A Versatile Unitary Transformation Framework for an Optimal Bath Construction in Density-Matrix Based Quantum Embedding Approaches
Abstract
:1. Introduction
2. Theory
2.1. Quantum Bath from the Block-Householder Transformation
2.2. Quantum Bath from a Versatile Unitary Transformation Framework
2.3. Optimization of Free Parameters
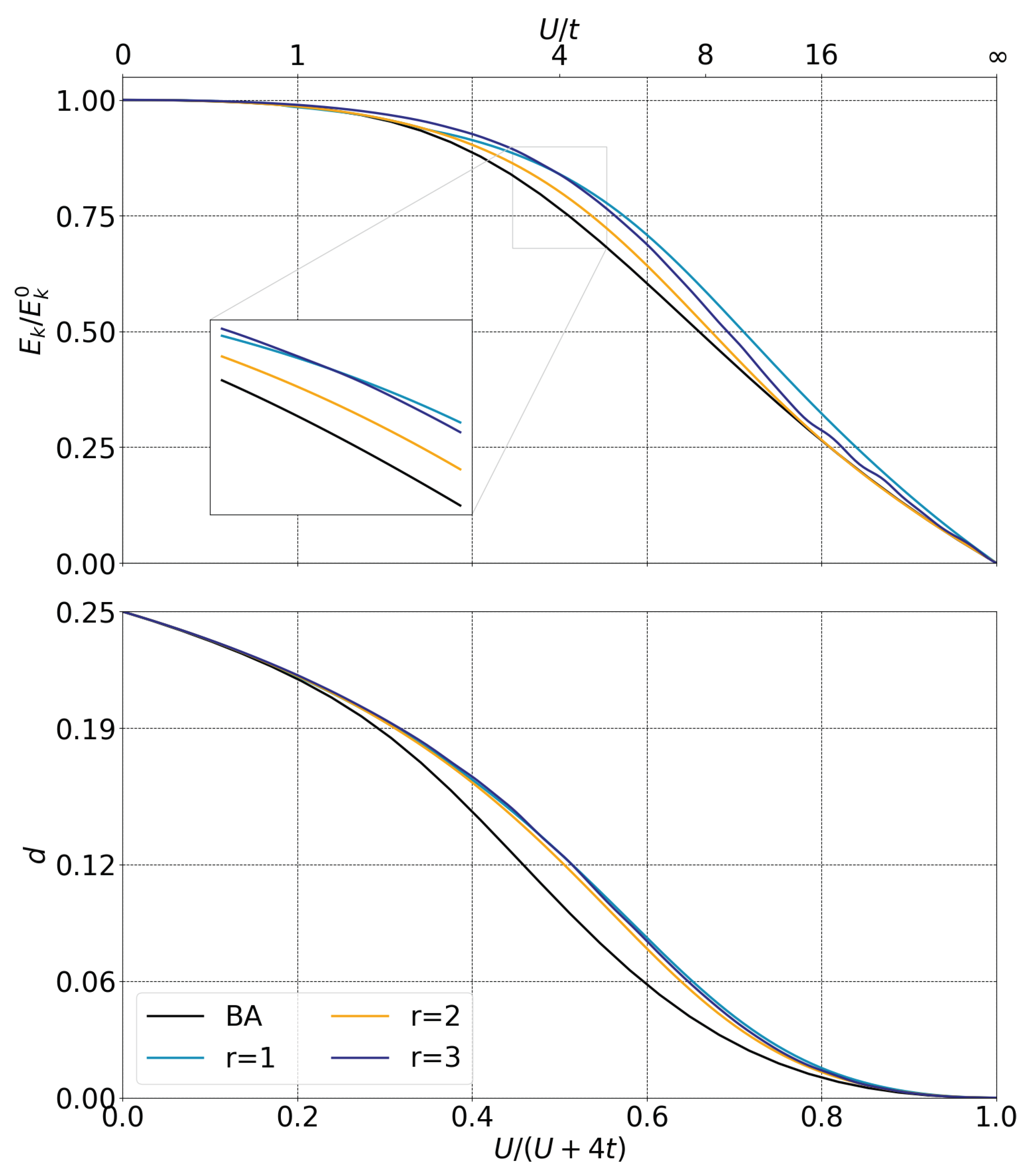
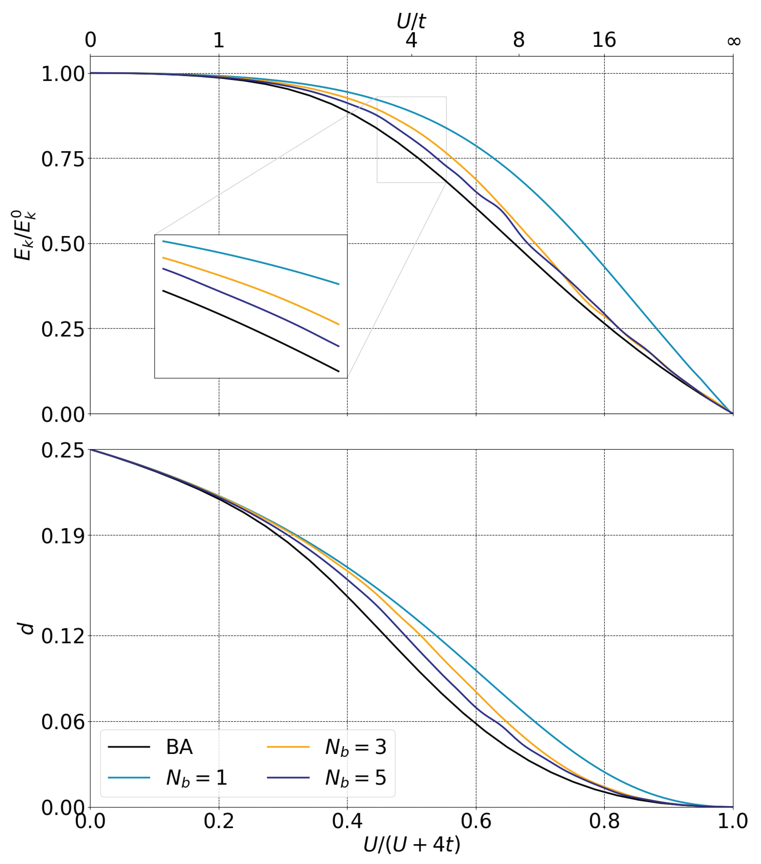
3. Results and Discussion
4. Conclusions
Author Contributions
Funding
Institutional Review Board Statement
Informed Consent Statement
Data Availability Statement
Conflicts of Interest
References
- Sun, Q.; Chan, G.K.L. Quantum Embedding Theories. Acc. Chem. Res. 2016, 49, 2705–2712. [Google Scholar] [CrossRef]
- Wasserman, A.; Pavanello, M. Quantum embedding electronic structure methods. Int. J. Quantum Chem. 2020, 120, e26495. [Google Scholar] [CrossRef]
- Kotliar, G.; Savrasov, S.Y.; Pálsson, G.; Biroli, G. Cellular Dynamical Mean Field Approach to Strongly Correlated Systems. Phys. Rev. Lett. 2001, 87, 186401. [Google Scholar] [CrossRef]
- Zheng, H. Self-consistent cluster-embedding calculation method and the calculated electronic structure of NiO. Phys. Rev. B 1993, 48, 14868–14883. [Google Scholar] [CrossRef] [PubMed]
- Ma, H.; Sheng, N.; Govoni, M.; Galli, G. Quantum embedding theory for strongly correlated states in materials. J. Chem. Theory Comput. 2021, 17, 2116–2125. [Google Scholar] [CrossRef]
- Cohen, A.J.; Mori-Sánchez, P.; Yang, W. Insights into Current Limitations of Density Functional Theory. Science 2008, 321, 792–794. [Google Scholar] [CrossRef]
- Burke, K. Perspective on density functional theory. J. Chem. Phys. 2012, 136, 150901. [Google Scholar] [CrossRef]
- Müller-Hartmann, E. Correlated fermions on a lattice in high dimensions. Z. Für Phys. B Condens. Matter 1989, 74, 507–512. [Google Scholar] [CrossRef]
- Georges, A.; Kotliar, G.; Krauth, W.; Rozenberg, M.J. Dynamical mean-field theory of strongly correlated fermion systems and the limit of infinite dimensions. Rev. Mod. Phys. 1996, 68, 13–125. [Google Scholar] [CrossRef]
- Georges, A.; Kotliar, G. Hubbard model in infinite dimensions. Phys. Rev. B 1992, 45, 6479–6483. [Google Scholar] [CrossRef]
- Anderson, P.W. Localized magnetic states in metals. Phys. Rev. 1961, 124, 41. [Google Scholar] [CrossRef]
