Late-Holocene Sediment Storage in Upland Valley Systems in the Gamo Highlands of Southern Ethiopia
Abstract
1. Introduction
2. Materials and Methods
2.1. Study Area
2.2. Sediment Storage

- —is the volume of sediment (m3)
- —is the area (m2) of the homogeneous floodplain unit i.
- —is the mean depth (m) of sediment along the cross-section(s) representative for homogeneous floodplain unit i.
2.3. Sediment Ages
2.4. Cumulative Probability Functions of Sediment Ages
2.5. Sedimentation Rates
2.6. Sediment Mass Accumulation
3. Results
3.1. Floodplain Sediment Stratigraphy
3.1.1. Chencha Sediment Stratigraphy
3.1.2. Dembelle Sediment Stratigraphy
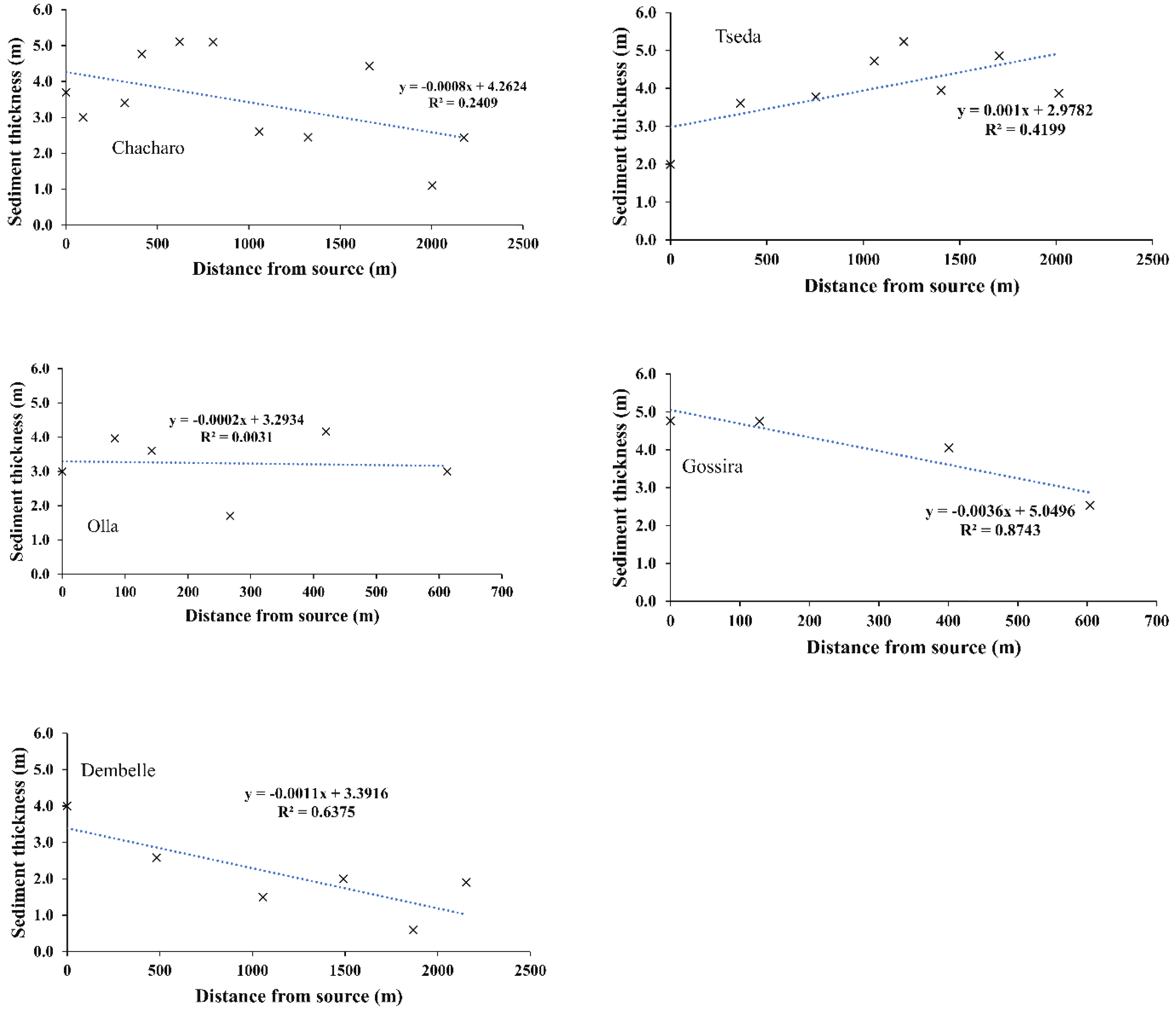
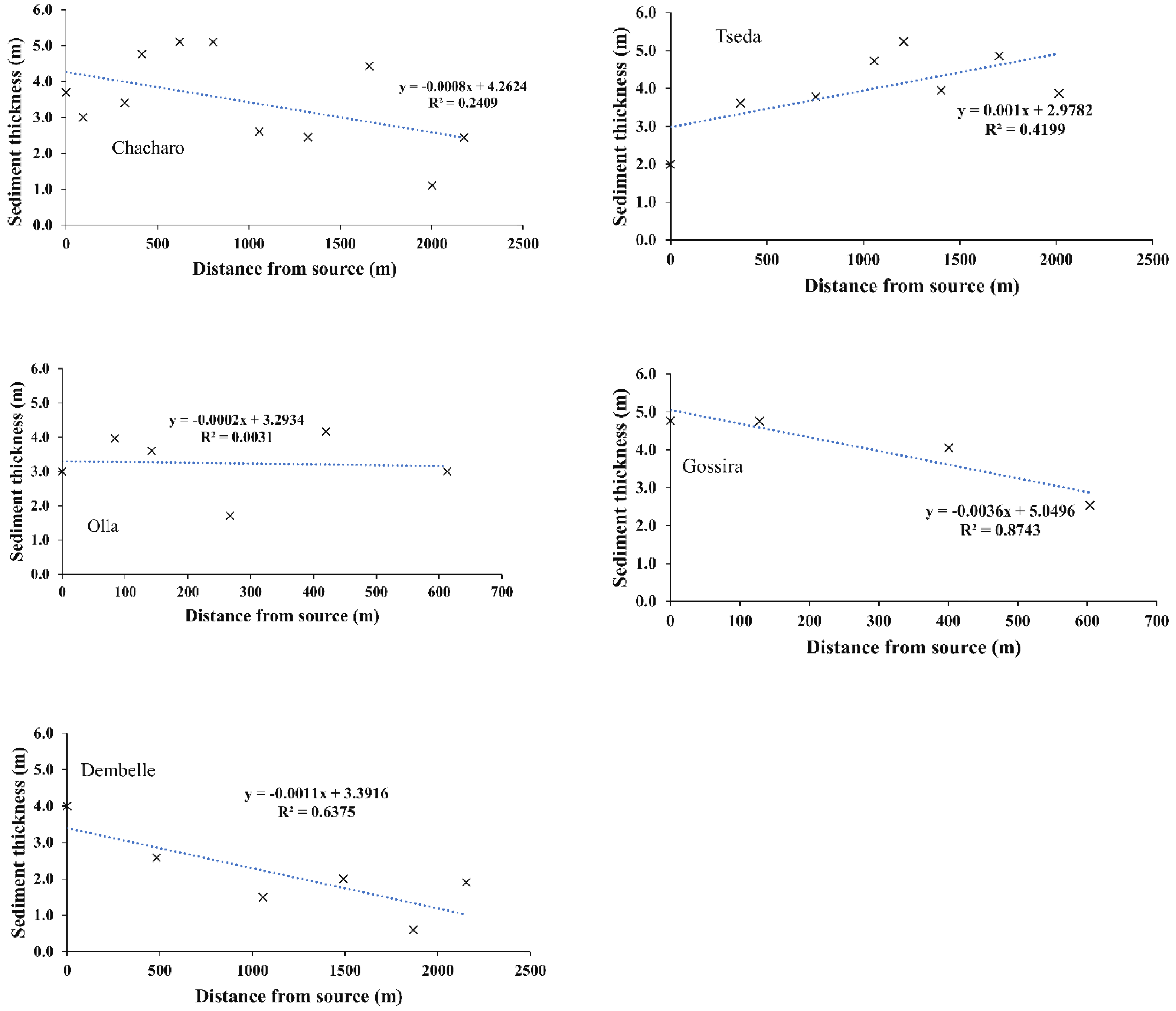
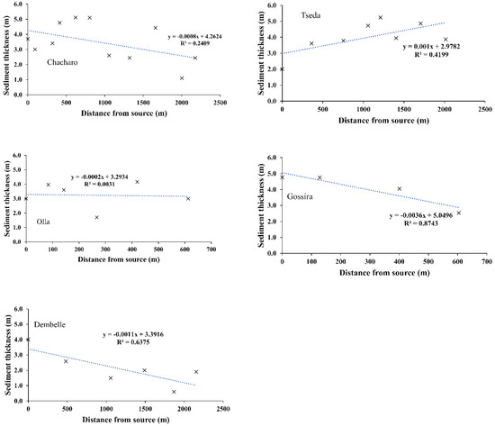
3.2. Sediment Volumes and Masses
3.3. Dating Results
3.4. Cumulative Probability Function
3.5. Floodplain Sedimentation Rates
3.6. Sediment Mass Accumulation
4. Discussion
5. Conclusions
Author Contributions
Funding
Data Availability Statement
Acknowledgments
Conflicts of Interest
Appendix A
| Sample ID | Lab Code | Location | Depth (m) | Material | Conventional Age (14 C a BP) | Calibrated 14 C age (±2σ) |
|---|---|---|---|---|---|---|
| CHCHP2T1D350 | RICH-30112 | Chencha | 3.5 | Wood | 1521 ± 25 | 438–605 AD |
| CHCHP2T5D300 | RICH-30554 | Chencha | 3.0 | Charcoal | 34,897 ± 168 | 38,571–37,681 BC |
| CHCHP2T8D310 | RICH-30104 | Chencha | 3.1 | Charcoal | 1320 ± 22 | 655–775 AD |
| CHCHP3T4D400 | RICH-30127 | Chencha | 4.0 | Bulk sample | 12,843 ± 34 | 13,581–13,251 BC |
| CHCHP4T11D240 | RICH-30128 | Chencha | 2.4 | Wood | 314 ± 21 | 1498–1644 AD |
| CHCHP4T6D260 | RICH-30103 | Chencha | 2.6 | Charcoal | 42,758 ± 131 | 43,706–42,866 BC |
| CHCHP5T2D200 | RICH-30286 | Chencha | 2.0 | Wood | 1841 ± 28 | 123–310 AD |
| CHGOP2T3D180 | RICH-30133 | Chencha | 1.8 | Charcoal | 562 ± 21 | 1322–1422 AD |
| CHGOP3T2D210 | RICH-30135 | Chencha | 2.1 | Bulk sample | 3263 ± 24 | 1612–1454 BC |
