Spatial Risk Assessment: A Case of Multivariate Linear Regression
Abstract
1. Introduction and Basic Information
2. Materials and Methods
2.1. Measurement Description
2.2. Best Estimate and Measurement Uncertainty
2.3. Selection of the Reference Plane
2.4. Tolerance Plane and Acceptance Plane
2.5. Risk Calculation
2.6. Point-Based Method Extension
3. Results and Discussion
3.1. Risk Curves
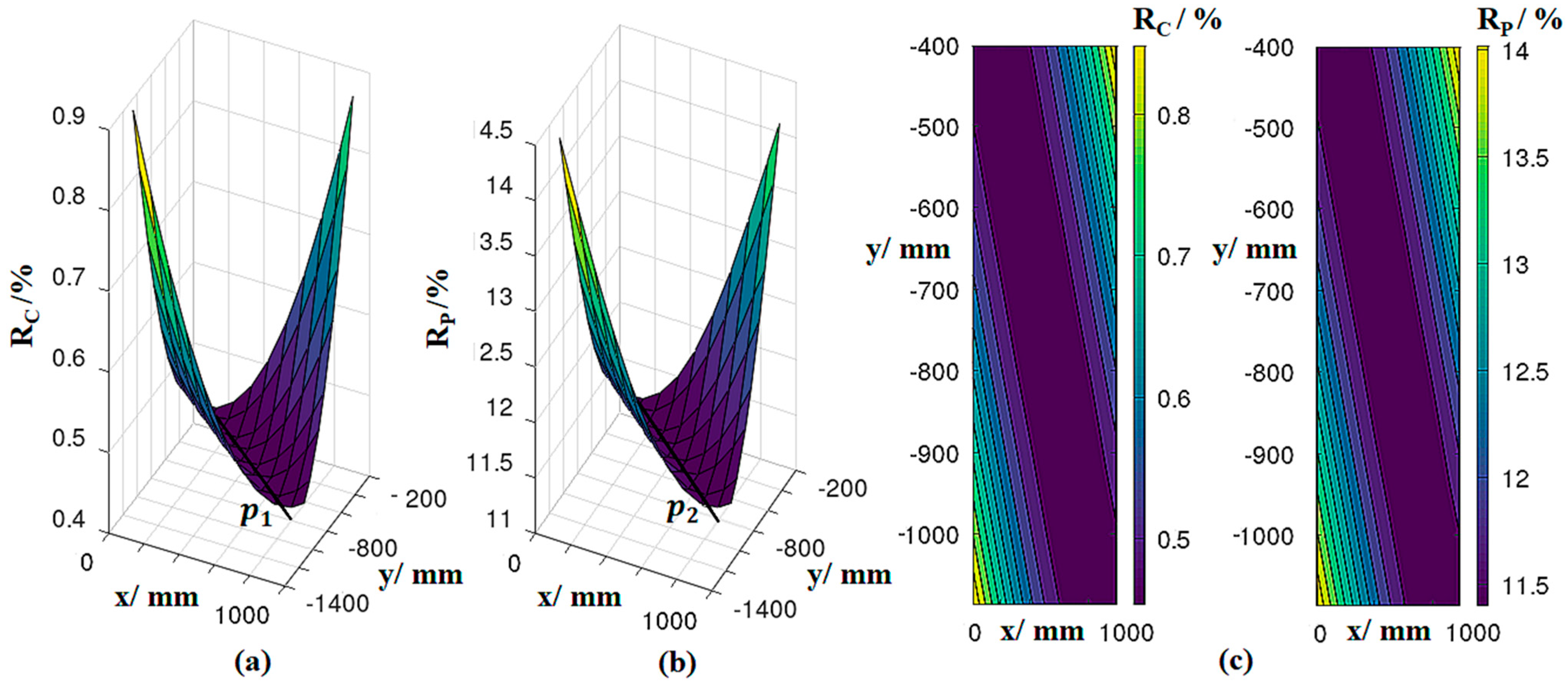
3.2. Risk Surfaces
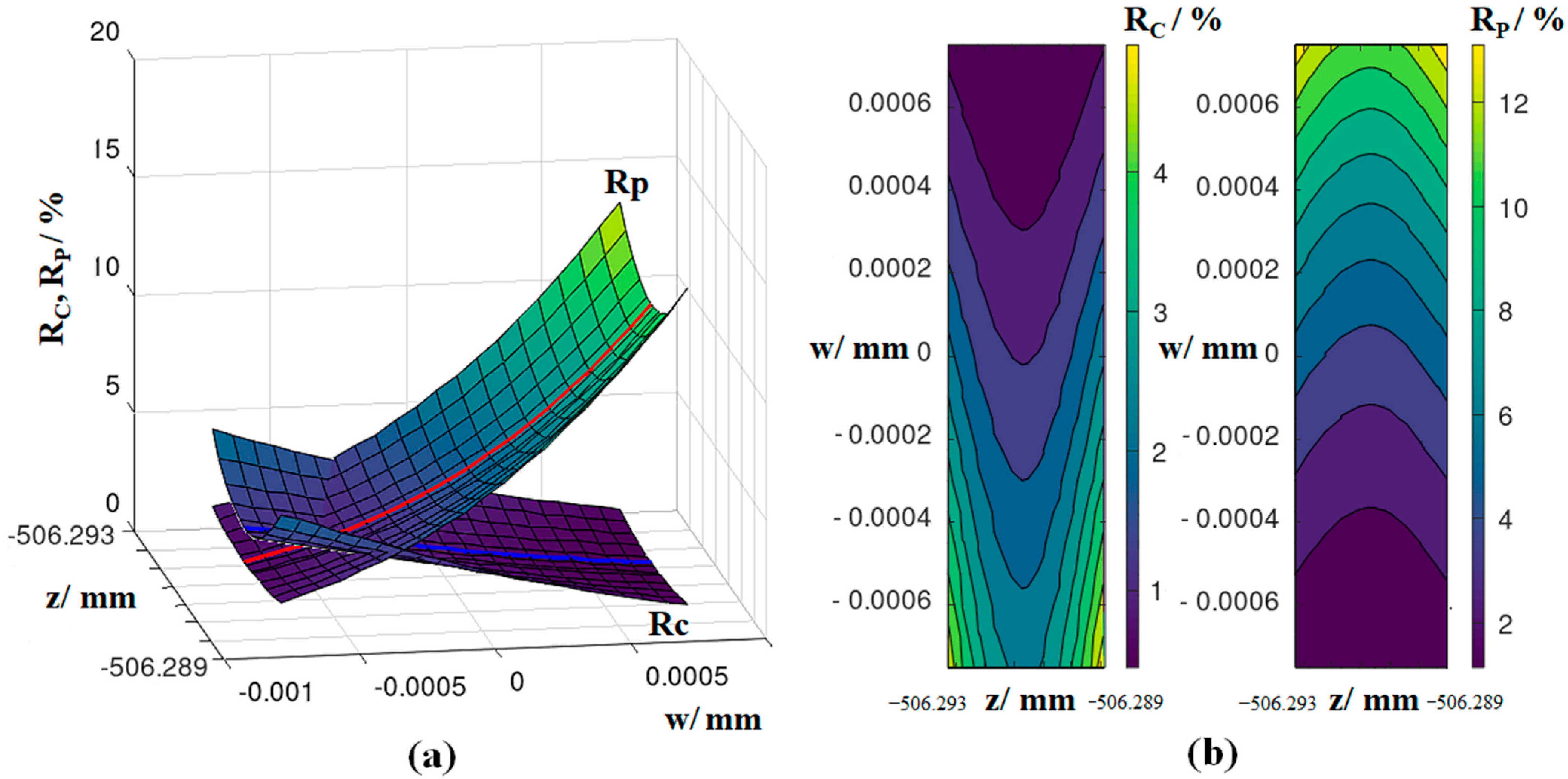
3.3. Risk Spaces
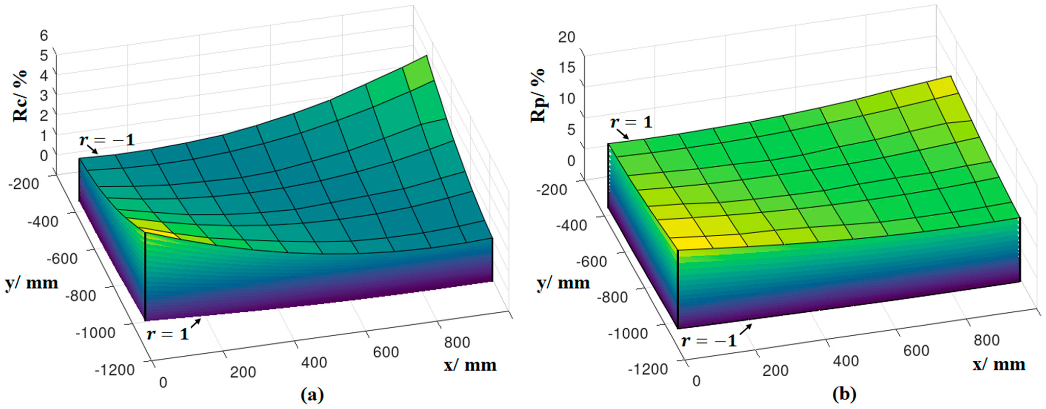
3.4. Dependence of the Results on the Choice of the Reference Plane
3.5. Dependence of Results on Measurement Uncertainty
4. Model Evaluation
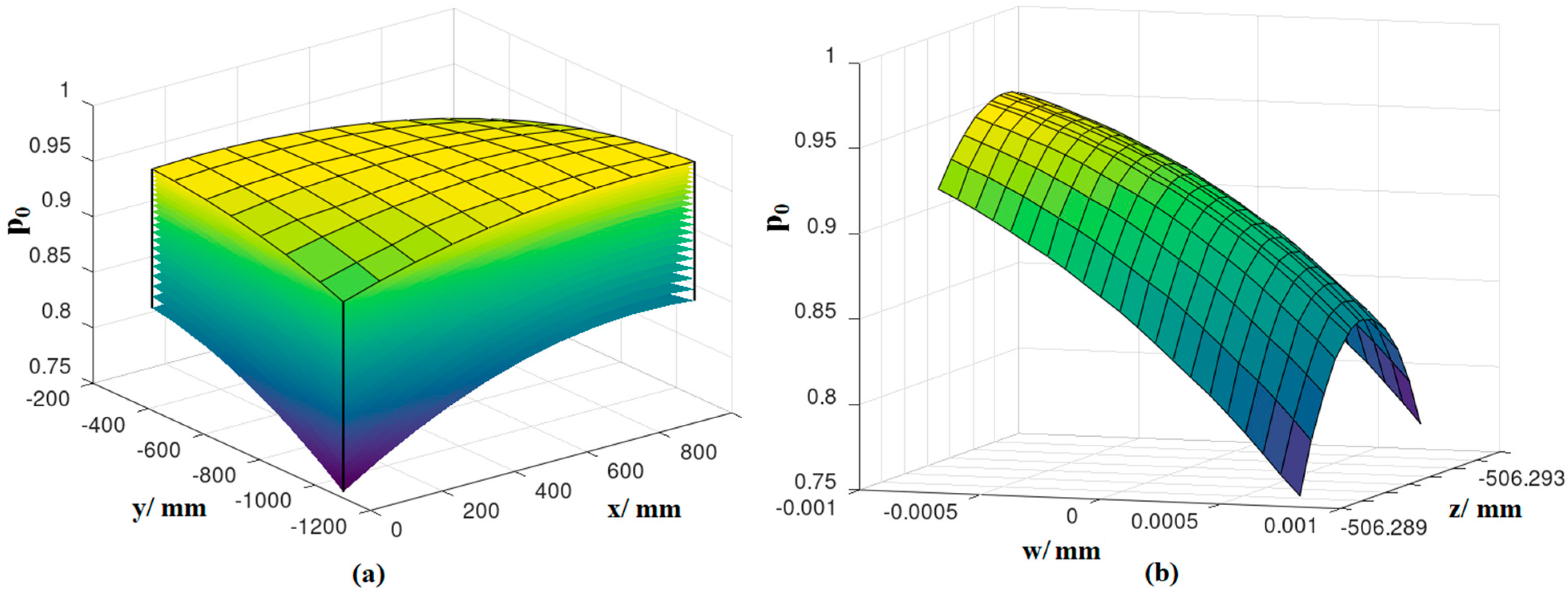
4.1. Conformance Probability
4.2. Confusion Matrix
4.3. Probability of Frequent and Rare Events
4.4. Curves, Surfaces, and Spaces of Metrics Associated with the Confusion Matrix
5. Conclusions
Supplementary Materials
Author Contributions
Funding
Data Availability Statement
Conflicts of Interest
Correction Statement
Nomenclature
| MV | Measured value |
| Tolerance interval | |
| Acceptance interval | |
| Guard band width | |
| Best estimate | |
| Measurement uncertainty associated with the best estimate | |
| Measurement uncertainty of a future measurement process | |
| TV | True value |
| Lower limit of the acceptance interval in producer’s risk minimization model | |
| Upper limit of the acceptance interval in producer’s risk minimization model | |
| Lower limit of the acceptance interval in consumer’s risk minimization model | |
| Upper limit of the acceptance interval in consumer’s risk minimization model | |
| Lower limit of the tolerance interval | |
| Upper limit of the tolerance interval | |
| TP | True positive probability |
| TN | True negative probability |
| Rc | Global consumer’s risk |
| Rp | Global producer’s risk |
| i | Index, |
| x coordinates of the sampled points, | |
