Optimizing the Fly Ash/Activator Ratio for a Fly Ash-Based Geopolymer through a Study of Microstructure, Thermal Stability, and Electrical Properties
Abstract
:1. Introduction
2. Experiments and Procedures
2.1. Materials
2.2. Preparation of Geopolymers
2.3. Characterization
3. Results
3.1. Microstructure Analysis Using Scanning Electron Microscopy
3.2. Elemental Composition of Oxides by X-ray Fluorescence
3.3. X-ray Diffraction Analysis
3.4. FTIR Analysis
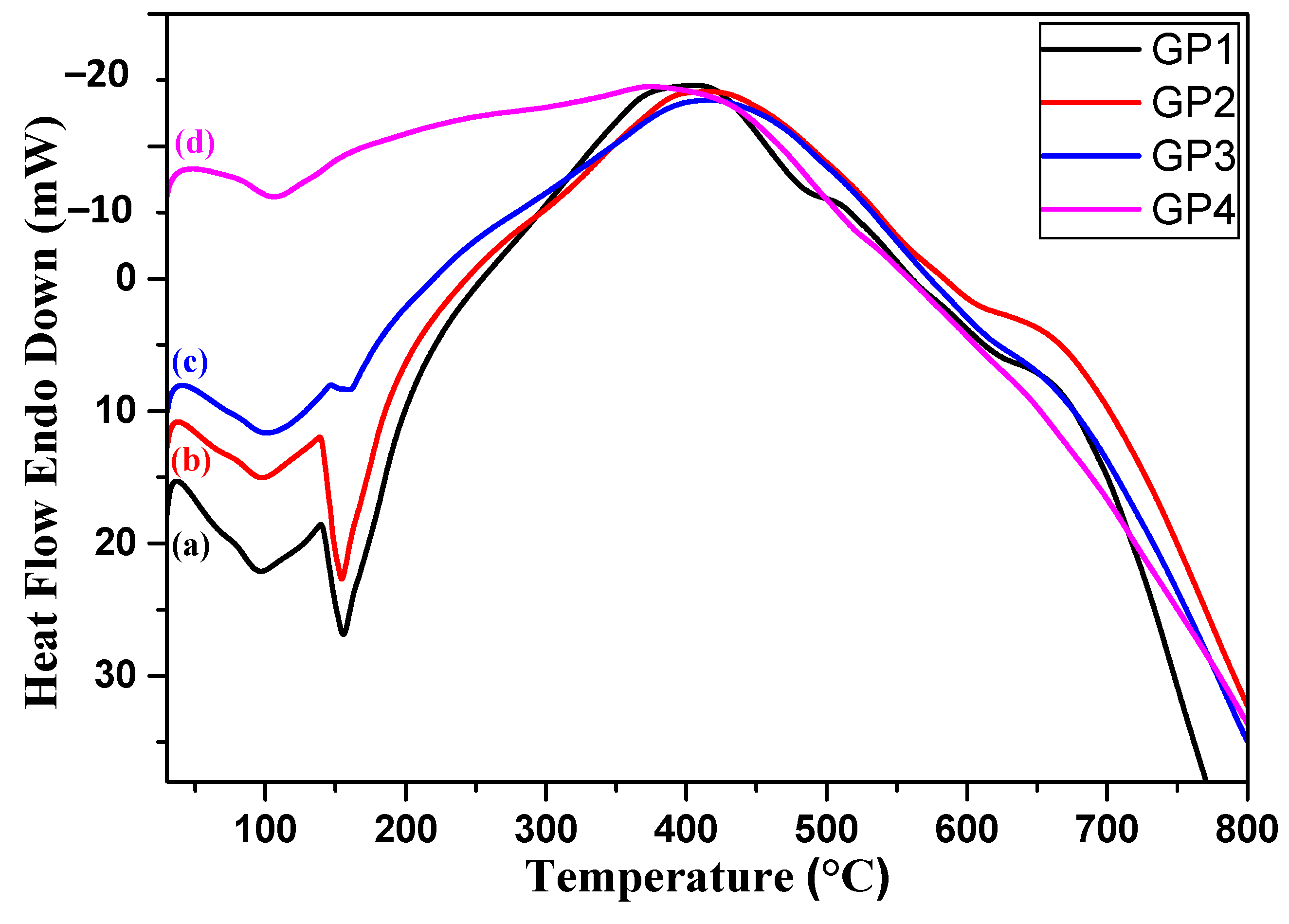
3.5. Thermal Stability
3.6. Electrical Properties
4. Conclusions
Author Contributions
Funding
Institutional Review Board Statement
Informed Consent Statement
Data Availability Statement
Acknowledgments
Conflicts of Interest
References
- Cong, P.; Cheng, Y. Advances in geopolymer materials: A comprehensive review. J. Traffic Transp. Eng. 2021, 8, 283–314. [Google Scholar] [CrossRef]
- EL Alouani, M.; Alehyen, S.; EL Achouri, M.; Hajjaji, A.; Ennawaoui, C.; Taibi, M. Influence of the Nature and Rate of Alkaline Activator on the Physicochemical Properties of Fly Ash-Based Geopolymers. Adv. Civ. Eng. 2020, 2020, 8880906. [Google Scholar] [CrossRef]
- Liu, Z.; Cai, C.S.; Liu, F.; Fan, F. Feasibility Study of Loess Stabilization with Fly Ash–Based Geopolymer. J. Mater. Civ. Eng. 2016, 28, 04016003. [Google Scholar] [CrossRef]
- Pereira, M.A.; Vasconcelos, D.C.L.; Vasconcelos, W.L. Synthetic Aluminosilicates for Geopolymer Production. Mater. Res. 2019, 22. [Google Scholar] [CrossRef]
- Ziegler, D.; Formia, A.; Tulliani, J.-M.; Palmero, P. Environmentally-Friendly Dense and Porous Geopolymers Using Fly Ash and Rice Husk Ash as Raw Materials. Materials 2016, 9, 466. [Google Scholar] [CrossRef] [PubMed]
- Albidah, A.; Alghannam, M.; Abbas, H.; Almusallam, T.; Al-Salloum, Y. Characteristics of metakaolin-based geopolymer concrete for different mix design parameters. J. Mater. Res. Technol. 2021, 10, 84–98. [Google Scholar] [CrossRef]
- Taki, K.; Sharma, S. Synthesis of Bentonite Clay-Based Geopolymer and Its Application in the Treatment of Expansive Soil. In Advances in Computer Methods and Geomechanics; Prashant, A., Sachan, A., Desai, C.S., Eds.; In Lecture Notes in Civil Engineering; Springer: Singapore, 2020; Volume 56, pp. 133–143. [Google Scholar] [CrossRef]
- Assi, L.N.; Carter, K.; Deaver, E.; Ziehl, P. Review of availability of source materials for geopolymer/sustainable concrete. J. Clean. Prod. 2020, 263, 121477. [Google Scholar] [CrossRef]
- Nath, S.; Kumar, S. Role of alkali concentration on reaction kinetics of fly ash geopolymerization. J. Non-Cryst. Solids 2019, 505, 241–251. [Google Scholar] [CrossRef]
