Investigating Stress During a Virtual Reality Game Through Fractal and Multifractal Analysis of Heart Rate Variability
Abstract
1. Introduction
- Presentation of the process of creating a VR game, which includes 3D modelling (polygon modelling, Bezier curves, texture, and material), 3D animation (spline and linear interpolators, translational and rotational motion, and morphing) and the mathematical apparatus (linear algebra, trigonometry, and geometry) used;
- Study of the stress reactions generated during the game by the participants by applying the following methods of fractal and multifractal analysis: detrended fluctuation analysis (DFA) and multifractal detrended fluctuation analysis (MFDFA);
- Statistical analysis of the studied parameters before and during the game by applying the t-test to assess the significance of the observed differences.
2. Materials and Methods
2.1. Process of Creating a Virtual Reality Game
2.1.1. Three-Dimensional Modelling Techniques
- The binomial coefficient determines the intensity of influence of each control point;
- The terms ti and (1 − t)n−i set the weight for each point depending on the value of t.
2.1.2. Creation of Obj File and 3D Geometry
2.1.3. Animation in VR Games: Techniques and Applications
- Creation of keyframe animation: Keyframe animation is a basic technique in 3D animation where keyframes are created, and the software automatically interpolates the movements between them;
- Animation curves: These animations control the speed and smoothness of movements between keyframes. They can be used to control the acceleration and deceleration of the movement. Reshaping of animation curves is applied to achieve smoother and more natural movements;
- Test and optimization: Once the animation is created, it must be tested in a game environment and optimized for performance.
- Linear interpolation provides smooth and constant motion between two frames by changing values at a constant rate. This interpolation is suitable for simple and rectilinear movements;
- Spline interpolation uses a spline cubic curve to control the smoothness and naturalness of the movement. Control points are set between keyframes to determine the motion of the object. This interpolation allows smoother and more natural movements that simulate the real world. This drives the app’s camera.
2.1.4. A Mathematical Tool for 3D Modelling and Animation
- Vectors represent positions, velocities, directions of motion, or forces in 3D space. They describe distances, speed, and direction of movement of characters or objects;
- Matrices are used to describe transformations such as rotation, scaling, and translation. In 3D animation, they allow the transformation of the coordinates of points and objects in different coordinate systems, which is essential for a realistic representation of movements and perspectives;
- Homogeneous coordinates allow the different transformations (such as rotation, scaling, and translation) to be combined into a single matrix, making calculations easier.
- Rotations of objects or characters around a given axis;
- The trigonometric calculations control the cameras, for example, when they rotate around an object;
- Trigonometry helps describe motion along arcs and curves, such as for animating objects that move in a circular path.
- Transformations: rotation, scaling, and translation are applied to geometric objects (models) through matrices;
- Curves and surfaces: splines and other curves (such as Bezier curves) are used to animate objects that move along a smooth path;
- Collision: the geometry is also key to detecting collisions between objects in space.
2.2. Fractal and Multifractal Analysis Methods
2.2.1. Fractal Analysis by DFA Method
- α1 and α2, which measure the short-term and long-term correlations in the time series, respectively;
- αall summarizes the behaviour of the time series for all scales considered and is related to the Hurst parameter. The relationship between these two parameters is H = αall.
2.2.2. Multifractal Analysis Using the MFDFA Method
- The fluctuation function Fq(s), which describes the degree of fluctuations depending on the scale s, providing information about the structural instability of the time series;
- The generalized Hurst exponent (Hq), which is a measure of self-similarity and long-term dependence, which varies with changes in the parameter q and reveals the heterogeneity of the fractal structure of the analyzed signals;
- The multifractal scaling exponent τ(q), which indicates scale dependencies and reveals the multifractal nature of the studied data at different values of parameter q;
- The multifractal spectrum f(α), which serves as a tool for the quantitative description of signals with a high degree of heterogeneity, providing information on the degree of non-uniformity and complexity of the signal, showing the distribution of different local dimensions in it.