| y coordinates of the sampled points, | |
| z | Surface flatness |
| n | Number of the sampled points |
| Plane of the granite table of the CMM | |
| Values of plane calculated at the points | |
| Prior distribution | |
| Values taken by the prior distribution | |
| Likelihood function | |
| Values taken by the likelihood function, given η | |
| Reference plane | |
| Value of the reference plane | |
| Range of the tolerance space | |
| Upper tolerance plane | |
| Lower tolerance plane | |
| Range of the acceptance space | |
| Domain along the guard band axis | |
| r | Multiplicative factor |
| k | Index, |
| Multiplicative factor for a given index | |
| Number of subdivision nodes of interval | |
| Guard band width for a given index | |
| Total width of the guard band | |
| Upper limit of the acceptance interval for | |
| Lower limit of the acceptance interval for | |
| Upper limit of the tolerance interval for | |
| Lower limit of the tolerance interval for | |
| Lower acceptance plane | |
| Upper acceptance plane | |
| Line, intersection of planes and | |
| Global consumer’s risk for | |
| Global producer’s risk for | |
| Standard normal probability density function | |
| ϕ | Cumulative distribution function of standard normal distribution |
| Auxiliary function, | |
| t | Value taken by |
| Value of the guard band at which the curves of minimum intersect | |
| Domain for surface flatness | |
| Orthogonal projection of the line onto the xy-plane | |
| Index, | |
| Index, | |
| Sample mean for surface flatness | |
| Minimal value of surface flatness | |
| Maximal value of surface flatness | |
| Critical measurement uncertainty | |
| Conformance probability | |
| Conformance probability for | |
| Conformance probability for | |
| Probability of a frequent event | |
| Probability of a frequent event for | |
| Minimal conformance probability | |
| Maximal conformance probability | |