- Kong, D.L.; Sanjayan, J.G. Effect of elevated temperatures on geopolymer paste, mortar and concrete. Cem. Concr. Res. 2010, 40, 334–339. [Google Scholar] [CrossRef]
- Mucsi, G.; Szenczi, Á.; Nagy, S. Fiber reinforced geopolymer from synergetic utilization of fly ash and waste tire. J. Clean. Prod. 2018, 178, 429–440. [Google Scholar] [CrossRef]
- Alterary, S.S.; Marei, N.H. Fly ash properties, characterization, and applications: A review. J. King Saud Univ.-Sci. 2021, 33, 101536. [Google Scholar] [CrossRef]
- Rattanasak, U.; Chindaprasirt, P. Influence of NaOH solution on the synthesis of fly ash geopolymer. Miner. Eng. 2009, 22, 1073–1078. [Google Scholar] [CrossRef]
- Ma, Y.; Hu, J.; Ye, G. The effect of activating solution on the mechanical strength, reaction rate, mineralogy, and microstructure of alkali-activated fly ash. J. Mater. Sci. 2012, 47, 4568–4578. [Google Scholar] [CrossRef]
- de Vargas, A.S.; Dal Molin, D.C.C.; Vilela, A.C.F.; Silva, F.J.D.; Pavão, B.; Veit, H. The effects of Na2O/SiO2molar ratio, curing temperature and age on compressive strength, morphology and microstructure of alkali-activated fly ash-based geopolymers. Cem. Concr. Compos. 2011, 33, 653–660. [Google Scholar] [CrossRef]
- Panias, D.; Giannopoulou, I.P.; Perraki, T. Effect of synthesis parameters on the mechanical properties of fly ash-based geopolymers. Colloids Surf. A Physicochem. Eng. Asp. 2007, 301, 246–254. [Google Scholar] [CrossRef]
- Görhan, G.; Kürklü, G. The influence of the NaOH solution on the properties of the fly ash-based geopolymer mortar cured at different temperatures. Compos. Part B Eng. 2014, 58, 371–377. [Google Scholar] [CrossRef]
- Falcone, J.S. Soluble Silicates; American Chemical Society: Washington, DC, USA, 1982. [Google Scholar]
- Singh, N.B. Fly Ash-Based Geopolymer Binder: A Future Construction Material. Minerals 2018, 8, 299. [Google Scholar] [CrossRef]
- Nath, S.; Maitra, S.; Mukherjee, S.; Kumar, S. Microstructural and morphological evolution of fly ash based geopolymers. Constr. Build. Mater. 2016, 111, 758–765. [Google Scholar] [CrossRef]
- Ryu, G.S.; Lee, Y.B.; Koh, K.T.; Chung, Y.S. The mechanical properties of fly ash-based geopolymer concrete with alkaline activators. Constr. Build. Mater. 2013, 47, 409–418. [Google Scholar] [CrossRef]
- Nagalia, G.; Park, Y.; Abolmaali, A.; Aswath, P. Asce Compressive Strength and Microstructural Properties of Fly Ash–Based Geopolymer Concrete. J. Mater. Civ. Eng. 2016, 28, 04016144. [Google Scholar] [CrossRef]
- Das, D.; Rout, P.K. Synthesis, Characterization and Properties of Fly Ash Based Geopolymer Materials. J. Mater. Eng. Perform. 2021, 30, 3213–3231. [Google Scholar] [CrossRef]
