Constructing a Nomogram Model to Estimate the Risk of Ventilator-Associated Pneumonia for Elderly Patients in the Intensive Care Unit
Abstract
Highlights
- The predictors included in the final nomogram model were hypoproteinemia, long-term combined antibiotic use, intubation times, mechanical ventilation days, and tracheotomy/intubation.
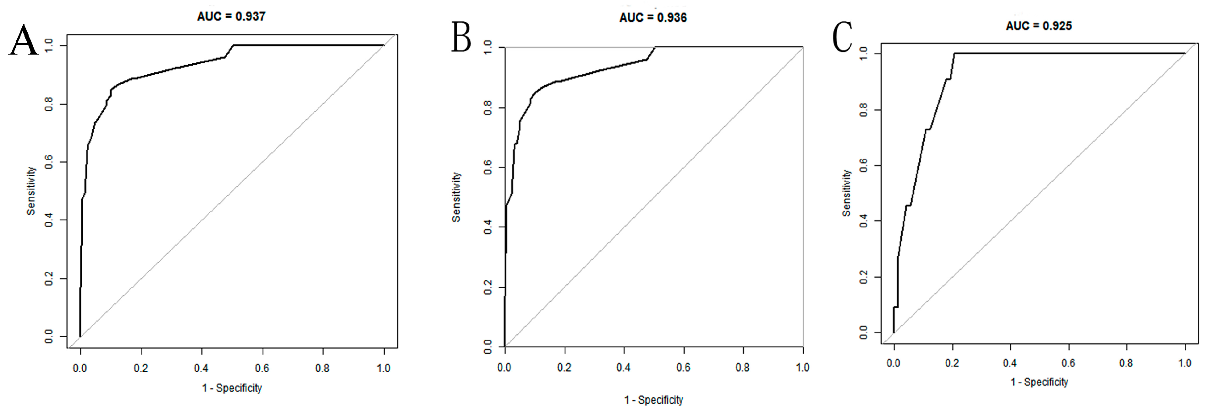
- The area under the curve (AUC) was 0.937 (95% CI: 0.902–0.972) and 0.925 (0.867–0.982) in the training and validation datasets, respectively, suggesting that the model demonstrated effective discrimination. Our model also demonstrated strong concordance performance and clinical applicability.
- Using this nomogram model, clinicians can assess VAP risk in elderly ICU patients and identify those at high risk.
- External validation of the nomogram model in larger populations is still required.
Abstract
1. Introduction
2. Methods
2.1. Study Design and Study Sample
2.2. Assessment of Potential Predictors
2.3. Outcome Ascertainment
2.4. Statistical Analysis
3. Results
3.1. Sample Characteristics
3.2. Variable Selection
3.3. Model Development
3.4. Model Performance
3.5. Application in Clinical Practice
4. Discussion
5. Conclusions
Supplementary Materials
Author Contributions
Funding
Institutional Review Board Statement
Informed Consent Statement
Data Availability Statement
Conflicts of Interest
References
- Pozuelo-Carrascosa, D.P.; Herráiz-Adillo, Á.; Alvarez-Bueno, C.; Añón, J.M.; Martínez-Vizcaíno, V.; Cavero-Redondo, I. Subglottic secretion drainage for preventing ventilator-associated pneumonia: An overview of systematic reviews and an updated meta-analysis. Eur. Respir. Rev. 2020, 29, 190107. [Google Scholar] [CrossRef] [PubMed]
- Chouhdari, A.; Shokouhi, S.; Bashar, F.R.; Azimi, A.V.; Shojaei, S.P.; Fathi, M.; Goharani, R.; Sahraei, Z.; Hajiesmaeili, M. Is a low incidence rate of ventilation associated pneumonia associated with lower mortality? A descriptive longitudinal study in Iran. Tanaffos 2018, 17, 110–116. [Google Scholar] [PubMed]
- Sadigov, A.; Mamedova, I.; Mammmadov, K. Ventilator-associated pneumonia and in-hospital mortality: Which risk factors may predict in-hospital mortality in such patients? J. Lung Health Dis. 2019, 3, 8–12. [Google Scholar] [CrossRef]
- Luckraz, H.; Manga, N.; Senanayake, E.L.; Abdelaziz, M.; Gopal, S.; Charman, S.C.; Giri, R.; Oppong, R.; Andronis, L. Cost of treating ventilator-associated pneumonia post cardiac surgery in the National Health Service: Results from a propensity-matched cohort study. J. Intensiv. Care Soc. 2018, 19, 94–100. [Google Scholar] [CrossRef] [PubMed]
- Mathai, A.S.; Phillips, A.; Kaur, P.; Isaac, R. Incidence and attributable costs of ventilator-associated pneumonia (VAP) in a tertiary-level intensive care unit (ICU) in northern India. J. Infect. Public Health 2015, 8, 127–135. [Google Scholar] [CrossRef] [PubMed]