2.3. Data and Statistical Analysis
3. Results
3.1. Game “Asteroid Shower” with Virtual Reality
3.1.1. Modelling 3D Objects
- Selection of primitive shape (Figure 3A–C): Modelling begins with the selection and construction of a basic geometric shape, a regular polygon, by applying a new boundary method [50] that gives a better result than the traditional trigonometric method. This shape serves as the basis of the object to be created, which is subsequently modified and detailed. The information from this step is stored in an obj file;
- Subdivision (Figure 3D): This technique divides the object into smaller parts, increasing the number of vertices and edges. The process produce enables higher detail and smoother surfaces;
- Extrusion (Figure 3E–H): The extrusion technique involves extending a 2D/3D face or edge to create a new surface that continues the object’s existing geometry. This process adds complexity to the object by creating new shapes while preserving its structure;
- Merging and manipulating vertices and edges (Figure 3I): The vertices and the edges are used to create more complex object geometry. This step involves merging vertices and edges to achieve greater control over the object’s shape and detail;
- Smoothing (Figure 3J): This operation softens the object’s edges to remove hard lines between polygons and create a smoother surface;
- Mesh representation of the object (Figure 3K);
- Adding texture (Figure 3L): After completing the object’s geometry, the texture is added. This is important in adequately applying visual details such as colours, patterns, and other textures.
- Selection of a linear Bezier curve primitive (Figure 4A): The process begins by selecting a basic primitive shape—a regular octagon—and calculating its vertices by applying the method presented in [50]. The process that continues the linear Bezier curve is applied to the polygon for the initial shaping of the object. Formulas (1)–(3) represent the Bezier curve with two control points (linear curve), and Formula (4) shows a parameterization of the linear curve for 2D Bezier coordinates, where x and y are the coordinates of the points. Table 1 presents the coordinate values for each segment along the abscissa and ordinate. The length of each side of the polygon is assumed to be equal to one;
- Extrusion of the polygon into a prism (Figure 4B): The 2D polygon is extruded into a 3D prism-shaped object. This adds volume and creates the foundation upon which the shape will be further developed. The information is saved in an obj file;
- Defining the basic geometry of the object (Figure 4C): The basic structure of the asteroid begins to take shape, adding details that are important for the next stages;
- Subdivision of the prism (Figure 4D,E): The “subdivision” technique divides the surface of the prism into smaller polygons. This results in a smoother shape and creates more vertices and edges for fine-tuning the object;
- Transformation of the prism into a sphere (Figure 4F): The prism transforms into a more rounded shape, approaching a sphere. This step is key to creating the asteroid’s basic rounded structure;
- Creation of a solid ellipsoid (Figure 4G): The shape is reshaped as an ellipsoid to add irregularity and a more exciting appearance. This gives the object a natural look and more variation;
- Creating the final shape of the asteroid (Figure 4H): The final shape of the asteroid is achieved by deforming and adding surface irregularities using techniques such as noise modifications that create craters and depressions;
- Mesh representation of the asteroid (Figure 4I): The mesh representation of the object is shown, helpful in checking surface uniformity and geometry detail. The grid structure also makes it easy to add textures;
- Adding texture (Figure 4J): Finally, a texture is added to the object to give the asteroid a realistic appearance. Texture includes colours, relief, and visual depth, highlighting specific surface features such as craters and rock formations.
3.1.2. Three-Dimensional Animation
3.2. Fractal and Multifractal Analysis
- The RR interval series of 20 volunteers at rest, before they started playing;
- The RR interval series of 20 volunteers in a stress state, recorded during a game.
4. Discussion
4.1. Fractal Analysis
- Under mental stress, the value of α1 (p < 0.0001), determining short-term dependencies, decreases, which means that the short-term dynamics of the RR interval series become more chaotic and less correlated, which is an indicator of a stress response. This dynamic is due to a disturbed balance between sympathetic and parasympathetic activity, i.e., stress causes activation of the sympathetic nervous system, which leads to a more chaotic rhythm and reduced HRV. This information can be helpful in developing stress management strategies that include relaxation techniques and increasing parasympathetic activity;
- The value of the parameter α2 (p = 0.076), which reflects the long-term correlations in the heart rate, shows weaker changes under the influence of stress compared to α1. This can be explained by the fact that long-term correlations are more resistant to short-term stressful stimuli. This result is consistent with studies [45,46] that also show that α2 is primarily affected by long-term changes in cardiac function associated with stress or disease;
- The summary value of the αall parameter (p < 0.0001) also decreased under stress. The value of this parameter reflects the overall decrease in autocorrelation and increase in irregularity in the RR interval series. This parameter is related to the Hurst exponent by the following equation: αall = H. This relationship reflects the key concept that the two quantities measure the fractal properties of time series. The Hurst parameter is a measure of the long-term correlation in data and is widely used in time series analysis, particularly in the context of the statistical properties of cardiac variability. Higher values of H (or αall) indicate better adaptability of the organism to stressful situations and higher resistance to stress. The relationship between α and H is particularly useful in the context of DFA, as the method is designed to assess the fractality of time series, allowing us to identify and analyze complex dependencies that cannot be revealed by the application of standard statistical methods. Similar results were reported in publication [46].
