Advancing Particle Tracking: Self-Organizing Map Hyperparameter Study and Long Short-Term Memory-Based Outlier Detection
Abstract
1. Introduction
Particle Tracking Velocimetry
2. Methodology
2.1. Network Design
Computational Optimization
2.2. Hyperparameter Optimization
3. Results
3.1. Validation on Experimental Complex-Plasma Data
3.2. Comparison Overview
3.2.1. Evaluation on Synthetic Data
3.2.2. Evaluation on VSJ PIV Images
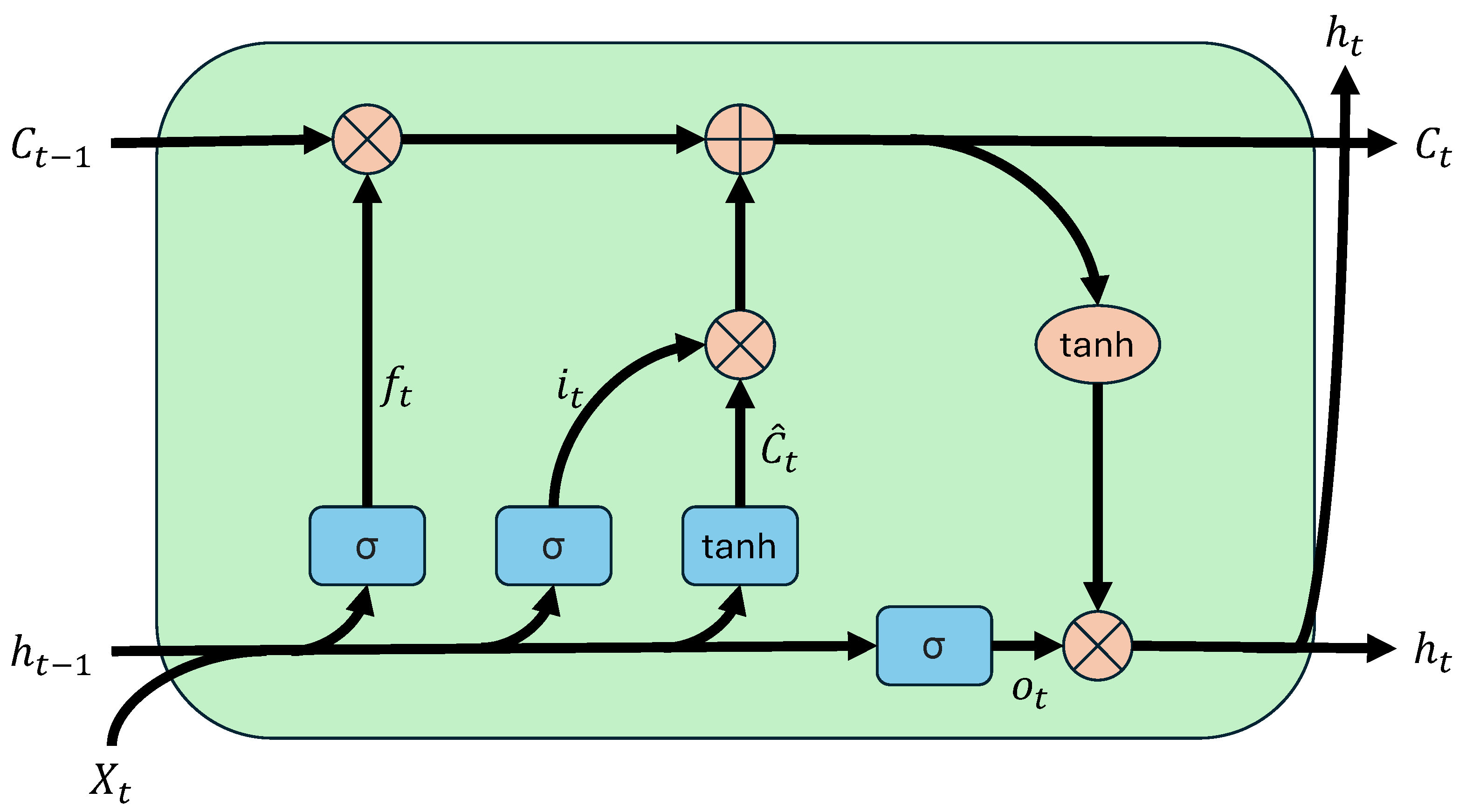
3.3. Outlier Detection Using LSTM Network
4. Discussion
Author Contributions
Funding
Institutional Review Board Statement
Data Availability Statement
Acknowledgments
Conflicts of Interest
Abbreviations
| PTV | particle tracking velocimetry |
| SOM | Self-Organizing Map |
| LSTM | Long Short-Term Memory |
| PK-4 | Plasmakristallexperiment 4 |
| BMU | best-matching unit |
| BCE | binary cross-entropy |
| OC-SVM | One-Class Support Vector Machine |
| SVDD | Support Vector Data Description |
| LSTM-MDL | Long Short-Term Memory with Minimum Description Length |
References
- Dabiri, D.; Pecora, C. Particle tracking techniques. In Particle Tracking Velocimetry; IOP Publishing: Bristol, UK, 2019; pp. 5-1–5-60. [Google Scholar] [CrossRef]
- Wimmer, L.; Dormagen, N.; Klein, M.; Kretschmer, M.; Lipaev, A.M.; Schwarz, M.; Usachev, A.D.; Petrov, O.F.; Zobnin, A.; Thoma, M. Impact of particle charge and electrorheology-effects on dust-acoustic waves in low pressure complex plasma under microgravity. New J. Phys. 2025, 27, 033001. [Google Scholar] [CrossRef]
- Schwabe, M.; Zhdanov, S.; Räth, C. Turbulence in an auto-oscillating complex plasma. IEEE Trans. Plasma Sci. 2017, 46, 684–687. [Google Scholar] [CrossRef]
- Schmitz, A.S.; Schulz, I.; Kretschmer, M.; Thoma, M.H. Dust cloud convections in inhomogeneously heated plasmas in microgravity. Microgravity Sci. Technol. 2023, 35, 13. [Google Scholar] [CrossRef]
- Thomas, H.M.; Morfill, G.E. Melting dynamics of a plasma crystal. Nature 1996, 379, 806–809. [Google Scholar] [CrossRef]
- Pustylnik, M.; Fink, M.; Nosenko, V.; Antonova, T.; Hagl, T.; Thomas, H.; Zobnin, A.; Lipaev, A.; Usachev, A.; Molotkov, V.; et al. Plasmakristall-4: New complex (dusty) plasma laboratory on board the International Space Station. Rev. Sci. Instrum. 2016, 87, 093505. [Google Scholar] [CrossRef]