| Conformance probability in point A | |
| Maximal probability of a frequent event | |
| Probability of a frequent event in point A | |
| Maximal value of Matthews correlation coefficient | |
| Multiplicative factor for maximal value of Matthews correlation coefficient | |
| Guard band width for maximal value of Matthews correlation coefficient | |
| Minimal value of diagnostic odds ratio | |
| Multiplicative factor for minimal value of diagnostic odds ratio | |
| Guard band width for minimal value of diagnostic odds ratio | |
| Multiplicative factor for stability area | |
| Guard band width for the model of minimization of global producer’s risk | |
| Guard band width for the model of minimization of global consumer’s risk | |
| Multiplicative factor for injectivity area | |
| Multiplicative factor for common area |
References
- Kuselman, I.; Pennecchi, F.R.; Da Silva, R.J.; Hibbert, D.B. IUPAC/CITAC Guide: Evaluation of risks of false decisions in conformity assessment of a multicomponent material or object due to measurement uncertainty (IUPAC Technical Report). Pure Appl. Chem. 2021, 93, 113–154. [Google Scholar] [CrossRef]
- Ortolano, G.; Boucher, P.; Degiovanni, I.P.; Losero, E.; Genovese, M.; Ruo-Berchera, I. Quantum conformance test. Sci. Adv. 2021, 7, eabm3093. [Google Scholar] [CrossRef] [PubMed]
- Dias, F.R.S.; Lourenço, F.R. Measurement uncertainty evaluation and risk of false conformity assessment for microbial enumeration tests. J. Microbiol. Meth. 2021, 189, 106312. [Google Scholar] [CrossRef]
- ILAC–G8:09/2019; Guidelines on Decision Rules and Statements of Conformity. International Laboratory Accreditation Cooperation: Silverwater, Australia, 2019. Available online: https://ilac.org/publications-and-resources/ilac-guidance-series/ (accessed on 29 August 2025).
- Shirono, K.; Tanaka, H.; Koike, M. Economic optimization of acceptance interval in conformity assessment: 1. Process with no systematic effect. Metrologia 2022, 59, 045005. [Google Scholar] [CrossRef]