| CHGOP3T2D350 | RICH-30342 | Chencha | 3.5 | Bulk sample | 5162 ± 28 | 4045–3818 BC |
| CHGOP3T2D430 | RICH-30287 | Chencha | 4.3 | Charcoal | 13,560 ± 45 | 14,595–14,261 BC |
| CHGOP4T1D110 | RICH-30115 | Chencha | 1.1 | Wood | 1904 ± 23 | 72–212 AD |
| CHOLP3T2D240 | RICH-30343 | Chencha | 2.4 | Charcoal | 5273 ± 27 | 4231–3991 BC |
| CHOLP3T3D100 | RICH-30339 | Chencha | 1.0 | Bulk sample | 295 ± 22 | 1510–1655 AD |
| CHOLP3T3D230 | RICH-30121 | Chencha | 2.3 | Bulk sample | 1832 ± 22 | 128–309 AD |
| CHTSP2T9D290 | RICH-30114 | Chencha | 2.9 | Charcoal | 11,033 ± 41 | 11,132–10,891 BC |
| CHTSP4T8D200 | RICH-30344 | Chencha | 2.0 | Bulk sample | 107 ± 21 | 1690–1923 AD |
| CHTSP4T8D300 | RICH-30288 | Chencha | 3.0 | Wood | 1141 ± 23 | 774–989 AD |
| CHTSP4T8D350 | RICH-30335 | Chencha | 3.5 | Bulk sample | 3627 ± 26 | 2122–1899 BC |
| CHTSP4T8D400 | RICH-30123 | Chencha | 4.0 | Bulk sample | 4430 ± 23 | 3322–2929 BC |
| CHTSP5T2D480 | RICH-30113 | Chencha | 4.8 | Wood | 1911 ± 22 | 65–210 AD |
| CHTSP5T3D340 | RICH-30338 | Chencha | 3.4 | Wood | 889 ± 23 | 1047–1221 AD |
| DEMP10T2D240 | RICH-30336 | Dembelle | 2.4 | Wood | 125.41 ± 0.35 | 1690–1923 AD |
| DEMP10T2D310 | RICH-30340 | Dembelle | 3.1 | Charcoal | 125.13 ± 0.32 | 1690–1923 AD |
| DEMP10T2D400 | RICH-30337 | Dembelle | 4 | Wood | 147 ± 22 | 1669–1728 AD |
| DEMP10T2D540 | RICH-30134 | Dembelle | 5.4 | Charcoal | 99 ± 21 | 1692–1919 AD |
| DEMP21T1D300 | RICH-30132 | Dembelle | 3 | Wood | 26 ± 21 | 1697–1910 AD |
| DEMP21T1D400 | RICH-30119 | Dembelle | 4 | Wood | 164 ± 21 | 1665–1896 AD |
| DEMP34T1D250 | RICH-30116 | Dembelle | 2.5 | Wood | 117 ± 20 | 1685–1928 AD |
| DEMP34T1D580 | RICH-30345 | Dembelle | 5.8 | Wood | 137.94 ± 0.34 | 1683–1930 AD |
Appendix B


References
- Trimble, S.W. Decreased rates of alluvial sediment storage in the Coon Creek Basin, Wisconsin, 1975–1993. Science 1999, 285, 1244–1246. [Google Scholar] [CrossRef] [PubMed]