- Sasui, S.; Kim, G.; Nam, J.; Koyama, T.; Chansomsak, S. Strength and Microstructure of Class-C Fly Ash and GGBS Blend Geopolymer Activated in NaOH & NaOH+ Na2SiO3. Materials 2019, 13, 59. [Google Scholar] [CrossRef] [PubMed]
- Lv, Q.; Yu, J.; Ji, F.; Gu, L.; Chen, Y.; Shan, X. Mechanical Property and Microstructure of Fly Ash-Based Geopolymer Activated by Sodium Silicate. KSCE J. Civ. Eng. 2021, 25, 1765–1777. [Google Scholar] [CrossRef]
- Fan, F.; Liu, Z.; Xu, G.; Peng, H.; Cai, C. Mechanical and thermal properties of fly ash based geopolymers. Constr. Build. Mater. 2018, 160, 66–81. [Google Scholar] [CrossRef]
- Rickard, W.D.A.; van Riessen, A.; Walls, P. Thermal Character of Geopolymers Synthesized from Class F Fly Ash Containing High Concentrations of Iron and α-Quartz. Int. J. Appl. Ceram. Technol. 2010, 7, 81–88. [Google Scholar] [CrossRef]
- Cheng-Yong, H.; Yun-Ming, L.; Abdullah, M.M.A.B.; Hussin, K. Thermal Resistance Variations of Fly Ash Geopolymers: Foaming Responses. Sci. Rep. 2017, 7, srep45355. [Google Scholar] [CrossRef]
- Hanjitsuwan, S.; Hunpratub, S.; Thongbai, P.; Maensiri, S.; Sata, V.; Chindaprasirt, P. Effects of NaOH concentrations on physical and electrical properties of high calcium fly ash geopolymer paste. Cem. Concr. Compos. 2014, 45, 9–14. [Google Scholar] [CrossRef]
- Douiri, H.; Louati, S.; Baklouti, S.; Arous, M.; Fakhfakh, Z. Enhanced dielectric performance of metakaolin–H3PO4 geopolymers. Mater. Lett. 2016, 164, 299–302. [Google Scholar] [CrossRef]
- Cai, J.; Pan, J.; Li, X.; Tan, J.; Li, J. Electrical resistivity of fly ash and metakaolin based geopolymers. Constr. Build. Mater. 2020, 234, 117868. [Google Scholar] [CrossRef]
- Zhang, X.; Wu, G.; Yao, T.; Zhang, C.; Yue, Y. Characterization of individual fly ash particles in surface snow at Urumqi Glacier No. 1, Eastern Tianshan. Chin. Sci. Bull. 2011, 56, 3464–3473. [Google Scholar] [CrossRef]
- Rożek, P.; Król, M.; Mozgawa, W. Spectroscopic studies of fly ash-based geopolymers. Spectrochim. Acta Part A Mol. Biomol. Spectrosc. 2018, 198, 283–289. [Google Scholar] [CrossRef] [PubMed]
- Rees, C.A.; Provis, J.L.; Lukey, G.C.; van Deventer, J.S.J. In Situ ATR-FTIR Study of the Early Stages Geopolymer Gel Formation. Langmuir 2007, 23, 9076–9082. [Google Scholar] [CrossRef] [PubMed]
- da Silva Rocha, T.; Dias, D.P.; França, F.C.C.; de Salles Guerra, R.R.; de Oliveira, L.R.D.C. Metakaolin-based geopolymer mortars with different alkaline activators (Na+ and K+). Constr. Build. Mater. 2018, 178, 453–461. [Google Scholar] [CrossRef]