- Sedeek, M.A.; Elerian, F.A.; Abouelatta, O.B.; AbouEleaz, M.A. Decision-making Approach to Reduce the Risk of Measurement Uncertainty for Product Size. Manosura Eng. J. 2024, 49, 2. [Google Scholar] [CrossRef]
- Allard, A.; Fischer, N.; Smith, I.; Harris, P.; Pendrill, L. Risk calculations for conformity assessment in practice. In Proceedings of the 19th International Congress of Metrology, Paris, France, 24–26 September 2019. [Google Scholar] [CrossRef]
- Koucha, Y.; Forbes, A.; Yang, Q. A Bayesian conformity and risk assessment adapted to a form error model. Meas. Sens. 2021, 18, 100330. [Google Scholar] [CrossRef]
- Pennecchi, F.R.; Kuselman, I.; Di Rocco, A.; Hibbert, D.B.; Sobina, A.; Sobina, E. Specific risks of false decisions in conformity assessment of a substance or material with a mass balance constraint—A case study of potassium iodate. Measurement 2021, 173, 108662. [Google Scholar] [CrossRef]
- Bettencourt da Silva, R.J.; Lourenço, F.; Hibbert, D.B. Setting multivariate and correlated acceptance limits for assessing the conformity of items. Anal. Lett. 2022, 55, 2011–2032. [Google Scholar] [CrossRef]
- BIPM; IEC; IFCC; ILAC; ISO; IUPAC; IUPAP; OIML. Evaluation of Measurement Data—Guide to the Expression of Uncertainty in Measurement; JCGM 100:2008; Joint Committee for Guides in Metrology: Sèvres, France, 2008. [Google Scholar] [CrossRef]
- Grégis, F. On the meaning of measurement uncertainty. Measurement 2019, 133, 41–46. [Google Scholar] [CrossRef]
- Pendrill, L.R. Using measurement uncertainty in decision-making and conformity assessment. Metrologia 2014, 51, S206. [Google Scholar] [CrossRef]
- Williams, A.; Magnusson, B. Eurachem/CITAC Guide: Use of Uncertainty Information in Compliance Assessment. 2021. Available online: https://www.eurachem.org/index.php/publications/guides/uncertcompliance (accessed on 29 August 2025).
