The Role of Impulse Oscillometry in Detection of Preserved Ratio Impaired Spirometry (PRISm)
Abstract
Highlights
- The R5-R20 variable in impulse oscillometry showed an acceptable performance for detecting PRISm.
- PRISm may be detected by impulse oscillometry (IOS) especially in subjects who cannot perform spirometry.
Abstract
1. Introduction
2. Materials and Methods
2.1. Study Procedures
2.2. Definition
2.3. Spirometry and Impulse Oscillometry (IOS)
2.4. Statistical Analysis
3. Results
4. Discussion
5. Conclusions
Author Contributions
Funding
Institutional Review Board Statement
Informed Consent Statement
Data Availability Statement
Acknowledgments
Conflicts of Interest
References
- Wan, E.S.; Castaldi, P.J.; Cho, M.H.; Hokanson, J.E.; Regan, E.A.; Make, B.J.; Beaty, T.H.; Han, M.K.; Curtis, J.L.; Curran-Everett, D.; et al. Epidemiology, genetics, and subtyping of preserved ratio impaired spirometry (PRISm) in COPDGene. Respir. Res. 2014, 15, 89. [Google Scholar] [CrossRef] [PubMed]
- Wan, E.S.; Balte, P.; Schwartz, J.E.; Bhatt, S.P.; Cassano, P.A.; Couper, D.; Daviglus, M.L.; Dransfield, M.T.; Gharib, S.A.; Jacobs, D.R.; et al. Association Between Preserved Ratio Impaired Spirometry and Clinical Outcomes in US Adults. JAMA 2021, 326, 2287–2298. [Google Scholar] [CrossRef]
- Higbee, D.H.; Granell, R.; Davey Smith, G.; Dodd, J.W. Prevalence, risk factors, and clinical implications of preserved ratio impaired spirometry: A UK Biobank cohort analysis. Lancet Respir. Med. 2022, 10, 149–157. [Google Scholar] [CrossRef]
- Marott, J.L.; Ingebrigtsen, T.S.; Çolak, Y.; Vestbo, J.; Lange, P. Trajectory of preserved ratio impaired spirometry: Natural history and long-term prognosis. Am. J. Respir. Crit. Care Med. 2021, 204, 910–920. [Google Scholar] [CrossRef]
- Kanetake, R.; Takamatsu, K.; Park, K.; Yokoyama, A. Prevalence and risk factors for COPD in subjects with preserved ratio impaired spirometry. BMJ Open Respir. Res. 2022, 9, e001298. [Google Scholar] [CrossRef]
- Young, K.A.; Strand, M.; Ragland, M.F.; Kinney, G.L.; Austin, E.E.; Regan, E.A.; Lowe, K.E.; Make, B.J.; Silverman, E.K.; Crapo, J.D.; et al. Pulmonary Subtypes Exhibit Differential Global Initiative for Chronic Obstructive Lung Disease Spirometry Stage Progression: The COPDGene® Study. Chronic Obstr. Pulm. Dis. 2019, 6, 414–429. [Google Scholar] [CrossRef] [PubMed]
- Young, K.A.; Regan, E.A.; Han, M.K.; Lutz, S.M.; Ragland, M.; Castaldi, P.J.; Washko, G.R.; Cho, M.H.; Strand, M.; Curran-Everett, D.; et al. Subtypes of COPD Have Unique Distributions and Differential Risk of Mortality. Chronic Obstr. Pulm. Dis. 2019, 6, 400–413. [Google Scholar] [CrossRef] [PubMed]