4.2. Multifractal Analysis
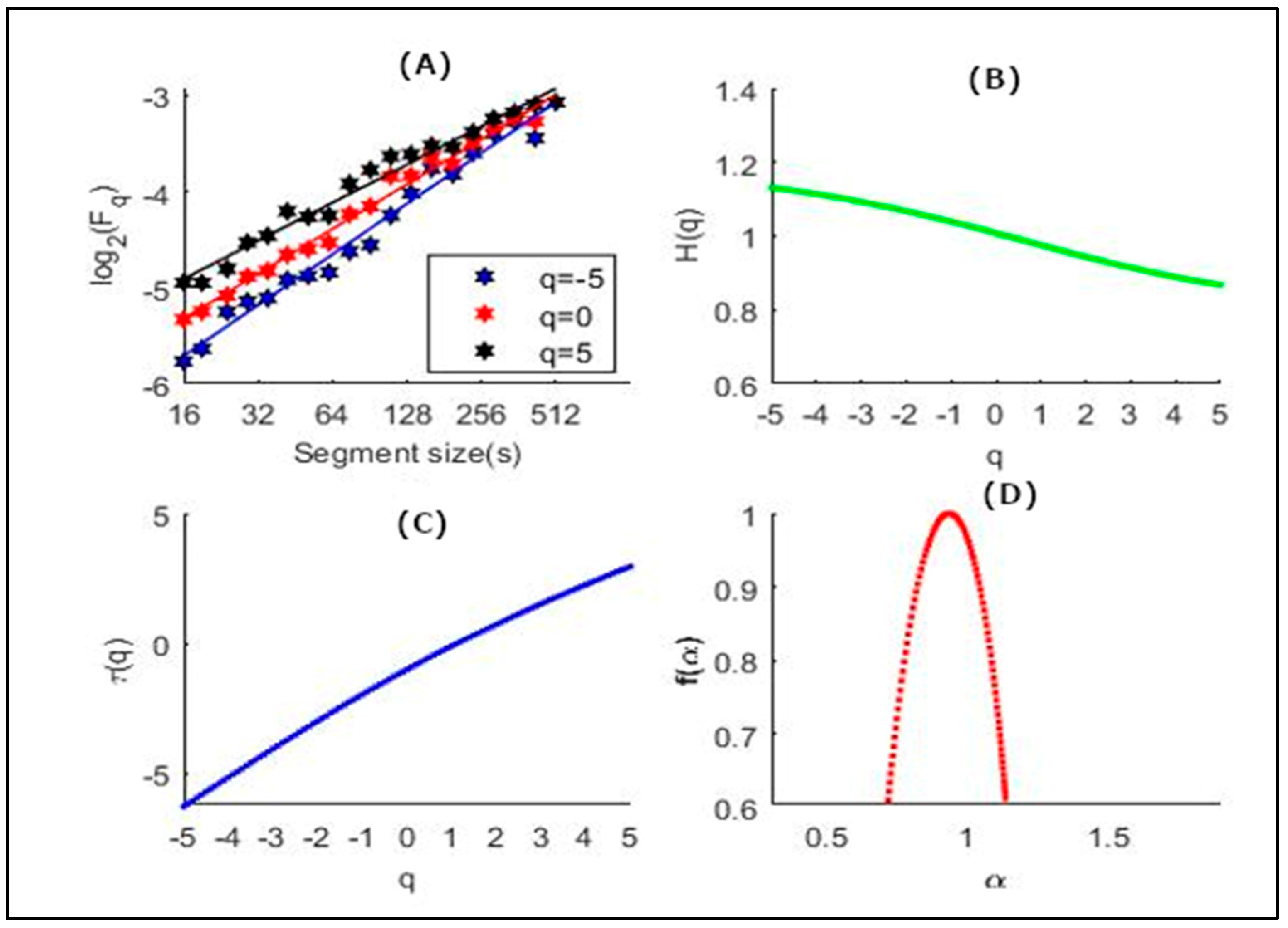
- The fluctuation function Fq(s) shows the degree of variability in the data at different scales s (segment size) and instantaneous values of q. The graphs of the fluctuation function at different values of q for the two studied interval series (rest and stress) show linear dependencies, which is evidence of fractal behaviour. The graphs in Figure 10A are of different slope, indicating that the interval series at rest have a multifractal behaviour, while at stress the graphs (Figure 11A) are parallel, i.e., the slope of the fluctuation functions is constant and the signal is monofractal;
- The generalized Hurst exponent (Hq) is a measure of correlations in signals. Under stress, Hq values are lower, suggesting a more pronounced anticorrelation. At rest, Hq values are higher, which is evidence of greater stability in cardiac activity. From the graphs of Figure 10B and Figure 11B, it can be seen that, at rest, the value of the exponent H changes for different values of the parameter q, which is indicative of a multifractal behaviour. Under stress, the dependence of H on q is nearly constant, suggesting that the signal is monofractal. Similar results were reported in publication [47,48];
- The multifractal spectrum f(α) is broader at rest, which may be an indication of greater heart rate variability. Conversely, in a stress state, the spectrum is narrower, reflecting lower multifractal complexity and heart rate variability. Similar results were reported in publication [51].
4.3. Limitations
- Small sample size: Only 20 volunteers were analyzed, which limits the accuracy of the results. A larger sample size could have increased the statistical accuracy of the study.
- Limited length of ECG signals: The length of the signals is about 2000 RR intervals recorded over a period of 20 min. This duration is limited due to the nature of the experiment to simulate a temporary acute stress. Although this is appropriate for the chosen methods (fractal and multifractal analysis), longer recordings could provide additional information on the long-term dynamics of heart rate.