- Separovic, L.; Lourenco, F.R. Measurement uncertainty and risk of false conformity decision in the performance evaluation of liquid chromatography analytical procedures. J. Pharm. Biomed. Anal. 2019, 171, 73–80. [Google Scholar] [CrossRef] [PubMed]
- Xue, Z.; Mou, X.; Sun, H.; Cao, C.; Xu, B. A Protocol for Conformity and Risk Assessment of Pharmaceutical Product by High Performance Liquid Chromatography Based on Measurement Uncertainty. J. Sep. Sci. 2025, 48, e70158. [Google Scholar] [CrossRef]
- Volodarsky, E.T.; Kosheva, L.O.; Klevtsova, M.O. Approaches to the Evaluation of Conformity Taking into Account the Uncertainty of the Value of the Monitored Parameter. In Proceedings of the 2019 IEEE 8th International Conference on Advanced Optoelectronics and Lasers (CAOL), Sozopol, Bulgaria, 6–8 September 2019. [Google Scholar] [CrossRef]
- BIPM; IEC; IFCC; ILAC; ISO; IUPAC; IUPAP; OIML. Evaluation of Measurement Data—The Role of Measurement Uncertainty in Conformity Assessment; JCGM 106:2012; Joint Committee for Guides in Metrology: Sèvres, France, 2012. [Google Scholar] [CrossRef]
- Volodarskyi, Y.; Kosheva, L.; Kozyr, O. Reducing the Impact of Measurement Uncertainty in Conformity Assessment. In Proceedings of the 2023 XXXIII International Scientific Symposium Metrology and Metrology Assurance (MMA), Sozopol, Bulgaria, 7–11 September 2023. [Google Scholar] [CrossRef]
- Separovic, L.; Simabukuro, R.S.; Couto, A.R.; Bertanha, M.L.G.; Dias, F.R.; Sano, A.Y.; Caffaro, A.M.; Lourenco, F.R. Measurement uncertainty and conformity assessment applied to drug and medicine analyses—A review. Crit. Rev. Anal. Chem. 2023, 53, 123–138. [Google Scholar] [CrossRef]
- Carullo, A.; Manta, F.; Mugno, R.; Paolino, E.; Pedone, P.; Albis, G.; Corbellii, S.; Vallan, A. Fundamentals in Measurement: The Role of Measurement Uncertainty in Conformity Assessment: Some Examples. IEEE Instrum. Meas. Mag. 2024, 27, 5–12. [Google Scholar] [CrossRef]
- Runje, B.; Horvatić Novak, A.; Razumić, A.; Piljek, P.; Štrbac, B.; Orošnjak, M. Evaluation of Consumer and Producer Risk in Conformity Assessment Decision. In Proceedings of the 30th DAAAM International Symposium “Intelligent Manufacturing & Automation”, Zadar, Croatia, 23–26 October 2019. [Google Scholar] [CrossRef]
- Hibbert, D.B.; Korte, E.H.; Örnemark, U. Metrological and quality concepts in analytical chemistry (IUPAC Recommendations 2021). Pure Appl. Chem. 2021, 93, 997–1048. [Google Scholar] [CrossRef]
- Lira, I. A Bayesian approach to the consumer’s and producer’s risks in measurement. Metrologia 1999, 36, 397. [Google Scholar] [CrossRef]
- Volodarsky, E.T.; Kosheva, L.O.; Klevtsova, M.O. The Role Uncertainty of Measurements in the Formation of Acceptance Criteria. In Proceedings of the 2019 XXIX International Scientific Symposium “Metrology and Metrology Assurance”(MMA), Sozopol, Bulgaria, 6–9 September 2019. [Google Scholar] [CrossRef]
- BIPM; IEC; IFCC; ILAC; ISO; IUPAC; IUPAP; OIML. Evaluation of Measurement Data—Supplement 1 to the “Guide to the Expression of Uncertainty in Measurement”—Propagation of Distributions Using a Monte Carlo Method; JCGM 101:2008; Joint Committee for Guides in Metrology: Sèvres, France, 2008. [Google Scholar] [CrossRef]
- Iuculano, G.; Nielsen, L.; Zanobini, A.; Pellegrini, G. The principle of maximum entropy applied in the evaluation of the measurement uncertainty. IEEE Trans. Instrum. Meas. 2007, 56, 717–722. [Google Scholar] [CrossRef]
- Consonni, G.; Fouskakis, D.; Liseo, B.; Ntzoufras, I. Prior distributions for objective Bayesian analysis. Bayesian Anal. 2018, 13, 627–679. [Google Scholar] [CrossRef]
- Folye, D.K.; Scharfenaker, E. Bayesian Inference and the Principle of Maximum Entropy. Am. Stat. 2025, 79, 467–473. [Google Scholar] [CrossRef]