- Li, M.; Chen, M.; Li, Y.; Liu, Z.; Li, X.; Lang, X.; Hu, B.; Li, W. Association of preserved ratio impaired spirometry with mortality and cardiovascular diseases: A systematic review and meta-analysis. Syst. Rev. 2024, 13, 171. [Google Scholar] [CrossRef]
- Zhao, N.; Wu, F.; Peng, J.; Zheng, Y.; Tian, H.; Yang, H.; Deng, Z.; Wang, Z.; Li, H.; Wen, X.; et al. Preserved ratio impaired spirometry is associated with small airway dysfunction and reduced total lung capacity. Respir. Res. 2022, 23, 298. [Google Scholar] [CrossRef]
- Huang, J.; Li, W.; Sun, Y.; Huang, Z.; Cong, R.; Yu, C.; Tao, H. Preserved Ratio Impaired Spirometry (PRISm): A Global Epidemiological Overview, Radiographic Characteristics, Comorbid Associations, and Differentiation from Chronic Obstructive Pulmonary Disease. Int. J. Chron. Obs. Pulmon Dis. 2024, 19, 753–764. [Google Scholar] [CrossRef]
- Schwartz, A.; Arnold, N.; Skinner, B.; Simmering, J.; Eberlein, M.; Comellas, A.P.; Fortis, S. Preserved Ratio Impaired Spirometry in a Spirometry Database. Respir. Care 2021, 66, 58–65. [Google Scholar] [CrossRef] [PubMed]
- Siddharthan, T.; Grigsby, M.; Miele, C.H.; Bernabe-Ortiz, A.; Miranda, J.J.; Gilman, R.H.; Wise, R.A.; Porter, J.C.; Hurst, J.R.; Checkley, W.; et al. Prevalence and risk factors of restrictive spirometry in a cohort of Peruvian adults. Int. J. Tuberc. Lung Dis. 2017, 21, 1062–1068. [Google Scholar] [CrossRef] [PubMed]
- Wijnant, S.R.A.; De Roos, E.; Kavousi, M.; Stricker, B.H.; Terzikhan, N.; Lahousse, L.; Brusselle, G.G. Trajectory and mortality of preserved ratio impaired spirometry: The Rotterdam Study. Eur. Respir. J. 2020, 55, 1901217. [Google Scholar] [CrossRef]
- King, G.G.; Bates, J.; Berger, K.I.; Calverley, P.; de Melo, P.L.; Dellacà, R.L.; Farre, R.; Hall, G.; Ioan, I.; Irvin, C.G.; et al. Technical standards for respiratory oscillometry. Eur. Respir. J. 2020, 55, 1900753. [Google Scholar] [CrossRef]
- Desai, U.; Joshi, J.M. Impulse oscillometry. Adv. Respir. Med. 2019, 87, 235–238. [Google Scholar] [CrossRef]
- Giraud, V.; Beauchet, A.; Gomis, T.; Chinet, T. Feasibility of spirometry in primary care to screen for COPD: A pilot study. Int. J. Chron. Obs. Pulmon Dis. 2016, 11, 335–340. [Google Scholar] [CrossRef][Green Version]
- Pothirat, C.; Chaiwong, W.; Phetsuk, N. Quality Assurance of Spirometry for COPD Clinic Accreditation in Thailand. J. Med. Assoc. Thai. 2016, 99, 1167–1172. [Google Scholar]