- Hassan, A.; Arif, M.; Shariq, M. Mechanical Behaviour and Microstructural Investigation of Geopolymer Concrete After Exposure to Elevated Temperatures. Arab. J. Sci. Eng. 2020, 45, 3843–3861. [Google Scholar] [CrossRef]
- Li, Q.; Xu, H.; Li, F.; Li, P.; Shen, L.; Zhai, J. Synthesis of geopolymer composites from blends of CFBC fly and bottom ashes. Fuel 2012, 97, 366–372. [Google Scholar] [CrossRef]
- Davidovits, J. Geopolymer Chemistry e Aplication, 2nd ed.; Geopolymer Institute: Saint-Quentin, France, 2008; Chapter 1; p. 9. Available online: http://www.geopolymer.org/fichiers_pdf/geopolymer-book-chapter1.pdf (accessed on 9 September 2023).












| Components | Na2O | Al2O3 | SiO2 | P2O5 | SO3 | K2O | CaO | TiO2 | MnO | Fe2O3 | MgO |
|---|---|---|---|---|---|---|---|---|---|---|---|
| Wt.% | 0.45 | 31.14 | 40.56 | 0.50 | 3.99 | 1.29 | 1.06 | 2.09 | 0.55 | 17.81 | 0.51 |
| Geopolymer Sample | FA/AL | NaOH/Na2SiO3 | Fly Ash (g) | NaOH (g) | Na2SiO3 (g) |
|---|---|---|---|---|---|
| GP1 | 1.00 | 2.5 | 210 | 60.06 | 149.73 |
| GP2 | 1.25 | 2.5 | 210 | 48.09 | 119.91 |
| GP3 | 1.50 | 2.5 | 210 | 39.90 | 99.96 |
| GP4 | 1.75 | 2.5 | 210 | 34.23 | 85.47 |
Oxides Wt.%![]() | Al2O3 | SiO2 | Fe2O3 | Na2O | MgO | P2O5 | SO3 | K2O | CaO | TiO2 | MnO |
|---|---|---|---|---|---|---|---|---|---|---|---|
| Fly ash | 31.14 | 40.56 | 17.81 | 0.45 | 0.51 | 0.50 | 3.99 | 1.29 | 1.06 | 2.09 | 0.55 |
| FA/AL = 1.00 (GP1) | 20.28 | 51.78 | 3.40 | 19.99 | 0.37 | 0.37 | 0.09 | 1.31 | 0.88 | 1.43 | 0.03 |
| FA/AL = 1.25 (GP2) | 16.34 | 49.10 | 3.43 | 26.71 | 0.27 | 0.36 | 0.10 | 1.28 | 0.86 | 1.46 | 0.03 |
| FA/AL = 1.50 (GP3) | 23.08 | 57.01 | 3.50 | 11.35 | 0.33 | 0.63 | 0.06 | 1.47 | 0.87 | 1.61 | 0.03 |
| FA/AL = 1.75 (GP4) | 30.29 | 52.73 | 4.39 | 6.90 | 0.43 | 0.55 | 0.10 | 1.48 | 0.99 | 2.05 | 0.04 |
| GP1 (1.00) 2θ (hkl) | GP2 (1.25) 2θ (hkl) | GP3 (1.50) 2θ (hkl) | GP4 (1.75) 2θ (hkl) | |
|---|---|---|---|---|
| Quartz (Q) | 20.84° (100) | 20.84° (100) | 20.84° (100) | 20.84° (100) |
| 26.63° (011) | 26.63° (011) | 26.63° (011) | 26.63° (011) | |
| 39.46° (012) | 42.42° (200) | 42.42° (200) | 36.61° (110) | |
| 42.42° (200) | 45.77° (021) | 55.32° (013) | 42.42° (200) | |
| 57.35° (210) | 57.35° (210) | 57.35° (210) | 50.12° (112) | |
| Mullite (M) | 16.44° (110) | 16.44° (110) | 16.44° (110) | 16.44° (110) |
| 25.98° (120) | 25.98° (120) | 25.98° (120) | 23.56° (200) | |
| 26.29° (210) | 26.29° (210) | 26.29° (210) | 25.98° (120) | |
| 31.05° (001) | 30.98° (001) | 30.98° (001) | 26.29° (210) | |
| 35.27° (111) | 35.27° (111) | 35.27° (111) | 30.98° (001) | |
| 40.86° (121) | 39.29° (201) | 37.69° (310) | 35.27° (111) | |