- Neuenschwander, B. From historical data to priors. In Proceedings of the Biopharmaceutical Section, Joint Statistical Meetings, American Statistical Association, Miami Beach, FL, USA, 30 July–4 August 2011. [Google Scholar]
- Separovic, L.; de Godoy Bertanha, M.L.; Saviano, A.M.; Lourenço, F.R. Conformity decisions based on measurement uncertainty—A case study applied to agar diffusion microbiological assay. J. Pharm. Innov. 2020, 15, 110–115. [Google Scholar] [CrossRef]
- Tian, Q.; Lewis-Beck, C.; Niemi, J.B.; Meeker, W.Q. Specifying prior distributions in reliability applications. Appl. Stoch. Model. Bus. Ind. 2024, 40, 5–62. [Google Scholar] [CrossRef]
- Božić, D.; Runje, B. Selection of an Appropriate Prior Distribution in Risk Assessment. In Proceedings of the 33rd International DAAAM Virtual Symposium “Intelligent Manufacturing & Automation”, Vienna, Austria, 27–28 October 2022. [Google Scholar] [CrossRef]
- Toczek, W.; Smulko, J. Risk Analysis by a Probabilistic Model of the Measurement Process. Sensors 2021, 21, 2053. [Google Scholar] [CrossRef]
- Ramebäck, H.; Tovedal, A.; Norlin, K. On the significance of the measurement evaluation method in decision making: A synthesis of JCGM 101 and JCGM 106 applied to gross alpha and gross beta measurements using LSC. Appl. Radiat. Isot. 2024, 208, 111282. [Google Scholar] [CrossRef]
- Puydarrieux, S.; Pou, J.M.; Leblond, L.; Fischer, N.; Allard, A.; Feinberg, M.; El Guennouni, D. Role of measurement uncertainty in conformity assessment. In Proceedings of the 19th International Congress of Metrology (CIM2019), Paris, France, 24–26 September 2019. [Google Scholar] [CrossRef]
- Božić, D.; Runje, B.; Lisjak, D.; Kolar, D. Metrics Related to Confusion Matrix as Tools for Conformity Assessment Decisions. Appl. Sci. 2023, 13, 8187. [Google Scholar] [CrossRef]
- Božić, D.; Runje, B.; Razumić, A. Risk Assessment for Linear Regression Models in Metrology. Appl. Sci. 2024, 14, 2605. [Google Scholar] [CrossRef]
- Pennecchi, F.R.; Kuselman, I.; Di Rocco, A.; Hibbert, D.B.; Semenova, A.A. Risks in a sausage conformity assessment due to measurement uncertainty, correlation and mass balance constraint. Food Control 2021, 125, 107949. [Google Scholar] [CrossRef]
- Brandão, L.P.; Silva, V.F.; Bassi, M.; de Oliveira, E.C. Risk assessment in monitoring of water analysis of a Brazilian river. Molecules 2022, 27, 3628. [Google Scholar] [CrossRef]
- Separovic, L.; Saviano, A.M.; Lourenço, F.R. Using measurement uncertainty to assess the fitness for purpose of an HPLC analytical method in the pharmaceutical industry. Measurement 2018, 119, 41–45. [Google Scholar] [CrossRef]
- do Prado Pereira, W.; Carvalheira, L.; Lopes, J.M.; de Aguiar, P.F.; Moreira, R.M.; e Oliveira, E.C. Data reconciliation connected to guard bands to set specification limits related to risk assessment for radiopharmaceutical activity. Heliyon 2023, 9, e22992. [Google Scholar] [CrossRef]
- Leal, F.G.; de Andrade Ferreira, A.; Silva, G.M.; Freire, T.A.; Costa, M.R.; de Morais, E.T.; Guzzo, J.V.P.; de Oliveira, E.C. Measurement Uncertainty and Risk of False Compliance Assessment Applied to Carbon Isotopic Analyses in Natural Gas Exploratory Evaluation. Molecules 2024, 29, 3065. [Google Scholar] [CrossRef] [PubMed]
- Reis Medeiros, K.A.; da Costa, L.G.; Bifano Manea, G.K.; de Moraes Maciel, R.; Caliman, E.; da Silva, M.T.; de Sena, R.C.; de Oliveira, E.C. Determination of total sulfur content in fuels: A comprehensive and metrological review focusing on compliance assessment. Crit. Rev. Anal. Chem. 2023, 54, 3398–3408. [Google Scholar] [CrossRef]
- Božić, D.; Samardžija, M.; Kurtela, M.; Keran, Z.; Runje, B. Risk Evaluation for Coating Thickness Conformity Assessment. Materials 2023, 16, 758. [Google Scholar] [CrossRef] [PubMed]
- Kuselman, I.; Pennecchi, F.; da Silva, R.J.; Hibbert, D.B. Conformity assessment of multicomponent materials or objects: Risk of false decisions due to measurement uncertainty—A case study of denatured alcohols. Talanta 2017, 164, 189–195. [Google Scholar] [CrossRef]