- High variability of some parameters: Some parameters show higher standard deviation values compared to the mean. This can be explained by the influence of various factors, such as the activity of the autonomic nervous system, metabolic processes, and external stress stimuli. Although this variability can be considered natural for biological systems such as the cardiovascular system, it limits the precision of some analyses.
4.4. Future Work
5. Conclusions
Author Contributions
Funding
Institutional Review Board Statement
Informed Consent Statement
Data Availability Statement
Acknowledgments
Conflicts of Interest
References
- Partarakis, N.; Zabulis, X.A. Review of Immersive Technologies, Knowledge Representation, and AI for Human-Centered Digital Experiences. Electronics 2024, 13, 269. [Google Scholar] [CrossRef]
- Oyelere, S.S.; Bouali, N.; Kaliisa, R.; Obaido, G.; Yunusa, A.A.; Jimoh, E.R. Exploring the trends of educational virtual reality games: A systematic review of empirical studies. Smart Learn. Environ. 2020, 7, 31. [Google Scholar] [CrossRef]
- Berberyan, A.S.; Berberyan, H.S.; Alsina-Jurnet, I. Virtual reality as anxiety management tool. Int. J. Cogn. Res. Sci. Eng. Educ. (IJCRSEE) 2023, 11, 449–459. [Google Scholar] [CrossRef]
- Alsaad, F.; Binkhamis, L.; Alsalman, A.; Alabdulqader, N.; Alamer, M.; Abualait, T.; Khalil, M.S.; Ghamdi, K.S. Al. Impact of Action Video Gaming Behavior on Attention, Anxiety, and Sleep Among University Students. Psychol. Res. Behav. Manag. 2022, 15, 151–160. [Google Scholar] [CrossRef] [PubMed]
- Scott, S. Video Games as a Form of Stress Relief and Emotional Improvement. Bachelor’s Thesis, Tyndale University, Toronto, ON, Canada, 2022. Available online: https://digitalcollections.tyndale.ca/handle/20.500.12730/1573 (accessed on 22 March 2022).