- Potthoff, M. Self-energy-functional approach to systems of correlated electrons. Eur. Phys. J. B 2003, 32, 429–436. [Google Scholar] [CrossRef]
- Sarker, S. A new functional integral formalism for strongly correlated fermi systems. J. Phys. Condens. Matter 1988, 21, L667. [Google Scholar] [CrossRef]
- Mazouin, L.; Saubanère, M.; Fromager, E. Site-occupation Green’s function embedding theory: A density functional approach to dynamical impurity solvers. Phys. Rev. B 2019, 100, 195104. [Google Scholar] [CrossRef]
- Nguyen Lan, T.; Kananenka, A.A.; Zgid, D. Rigorous Ab Initio Quantum Embedding for Quantum Chemistry Using Green’s Function Theory: Screened Interaction, Nonlocal Self-Energy Relaxation, Orbital Basis, and Chemical Accuracy. J. Chem. Theory Comput. 2016, 12, 4856–4870. [Google Scholar] [CrossRef]
- Lupo, C.; Jamet, F.; Tse, T.; Rungger, I.; Weber, C. Maximally Localized Dynamical Quantum Embedding for Solving Many-Body Correlated Systems. Nat. Comput. Sci. 2021, 1, 410–420. [Google Scholar] [CrossRef]
- Lanatà, N. Derivation of the Ghost Gutzwiller Approximation from Quantum Embedding principles: The Ghost Density Matrix Embedding Theory. arXiv 2023, arXiv:2305.11895. [Google Scholar] [CrossRef]
- Senjean, B. Projected site-occupation embedding theory. Phys. Rev. B 2019, 100, 035136. [Google Scholar] [CrossRef]
- Sekaran, S.; Saubanère, M.; Fromager, E. Local potential functional embedding theory: A self-consistent flavor of density functional theory for lattices without density functionals. Computation 2022, 10, 45. [Google Scholar] [CrossRef]
- Mitra, A.; Hermes, M.R.; Gagliardi, L. Density matrix embedding using multiconfiguration pair-density functional theory. J. Chem. Theory Comput. 2023, 19, 3498–3508. [Google Scholar] [CrossRef]
- Knizia, G.; Chan, G.K.L. Density Matrix Embedding: A Simple Alternative to Dynamical Mean-Field Theory. Phys. Rev. Lett. 2012, 109, 186404. [Google Scholar] [CrossRef] [PubMed]
- Wouters, S.; Jiménez-Hoyos, C.A.; Sun, Q.; Chan, G.K.L. A Practical Guide to Density Matrix Embedding Theory in Quantum Chemistry. J. Chem. Theory Comput. 2016, 12, 2706–2719. [Google Scholar] [CrossRef] [PubMed]
- Yalouz, S.; Sekaran, S.; Fromager, E.; Saubanère, M. Quantum embedding of multi-orbital fragments using the block-Householder transformation. J. Chem. Phys. 2022, 157, 214112. [Google Scholar] [CrossRef] [PubMed]