- Rommens, T.; Verstraeten, G.; Bogman, P.; Peeters, I.; Poesen, J.; Govers, G.; Van Rompaey, A.; Lang, A. Holocene alluvial sediment storage in a small river catchment in the loess area of central Belgium. Geomorphology 2006, 77, 187–201. [Google Scholar] [CrossRef]
- Hoffmann, T.; Erkens, G.; Gerlach, R.; Klostermann, J.; Lang, A. Trends and controls of Holocene floodplain sedimentation in the Rhine catchment. Catena 2009, 77, 96–106. [Google Scholar] [CrossRef]
- Notebaert, B.; Verstraeten, G.; Govers, G.; Poesen, J. Quantification of alluvial sediment storage in contrasting environments: Methodology and error estimation. Catena 2010, 82, 169–182. [Google Scholar] [CrossRef]
- Notebaert, B.; Verstraeten, G.; Rommens, T.; Vanmontfort, B.; Govers, G.; Poesen, J. Establishing a Holocene sediment budget for the river Dijle. Catena 2009, 77, 150–163. [Google Scholar] [CrossRef]
- Macklin, M.; Benito, G.; Gregory, K.; Johnstone, E.; Lewin, J.; Michczyńska, D.; Soja, R.; Starkel, L.; Thorndycraft, V. Past hydrological events reflected in the Holocene fluvial record of Europe. Catena 2006, 66, 145–154. [Google Scholar] [CrossRef]
- Lewin, J.; Macklin, M.G.; Johnstone, E. Interpreting alluvial archives: Sedimentological factors in the British Holocene fluvial record. Quat. Sci. Rev. 2005, 24, 1873–1889. [Google Scholar] [CrossRef]
- Walling, D.E. Linking land use, erosion and sediment yields in river basins. Hydrobiologia 1999, 410, 223–240. [Google Scholar] [CrossRef]
- Walling, D.E.; Collins, A.L. The catchment sediment budget as a management tool. Environ. Sci. Policy 2008, 11, 136–143. [Google Scholar] [CrossRef]
- Tan, Z.; Leung, L.R.; Li, H.Y.; Tesfa, T. Modeling Sediment Yield in Land Surface and Earth System Models: Model Comparison, Development, and Evaluation. J. Adv. Model. Earth Syst. 2018, 10, 2192–2213. [Google Scholar] [CrossRef]
- Hasholt, B.; van As, D.; Mikkelsen, A.B.; Mernild, S.H.; Yde, J.C. Observed sediment and solute transport from the Kangerlussuaq sector of the Greenland Ice Sheet (2006–2016). Arct. Antarct. Alp. Res. 2018, 50, S100009. [Google Scholar] [CrossRef]