- Chaiwong, W.; Namwongprom, S.; Liwsrisakun, C.; Pothirat, C. Diagnostic Ability of Impulse Oscillometry in Diagnosis of Chronic Obstructive Pulmonary Disease. COPD J. Chronic Obstr. Pulm. Dis. 2020, 17, 635–646. [Google Scholar] [CrossRef]
- Ding, Q.; Mi, B.B.; Wei, X.; Li, J.; Mi, J.Y.; Ren, J.T.; Li, R.-L. Small Airway Dysfunction in Chronic Bronchitis with Preserved Pulmonary Function. Can. Respir. J. 2022, 2022, 4201786. [Google Scholar] [CrossRef]
- Deesomchok, A.; Chaiwong, W.; Liwsrisakun, C.; Namwongprom, S.; Pothirat, C. Reference equations of the impulse oscillatory in healthy Thai adults. J. Thorac. Dis. 2022, 14, 1384–1392. [Google Scholar] [CrossRef]
- Chaiwong, W.; Deesomchok, A.; Pothirat, C.; Liwsrisakun, C.; Duangjit, P.; Bumroongkit, C.; Theerakittikul, T.; Limsukon, A.; Tajarernmuang, P.; Trongtrakul, K.; et al. The long-term impact of COVID-19 pneumonia on pulmonary function and exercise capacity. J. Thorac. Dis. 2023, 15, 4725–4735. [Google Scholar] [CrossRef] [PubMed]
- Chaiwong, W.; Namwongprom, S.; Liwsrisakun, C.; Pothirat, C. The roles of impulse oscillometry in detection of poorly controlled asthma in adults with normal spirometry. J. Asthma. 2022, 59, 561–571. [Google Scholar] [CrossRef] [PubMed]
- Stanojevic, S.; Kaminsky, D.A.; Miller, M.R.; Thompson, B.; Aliverti, A.; Barjaktarevic, I.; Cooper, B.G.; Culver, B.; Derom, E.; Hall, G.L.; et al. ERS/ATS technical standard on interpretive strategies for routine lung function tests. Eur. Respir. J. 2022, 60, 2101499. [Google Scholar] [CrossRef]
- Agustí, A.; Celli, B.R.; Criner, G.J.; Halpin, D.; Anzueto, A.; Barnes, P.; Bourbeau, J.; Han, M.K.; Martinez, F.J.; de Oca, M.M.; et al. Global Initiative for Chronic Obstructive Lung Disease 2023 Report: GOLD Executive Summary. Eur. Respir. J. 2023, 61, 2300239. [Google Scholar] [CrossRef]
- Quanjer, P.H.; Stanojevic, S.; Cole, T.J.; Baur, X.; Hall, G.L.; Culver, B.H.; Enright, P.L.; Hankinson, J.L.; Ip, M.S.M.; Zheng, J.; et al. Multi-ethnic reference values for spirometry for the 3–95-yr age range: The global lung function 2012 equations. Eur. Respir. J. 2012, 40, 1324–1343. [Google Scholar] [CrossRef]
- Altman, D.G. Practical Statistics for Medical Research; Chapman and Hall: London, UK, 1991. [Google Scholar]
- Pothirat, C.; Chaiwong, W.; Phetsuk, N.; Liwsrisakun, C. Misidentification of airflow obstruction: Prevalence and clinical significance in an epidemiological study. Int. J. Chron. Obs. Pulmon Dis. 2015, 10, 535–540. [Google Scholar] [CrossRef]