- Allan, D.B.; Caswell, T.; Keim, N.C.; van der Wel, C.M.; Verweij, R.W. Soft-Matter/Trackpy, v0.6.1; Zenodo: Geneva, Switzerland, 2023. [Google Scholar] [CrossRef]
- Klein, M.; Dormagen, N.; Schmitz, A.S.; Thoma, M.H.; Schwarz, M. Machine Learning Approach for Particle Matching, Tracing and Velocimetry with Self-Organizing Map: Application to Complex Plasmas. In Proceedings of the 2023 International Conference on Machine Learning and Applications (ICMLA), Jacksonville, FL, USA, 15–17 December 2023; pp. 839–844. [Google Scholar]
- Hassan, Y.; Canaan, R. Full-field bubbly flow velocity measurements using a multiframe particle tracking technique. Exp. Fluids 1991, 12, 49–60. [Google Scholar] [CrossRef]
- Malik, N.; Dracos, T.; Papantoniou, D. Particle tracking velocimetry in three-dimensional flows: Part II: Particle tracking. Exp. Fluids 1993, 15, 279–294. [Google Scholar] [CrossRef]
- Ouellette, N.T.; Xu, H.; Bodenschatz, E. A quantitative study of three-dimensional Lagrangian particle tracking algorithms. Exp. Fluids 2006, 40, 301–313. [Google Scholar] [CrossRef]
- Yamamoto, F.; Uemura, T.; Tian, Z.H.; Ohmi, K. Three-Dimensional PTV Based on Binary Cross-Correlation Method: Algorithm of Particle Identification. JSME Int. J. Ser. Fluids Therm. Eng. 1993, 36, 279–284. [Google Scholar] [CrossRef]
- Hassan, Y.; Blanchat, T.; Seeley, C., Jr. PIV flow visualisation using particle tracking techniques. Meas. Sci. Technol. 1992, 3, 633. [Google Scholar] [CrossRef]
- Saga, T.; Kobayashi, T.; Segawa, S.; Hu, H. Development and evaluation of an improved correlation based PTV method. J. Vis. 2001, 4, 29–37. [Google Scholar] [CrossRef]
- Jambunathan, K.; Ju, X.; Dobbins, B.; Ashforth-Frost, S. An improved cross correlation technique for particle image velocimetry. Meas. Sci. Technol. 1995, 6, 507. [Google Scholar] [CrossRef]
- Wu, Q.X.; Pairman, D. A relaxation labeling technique for computing sea surface velocities from sea surface temperature. IEEE Trans. Geosci. Remote Sens. 1995, 33, 216–220. [Google Scholar] [CrossRef]
- Baek, S.; Lee, S. A new two-frame particle tracking algorithm using match probability. Exp. Fluids 1996, 22, 23–32. [Google Scholar] [CrossRef]
- Ohmi, K.; Li, H.Y. Particle-tracking velocimetry with new algorithms. Meas. Sci. Technol. 2000, 11, 603. [Google Scholar] [CrossRef]
- Brevis, W.; Niño, Y.; Jirka, G. Integrating cross-correlation and relaxation algorithms for particle tracking velocimetry. Exp. Fluids 2011, 50, 135–147. [Google Scholar] [CrossRef]