- Meyerbröker, K.; Morina, N. The use of virtual reality in assessment and treatment of anxiety and related disorders. Clin. Psychol. Psychother. 2021, 28, 466–476. [Google Scholar] [CrossRef]
- Linke, J.; Wessa, M. Mental Imagery Training Increases Wanting of Rewards and Reward Sensitivity and Reduces Depressive Symptoms. Behav. Ther. 2017, 48, 695–706. [Google Scholar] [CrossRef]
- Anderson, P.; Rothbaum, B.O.; Hodges, L.F. Virtual reality exposure in the treatment of social anxiety. Cogn. Behav. Pract. 2003, 10, 240–252. [Google Scholar] [CrossRef]
- Maples-Keller, J.L.; Bunnell, B.E.; Kim, S.J.; Rothbaum, B.O. The Use of Virtual Reality Technology in the Treatment of Anxiety and Other Psychiatric Disorders. Harv. Rev. Psychiatry 2017, 25, 103–113. [Google Scholar] [CrossRef]
- Meshkat, S.; Edalatkhah, M.; Di Luciano, D.C.; Martin, J.; Kaur, G.; Lee, G.H.; Park, H.; Torres, A.; Mazalek, A.; Kapralos, B.; et al. Virtual Reality and Stress Management: A Systematic Review. Cureus 2024, 16, e64573. [Google Scholar] [CrossRef]
- Ma, J.; Zhao, D.; Xu, N.; Yang, J. The effectiveness of immersive virtual reality (VR) based mindfulness training on improvement mental-health in adults: A narrative systematic review. EXPLORE 2023, 19, 310–318. [Google Scholar] [CrossRef]
- Ladakis, I.; Filos, D.; Chouvarda, I. Virtual reality environments for stress reduction and management: A scoping review. Virtual Real. 2024, 28, 50. [Google Scholar] [CrossRef]
- Jingili, N.; Oyelere, S.S.; Nyström, M.B.T.; Anyshchenko, L. A systematic review on the efficacy of virtual reality and gamification interventions for managing anxiety and depression. Front. Digit. Health 2023, 5, 1239435. [Google Scholar] [CrossRef] [PubMed]
- Lagraauw, H.M.; Kuiper, J.; Bot, I. Acute and chronic psychological stress as risk factors for cardiovascular disease: Insights gained from epidemiological, clinical and experimental studies. Brain Behav. Immun. 2015, 50, 18–30. [Google Scholar] [CrossRef] [PubMed]
- Liu, R.T.; Alloy, L.B. Stress generation in depression: A systematic review of the empirical literature and recommendations for future study. Clin. Psychol. Rev. 2010, 30, 582–593. [Google Scholar] [CrossRef] [PubMed]
- Kim, H.-G.; Cheon, E.J.; Bai, D.S.; Lee, Y.H.; Koo, B.H. Stress and heart rate variability: A meta-analysis and review of the literature. Psychiatry Investig. 2018, 15, 235–245. [Google Scholar] [CrossRef]
- Shaffer, F.; Ginsberg, J.P. An Overview of Heart Rate Variability Metrics and Norms. Front. Public Health 2017, 5, 258. [Google Scholar] [CrossRef]
- Thayer, J.F.; Åhs, F.; Fredrikson, M.; Sollers, J.J.; Wager, T.D. A meta-analysis of heart rate variability and neuroimaging studies: Implications for heart rate variability as a marker of stress and health. Neurosci. Biobehav. Rev. 2012, 36, 747–756. [Google Scholar] [CrossRef]
- Laborde, S.; Mosley, E.; Thayer, J.F. Heart Rate Variability and Cardiac Vagal Tone in Psychophysiological Research–Recommendations for Experiment Planning, Data Analysis, and Data Reporting. Front. Psychol. 2017, 8, 213. [Google Scholar] [CrossRef]
- Thayer, J.F.; Lane, R.D. A model of neurovisceral integration in emotion regulation and dysregulation. J. Affect. Disord. 2000, 61, 201–216. [Google Scholar] [CrossRef]
