Post-Fire Mechanical Properties of Concrete Reinforced with Spanish Broom Fibers
Abstract
:1. Introduction
2. Materials and Methods
2.1. Materials
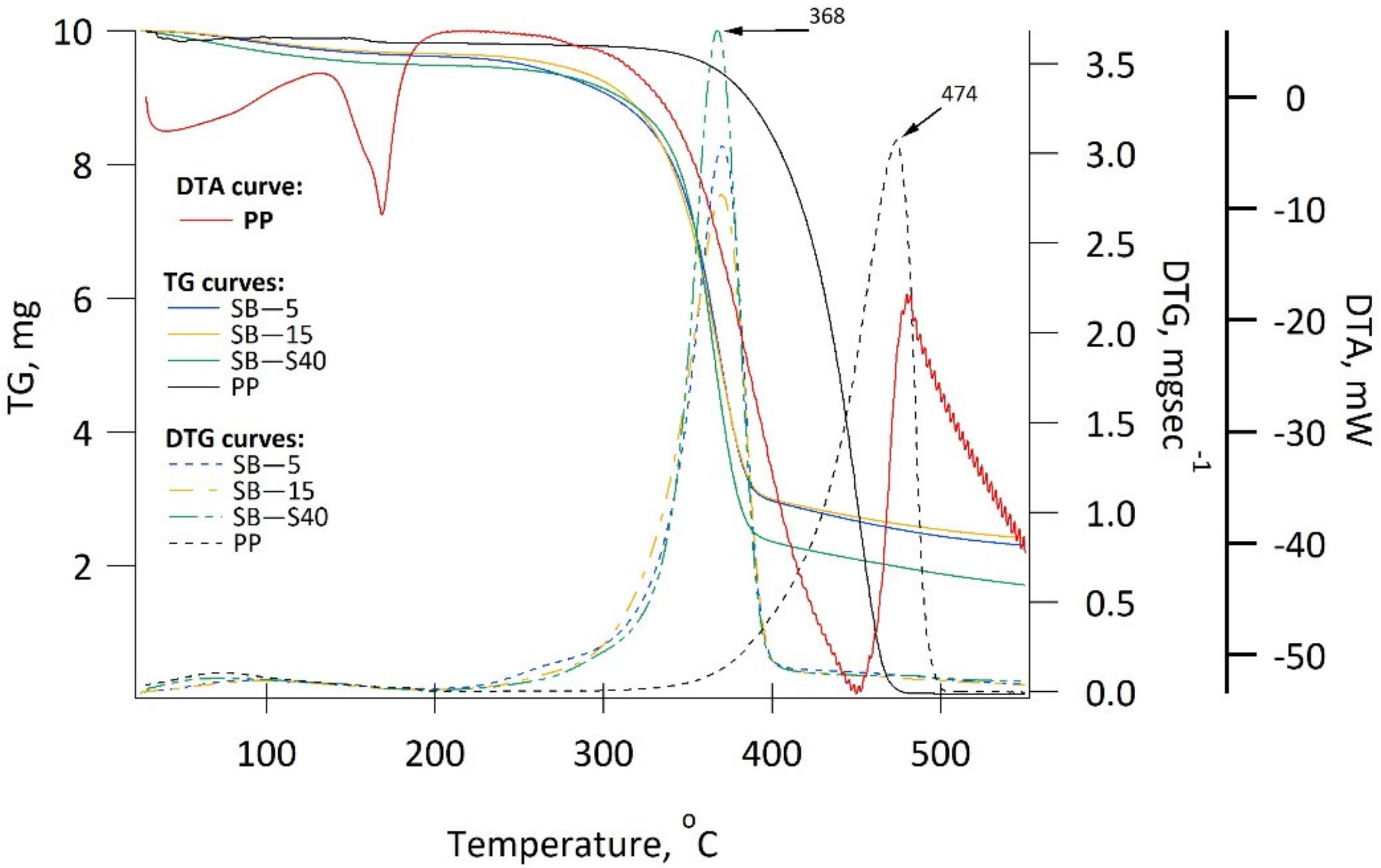
2.2. Preparation and Thermal Analysis (TGA/DSC) of Fibers
2.3. Preparation of Concrete Mixtures
2.4. Testing of Fresh Concrete
2.5. Heating and Cooling Regime of the Concrete Test Specimens: Testing of Hardened Concrete Specimens
3. Results and Discussion
4. Conclusions
- The initial compressive strength at room temperature shows that the fibers improved the compressive strength of plain concrete.
- The residual values of the weight loss were almost the same in the case of the reference concrete and fiber reinforced concretes.
- All mixtures underwent almost the same reduction in ultrasonic pulse velocity at the observed temperatures. The ultrasonic pulse velocity of fiber-reinforced mixtures reduced 5–11%, relative to the reference mixture at all observed temperatures and periods.