- Rocha, L.d.A.d.; Vilela, C.A.P.; Cezário, R.C.; Almeida, A.B.; Filho, P.G. Ventilator-associated pneumonia in an adult clinical-surgical intensive care unit of a Brazilian university hospital: Incidence, risk factors, etiology, and antibiotic resistance. Braz. J. Infect. Dis. 2008, 12, 80–85. [Google Scholar] [CrossRef] [PubMed]
- Wu, D.; Wu, C.; Zhang, S.; Zhong, Y. Risk factors of ventilator-associated pneumonia in critically III patients. Front. Pharmacol. 2019, 10, 482. [Google Scholar] [CrossRef]
- Cui, J.B.; Chen, Q.Q.; Liu, T.T.; Li, S.J. Risk factors for early-onset ventilator-associated pneumonia in aneurysmal subarachnoid hemorrhage patients. Braz. J. Med. Biol. Res. 2018, 51, e6830, Retraction in Braz. J. Med. Biol. Res. 2020, 53, e6830r.. [Google Scholar] [CrossRef]
- van der Kooi, T.I.I.; Boshuizen, H.; Wille, J.C.; de Greeff, S.C.; van Dissel, J.T.; Schoffelen, A.F.; van Gaalen, R.D. Using flexible methods to determine risk factors for ventilator-associated pneumonia in the Netherlands. PLoS ONE 2019, 14, e0218372. [Google Scholar] [CrossRef]
- Liu, Y.; Di, Y.; Fu, S. Risk factors for ventilator-associated pneumonia among patients undergoing major oncological surgery for head and neck cancer. Front. Med. 2017, 11, 239–246. [Google Scholar] [CrossRef]
- Ścisło, L.; Walewska, E.; Bodys-Cupak, I.; Gniadek, A.; Kózka, M. Nutritional status disorders and selected risk factors of ventilator-associated pneumonia (VAP) in patients treated in the intensive care ward—A retrospective study. Int. J. Environ. Res. Public Health 2022, 19, 602. [Google Scholar] [CrossRef] [PubMed]
- Zand, F.; Zahed, L.; Mansouri, P.; Dehghanrad, F.; Bahrani, M.; Ghorbani, M. The effects of oral rinse with 0.2% and 2% chlorhexidine on oropharyngeal colonization and ventilator associated pneumonia in adults’ intensive care units. J. Crit. Care 2017, 40, 318–322. [Google Scholar] [CrossRef] [PubMed]
- Akdogan, O.; Ersoy, Y.; Kuzucu, C.; Gedik, E.; Togal, T.; Yetkin, F. Assessment of the effectiveness of a ventilator associated pneumonia prevention bundle that contains endotracheal tube with subglottic drainage and cuff pressure monitorization. Braz. J. Infect. Dis. 2017, 21, 276–281. [Google Scholar] [CrossRef] [PubMed]
- Guillamet, C.V.; Kollef, M.H. Is zero ventilatorassociated pneumonia achievable? practical approaches to ventilator-associated pneumonia prevention. Clin. Chest Med. 2018, 39, 809–822. [Google Scholar] [CrossRef] [PubMed]
- Vincent, J.-L.; Rello, J.; Marshall, J.; Silva, E.; Anzueto, A.; Martin, C.D.; Moreno, R.; Lipman, J.; Gomersall, C.; Sakr, Y.; et al. EPIC II group of investigators: International study of the prevalence and outcomes of infection in intensive care units. JAMA 2009, 302, 2323–2329. [Google Scholar] [CrossRef]
- Yang, R.; Huang, T.; Shen, L.; Feng, A.; Li, L.; Li, S.; Huang, L.; He, N.; Huang, W.; Liu, H.; et al. The use of antibiotics for ventilator-associated pneumonia in the MIMIC-IV database. Front. Pharmacol. 2022, 13, 869499. [Google Scholar] [CrossRef]