- Cerveri, I.; Corsico, A.G.; Accordini, S.; Niniano, R.; Ansaldo, E.; Antó, J.M.; Künzli, N.; Janson, C.; Sunyer, J.; Jarvis, D.; et al. Underestimation of airflow obstruction among young adults using FEV1/FVC < 70% as a fixed cut-off: A longitudinal evaluation of clinical and functional outcomes. Thorax 2008, 63, 1040–1045. [Google Scholar]
- Hsia, C.C.; Raskin, P. Lung function changes related to diabetes mellitus. Diabetes Technol. Ther. 2007, 9 (Suppl. S1), S-73–S-82. [Google Scholar] [CrossRef]
- Sang, L.; Gong, X.; Huang, Y.; Sun, J. Proportions and risk factors of chronic obstructive pulmonary disease and preserved ratio impaired spirometry, and association with small airway disease, in the positive screening older population from China: A cross-sectional study. BMC Pulm. Med. 2024, 24, 114. [Google Scholar] [CrossRef]


| Clinical Characteristics | PRISm LLN Criteria (n = 17) | COPD LLN Criteria (n = 67) | Healthy Subjects (n = 80) | p-Value |
|---|---|---|---|---|
| Age (year) | 47.7 ± 19.8 | 69.1 ± 8.5 * | 52.2 ± 15.8 # | <0.001 |
| Male sex, n (%) | 7 (41.2) | 59 (88.1) * | 41 (51.2) # | <0.001 |
| Height (cm) | 158.5 ± 9.0 | 158.9 ± 7.0 | 158.9 ± 8.6 | 0.970 |
| Body weight (kg) | 73.4 ± 22.1 | 54.4 ± 12.4 * | 61.5 ± 12.5 * | <0.001 |
| Body mass index (BMI, kg/m2) | 28.9 ± 7.1 | 22.6 ± 4.4 * | 24.2 ± 3.6 *,# | <0.001 |
| Smoking status | <0.001 | |||
| Non-smoker | 13 (76.5) | 0 (0.0) * | 80 (100.0) # | |
| Ex-smoker | 4 (23.5) | 65 (97.0) * | 0 (0.0) | |
| Current-smoker | 0 (0.0) | 2 (3.0) | 0 (0.0) | |
| Smoking pack-year (median, IQR) | 0.0 (0.0, 0.0) | 25.0 (16.4, 42.0) * | 0.0 (0.0, 0.0)# | <0.001 |
| Comorbidities, n (%) | ||||
| Cardiovascular disease | 11 (64.7) | 40 (59.7) | 11 (13.8) *,# | <0.001 |
| Metabolic disease | 4 (23.5) | 13 (19.4) | 1 (1.2) *,# | <0.001 |
| Neuromuscular disease | 1 (5.9) | 6 (9.0) | 0 (0.0) # | 0.026 |
| Clinical Characteristics | PRISm FR Criteria (n = 40) | COPD FR Criteria (n = 70) | Healthy Subjects (n = 80) | p-Value |
|---|---|---|---|---|
| Age (year) | 54.8 ± 16.3 | 69.3 ± 8.5 * | 52.2 ± 15.8 # | <0.001 |
| Male sex, n (%) | 18 (45.0) | 62 (88.6) * | 41 (51.2) # | <0.001 |
| Height (cm) | 158.0 ± 9.4 | 159.1 ± 7.0 | 158.9 ± 8.6 | 0.774 |
| Body weight (kg) | 66.1 ± 14.1 | 57.5 ± 12.8 * | 61.5 ± 12.5 | 0.004 |
| Body mass index (BMI, kg/m2) | 26.4 ± 4.8 | 22.6 ± 4.4 * | 24.2 ± 3.6 *,# | <0.001 |
| Smoking status | <0.001 | |||
| Non-smoker | 33 (82.5) | 0 (0.0) * | 80 (100.0) *,# | |
| Ex-smoker | 7 (17.5) | 68 (97.1) * | 0 (0.0) | |
| Current-smoker | 0 (0.0) | 2 (2.9) | 0 (0.0) | |