- Grant, I.; Pan, X. An investigation of the performance of multi layer, neural networks applied to the analysis of PIV images. Exp. Fluids 1995, 19, 159–166. [Google Scholar] [CrossRef]
- Labonté, G. A new neural network for particle-tracking velocimetry. Exp. Fluids 1999, 26, 340–346. [Google Scholar] [CrossRef]
- Ohmi, K. SOM-based particle matching algorithm for 3D particle tracking velocimetry. Appl. Math. Comput. 2008, 205, 890–898. [Google Scholar] [CrossRef]
- Ji, L.; Yang, F.; Guan, M. The Application of SOM Network to Particle Tracking Velocimetry in a Wind-Blown Sand Flow. In Proceedings of the 2015 2nd International Conference on Information Science and Control Engineering, Shanghai, China, 24–26 April 2015; pp. 493–496. [Google Scholar]
- Abbasi Hoseini, A.; Zavareh, Z.; Lundell, F.; Anderson, H.I. Rod-like particles matching algorithm based on SOM neural network in dispersed two-phase flow measurements. Exp. Fluids 2014, 55, 1705. [Google Scholar] [CrossRef]
- Okamoto, K.; Nishio, S.; Saga, T.; Kobayashi, T. Standard images for particle-image velocimetry. Meas. Sci. Technol. 2000, 11, 685. [Google Scholar] [CrossRef]
- Sun, J.; Yates, D.; Winterbone, D. Measurement of the flow field in a diesel engine combustion chamber after combustion by cross-correlation of high-speed photographs. Exp. Fluids 1996, 20, 335–345. [Google Scholar] [CrossRef]
- Song, X.; Yamamoto, F.; Iguchi, M.; Murai, Y. A new tracking algorithm of PIV and removal of spurious vectors using Delaunay tessellation. Exp. Fluids 1999, 26, 371–380. [Google Scholar] [CrossRef]
- Sapkota, A.; Ohmi, K. Error detection and performance analysis scheme for particle tracking velocimetry results using fuzzy logic. Int. J. Innov. Comput. Inf. Control 2009, 5, 4927–4934. [Google Scholar]
- Chen, Z.; Lu, W.; Bhong, R.; Hu, Y.; Freeman, B.; Carpenter, A. Anomaly Detection of Particle Orbit in Accelerator using LSTM Deep Learning Technology. arXiv 2024, arXiv:2401.15543. [Google Scholar]
- Ergen, T.; Kozat, S.S. Unsupervised anomaly detection with LSTM neural networks. IEEE Trans. Neural Netw. Learn. Syst. 2019, 31, 3127–3141. [Google Scholar] [CrossRef]
- Saha, S.; Sarkar, J.; Dhavala, S.; Sarkar, S.; Mota, P. Quantile LSTM: A Robust LSTM for Anomaly Detection In Time Series Data. arXiv 2023, arXiv:2302.08712. [Google Scholar]