- Walling, D.E.; Webb, B.W. Erosion and sediment yield: A global overview. IAHS Publ. 1996, 236, 3–19. [Google Scholar]
- Verstraeten, G.; Rommens, T.; Peeters, I.; Poesen, J.; Govers, G.; Lang, A. A temporarily changing Holocene sediment budget for a loess-covered catchment (central Belgium). Geomorphology 2009, 108, 24–34. [Google Scholar] [CrossRef]
- Hoffmann, T.; Erkens, G.; Cohen, K.M.; Houben, P.; Seidel, J.; Dikau, R. Holocene floodplain sediment storage and hillslope erosion within the Rhine catchment. Holocene 2007, 17, 105–118. [Google Scholar] [CrossRef]
- Notebaert, B.; Berger, J.; Léopold, J. Characterization and quantification of Holocene colluvial and alluvial sediments in the Valdaine Region (southern France). Holocene 2014, 24, 1320–1335. [Google Scholar] [CrossRef]
- Zielhofer, C.; Faust, D. Mid- and Late Holocene fluvial chronology of Tunisia. Quat. Sci. Rev. 2008, 27, 580–588. [Google Scholar] [CrossRef]
- de Moor, J.J.W.; Verstraeten, G. Alluvial and colluvial sediment storage in the Geul River catchment (The Netherlands)—Combining field and modelling data to construct a Late Holocene sediment budget. Geomorphology 2008, 95, 487–503. [Google Scholar] [CrossRef]
- Notebaert, B.; Verstraeten, G.; Vandenberghe, D.; Marinova, E.; Poesen, J.; Govers, G. Changing hillslope and fluvial Holocene sediment dynamics in a Belgian loess catchment. J. Quat. Sci. 2011, 26, 44–58. [Google Scholar] [CrossRef]
- Marston, R.A.; Bravard, J.P.; Green, T. Impacts of reforestation and gravel mining on the Malnant River, Haute-Savoie, French Alps. Geomorphology 2003, 55, 65–74. [Google Scholar] [CrossRef]
- Dusar, B.; Verstraeten, G.; Notebaert, B.; Bakker, J. Holocene environmental change and its impact on sediment dynamics in the eastern mediterranean. Earth-Sci. Rev. 2011, 108, 137–157. [Google Scholar] [CrossRef]
- Darbyshire, I.; Lamb, H.; Umer, M. Forest clearance and regrowth in northern Ethiopia during the last 3000 years. Holocene 2003, 13, 537–546. [Google Scholar] [CrossRef]