| Smoking pack-year (median, IQR) | 0.0 (0.0, 0.0) | 25.4 (16.4, 42.5) * | 0.0 (0.0, 0.0) # | <0.001 |
| Comorbidities, n (%) | ||||
| Cardiovascular disease | 13 (32.5) | 42 (60.0) * | 11 (13.8) *,# | <0.001 |
| Metabolic disease | 7 (17.5) | 14 (20.0) | 1 (1.2) *,# | 0.001 |
| Neuromuscular disease | 2 (5.0) | 6 (8.6) | 0 (0.0) # | 0.032 |
| Spirometry Data (Pre-Bronchodilator) | PRISm LLN Criteria (n = 17) | COPD LLN Criteria (n = 67) | Healthy Subjects (n = 80) | p-Value |
|---|---|---|---|---|
| FVC (Liter) | 2.18 ± 0.57 | 2.35 ± 0.64 | 3.09 ± 0.82 *,# | <0.001 |
| %predicted FVC | 71.5 ± 7.4 | 82.2 ± 18.8 | 100.1 ± 15.1 *,# | <0.001 |
| z-score of FVC | −2.03 ± 0.51 | −1.09 ± 1.14 * | 0.09 ± 0.09 *,# | <0.001 |
| FEV1 (Liter) | 1.81 ± 0.58 | 1.36 ± 0.46 | 2.53 ± 0.71 *,# | <0.001 |
| %predicted FEV1 | 69.8 ± 7.5 | 59.8 ± 18.5 | 99.8 ± 12.1 *,# | <0.001 |
| z-score of FEV1 | −2.05 ± 0.37 | −2.27 ± 1.01 | −0.02 ± 0.81 *,# | <0.001 |
| FEV1/FVC (%) | 82.2 ± 7.1 | 57.4 ± 9.0 * | 81.6 ± 5.5 # | <0.001 |
| z-score of FEV1/FVC | −0.28 ± 0.76 | −2.88 ± 1.09 * | −0.17 ± 0.75 # | <0.001 |
| FEF25-75% (Liter/sec) | 2.19 ± 1.38 | 0.64 ± 0.28 * | 2.78 ± 1.12 *,# | <0.001 |
| %predicted FEF25-75% | 74.6 ± 22.4 | 31.3 ± 13.7 * | 102.3 ± 24.1 *,# | <0.001 |
| z-score of FEF25-75% | −0.99 ± 0.87 | −2.50 ± 0.79 * | 0.04 ± 0.84 *,# | <0.001 |
| IOS parameters (Pre-bronchodilator) | ||||
| R5 (cmH2O/L/s) | 4.48 ± 1.79 | 4.78 ± 1.60 | 3.77 ± 1.31 # | <0.001 |
| % predicted R5 | 99.7 ± 33.9 | 158.3 ± 59.2 * | 99.8 ± 25.3 # | <0.001 |
| R20 (cmH2O/L/s) | 3.22 ± 1.24 | 3.11 ± 0.98 | 3.13 ± 0.95 | 0.923 |
| % predicted R20 | 88.3 ± 28.8 | 121.3 ± 34.8 * | 98.6 ± 20.5 # | <0.001 |
| R5-R20 (cmH2O/L/s) (median, IQR) | 0.96 (0.76, 1.72) | 1.57 (0.86, 2.12) * | 0.58 (0.25, 0.88) *,# | <0.001 |
| % predicted R5-R20 (median, IQR) | 175.9 (108.9, 271.3) | 282.1 (171.8, 412.8) * | 98.5 (51.5, 161.4) *,# | <0.001 |
| X5 (cmH2O/L/s) (median, IQR) | −0.93 (−2.03, −0.65) | −1.96 (−2.68, −1.34) * | −0.98 (−1.36, −0.54) # | <0.001 |
| % predicted X5 (median, IQR) | 99.6 (53.5, 204.1) | 189.9 (141.1, 279.8) * | 95.5 (59.9, 138.3) # | <0.001 |
| Fres (Hz) | 16.2 ± 5.8 | 22.9 ± 5.5 * | 12.8 ± 4.2 # | <0.001 |
| % predicted Fres | 117.0 ± 33.4 | 169.3 ± 47.7 * | 100.8 ± 28.4 # | <0.001 |
| AX (cmH2O/L) (median, IQR) | 4.76 (3.35, 12.11) | 17.10 (8.99, 26.12) * | 3.96 (2.13, 5.99) # | <0.001 |
| % predicted AX (median, IQR) | 167.1 (124.9, 244.3) | 459.7 (234.9, 779.0) * | 116.9 (61.8, 186.5) # | <0.001 |