- Kuselman, I.; Pennecchi, F.R.; Da Silva, R.J.; Hibbert, D.B. Risk of false decision on conformity of a multicomponent material when test results of the components’ content are correlated. Talanta 2017, 174, 789–796. [Google Scholar] [CrossRef] [PubMed]
- da Silva, R.J.; Pennecchi, F.R.; Hibbert, D.B.; Kuselman, I. Tutorial and spreadsheets for Bayesian evaluation of risks of false decisions on conformity of a multicomponent material or object due to measurement uncertainty. Chemom. Intell. Lab. Syst. 2018, 182, 109–116. [Google Scholar] [CrossRef]
- Silva, C.M.D.; Lourenço, F.R. Definition of multivariate acceptance limits (guard-bands) applied to pharmaceutical equivalence assessment. J. Pharm. Biomed. Anal. 2023, 222, 115080. [Google Scholar] [CrossRef]
- Silva, C.M.D.; Lourenço, F.R. Multivariate guard-bands and total risk assessment on multiparameter evaluations with correlated and uncorrelated measured values. Braz. J. Pharm. Sci. 2024, 60, e23564. [Google Scholar] [CrossRef]
- Božić, D.; Runje, B.; Razumić, A. Risk Assessment Procedure for Calibration. Teh. Glas. 2025, 19, 7–12. [Google Scholar] [CrossRef]
- Božić, D.; Runje, B.; Razumić, A. Risk assessment for calibration: The non-linearized case. In Proceedings of the 2025 IMEKO Joint Conference TC8–TC11–TC25, Torino, Italy, 14–17 September 2025. [Google Scholar]
- Božić, D.; Runje, B.; Razumić, A.; Lisjak, D.; Štrbac, B. Risk assessment for linear regression models in metrology: Hypothetical cases. In Proceedings of the 15th International Scientific Conference MMA-Flexible Technologies, Novi Sad, Serbia, 24–26 September 2024. [Google Scholar] [CrossRef]
- Ranisavljev, M.; Razumić, A.; Štrbac, B.; Runje, B.; Horvatić Novak, A.; Hadžistević, M. Ispitivanje ravnosti granitnog stola KMM primenom konvencionalne i koordinatne metrologije. In Proceedings of the 6th International Scientific Conference Conference on Mechanical Engineering Technologies and Applications (COMETa2022), Jahorina, Bosnia and Herzegovina, 17–19 November 2022. [Google Scholar]
- Moroni, G.; Petro, S. Geometric tolerance evaluation: A discussion on minimum zone fitting algorithms. Precis. Eng. 2008, 32, 232–237. [Google Scholar] [CrossRef]
- Radlovački, V.; Hadžistević, M.; Štrbac, B.; Delić, M.; Kamberović, B. Evaluating minimum zone flatness error using new method—Bundle of plains through one point. Precis. Eng. 2016, 43, 554–562. [Google Scholar] [CrossRef]
- ISO 1101:2017; Geometrical Product Specifications (GPS)—Geometrical Tolerancing—Tolerances of Form, Orientation, Location and Run-Out. International Organization for Standardization: Geneva, Switzerland, 2017.
- Shen, Y.; Ren, J.; Huang, N.; Zhang, Y.; Zhang, X.; Zhu, L. Surface form inspection with contact coordinate measurement: A review. Int. J. Extreme Manuf. 2023, 5, 022006. [Google Scholar] [CrossRef]
- Zahwi, S.Z.; Amer, M.A.; Abdou, M.A.; Elmelegy, A.M. On the calibration of surface plates. Measurement 2013, 46, 1019–1028. [Google Scholar] [CrossRef]
- Štrbac, B.; Radlovački, V.; Spasić-Jokić, V.; Delić, M.; Hadžistević, M. The Difference Between GUM and ISO/TC 15530-3 Method to Evaluate the Measurement Uncertainty of Flatness by a CMM. Mapan 2017, 32, 251–257. [Google Scholar] [CrossRef]
- Cui, C.; Fu, S.; Huang, F. Research on the uncertainties from different form error evaluation methods by CMM sampling. Int. J. Adv. Manuf. Technol. 2009, 43, 136–145. [Google Scholar] [CrossRef]
- British Standard: BS 817:1988; Specification for Surface Plates. British Standard Institution: London, UK, 1988.
- R Core Team. R: A Language and Environment for Statistical Computing; The R Foundation for Statistical Computing: Vienna, Austria, 2022; Available online: https://www.R-project.org/ (accessed on 21 September 2025).
