Estimation of Temperature-Dependent Band Parameters for Bi-Doped SnSe with High Thermoelectric Performance
Abstract
1. Introduction
2. Materials and Methods
3. Results and Discussion
3.1. Calculation of Density-of-States Effective Mass, md*
3.2. Calculation of Non-Degenerate Mobility, μ0
3.3. Calculation of Weighted Mobility, μW
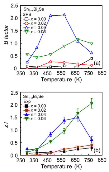
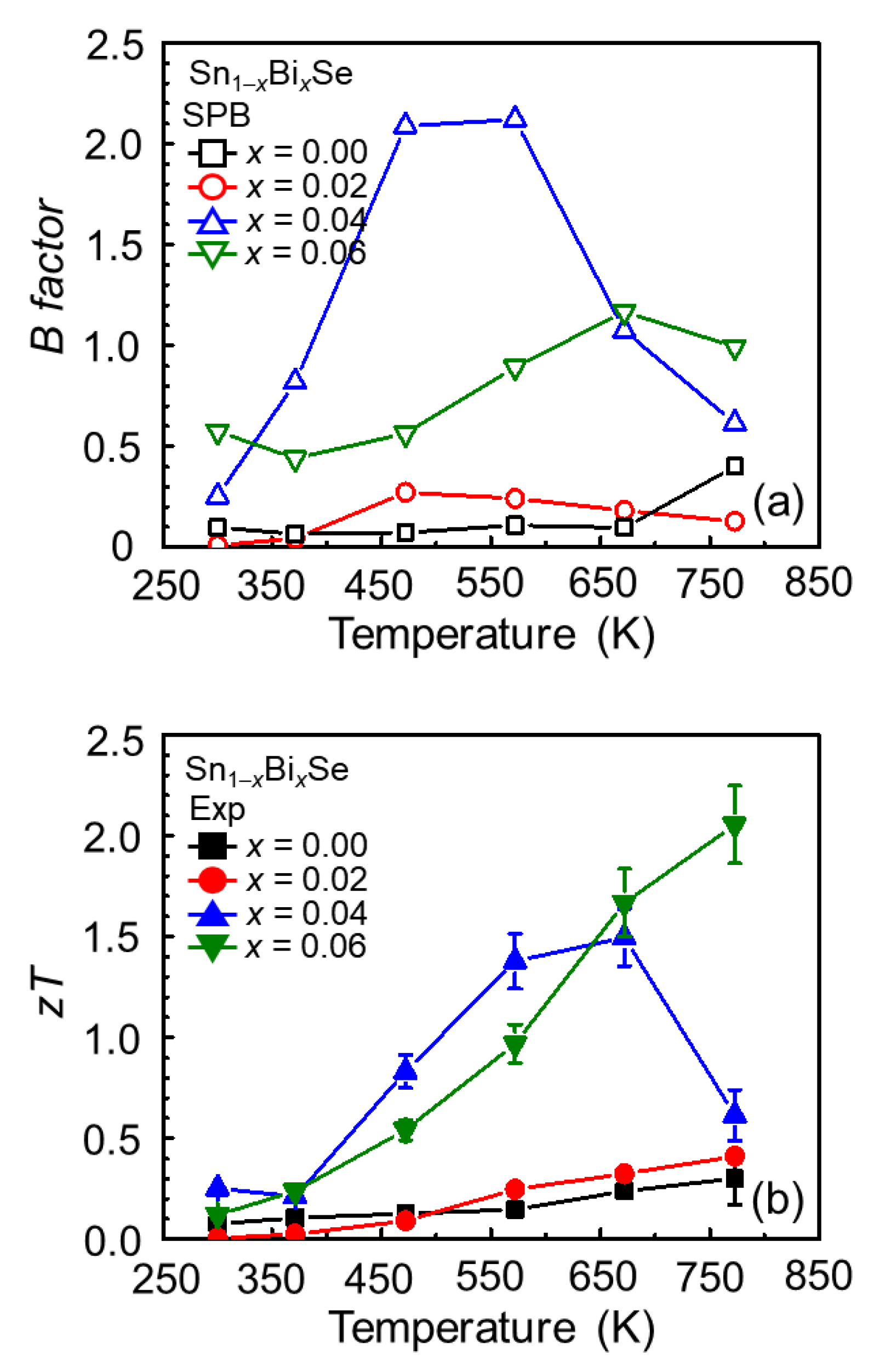
3.4. Calculation of B-Factor
4. Conclusions
Author Contributions
Funding
Data Availability Statement
Conflicts of Interest
References
- Cenci, M.P.; Scarazzato, T.; Munchen, D.D.; Dartora, P.C.; Veit, H.M.; Bernardes, A.M.; Dias, P.R. Eco-Friendly Electronics-A Comprehensive Review. Adv. Mater. Technol. 2021, 7, 2001263. [Google Scholar] [CrossRef]
- Lee, J.; Kim, D.H.; Lee, S.T.; Lim, J.K. Fundamental Study of Energy Harvesting Using Thermoelectric Effect on Concrete Structure in Road. Adv. Mater. Res. 2014, 1044–1045, 332–337. [Google Scholar] [CrossRef]
- Wei, J.; Yang, L.; Ma, Z.; Song, P.; Zhang, M.; Ma, J.; Yang, F.; Wang, X. Review of current high-ZT thermoelectric materials. J. Mater. Sci. 2020, 55, 12642–12701. [Google Scholar] [CrossRef]
- Kutorasinski, K.; Wiendlocha, B.; Kaprzyk, S.; Tobola, J. Electronic structure and thermoelectric properties of n- and p-type SnSe from first principles calculations. Phys. Rev. B 2015, 91, 205201. [Google Scholar] [CrossRef]
- Lee, K.H.; Kim, Y.-M.; Park, C.O.; Shin, W.H.; Kim, S.W.; Kim, H.-S.; Kim, S.-I. Cumulative defect structures for experimentally attainable low thermal conductivity in thermoelectric (Bi,Sb)2Te3 alloys. Mater. Today Energy 2021, 21, 100795. [Google Scholar] [CrossRef]
- Cai, S.; Hao, S.; Luo, Y.; Su, X.; Luo, Z.-Z.; Hu, X.; Wolverton, C.; Dravid, V.P.; Kanatzidis, M.G. Ultralow Thermal Conductivity and Thermoelectric Properties of Rb2Bi8Se13. Chem. Mater. 2020, 32, 3561–3569. [Google Scholar] [CrossRef]
- Pei, Y.; Lensch-Falk, J.; Toberer, E.S.; Medlin, D.L.; Snyder, G.J. High Thermoelectric Performance in PbTe Due to Large Nanoscale Ag2Te Precipitates and La Doping. Adv. Funct. Mater. 2011, 21, 241–249. [Google Scholar] [CrossRef]