| Spirometry Data (Pre-Bronchodilator) | PRISm FR Criteria (n = 40) | COPD FR Criteria (n = 70) | Healthy Subjects (n = 80) | p-Value |
|---|---|---|---|---|
| FVC (Liter) | 2.27 ± 0.63 | 2.38 ± 0.64 | 3.09 ± 0.82 *,# | <0.001 |
| %predicted FVC | 77.5 ± 8.6 | 82.8 ± 19.1 | 100.1 ± 15.1 *,# | <0.001 |
| z-score of FVC | −1.54 ± 0.66 | −1.06 ± 1.16 | 0.09 ± 0.09 *,# | <0.001 |
| FEV1 (Liter) | 1.79 ± 0.53 | 1.39 ± 0.46 * | 2.53 ± 0.71 *,# | <0.001 |
| %predicted FEV1 | 73.5 ± 6.6 | 60.8 ± 18.9 * | 99.8 ± 12.1 *,# | <0.001 |
| z-score of FEV1 | −1.70 ± 0.52 | −2.22 ± 1.04 * | −0.02 ± 0.81 *,# | <0.001 |
| FEV1/FVC (%) | 78.8 ± 6.3 | 57.8 ± 9.1 * | 81.6 ± 5.5 # | <0.001 |
| z-score of FEV1/FVC | −0.60 ± 0.79 | −2.82 ± 1.10 * | −0.17 ± 0.75 # | <0.001 |
| FEF25-75% (Liter/sec) | 1.79 ± 0.98 | 0.66 ± 0.29 * | 2.78 ± 1.12 *,# | <0.001 |
| %predicted FEF25-75% | 68.9 ± 19.6 | 32.4 ± 14.6 * | 102.3 ± 24.1 *,# | <0.001 |
| z-score of FEF25-75% | −1.14 ± 0.71 | −2.45 ± 0.82 * | 0.04 ± 0.84 *,# | <0.001 |
| IOS parameters (Pre-bronchodilator) | ||||
| R5 (cmH2O/L/s) | 4.63 ± 1.83 | 4.67 ± 1.65 | 3.77 ± 1.31 # | 0.001 |
| % predicted R5 | 113.1 ± 49.5 | 155.6 ± 59.7 * | 99.8 ± 25.3 # | <0.001 |
| R20 (cmH2O/L/s) | 3.38 ± 1.23 | 3.06 ± 0.99 | 3.13 ± 0.95 | 0.278 |
| % predicted R20 | 101.5 ± 47.8 | 120.1 ± 35.2 * | 98.6 ± 20.5 # | <0.001 |
| R5-R20 (cmH2O/L/s) (median, IQR) | 0.89 (0.61, 1.69) | 1.54 (0.84, 2.11) * | 0.58 (0.25, 0.88) *,# | <0.001 |
| % predicted R5-R20 (median, IQR) | 160.4 (104.4, 279.1) | 263.2 (157.8, 408.2) * | 98.5 (51.5, 161.4) *,# | <0.001 |
| X5 (cmH2O/L/s) (median, IQR) | −1.12 (−1.98, −0.58) | −1.95 (−2.68, −1.31) * | −0.98 (−1.36, −0.54) # | <0.001 |
| % predicted X5 (median, IQR) | 112.6 (73.2, 178.1) | 189.0 (140.9, 276.8) * | 95.5 (59.9, 138.3) # | <0.001 |
| Fres (Hz) | 17.1 ± 6.4 | 22.5 ± 5.7 * | 12.8 ± 4.2 *,# | <0.001 |
| % predicted Fres | 122.2 ± 35.1 | 166.5 ± 48.7 * | 100.8 ± 28.4 *,# | <0.001 |
| AX (cmH2O/L) (median, IQR) | 5.36 (2.54, 13.40) | 16.10 (7.16, 25.25) * | 3.96 (2.13, 5.99) | <0.001 |
| % predicted AX (median, IQR) | 144.5 (91.0, 285.1) | 441.1 (213.9, 776.4) * | 116.9 (61.8, 186.5) | <0.001 |
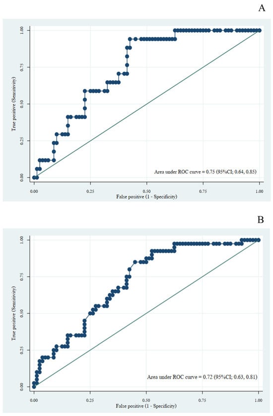
| IOS Variables | AUC | 95%CI |
|---|---|---|
| Detection of PRISm using the LLN criteria | ||
| %predicted of R5-R20 | 0.75 | 0.64, 0.85 |
| %predicted of AX | 0.66 | 0.51, 0.81 |
| %predicted of Fres | 0.65 | 0.51, 0.79 |
| %predicted of X5 | 0.54 | 0.36, 0.73 |
| %predicted of R5 | 0.54 | 0.37, 0.70 |
| %predicted of R20 | 0.41 | 0.26, 0.59 |
| Detection of PRISm using the FR criteria | ||