- Appelhans, B.M.; Luecken, L.J. Heart rate variability as an index of regulated emotional responding. Rev. Gen. Psychol. 2006, 10, 229–240. [Google Scholar] [CrossRef]
- Wiederhold, B.K.; Wiederhold, M.D. Virtual Reality Therapy for Anxiety Disorders: Advances in Evaluation and Treatment; American Psychological Association: Washington, DC, USA, 2005. [Google Scholar] [CrossRef]
- Hjortskov, N.; Rissen, D.; Blangsted, A.K.; Fallentin, N.; Lundberg, U.; Søgaard, K. The effect of mental stress on heart rate variability and blood pressure during computer work. Eur. J. Appl. Physiol. 2004, 92, 84–89. [Google Scholar] [CrossRef] [PubMed]
- Bailey, J.O.; Bailenson, J.N. Immersive Virtual Reality and the Developing Child. In Book Cognitive Development in Digital Contexts; Blumberg, F.C., Brooks, P.J., Eds.; Academic Press: Cambridge, MA, USA, 2017; Volume 9, pp. 181–200. ISBN 9780128094815. [Google Scholar] [CrossRef]
- Chen, Y.-T.; Hou, C.-J.; Derek, N.; Huang, S.-B.; Huang, M.-W.; Wang, Y.-Y. Evaluation of the Reaction Time and Accuracy Rate in Normal Subjects, MCI, and Dementia Using Serious Games. Appl. Sci. 2021, 11, 628. [Google Scholar] [CrossRef]
- Martens, M.A.; Antley, A.; Freeman, D.; Slater, M.; Harrison, P.J.; Tunbridge, E.M. It feels real: Physiological responses to a stressful virtual reality environment and its impact on working memory. J. Psychopharmacol. 2019, 33, 1264–1273. [Google Scholar] [CrossRef] [PubMed]
- Wiederhold, B.K.; Wiederhold, M.D. Virtual reality for posttraumatic stress disorder and stress inoculation training. J. Cybertherapy Rehabil. 2008, 1, 23–35. [Google Scholar]
- Ivanov, P.C.; Amaral, L.A.; Goldberger, A.L.; Havlin, S.; Rosenblum, M.G.; Struzikk, Z.R.; Stanley, H.E. Multifractality in human heartbeat dynamics. Nature 1999, 399, 461–465. [Google Scholar] [CrossRef]
- Delliaux, S.; Delaforge, A.; Deharo, J.C.; Chaumet, G. Mental Workload Alters Heart Rate Variability, Lowering Non-linear Dynamics. Front. Physiol. 2019, 10, 565. [Google Scholar] [CrossRef] [PubMed] [PubMed Central]
- Rogers, B.; Gronwald, T. Fractal Correlation Properties of Heart Rate Variability as a Biomarker for Intensity Distribution and Training Prescription in Endurance Exercise: An Update. Front. Physiol. 2022, 13, 879071. [Google Scholar] [CrossRef]
- Castiglioni, P.; Rienzo, M.D.; Faini, A. Self-Similarity and Detrended Fluctuation Analysis of Cardiovascular Signals. In Complexity and Nonlinearity in Cardiovascular Signals; Barbieri, R., Scilingo, E., Valenza, G., Eds.; Springer: Cham, Switzerland, 2017. [Google Scholar] [CrossRef]
- Moghtadaei, M.; Dorey, T.W.; Rose, R.A. Evaluation of non-linear heart rate variability using multi-scale multi-fractal detrended fluctuation analysis in mice: Roles of the autonomic nervous system and sinoatrial node. Front. Physiol. 2022, 13, 970393. [Google Scholar] [CrossRef]
- Mendes, D.C.G.; Cameirão, M.S. Comparing Perceived Restorativeness and Stress Reduction in Virtual Reality Environments Using Abstract Fractal Geometries Versus Realistic Natural Landscapes. In Human-Computer Interaction—INTERACT 2023; Abdelnour Nocera, J., Kristín Lárusdóttir, M., Petrie, H., Piccinno, A., Winckler, M., Eds.; Lecture Notes in Computer Science; Springer: Cham, Switzerland, 2023; Volume 14145. [Google Scholar] [CrossRef]
- Faini, A.; Arsac, L.M.; Deschodt-Arsac, V.; Castiglioni, P. Multifractal Multiscale Analysis of Human Movements during Cognitive Tasks. Entropy 2024, 26, 148. [Google Scholar] [CrossRef]