- Zhang, X.; Zhao, L.-D. Thermoelectric materials: Energy conversion between heat and electricity. J. Mater. 2015, 1, 92–105. [Google Scholar] [CrossRef]
- Banik, A.; Shenoy, U.S.; Anand, S.; Waghmare, U.V.; Biswas, K. Mg Alloying in SnTe Facilitates Valence Band Convergence and Optimizes Thermoelectric Properties. Chem. Mater. 2015, 27, 581–587. [Google Scholar] [CrossRef]
- Takagiwa, Y.; Pei, Y.; Pomrehn, G.; Snyder, G.J. Dopants effect on the band structure of PbTe thermoelectric material. Appl. Phys. Lett. 2012, 101, 092102. [Google Scholar] [CrossRef]
- Ding, G.; Si, J.; Yang, S.; Wang, G.; Wu, H. High thermoelectric properties of n-type Cd-doped PbTe prepared by melt spinning. Scr. Mater. 2016, 122, 1–4. [Google Scholar] [CrossRef]
- Zhai, H.; Xiao, Y.; Zhao, L.-D.; Tan, G.; Tang, X. Large effective mass and low lattice thermal conductivity contributing to high thermoelectric performance of Zn-doped Cu5Sn2Se7. J. Alloys Compd. 2020, 826, 154154. [Google Scholar] [CrossRef]
- Lee, Y.K.; Luo, Z.; Cho, S.P.; Kanatzidis, M.G.; Chung, I. Surface Oxide Removal for Polycrystalline SnSe Reveals Near-Single-Crystal Thermoelectric Performance. Joule 2019, 3, 719–731. [Google Scholar] [CrossRef]
- Sales, B.C.; Mandrus, D.; Williams, R.K. Filled Skutterudite Antimonides: A New Class of Thermoelectric Materials. Science 1996, 272, 1325–1328. [Google Scholar] [CrossRef] [PubMed]
- Li, W.; Xu, T.; Ma, Z.; Cheng, Y.; Li, J.; Jiang, Q.; Luo, Y.; Yang, J. High thermoelectric performance in p-type InSb with all-scale hierarchical architectures. Mater. Today Energy 2022, 29, 101091. [Google Scholar] [CrossRef]
- Jang, H.; Toriyama, M.Y.; Abbey, S.; Frimpong, B.; Male, J.P.; Snyder, G.J.; Jung, Y.S.; Oh, M.-W. Suppressing Charged Cation Antisites via Se Vapor Annealing Enables p-Type Dopability in AgBiSe2–SnSe Thermoelectrics. Adv. Mater. 2022, 34, 2204132. [Google Scholar] [CrossRef] [PubMed]
- Shi, X.-L.; Zou, J.; Chen, Z.-G. Advanced thermoelectric design: From materials and structures to device. Chem. Rev. 2020, 120, 7399–7515. [Google Scholar] [CrossRef] [PubMed]