- Vincent, J.L.; Bihari, D.J.; Suter, P.M.; Bruining, H.A.; White, J.; Nicolas-Chanoin, M.H.; Wolff, M.; Spencer, R.C.; Hemmer, M. The prevalence of nosocomial infection in intensive care units in Europe. Results of the European Prevalence of Infection in Intensive Care (EPIC) Study. JAMA 1995, 274, 639–644. [Google Scholar] [CrossRef]
- Iasonos, A.; Schrag, D.; Raj, G.V.; Panageas, K.S. How to build and interpret a nomogram for cancer prognosis. J. Clin. Oncol. 2008, 26, 1364–1370. [Google Scholar] [CrossRef]
- Sakamoto, Y.; Yamauchi, Y.; Yasunaga, H.; Takeshima, H.; Hasegawa, W.; Jo, T.; Sasabuchi, Y.; Matsui, H.; Fushimi, K.; Nagase, T. Development of a nomogram for predicting in-hospital mortality of patients with exacerbation of chronic obstructive pulmorary disease. Int. J. Chron. Obstruct Pulmon. Dis. 2017, 12, 1605–1611. [Google Scholar] [CrossRef]
- Cheng, B.; Wang, C.; Zou, B.; Huang, D.; Yu, J.; Cheng, Y.; Meng, X. A nomogram to predict outcomes of lung cancer patients after pneumonectomy based on 47 indicators. Cancer Med. 2020, 9, 1430–1440. [Google Scholar] [CrossRef]
- Wang, S.; Yang, L.; Ci, B.; Maclean, M.; Gerber, D.E.; Xiao, G.; Xie, Y. Development and validation of a nomogram prognostic model for SCLC patients. J. Thorac. Oncol. 2018, 13, 1338–1348. [Google Scholar] [CrossRef] [PubMed]
- Zhang, D.; Zhuo, H.; Yang, G.; Huang, H.; Li, C.; Wang, X.; Zhao, S.; Moliterno, J.; Zhang, Y. Postoperative pneumonia after craniotomy: Incidence, risk factors and prediction with a nomogram. J. Hosp. Infect. 2020, 105, 167–175. [Google Scholar] [CrossRef] [PubMed]
- Li, X.; Li, M. A novel nomogram to predict mortality in patients with stroke: A survival analysis based on the MIMIC-III clinical database. BMC Med. Inform. Decis. Mak. 2022, 22, 92. [Google Scholar] [CrossRef] [PubMed]
- Peduzzi, P.; Concato, J.; Feinstein, A.R.; Holford, T.R. Importance of events per independent variable in proportional hazards regression analysis II. Accuracy and precision of regression estimates. J. Clin. Epidemiol. 1995, 48, 1503–1510. [Google Scholar] [CrossRef] [PubMed]
- Peduzzi, P.; Concato, J.; Kemper, E.; Holford, T.R.; Feinstein, A.R. A simulation study of the number of events per variable in logistic regression analysis. J. Clin. Epidemiol. 1996, 49, 1373–1379. [Google Scholar] [CrossRef]
- Concato, J.; Peduzzi, P.; Holford, T.R.; Feinstein, A.R. Importance of events per independent variable in proportional hazards analysis I. Background, goals, and general strategy. J. Clin. Epidemiol. 1995, 48, 1495–1501. [Google Scholar] [CrossRef] [PubMed]
- Shi, Y.; Huang, Y.; Zhang, T.-T.; Bin Cao, B.; Wang, H.; Zhuo, C.; Ye, F.; Su, X.; Fan, H.; Xu, J.-F.; et al. Chinese guidelines for the diagnosis and treatment of hospital-acquired pneumonia and ventilator-associated pneumonia in adults (2018 Edition). J. Thorac. Dis. 2019, 11, 2581–2616. [Google Scholar] [CrossRef]