- Borchers, H.W. Pracma: Practical Numerical Math Functions. R Package Version 2.4.2/r532. Available online: https://R-Forge.R-project.org/projects/optimist/ (accessed on 21 September 2025).
- Eaton, J.W.; Bateman, D.; Hauberg, S.; Wehbring, R. GNU Octave Version 8.4.0 Manual: A High-Level Interactive Language for Numerical Computations. Available online: https://www.gnu.org/software/octave/doc/v8.4.0/ (accessed on 21 September 2025).
- Chicco, D.; Tötsch, N.; Jurman, G. The Matthews correlation coefficient (MCC) is more reliable than balanced accuracy, bookmaker informedness, and markedness in two-class confusion matrix evaluation. BioData Min. 2021, 14, 13. [Google Scholar] [CrossRef]
- Juras, J.; Pasarić, Z. Application of tetrachoric and polychoric correlation coefficients to forecast verification. Geofizika 2006, 23, 59–82. Available online: https://hrcak.srce.hr/4211 (accessed on 22 September 2025).
- Shaukat, K.; Luo, S.; Varadharajan, V.; Hameed, I.A.; Xu, M. A survey on machine learning techniques for cyber security in the last decade. IEEE Access 2020, 8, 222310–222354. [Google Scholar] [CrossRef]
- Grandini, M.; Bagli, E.; Visani, G. Metrics for multi-class classification: An overview. arXiv 2020. [Google Scholar] [CrossRef]
- Riyanto, S.; Imas, S.S.; Djatna, T.; Atikah, T.D. Comparative analysis using various performance metrics in imbalanced data for multi-class text classification. Int. J. Adv. Comput. Sci. Appl. 2023, 14. [Google Scholar] [CrossRef]
- Altalhan, M.; Algarni, A.; Alouane, M.T.H. Imbalanced data problem in machine learning: A review. IEEE Access 2025, 13, 13686–13699. [Google Scholar] [CrossRef]














| Labels | Metrics | mm | mm | |
|---|---|---|---|---|
| 1 | Accuracy | ↘ * | 6.375 | 7.5 |
| 2 | F1-score | ↘ | 6.75 | 7.5 |
| 3 | BA | ↗ | 7.5 | 6.75 |
| 4 | G-mean | ↗ | 7.5 | 6.3 |
| 5 | BM | ↗ | 7.5 | 6.75 |
| 6L | kappa | ↗ | 7.5 → 3.75 | — |
| 6R | kappa | ↘ | 2.625 | 7.5 |
| 7L | MCC | ↗ | 7.5 → 3 | — |
| 7R | MCC | ↘ | 2.25 | 7.5 |
| 8L | DOR | ↘ | 7.5 → 0 | — |
| 8R | DOR | ↗ | — | 0.375 → 7.5 |
| Intersection of Intervals | Labels | mm | mm | |
|---|---|---|---|---|
| 1–5, 6L, 7L, 8L | 6.375 → 3.75 | — | ||
| 1–5, 6R, 7R, 8L | 2.25 → 0 | — | ||
| 1–5, 6R, 7R, 8R | — | 0.375 → 6 |
Disclaimer/Publisher’s Note: The statements, opinions and data contained in all publications are solely those of the individual author(s) and contributor(s) and not of MDPI and/or the editor(s). MDPI and/or the editor(s) disclaim responsibility for any injury to people or property resulting from any ideas, methods, instructions or products referred to in the content. |
© 2026 by the authors. Published by MDPI on behalf of the International Institute of Knowledge Innovation and Invention. Licensee MDPI, Basel, Switzerland. This article is an open access article distributed under the terms and conditions of the Creative Commons Attribution (CC BY) license.
Share and Cite
Božić, D.; Runje, B.; Štrbac, B.; Ranisavljev, M.; Razumić, A. Spatial Risk Assessment: A Case of Multivariate Linear Regression. Appl. Syst. Innov. 2026, 9, 20. https://doi.org/10.3390/asi9010020
Božić D, Runje B, Štrbac B, Ranisavljev M, Razumić A. Spatial Risk Assessment: A Case of Multivariate Linear Regression. Applied System Innovation. 2026; 9(1):20. https://doi.org/10.3390/asi9010020
Chicago/Turabian StyleBožić, Dubravka, Biserka Runje, Branko Štrbac, Miloš Ranisavljev, and Andrej Razumić. 2026. "Spatial Risk Assessment: A Case of Multivariate Linear Regression" Applied System Innovation 9, no. 1: 20. https://doi.org/10.3390/asi9010020
APA StyleBožić, D., Runje, B., Štrbac, B., Ranisavljev, M., & Razumić, A. (2026). Spatial Risk Assessment: A Case of Multivariate Linear Regression. Applied System Innovation, 9(1), 20. https://doi.org/10.3390/asi9010020