- Park, J.; Seo, Y.; Cho, J. Unsupervised outlier detection for time-series data of indoor air quality using LSTM autoencoder with ensemble method. J. Big Data 2023, 10, 66. [Google Scholar] [CrossRef]
- Hug, R.; Becker, S.; Hübner, W.; Arens, M. Particle-based pedestrian path prediction using LSTM-MDL models. In Proceedings of the 2018 21st International Conference on Intelligent Transportation Systems (ITSC), Gold Coast, QLD, Australia, 18–21 November 2018; pp. 2684–2691. [Google Scholar]
- Kingma, D.P. Adam: A method for stochastic optimization. arXiv 2014, arXiv:1412.6980. [Google Scholar]








| Iterations | Performance [%] | ||
|---|---|---|---|
| 0.1 | 0.002 | 20 | 98.15 |
| 0.2 | 0.002 | 20 | 98.41 |
| 0.3 | 0.009 | 5 | 98.24 |
| 0.4 | 0.0055 | 10 | 97.81 |
| 0.5 | 0.009 | 10 | 96.64 |
| 0.6 | 0.0125 | 5 | 95.46 |
| 0.7 | 0.009 | 10 | 93.82 |
| 0.8 | 0.002 | 75 | 92.69 |
| 0.9 | 0.009 | 45 | 90.2 |
| 1.0 | 0.009 | 50 | 85.98 |
| 1.1 | 0.0055 | 65 | 75.06 |
| 1.2 | 0.009 | 55 | 71.81 |
| 1.3 | 0.009 | 55 | 59.29 |
| 1.4 | 0.0125 | 50 | 49.35 |
| 1.0 | 0.009 | 55 | 84.96 @ 0.001 |
| 1.0 | 0.002 | 75 | 85.88 @ 0.004 |
| Flow Type | Method | Performance [%] | ||||
|---|---|---|---|---|---|---|
| 0.2 | 0.4 | 0.6 | 0.8 | 1.0 | ||
| Laminar | ||||||
| SOM | 99.90 | 99.65 | 98.34 | 96.13 | 87.79 | |
| Trackpy | 99.90 | 86.36 | 12.1 | 0.02 | 0 | |
| Vortex | ||||||
| SOM | 100 | 99.7 | 99.33 | 98.43 | 96.46 | |
| Trackpy | 100 | 87.84 | 18.74 | 1.24 | 0.04 | |
| Multiple vortices | ||||||
| SOM | 99.41 | 98.17 | 88.28 | 84.48 | 61.67 | |
| Trackpy | 84.06 | 46.81 | 9.14 | 7.01 | 3.03 | |
| Radial distortion | ||||||
| SOM | 100 | 99.47 | 96.92 | 85.06 | 73.28 | |
| Trackpy | 100 | 94.92 | 31.74 | 9.16 | 4.37 | |
| Shear distortion | ||||||
| SOM | 100 | 99.84 | 99.38 | 98.03 | 97.14 | |
| Trackpy | 100 | 88.62 | 60.70 | 42.92 | 30.33 | |
| Divergent and convergent | ||||||
| SOM | 96.81 | 90.7 | 80.51 | 58.11 | 37.68 | |
| Trackpy | 61.49 | 19.45 | 10.2 | 4.17 | 2.18 | |
| Random | ||||||
| SOM | 81.68 | 35.28 | 17.07 | 10.26 | 6.1 | |
| Trackpy | 96.10 | 63.63 | 24.44 | 14.06 | 8.71 | |
| Flow | Outlier [%] | Detected Outliers [%]/Reliability [%] | |||
|---|---|---|---|---|---|
| LSTM | Threshold | Continuity | Fuzzy | ||
| Laminar | 5 | 3.10/82.46 | 35.76/4.13 | 3.07/1.85 | 3.03/82.15 |
| 10 | 9.39/74.07 | 20.29/38.22 | 7.99/71.53 | 6.53/83.93 | |