- Duong, A.T.; Nguyen, V.Q.; Duvjir, G.; Duong, V.T.; Kwon, S.; Song, J.Y.; Lee, J.K.; Lee, J.E.; Min, T.; Lee, J.; et al. Achieving ZT = 2.2 with Bi-doped n-type SnSe single crystals. Nat. Commun. 2016, 7, 13713. [Google Scholar] [CrossRef]
- Lim, J.-C.; Kim, S.Y.; Shin, W.H.; Kim, S.-I.; Roh, J.W.; Yang, H.; Kim, H.-S. Characterization of Hall factor with Seebeck coefficient measurement. ACS Appl. Energy Mater. 2022, 5, 4036. [Google Scholar] [CrossRef]
- Lee, K.H.; Kim, S.-I.; Lim, J.-C.; Cho, J.Y.; Yang, H.; Kim, H.-S. Approach to Determine the Density-of-States Effective Mass with Carrier Concentration-Dependent Seebeck Coefficient. Adv. Funct. Mater. 2022, 32, 2203852. [Google Scholar] [CrossRef]
- May, A.F.; Snyder, G.J. Introduction to modeling thermoelectric transport at high temperatures. In Thermoelectrics and Its Energy Harvesting; Rowe, D.M., Ed.; CRC Press: London, UK, 2012; Volume 1, pp. 1–18. [Google Scholar]
- Kim, M.; Kim, S.-I.; Kim, S.W.; Kim, H.-S.; Lee, K.H. Weighted Mobility Ratio Engineering for High-Performance Bi–Te-Based Thermoelectric Materials via Suppression of Minority Carrier Transport. Adv. Mater. 2021, 33, 2005931. [Google Scholar] [CrossRef] [PubMed]
- Snyder, G.J.; Snyder, A.H.; Wood, M.; Gurunathan, R.; Snyder, B.H.; Niu, C. Weighted Mobility. Adv. Mater. 2020, 32, 2001537. [Google Scholar] [CrossRef] [PubMed]
- Chang, C.; Wu, M.; He, D.; Pei, Y.; Wu, C.-F.; We, X.; Yu, H.; Zhu, F.; Wang, K.; Chen, Y.; et al. 3D charge and 2D phonon transports leading to high out-of-plane ZT in n-type SnSe crystals. Science 2018, 360, 778. [Google Scholar] [CrossRef]
- Witting, I.T.; Chasapis, T.C.; Ricci, F.; Peters, M.; Heinz, N.A.; Hautier, G.; Snyder, G.J. The Thermoelectric Properties of Bismuth Telluride. Adv. Electron. Mater. 2019, 5, 1800904. [Google Scholar] [CrossRef]
- Wang, H.; Pei, Y.; LaLonde, A.D.; Snyder, G.J. Material design considerations based on thermoelectric quality factor. In Thermoelectric Nanomaterials; Kumoto, K., Mori, T., Eds.; Springer: Berlin, Germany, 2013; pp. 1–32. [Google Scholar]
- Pei, Y.; Wang, H.; Snyder, G.J. Band Engineering of Thermoelectric Materials. Adv. Mater. 2021, 4, 6125. [Google Scholar] [CrossRef] [PubMed]