- Kalil, A.C.; Metersky, M.L.; Klompas, M.; Muscedere, J.; Sweeney, D.A.; Palmer, L.B.; Napolitano, L.M.; O’Grady, N.P.; Bartlett, J.G.; Carratalà, J.; et al. Executive summary: Management of adults with hospital-acquired and ventilator-associated pneumonia: 2016 clinical practice guidelines by the infectious diseases society of America and the American thoracic society. Clin. Infect. Dis. 2016, 63, 575–582. [Google Scholar] [CrossRef]
- Ren, Y.; Zhang, L.; Xu, F.; Han, D.; Zheng, S.; Zhang, F.; Li, L.; Wang, Z.; Lyu, J.; Yin, H. Risk factor analysis and nomogram for predicting in-hospital mortality in ICU patients with sepsis and lung infection. BMC Pulm. Med. 2022, 22, 17. [Google Scholar] [CrossRef]
- Vickers, A.J.; Van Calster, B.; Steyerberg, E.W. Net benefit approaches to the evaluation of prediction models, molecular markers, and diagnostic tests. BMJ 2016, 352, i6. [Google Scholar] [CrossRef]
- Li, S.; Shang, L.; Yuan, L.; Li, W.; Kang, H.; Zhao, W.; Han, X.; Su, D. Construction and Validation of a Predictive Model for the Risk of Ventilator-Associated Pneumonia in Elderly ICU Patients. Can. Respir. J. 2023, 2023, 7665184. [Google Scholar] [CrossRef] [PubMed]
- Zahar, J.-R.; Nguile-Makao, M.; Français, A.; Schwebel, C.; Garrouste-Orgeas, M.; Goldgran-Toledano, D.; Azoulay, E.; Thuong, M.; Jamali, S.; Cohen, Y.; et al. Predicting the risk of documented ventilator-associated pneumonia for benchmarking: Construction and validation of a score. Crit. Care Med. 2009, 37, 2545–2551. [Google Scholar] [CrossRef] [PubMed]
- Wu, Z.; Liu, Y.; Xu, J.; Xie, J.; Zhang, S.; Huang, L.; Huang, Y.; Yang, Y.; Qiu, H. A Ventilator-associated pneumonia prediction model in patients with acute respiratory distress syndrome. Clin. Infect. Dis. 2020, 71, S400–S408. [Google Scholar] [CrossRef] [PubMed]
- Rousson, V.; Zumbrunn, T. Decision curve analysis revisited: Overall net benefit, relationships to ROC curve analysis, and application to case-control studies. BMC Med. Inform. Decis. Mak. 2011, 11, 45. [Google Scholar] [CrossRef] [PubMed]
- Vickers, A.J.; Elkin, E.B. Decision curve analysis: A novel method for evaluating prediction models. Med. Decis. Mak. 2006, 26, 565–574. [Google Scholar] [CrossRef]
- Ding, C.; Zhang, Y.; Yang, Z.; Wang, J.; Jin, A.; Wang, W.; Chen, R.; Zhan, S. Incidence, temporal trend and factors associated with ventilator-associated pneumonia in mainland China: A systematic review and meta-analysis. BMC Infect. Dis. 2017, 17, 468. [Google Scholar] [CrossRef]
- Sands, K.M.; Wilson, M.J.; Lewis, M.A.; Wise, M.P.; Palmer, N.; Hayes, A.J.; Barnes, R.A.; Williams, D.W. Respiratory pathogen colonization of dental plaque, the lower airways, and endotracheal tube biofilms during mechanical ventilation. J. Crit. Care 2017, 37, 30–37. [Google Scholar] [CrossRef]
- Machado, M.C.; Webster, T.J. Decreased pseudomonas aeruginosa biofilm formation on nanomodified endotracheal tubes: A dynamic lung model. Int. J. Nanomed. 2016, 11, 3825–3831. [Google Scholar] [CrossRef][Green Version]
- Elliot, Z.J.; Elliot, S.C. An overview of mechanical ventilation in the intensive care unit. Nurs. Stand. 2018, 32, 41–49. [Google Scholar] [CrossRef]