- Nyssen, J.; Poesen, J.; Moeyersons, J.; Deckers, J.; Haile, M.; Lang, A. Human impact on the environment in the Ethiopian and Eritrean highlands—A state of the art. Earth-Sci. Rev. 2004, 64, 273–320. [Google Scholar] [CrossRef]
- Arthur, J.W.; Curtis, M.C.; Arthur, K.J.W.; Coltorti, M.; Pieruccini, P.; Lesur, J.; Fuller, D.; Lucas, L.; Conyers, L.; Stock, J.; et al. The Transition from Hunting–Gathering to Food Production in the Gamo Highlands of Southern Ethiopia. Afr. Archaeol. Rev. 2019, 36, 5–65. [Google Scholar] [CrossRef]
- Coltorti, M.; Pieruccini, P.; Arthur, K.J.W.; Arthur, J.; Curtis, M. Geomorphology, soils and palaeosols of the Chencha area (Gamo Gofa, south western Ethiopian Highlands). J. Afr. Earth Sci. 2019, 151, 225–240. [Google Scholar] [CrossRef]
- Bronk Ramsey, C.; Michael, D.; Sharen, L.; Nakagawa, T.; Staff, R.A. Developments in the Calibration and modeling of radiocarbon dates. Radiocarbon 2010, 52, 953–961. [Google Scholar] [CrossRef]
- Hoffmann, T.; Lang, A.; Dikau, R. Holocene River activity: Analysing 14C-dated fluvial and colluvial sediments from Germany. Quat. Sci. Rev. 2008, 27, 2031–2040. [Google Scholar] [CrossRef]
- Chiverrell, R.C.; Thorndycraft, V.R.; Hoffmann, T.O. Cumulative probability functions and their role in evaluating the chronology of geomorphological events during the Holocene. J. Quat. Sci. 2011, 26, 76–85. [Google Scholar] [CrossRef]
- Dusar, B.; Verstraeten, G.; D’Haen, K.; Bakker, J.; Kaptijn, E.; Waelkens, M. Sensitivity of the Eastern Mediterranean geomorphic system towards environmental change during the Late Holocene: A chronological perspective. J. Quat. Sci. 2012, 27, 371–382. [Google Scholar] [CrossRef]
- Rommens, T.; Verstraeten, G.; Lang, A.; Poesen, J.; Govers, G.; Van Rompaey, A.; Peeters, I. Soil erosion and sediment deposition in the Belgian loess belt during the Holocene: Establishing a sediment budget for a small agricultural catchment. Holocene 2005, 15, 1032–1043. [Google Scholar] [CrossRef]