- Pei, Y.; LaLonde, A.D.; Wang, H.; Snyder, G.J. Low effective mass leading to high thermoelectric performance. Energy Environ. Sci. 2012, 5, 7963. [Google Scholar] [CrossRef]
- Zhang, X.; Bu, Z.; Shi, X.; Chen, Z.; Kin, S.; Shan, B.; Wood, M.; Snyder, A.H.; Chen, L.; Snyder, G.J.; et al. Electronic quality factor for thermoelectrics. Sci. Adv. 2020, 6, eabc0726. [Google Scholar] [CrossRef]
- Devlin, K.P.; Chen, S.; Donadio, D.; Kauzlarich, S.M. Solid Solution Yb2–xCaxCdSb2: Structure, Thermoelectric Properties, and Quality Factor. Inorg. Chem. 2021, 60, 13596. [Google Scholar] [CrossRef]





Disclaimer/Publisher’s Note: The statements, opinions and data contained in all publications are solely those of the individual author(s) and contributor(s) and not of MDPI and/or the editor(s). MDPI and/or the editor(s) disclaim responsibility for any injury to people or property resulting from any ideas, methods, instructions or products referred to in the content. |
© 2023 by the authors. Licensee MDPI, Basel, Switzerland. This article is an open access article distributed under the terms and conditions of the Creative Commons Attribution (CC BY) license (https://creativecommons.org/licenses/by/4.0/).
Share and Cite
Park, H.; Kim, S.-i.; Kim, J.-Y.; Hwang, S.-M.; Kim, H.-S. Estimation of Temperature-Dependent Band Parameters for Bi-Doped SnSe with High Thermoelectric Performance. Ceramics 2023, 6, 504-513. https://doi.org/10.3390/ceramics6010029
Park H, Kim S-i, Kim J-Y, Hwang S-M, Kim H-S. Estimation of Temperature-Dependent Band Parameters for Bi-Doped SnSe with High Thermoelectric Performance. Ceramics. 2023; 6(1):504-513. https://doi.org/10.3390/ceramics6010029
Chicago/Turabian StylePark, Hyunjin, Sang-il Kim, Jeong-Yeon Kim, Seong-Mee Hwang, and Hyun-Sik Kim. 2023. "Estimation of Temperature-Dependent Band Parameters for Bi-Doped SnSe with High Thermoelectric Performance" Ceramics 6, no. 1: 504-513. https://doi.org/10.3390/ceramics6010029
APA StylePark, H., Kim, S.-i., Kim, J.-Y., Hwang, S.-M., & Kim, H.-S. (2023). Estimation of Temperature-Dependent Band Parameters for Bi-Doped SnSe with High Thermoelectric Performance. Ceramics, 6(1), 504-513. https://doi.org/10.3390/ceramics6010029