- Barton, A.C.; Do, M.; Sheen, J.; Byrne, L. The restorative and state enhancing potential of abstract fractal-like imagery and interactive mindfulness interventions in virtual reality. Virtual Real. 2024, 28, 53. [Google Scholar] [CrossRef]
- Ko, C.C.; Cheng, C.D. Interactive Web-Based Virtual Reality with Java 3D; IGI Global: Hershey, PA, USA, 2009. [Google Scholar] [CrossRef]
- Lebamovski, P.; Gospodinova, E. Investigating the Impact of Mental Stress on Electrocardiological Signals through the Use of Virtual Reality. Technologies 2024, 12, 159. [Google Scholar] [CrossRef]
- Zhang, H.; Liang, Y.D. Computer Graphics Using Java 2D and 3D; Prentice Hall: Hoboken, NJ, USA, 2007. [Google Scholar]
- Klawonn, F. Introduction to Computer Graphics Using Java 2D and 3D; Springer: London, UK, 2008. [Google Scholar] [CrossRef]
- Gordon, V.G.; Clevenger, J. Computer Graphics Programming in OpenGL with Java, 2nd ed.; Mercury Learning and Information LLC: Dules, VA, USA, 2017. [Google Scholar]
- Palmer, I. Essential Java 3D Fast: Developing 3D Graphics Applications in Java; Springer Nature: Cham, Switzerland, 2020. [Google Scholar] [CrossRef]
- Chen, J.X.; Chen, C. Foundations of 3D Graphics Programming Using JOGL and Java3D; Springer London Ltd.: London, UK, 2008. [Google Scholar]
- Ammeraal, L.; Zhang, K. Computer Graphics for Java Programmers, 2nd ed.; John Wiley&Sons: Hoboken, NJ, USA, 2007. [Google Scholar]
- Peng, C.K.; Havlin, S.; Stanley, H.E.; Goldberger, A.L. Quantification of scaling exponents and crossover phenomena in nonstationary heartbeat time series. Chaos 1995, 5, 82–87. [Google Scholar] [CrossRef] [PubMed]
- Ernst, G. Heart Rate Variability; Springer: London, UK, 2014. [Google Scholar]
- Georgieva-Tsaneva, G. Interactive Cardio System for Healthcare Improvement. Sensors 2023, 23, 1186. [Google Scholar] [CrossRef] [PubMed]
- Li, S. Multifractal Detrended Fluctuation Analysis of Congestive Heart Failure Disease Based on Constructed Heartbeat Sequence. IEEE Access 2020, 8, 205244–205249. [Google Scholar] [CrossRef]
- Jiao, D.; Wang, Z.; Li, J.; Feng, F.; Hou, F. The chaotic characteristics detection based on multifractal detrended fluctuation analysis of the elderly 12-lead ECG signals. Phys. A Stat. Mech. Its Appl. 2020, 540, 123234. [Google Scholar] [CrossRef]
- Kantelhardt, J.W.; Zschiegner, S.A.; Koscielny-Bunde, E.; Havlin, S.; Bunde, A.; Stanley, H.E. Multifractal detrended fluctuation analysis of nonstationary time series. Phys. A Stat. Mech. Its Appl. 2002, 316, 87–114. [Google Scholar] [CrossRef]
- Lebamovski, P. New Method for Generating a Regular Polygon. In Proceedings of Eighth International Congress on Information and Communication Technology; ICICT 2023. Lecture Notes in Networks and Systems; Yang, X.S., Sherratt, R.S., Dey, N., Joshi, A., Eds.; Springer: Singapore, 2023; Volume 693. [Google Scholar] [CrossRef]
- Coppola, A.; Conte, S.; Pastore, D.; Chiereghin, F.; Donadel, G. Multifractal Heart Rate Value Analysis: A Novel Approach for Diabetic Neuropathy Diagnosis. Healthcare 2024, 12, 234. [Google Scholar] [CrossRef]











| Step | Coordinate Values of the Vertices of a Regular Octagon | |||||||
|---|---|---|---|---|---|---|---|---|
| C1 (x; y) | C2 (x; y) | C3 (x; y) | C4 (x; y) | C5(x; y) | C6(x; y) | C7 (x; y) | C8(x; y) | |