- Assefa, E.; Bork, H.R. Deforestation and forest management in Southern Ethiopia: Investigations in the Chencha and Arbaminch areas. Environ. Manag. 2014, 53, 284–299. [Google Scholar] [CrossRef]
- Tsige, G. Holocene Environmental History of Lake Chamo, South Ethiopia. Ph.D. Thesis, Universität zu Köln, Cologne, Germany, 2015. [Google Scholar]
- Kiage, L.M.; Liu, K.B. Late Quaternary paleoenvironmental changes in East Africa: A review of multiproxy evidence from palynology, lake sediments, and associated records. Prog. Phys. Geogr. 2006, 30, 633–658. [Google Scholar] [CrossRef]
- Njagi, D.M.; Routh, J.; Olago, D.; Gayantha, K. A multi-proxy reconstruction of the late Holocene climate evolution in the Kapsabet Swamp, Kenya (East Africa). Paleogeography Palaeoclimatol. Paleoecol. 2021, 574, 110475. [Google Scholar] [CrossRef]
- FAO. Ethiopian Highlands Reclamation Study; Final Report of Food and Agricultural Organization; FAO: Rome, Italy, 1986. [Google Scholar]
- Hurni, H. Erosion–productivity–conservation systems in Ethiopia. In Proceedings of the IV International Conference on Soil Conservation, Maracay, Venezuela, 3–9 November 1985; pp. 654–674. [Google Scholar]
- Hurni, H. Degradation and Conservation of the Resources in the Ethiopian Highlands. Mt. Res. Dev. 1988, 8, 123–130. [Google Scholar] [CrossRef]

















| Location | Sub-Catchment | Catchment Area (ha) | Floodplain Area (ha) | Sediment Volume (M m−3) | Sediment Mass (Mt) | Floodplain Sediment Storage per Unit Catchment Area (kt/ha) |
|---|---|---|---|---|---|---|
| Chencha | Chacharo | 151 | 22 | 0.49 ± 0.03 | 0.59 ± 0.07 | 3.95 ± 0.48 |
| Tseda | 155 | 17 | 0.41 ± 0.03 | 0.49 ± 0.06 | 3.19 ± 0.38 | |
| Olla | 32 | 3 | 0.04 ± 0.01 | 0.05 ± 0.01 | 1.71 ± 0.39 | |
| Gossira | 40 | 6 | 0.13 ± 0.01 | 0.16 ± 0.02 | 4.03 ± 0.48 | |
| Total | 379 | 47 | 1.09 ± 0.14 | 1.31 ± 0.10 | 3.22 ± 0.33 | |