| 15 | 12.14/77.39 | 25.78/52.48 | 12.07/80.3 | 11.4/88.24 | |
| 48 | 0.58/42.86 | 7.53/47.54 | 0.58/42.86 | 9.54/45.84 | |
| Vortex | 5 | 2.24/80 | 2.24/80 | 4.04/33.33 | 38.57/8.14 |
| 10 | 4.95/100 | 5.86/100 | 5.86/61.54 | 38.74/12.79 | |
| 15 | 7.94/100 | 9.35/95 | 9.81/71.43 | 39.25/20.24 | |
| 47 | 31.74/91.91 | 22.20/99.17 | 5.50/66.67 | 53.76/67.24 | |
| VSJ PIV [25] | 5 | 11.06/15.03 | 19.85/22.79 | 5.91/6.51 | 12.01/6.8 |
| 10 | 12.13/26.57 | 23.74/38.75 | 5.84/10.86 | 12.18/13.83 | |
| 15 | 13.32/36.87 | 27.12/49.51 | 5.94/17.49 | 12.68/19.96 | |
| 50 | 9.88/80.02 | 46.58/87.73 | 8.84/59.83 | 11.7/51.76 | |
Disclaimer/Publisher’s Note: The statements, opinions and data contained in all publications are solely those of the individual author(s) and contributor(s) and not of MDPI and/or the editor(s). MDPI and/or the editor(s) disclaim responsibility for any injury to people or property resulting from any ideas, methods, instructions or products referred to in the content. |
© 2025 by the authors. Licensee MDPI, Basel, Switzerland. This article is an open access article distributed under the terms and conditions of the Creative Commons Attribution (CC BY) license (https://creativecommons.org/licenses/by/4.0/).
Share and Cite
Klein, M.; Dormagen, N.; Wimmer, L.; Thoma, M.H.; Schwarz, M. Advancing Particle Tracking: Self-Organizing Map Hyperparameter Study and Long Short-Term Memory-Based Outlier Detection. Mach. Learn. Knowl. Extr. 2025, 7, 37. https://doi.org/10.3390/make7020037
Klein M, Dormagen N, Wimmer L, Thoma MH, Schwarz M. Advancing Particle Tracking: Self-Organizing Map Hyperparameter Study and Long Short-Term Memory-Based Outlier Detection. Machine Learning and Knowledge Extraction. 2025; 7(2):37. https://doi.org/10.3390/make7020037
Chicago/Turabian StyleKlein, Max, Niklas Dormagen, Lukas Wimmer, Markus H. Thoma, and Mike Schwarz. 2025. "Advancing Particle Tracking: Self-Organizing Map Hyperparameter Study and Long Short-Term Memory-Based Outlier Detection" Machine Learning and Knowledge Extraction 7, no. 2: 37. https://doi.org/10.3390/make7020037
APA StyleKlein, M., Dormagen, N., Wimmer, L., Thoma, M. H., & Schwarz, M. (2025). Advancing Particle Tracking: Self-Organizing Map Hyperparameter Study and Long Short-Term Memory-Based Outlier Detection. Machine Learning and Knowledge Extraction, 7(2), 37. https://doi.org/10.3390/make7020037