| 0.1 | −1.17; −0.4 | −1.103; 0.574 | −0.4; 1.242 | 0.567; 1.167 | 1.17; 0.4 | 1.103; −0.574 | 0.4; −1.242 | −0.567; −1.167 |
| 0.2 | −1.17; −0.3 | −1.036; 0.648 | −0.3; 1.242 | 0.634; 1.093 | 1.17; 0.3 | 1.036; −0.648 | 0.3; −1.242 | −0.634; −1.093 |
| 0.3 | −1.17; −0.2 | −0.969; 0.722 | −0.2; 1.242 | 0.701; 1.019 | 1.17; 0.2 | 0.969; −0.722 | 0.2; −1.242 | −0.701; −1.019 |
| 0.4 | −1.17; −0.1 | −0.901; 0.796 | −0.1; 1.242 | 0.768; 0.945 | 1.17; 0.1 | 0.901; −0.796 | 0.1; −1.242 | −0.768; −0.945 |
| 0.5 | −1.17; −0.0 | −0.835; 0.871 | 0.0; 1.242 | 0.835; 0.871 | 1.17; 0.0 | 0.835; −0.871 | 0.0; −1.242 | −0.835; −0.871 |
| 0.6 | −1.17; 0.1 | −0.768; 0.945 | 0.1; 1.242 | 0.901; 0.796 | 1.17; −0.1 | 0.768; −0.945 | −0.1; −1.242 | −0.901; −0.796 |
| 0.7 | −1.17; 0.2 | −0.701; 1.019 | 0.2; 1.242 | 0.968; 0.722 | 1.17; −0.2 | 0.701; −1.019 | −0.2; −1.242 | −0.968; −0.722 |
| 0.8 | −1.17; 0.3 | −0.634; 1.093 | 0.3; 1.242 | 1.036; 0.648 | 1.17; −0.3 | 0.634; −1.093 | −0.3; −1.242 | −1.036; −0.648 |
| 0.9 | −1.17; 0.4 | −0.567; 1.167 | 0.4; 1.242 | 1.103; 0.574 | 1.17; −0.4 | 0.567; −1.167 | −0.4; −1.242 | −1.103; −0.574 |
| Parameter | Group 1-Rest [Mean ± SD] | Group 2-Stress [Mean ± SD] | p-Value |
|---|---|---|---|
| α1 (DFA) | 1.167 ± 0.09 | 0.753 ± 0.14 | <0.0001 |
| α2 (DFA) | 0.945 ± 0.18 | 0.861 ± 0.10 | 0.0760 |
| αall (DFA) | 0.981 ± 0.08 | 0.847 ± 0.02 | <0.0001 |
| Hq=2 (MFDFA) | 0.979 ± 0.02 | 0.851 ± 0.09 | <0.0001 |
| αmin (MFDFA) | 1.45 ± 0.16 | 1.08 ± 0.11 | <0.0001 |
| αmax (MFDFA | 0.63 ± 0.06 | 0.79 ± 0.04 | <0.0001 |
| ∆α = αmax − αmin (MFDFA) | 0.82 ± 0.11 | 0.28 ± 0.18 | <0.0001 |
Disclaimer/Publisher’s Note: The statements, opinions and data contained in all publications are solely those of the individual author(s) and contributor(s) and not of MDPI and/or the editor(s). MDPI and/or the editor(s) disclaim responsibility for any injury to people or property resulting from any ideas, methods, instructions or products referred to in the content. |
© 2025 by the authors. Published by MDPI on behalf of the International Institute of Knowledge Innovation and Invention. Licensee MDPI, Basel, Switzerland. This article is an open access article distributed under the terms and conditions of the Creative Commons Attribution (CC BY) license (https://creativecommons.org/licenses/by/4.0/).
Share and Cite
Lebamovski, P.; Gospodinova, E. Investigating Stress During a Virtual Reality Game Through Fractal and Multifractal Analysis of Heart Rate Variability. Appl. Syst. Innov. 2025, 8, 16. https://doi.org/10.3390/asi8010016
Lebamovski P, Gospodinova E. Investigating Stress During a Virtual Reality Game Through Fractal and Multifractal Analysis of Heart Rate Variability. Applied System Innovation. 2025; 8(1):16. https://doi.org/10.3390/asi8010016
Chicago/Turabian StyleLebamovski, Penio, and Evgeniya Gospodinova. 2025. "Investigating Stress During a Virtual Reality Game Through Fractal and Multifractal Analysis of Heart Rate Variability" Applied System Innovation 8, no. 1: 16. https://doi.org/10.3390/asi8010016
APA StyleLebamovski, P., & Gospodinova, E. (2025). Investigating Stress During a Virtual Reality Game Through Fractal and Multifractal Analysis of Heart Rate Variability. Applied System Innovation, 8(1), 16. https://doi.org/10.3390/asi8010016