- Sekaran, S.; Bindech, O.; Fromager, E. A unified density matrix functional construction of quantum baths in density matrix embedding theory beyond the mean-field approximation. J. Chem. Phys. 2023, 159, 034107. [Google Scholar] [CrossRef]
- Ayral, T.; Lee, T.H.; Kotliar, G. Dynamical mean-field theory, density-matrix embedding theory, and rotationally invariant slave bosons: A unified perspective. Phys. Rev. B 2017, 96, 235139. [Google Scholar] [CrossRef]
- Cancès, E.; Faulstich, F.; Kirsch, A.; Letournel, E.; Levitt, A. Some mathematical insights on Density Matrix Embedding Theory. arXiv 2023, arXiv:2305.16472. [Google Scholar] [CrossRef]
- Sun, C.; Ray, U.; Cui, Z.H.; Stoudenmire, M.; Ferrero, M.; Chan, G.K.L. Finite-temperature density matrix embedding theory. Phys. Rev. B 2020, 101, 075131. [Google Scholar] [CrossRef]
- Ye, H.Z.; Welborn, M.; Ricke, N.D.; Van Voorhis, T. Incremental embedding: A density matrix embedding scheme for molecules. J. Chem. Phys. 2018, 149, 194108. [Google Scholar] [CrossRef]
- Hermes, M.R.; Gagliardi, L. Multiconfigurational Self-Consistent Field Theory with Density Matrix Embedding: The Localized Active Space Self-Consistent Field Method. J. Chem. Theory Comput. 2019, 15, 972–986. [Google Scholar] [CrossRef]
- Sekaran, S.; Tsuchiizu, M.; Saubanère, M.; Fromager, E. Householder-transformed density matrix functional embedding theory. Phys. Rev. B 2021, 104, 035121. [Google Scholar] [CrossRef]
- Hubbard, J. Electron correlations in narrow energy bands. Proc. R. Soc. Lond. Ser. A 1963, 276, 238–257. [Google Scholar] [CrossRef]
- Marécat, Q.; Lasorne, B.; Fromager, E.; Saubanère, M. Unitary transformations within density matrix embedding approaches: A novel perspective on the self-consistent scheme for electronic structure calculation. arXiv 2023, arXiv:2306.07641. [Google Scholar] [CrossRef]
- Töws, W.; Pastor, G. Lattice density functional theory of the single-impurity Anderson model: Development and applications. Phys. Rev. B 2011, 83, 235101. [Google Scholar] [CrossRef]
- Schade, R.; Blöchl, P.E. Adaptive cluster approximation for reduced density-matrix functional theory. Phys. Rev. B 2018, 97, 245131. [Google Scholar] [CrossRef]
- Rotella, F.; Zambettakis, I. Block Householder transformation for parallel QR factorization. Appl. Math. Lett. 1999, 12, 29–34. [Google Scholar] [CrossRef]
- Caffarel, M.; Krauth, W. Exact diagonalization approach to correlated fermions in infinite dimensions: Mott transition and superconductivity. Phys. Rev. Lett. 1994, 72, 1545–1548. [Google Scholar] [CrossRef]