| Dembelle | Dembelle | 4953 | 400 | 13.66 ± 0.43 | 18.61 ± 1.11 | 3.76 ± 0.22 |
| Scenario: Increase from | ME | RMSE |
|---|---|---|
| 1800 AD (with a 13 mm a−1 increasing to present) | 0.340 | 1.34 |
| 1900 AD (with a 17 mm a−1 increasing to present) | 0.339 | 1.35 |
| Scenario: Increase from | ME | RMSE |
|---|---|---|
| 0 BC (with a 12.5 mm a−1 increasing for 1800 years) | 0.76 | 1.34 |
| 200 AD (with a 17.5 mm a−1 increasing for 1000 years) | 0.81 | 1.18 |
| 500 AD (with a 20 mm a−1 increasing for 600 years) | 0.74 | 1.39 |
| 1800 AD (with a 2.5 mm a−1 s increasing to present) | 0.78 | 1.28 |
Publisher’s Note: MDPI stays neutral with regard to jurisdictional claims in published maps and institutional affiliations. |
© 2022 by the authors. Licensee MDPI, Basel, Switzerland. This article is an open access article distributed under the terms and conditions of the Creative Commons Attribution (CC BY) license (https://creativecommons.org/licenses/by/4.0/).
Share and Cite
Tilahun, A.K.; Verstraeten, G.; Chen, M.; Gulie, G.; Augustijns, F.; Swinnen, W. Late-Holocene Sediment Storage in Upland Valley Systems in the Gamo Highlands of Southern Ethiopia. Quaternary 2022, 5, 46. https://doi.org/10.3390/quat5040046
Tilahun AK, Verstraeten G, Chen M, Gulie G, Augustijns F, Swinnen W. Late-Holocene Sediment Storage in Upland Valley Systems in the Gamo Highlands of Southern Ethiopia. Quaternary. 2022; 5(4):46. https://doi.org/10.3390/quat5040046
Chicago/Turabian StyleTilahun, Alemayehu Kasaye, Gert Verstraeten, Margaret Chen, Guchie Gulie, Femke Augustijns, and Ward Swinnen. 2022. "Late-Holocene Sediment Storage in Upland Valley Systems in the Gamo Highlands of Southern Ethiopia" Quaternary 5, no. 4: 46. https://doi.org/10.3390/quat5040046
APA StyleTilahun, A. K., Verstraeten, G., Chen, M., Gulie, G., Augustijns, F., & Swinnen, W. (2022). Late-Holocene Sediment Storage in Upland Valley Systems in the Gamo Highlands of Southern Ethiopia. Quaternary, 5(4), 46. https://doi.org/10.3390/quat5040046