- Charles, M.P.; Kali, A.; Easow, J.M.; Joseph, N.M.; Ravishankar, M.; Srinivasan, S.; Kumar, S.; Umadevi, S. Ventilator-associated pneumonia. Australas Med. J. 2014, 7, 334–344. [Google Scholar] [CrossRef]
- Othman, A.A.; Abdelazim, M.S. Ventilator-associated pneumonia in adult intensive care unit prevalence and complications. Egypt. J. Crit. Care Med. 2017, 5, 61–63. [Google Scholar] [CrossRef]
- Luyt, C.-E.; Bréchot, N.; Combes, A.; Trouillet, J.-L.; Chastre, J. Delivering antibiotics to the lungs of patients with ventilator-associated pneumonia: An update. Expert Rev. Anti-Infect. Ther. 2013, 11, 511–521. [Google Scholar] [CrossRef] [PubMed]
- Kadri, S.S.; O’grady, N.P. Review: Short and long courses of antibiotics do not differ for mortality in ventilator-associated pneumonia. Ann. Intern. Med. 2014, 160, JC3. [Google Scholar] [CrossRef] [PubMed]
- McClave, S.A.; Taylor, B.E.; Martindale, R.G.; Warren, M.M.; Johnson, D.R.; Braunschweig, C.; McCarthy, M.S.; Davanos, E.; Rice, T.W.; Cresci, G.A.; et al. Society of Critical Care Medicine American Society for Parenteral and Enteral Nutrition. Guidelines for the provision and assessment of nutrition support therapy in the adult critically Ill patient: Society of Critical Care Medicine (SCCM) and American Society for Parenteral and Enteral Nutrition (ASPEN). JPEN J. Parenter. Enter. Nutr. 2016, 40, 159–211. [Google Scholar]
- Ren, M.; Liang, W.; Wu, Z.; Zhao, H.; Wang, J. Risk factors of surgical site infection in geriatric orthopedic surgery: A retrospective multicenter cohort study. Geriatr. Gerontol. Int. 2019, 19, 213–217. [Google Scholar] [CrossRef]
- Li, F.; Yuan, M.-Z.; Wang, L.; Wang, X.-F.; Liu, G.-W. Characteristics and prognosis of pulmonary infection in patients with neurologic disease and hypoproteinemia. Expert Rev. Anti-Infect. Ther. 2015, 13, 521–526. [Google Scholar] [CrossRef]
- Singer, P.; Blaser, A.R.; Berger, M.M.; Alhazzani, W.; Calder, P.C.; Casaer, M.P.; Hiesmayr, M.; Mayer, K.; Montejo, J.C.; Pichard, C.; et al. ESPEN guideline on clinical nutrition in the intensive care unit. Clin. Nutr. 2019, 38, 48–79. [Google Scholar] [CrossRef]
- Altman, D.G.; Vergouwe, Y.; Royston, P.; Moons, K.G.M. Prognosis and prognostic research: Validating a prognostic model. BMJ 2009, 338, b605. [Google Scholar] [CrossRef]






| Characteristics | Total (n = 377) | Training Set (n = 293) | Validation Set (n = 84) | p-Value |
|---|---|---|---|---|
| N (%) | N (%) | N (%) | ||
| Gender | 0.532 | |||
| Female | 124 (32.9%) | 94 (32.1%) | 30 (35.7%) | |
| Male | 253 (67.1%) | 199 (67.9%) | 54 (64.3%) | |
| APACHE II score | 0.120 | |||
| <20 points | 130 (34.5%) | 107 (36.5%) | 23 (27.4%) | |
| ≥20 points | 247 (65.5%) | 186 (63.5%) | 61 (72.6%) | |
| State of consciousness | 0.782 | |||
| Awake | 198 (52.5%) | 155 (52.9%) | 43 (51.2%) | |
| Comatose | 179 (47.5%) | 138 (47.1%) | 41 (48.8%) | |
| Hypoproteinemia | 0.067 | |||
| No | 247 (65.5%) | 199 (67.9%) | 48 (57.1%) | |
