properties of Hematite. Clays Clay Miner. 2003, 51, 309–317. [Google Scholar] [CrossRef]
- Cloutier, J.; Piercey, S.J.; Huntington, J. Mineralogy, Mineral Chemistry and Swir Spectral Reflectance of Chlorite and White Mica. Minerals 2021, 11, 471. [Google Scholar] [CrossRef]
- Bishop, J.L. Visible and Near-Infrared Reflectance Spectroscopy Laboratory Spectra of Geologic Materials. In Remote Compositional Analysis: Techniques for Understanding Spectroscopy, Mineralogy, and Geochemistry of Planetary Surfaces; Bishop, J.L., James, F.B., III, Moersch, J.E., Eds.; Cambridge University Press: Cambridge, UK, 2019; pp. 68–101. ISBN 9781316888872. [Google Scholar]
- Fang, Q.; Hong, H.; Zhao, L.; Kukolich, S.; Yin, K.; Wang, C. Visible and Near-Infrared Reflectance Spectroscopy for Investigating Soil Mineralogy: A Review. J. Spectrosc. 2018, 2018, 1–14. [Google Scholar] [CrossRef]
- Simpson, M.P.; Rae, A.J. Short-Wave Infrared (SWIR) Reflectance Spectrometric Characterisation of Clays from Geothermal Systems of the Taupō Volcanic Zone, New Zealand. Geothermics 2018, 73, 74–90. [Google Scholar] [CrossRef]
- Schultz, L.G.; Shepard, A.O.; Blackmon, P.D.; Starkey, H.C. Mixed-Layer Kalinite-Monmorillonite from the Yucatan Peninsula, México. Clays Clay Miner. 1971, 19, 137–150. [Google Scholar] [CrossRef]
- Gonneea, M.E.; Charette, M.A.; Liu, Q.; Herrera-Silveira, J.A.; Morales-Ojeda, S.M. Trace Element Geochemistry of Groundwater in a Karst Subterranean Estuary (Yucatan Peninsula, Mexico). Geochim. Cosmochim. Acta 2014, 132, 31–49. [Google Scholar] [CrossRef]
- González-Gómez, W.S.; Quintana, P.; May-Pat, A.; Avilés, F.; May-Crespo, J.; Alvarado-Gil, J.J. Thermal Effects on the Physical Properties of Limestones from the Yucatan Peninsula. Int. J. Rock Mech. Min. Sci. 2015, 75, 182–189. [Google Scholar] [CrossRef]















| Studied Region | Technique | Result Presented in (Figure, Table) |
|---|---|---|
| Paste | ICP | Figures 2 and 5, Table A2 |
| LIBS | Figures 2 and 3 | |
| XRF | Figures 5–9, 11 and 12 | |
| FORS | Figures 13–15 | |
| Surface | LIBS | Figure 4 |
| XRF | Figure 8 | |
| FORS | Figures 13 and 14 | |
| Pigments | LIBS | Figure 4 |
| XRF | Figures 8 and 9 |
Disclaimer/Publisher’s Note: The statements, opinions and data contained in all publications are solely those of the individual author(s) and contributor(s) and not of MDPI and/or the editor(s). MDPI and/or the editor(s) disclaim responsibility for any injury to people or property resulting from any ideas, methods, instructions or products referred to in the content. |
© 2025 by the authors. Licensee MDPI, Basel, Switzerland. This article is an open access article distributed under the terms and conditions of the Creative Commons Attribution (CC BY) license (https://creativecommons.org/licenses/by/4.0/).
Share and Cite
Pérez, M.; de Lucio, O.G.; Mitrani, A.; Lope, C.P.; Cruz Alvarado, W.; Sobral, H.; Márquez Herrera, C.; Ortiz Ruiz, S. Tapping into the Past: First Approach to a Diachronic Material Characterization of Mayapán Pottery. Ceramics 2025, 8, 131. https://doi.org/10.3390/ceramics8040131
Pérez M, de Lucio OG, Mitrani A, Lope CP, Cruz Alvarado W, Sobral H, Márquez Herrera C, Ortiz Ruiz S. Tapping into the Past: First Approach to a Diachronic Material Characterization of Mayapán Pottery. Ceramics. 2025; 8(4):131. https://doi.org/10.3390/ceramics8040131
Chicago/Turabian StylePérez, Miguel, Oscar G. de Lucio, Alejandro Mitrani, Carlos Peraza Lope, Wilberth Cruz Alvarado, Hugo Sobral, Ciro Márquez Herrera, and Soledad Ortiz Ruiz. 2025. "Tapping into the Past: First Approach to a Diachronic Material Characterization of Mayapán Pottery" Ceramics 8, no. 4: 131. https://doi.org/10.3390/ceramics8040131
APA StylePérez, M., de Lucio, O. G., Mitrani, A., Lope, C. P., Cruz Alvarado, W., Sobral, H., Márquez Herrera, C., & Ortiz Ruiz, S. (2025). Tapping into the Past: First Approach to a Diachronic Material Characterization of Mayapán Pottery. Ceramics, 8(4), 131. https://doi.org/10.3390/ceramics8040131