- Lieb, E.H.; Wu, F.Y. Absence of Mott Transition in an Exact Solution of the Short-Range, One-Band Model in One Dimension. Phys. Rev. Lett. 1968, 20, 1445–1448. [Google Scholar] [CrossRef]
- Ogata, M.; Shiba, H. Bethe-ansatz wave function, momentum distribution, and spin correlation in the one-dimensional strongly correlated Hubbard model. Phys. Rev. B 1990, 41, 2326. [Google Scholar] [CrossRef]
- Virtanen, P.; Gommers, R.; Oliphant, T.E.; Haberland, M.; Reddy, T.; Cournapeau, D.; Burovski, E.; Peterson, P.; Weckesser, W.; Bright, J.; et al. SciPy 1.0: Fundamental Algorithms for Scientific Computing in Python. Nat. Methods 2020, 17, 261–272. [Google Scholar] [CrossRef]









Disclaimer/Publisher’s Note: The statements, opinions and data contained in all publications are solely those of the individual author(s) and contributor(s) and not of MDPI and/or the editor(s). MDPI and/or the editor(s) disclaim responsibility for any injury to people or property resulting from any ideas, methods, instructions or products referred to in the content. |
© 2023 by the authors. Licensee MDPI, Basel, Switzerland. This article is an open access article distributed under the terms and conditions of the Creative Commons Attribution (CC BY) license (https://creativecommons.org/licenses/by/4.0/).
Share and Cite
Marécat, Q.; Saubanère, M. A Versatile Unitary Transformation Framework for an Optimal Bath Construction in Density-Matrix Based Quantum Embedding Approaches. Computation 2023, 11, 203. https://doi.org/10.3390/computation11100203
Marécat Q, Saubanère M. A Versatile Unitary Transformation Framework for an Optimal Bath Construction in Density-Matrix Based Quantum Embedding Approaches. Computation. 2023; 11(10):203. https://doi.org/10.3390/computation11100203
Chicago/Turabian StyleMarécat, Quentin, and Matthieu Saubanère. 2023. "A Versatile Unitary Transformation Framework for an Optimal Bath Construction in Density-Matrix Based Quantum Embedding Approaches" Computation 11, no. 10: 203. https://doi.org/10.3390/computation11100203
APA StyleMarécat, Q., & Saubanère, M. (2023). A Versatile Unitary Transformation Framework for an Optimal Bath Construction in Density-Matrix Based Quantum Embedding Approaches. Computation, 11(10), 203. https://doi.org/10.3390/computation11100203