| 48.34° (400) | 40.86° (121) | 39.29° (201) | 39.29° (201) | |
| 49.86° (410) | 48.34° (400) | 40.86° (121) | 40.86° (121) | |
| 53.74° (231) | 49.86° (410) | 49.86° (410) | 49.49° (311) | |
| 60.56° (340) | 53.74° (231) | 60.56° (340) | 53.74° (231) | |
| 60.56° (340) | ||||
| 64.57° (002) | ||||
| Hematite (H) | 33.20° (104) | 33.20° (104) | 33.20° (104) | 33.20° (104) |
| 64.13° (300) | 49.41° (024) | 49.41° (024) | 57.41° (122) | |
| 64.13° (300) | 56.27° (211) | |||
| Sodalite (S) | 24.51° (211) | 24.51° (211) | 24.51° (211) | 24.51° (211) |
| 28.38° (220) | 28.38° (220) | 28.38° (220) | 28.38° (220) | |
| 64.59° (611) | 64.59° (611) | 64.59° (611) | 64.59° (611) |
Disclaimer/Publisher’s Note: The statements, opinions and data contained in all publications are solely those of the individual author(s) and contributor(s) and not of MDPI and/or the editor(s). MDPI and/or the editor(s) disclaim responsibility for any injury to people or property resulting from any ideas, methods, instructions or products referred to in the content. |
© 2023 by the authors. Licensee MDPI, Basel, Switzerland. This article is an open access article distributed under the terms and conditions of the Creative Commons Attribution (CC BY) license (https://creativecommons.org/licenses/by/4.0/).
Share and Cite
Yadav, M.; Kumar, L.; Yadav, V.; Jagannathan, K.; Singh, V.N.; Singh, S.P.; Ezhilselvi, V. Optimizing the Fly Ash/Activator Ratio for a Fly Ash-Based Geopolymer through a Study of Microstructure, Thermal Stability, and Electrical Properties. Ceramics 2023, 6, 2352-2366. https://doi.org/10.3390/ceramics6040144
Yadav M, Kumar L, Yadav V, Jagannathan K, Singh VN, Singh SP, Ezhilselvi V. Optimizing the Fly Ash/Activator Ratio for a Fly Ash-Based Geopolymer through a Study of Microstructure, Thermal Stability, and Electrical Properties. Ceramics. 2023; 6(4):2352-2366. https://doi.org/10.3390/ceramics6040144
Chicago/Turabian StyleYadav, Meenakshi, Lalit Kumar, Vikas Yadav, Karthikeyan Jagannathan, Vidya Nand Singh, Surinder P. Singh, and V. Ezhilselvi. 2023. "Optimizing the Fly Ash/Activator Ratio for a Fly Ash-Based Geopolymer through a Study of Microstructure, Thermal Stability, and Electrical Properties" Ceramics 6, no. 4: 2352-2366. https://doi.org/10.3390/ceramics6040144
APA StyleYadav, M., Kumar, L., Yadav, V., Jagannathan, K., Singh, V. N., Singh, S. P., & Ezhilselvi, V. (2023). Optimizing the Fly Ash/Activator Ratio for a Fly Ash-Based Geopolymer through a Study of Microstructure, Thermal Stability, and Electrical Properties. Ceramics, 6(4), 2352-2366. https://doi.org/10.3390/ceramics6040144