| Yes | 130 (34.5%) | 94 (32.1%) | 36 (42.9%) | |
| Long-term combined use of antibiotics | 0.181 | |||
| ≥2 kinds and ≥7 days | 68 (18.0%) | 57 (19.5%) | 11 (13.1%) | |
| Other situations | 309 (82.0%) | 236 (80.5%) | 73 (86.9%) | |
| Advanced age | 0.805 | |||
| <80 years old | 220 (58.4%) | 170 (58.0%) | 50 (59.5%) | |
| ≥80 years old | 157 (41.6%) | 123 (42.0%) | 34 (40.5%) | |
| Intubation times | 0.562 | |||
| 1 time | 355 (94.2%) | 277 (94.5%) | 78 (92.9%) | |
| ≥2 times | 22 (5.8%) | 16 (5.5%) | 6 (7.1%) | |
| Mechanical ventilation days | 0.671 | |||
| ≤8 days | 223 (59.2%) | 175 (59.7%) | 48 (57.1%) | |
| >8 days | 154 (40.8%) | 118 (40.3%) | 36 (42.9%) | |
| Tracheotomy/intubation | 0.052 | |||
| Intubation | 290 (76.9%) | 232 (79.2%) | 58 (69.0%) | |
| Tracheotomy | 87 (23.1%) | 61 (20.8%) | 26 (31.0%) | |
| Number of basic diseases | 0.226 | |||
| ≤2 | 189 (50.1%) | 142 (48.5%) | 47 (56.0%) | |
| >2 | 188 (49.9%) | 151 (51.5%) | 37 (44.0%) | |
| Variables | OR | 95% CI | p-Value |
|---|---|---|---|
| Hypoproteinemia | 11.516 | 4.384–30.248 | <0.001 |
| Intubation times | 8.598 | 1.618–45.685 | 0.012 |
| Tracheotomy/intubation | 4.986 | 1.880–13.219 | 0.001 |
| Mechanical ventilation days | 6.267 | 2.194–17.899 | <0.001 |
| Long-term combined use of antibiotics | 5.249 | 1.938–14.221 | 0.001 |
Disclaimer/Publisher’s Note: The statements, opinions and data contained in all publications are solely those of the individual author(s) and contributor(s) and not of MDPI and/or the editor(s). MDPI and/or the editor(s) disclaim responsibility for any injury to people or property resulting from any ideas, methods, instructions or products referred to in the content. |
© 2024 by the authors. Licensee MDPI, Basel, Switzerland. This article is an open access article distributed under the terms and conditions of the Creative Commons Attribution (CC BY) license (https://creativecommons.org/licenses/by/4.0/).
Share and Cite
Gan, W.; Chen, Z.; Tao, Z.; Li, W. Constructing a Nomogram Model to Estimate the Risk of Ventilator-Associated Pneumonia for Elderly Patients in the Intensive Care Unit. Adv. Respir. Med. 2024, 92, 77-88. https://doi.org/10.3390/arm92010010
Gan W, Chen Z, Tao Z, Li W. Constructing a Nomogram Model to Estimate the Risk of Ventilator-Associated Pneumonia for Elderly Patients in the Intensive Care Unit. Advances in Respiratory Medicine. 2024; 92(1):77-88. https://doi.org/10.3390/arm92010010
Chicago/Turabian StyleGan, Wensi, Zhihui Chen, Zhen Tao, and Wenyuan Li. 2024. "Constructing a Nomogram Model to Estimate the Risk of Ventilator-Associated Pneumonia for Elderly Patients in the Intensive Care Unit" Advances in Respiratory Medicine 92, no. 1: 77-88. https://doi.org/10.3390/arm92010010
APA StyleGan, W., Chen, Z., Tao, Z., & Li, W. (2024). Constructing a Nomogram Model to Estimate the Risk of Ventilator-Associated Pneumonia for Elderly Patients in the Intensive Care Unit. Advances in Respiratory Medicine, 92(1), 77-88. https://doi.org/10.3390/arm92010010