| %predicted of R5-R20 | 0.72 | 0.63, 0.81 |
| %predicted of AX | 0.61 | 0.49, 0.73 |
| %predicted of Fres | 0.67 | 0.57, 0.77 |
| %predicted of X5 | 0.61 | 0.49, 0.73 |
| %predicted of R5 | 0.58 | 0.47, 0.69 |
| %predicted of R20 | 0.47 | 0.35, 0.58 |
| %Predicted of R5-R20 | Cut-Off Value | Sensitivity (95% CI) | Specificity (95% CI) | +LR (95% CI) | −LR (95% CI) | Odd Ratio (95% CI) |
|---|---|---|---|---|---|---|
| Detection of PRISm using the LLN criteria | ||||||
| %predicted of R5-R20 | ≥120 | 70.6 (44.0, 89.7) | 60.0 (48.4, 70.8) | 1.76 (1.17, 2.65) | 0.49 (0.23, 1.05) | 3.6 (1.2, 10.8) |
| Detection of PRISm using the FR criteria | ||||||
| %predicted of R5-R20 | ≥120 | 67.5 (50.9, 81.4) | 60.0 (48.4, 70.8) | 1.69 (1.20, 2.38) | 0.54 (0.34, 0.88) | 3.1(1.4, 6.9) |
Disclaimer/Publisher’s Note: The statements, opinions and data contained in all publications are solely those of the individual author(s) and contributor(s) and not of MDPI and/or the editor(s). MDPI and/or the editor(s) disclaim responsibility for any injury to people or property resulting from any ideas, methods, instructions or products referred to in the content. |
© 2025 by the authors. Published by MDPI on behalf of the Polish Respiratory Society. Licensee MDPI, Basel, Switzerland. This article is an open access article distributed under the terms and conditions of the Creative Commons Attribution (CC BY) license (https://creativecommons.org/licenses/by/4.0/).
Share and Cite
Liwsrisakun, C.; Chaiwong, W.; Deesomchok, A.; Duangjit, P.; Pothirat, C. The Role of Impulse Oscillometry in Detection of Preserved Ratio Impaired Spirometry (PRISm). Adv. Respir. Med. 2025, 93, 2. https://doi.org/10.3390/arm93010002
Liwsrisakun C, Chaiwong W, Deesomchok A, Duangjit P, Pothirat C. The Role of Impulse Oscillometry in Detection of Preserved Ratio Impaired Spirometry (PRISm). Advances in Respiratory Medicine. 2025; 93(1):2. https://doi.org/10.3390/arm93010002
Chicago/Turabian StyleLiwsrisakun, Chalerm, Warawut Chaiwong, Athavudh Deesomchok, Pilaiporn Duangjit, and Chaicharn Pothirat. 2025. "The Role of Impulse Oscillometry in Detection of Preserved Ratio Impaired Spirometry (PRISm)" Advances in Respiratory Medicine 93, no. 1: 2. https://doi.org/10.3390/arm93010002
APA StyleLiwsrisakun, C., Chaiwong, W., Deesomchok, A., Duangjit, P., & Pothirat, C. (2025). The Role of Impulse Oscillometry in Detection of Preserved Ratio Impaired Spirometry (PRISm). Advances in Respiratory Medicine, 93(1), 2. https://doi.org/10.3390/arm93010002