- The values of dynamic modulus of elasticity and compressive strength of the ordinary concrete and reinforced concrete specimens showed a decrease after drying of about 20% and after heating of about 60% relative to the value at room temperature. The residual compressive strength of all mixtures, even the reference concrete, decreased to lower than recommendations in HRN EN 1992–1–2.
- After drying at 100 °C, the compressive strength of Spanish-broom-reinforced concrete in comparison to reference concrete was higher at 0 and 96 h after cooling to room temperature.
- In comparison with ordinary concrete, after heating 400 °C, the residual properties of concrete reinforced with Spanish broom fibers decreased by less than those with polypropylene fibers.
- The method of maceration of Spanish broom fibers did not significantly affect the residual properties of the concrete.
- According to visual observations, Spanish broom fibers in concrete reduced the spalling and explosive failure under compressive load.
Author Contributions
Funding
Institutional Review Board Statement
Informed Consent Statement
Data Availability Statement
Acknowledgments
Conflicts of Interest
References
- Kim, S.; Oli, T.; Park, C. Effect of Exposure to High Temperature on the Mechanical Properties of SIFRCCs. Appl. Sci. 2020, 10, 2142. [Google Scholar] [CrossRef] [Green Version]
- ACI Committee 554. Report on Fiber Reinforced Concrete, 544.1R-96, Reapproved 2002; pp. 1–66. Available online: http://indiafiber.com/Files/ACI%20report.pdf (accessed on 2 August 2021).
- Löfgren, I. Fibre-Reinforced Concrete for Industrial Construction—A Fracture Mechanics Approach to Material Testing and Structural Analysis; Department of Civil and Environmental Engineering—Structural Engineering, Chalmers University of Technology: Göteborg, Sweden, 2005. [Google Scholar]
- Aluko, O.G.; Yatim, J.M.; Kadir, M.A.A.; Yahya, K. A review of properties of bio-fibrous concrete exposed to elevated temperatures. Constr. Build. Mater. 2020, 260, 119671. [Google Scholar] [CrossRef]
- Peng, G.-F.; Huang, Z.-S. Change in microstructure of hardened cement paste subjected to elevated temperatures. Constr. Build. Mater. 2008, 22, 593–599. [Google Scholar] [CrossRef]
- Khoury, G.A. Effect of fire on concrete and concrete structures. Prog. Struct. Eng. Mater. 2000, 2, 429–447. [Google Scholar] [CrossRef]
- Nurchasanah, Y.; Alfitouri, M.; Solikin, M. Steel Fiber Reinforced Concrete to Improve the Characteristics of Fire-Resistant Concrete. Appl. Mech. Mater. 2016, 845, 220–225. [Google Scholar] [CrossRef]
- Lau, A.; Anson, M. Effect of high temperatures on high performance steel fibre reinforced concrete. Cem. Concr. Res. 2006, 36, 1698–1707. [Google Scholar] [CrossRef]
- Xiao, J.; Falkner, H. On residual strength of high-performance concrete with and without polypropylene fibres at elevated temperatures. Fire Saf. J. 2006, 41, 115–121. [Google Scholar] [CrossRef]
- Sideris, K.K.; Manita, P.; Chaniotakis, E. Performance of thermally damaged fibre reinforced concretes. Constr. Build. Mater. 2009, 23, 1232–1239. [Google Scholar] [CrossRef]
- Amancio, F.A.; De Carvalho Rafael, M.F.; De Oliveira Dias, A.R.; Bezerra Cabral, A.E. Behavior of concrete reinforced with polypropylene fiber exposed to high temperatures. Procedia Struct. Integr. 2018, 11, 91–98. [Google Scholar] [CrossRef]
- Kalifa, P.; Chéné, G.; Gallé, C. High-temperature behaviour of HPC with polypropylene fibres—From spalling to microstructure. Cem. Concr. Res. 2001, 31, 1487–1499. [Google Scholar] [CrossRef]
- Peças, P.; Carvalho, H.; Salman, H.; Leite, M. Natural Fibre Composites and Their Applications: A Review. J. Compos. Sci. 2018, 2, 66. [Google Scholar] [CrossRef] [Green Version]
- Aziz, M.A.; Paramasivam, P.; Lee, S.L. Prospects of Natural Fiber Reinforced Concretes in Construction. Int. J. Cem. Compos. Lightweight Concr. 1981, 3, 123–132. [Google Scholar] [CrossRef]
- Ratna Prasad, A.V.; MohanaRao, K. Mechanical properties of natural fibre reinforced polyester composites: Jowar, sisal and bamboo. Mater. Des. 2011, 32, 4658–4663. [Google Scholar] [CrossRef]
- Azwa, Z.N.; Yousif, B.F.; Manalo, A.C.; Karunasena, W. A review on the degradability of polymeric composites based on natural fibres. Mater. Des. 2013, 47, 424–442. [Google Scholar] [CrossRef] [Green Version]
- Ogunbode, E.B.; Egba, E.I.; Olaiju, O.A.; Elnafaty, A.S.; Kawuwa, S.A. Microstructure and mechanical properties of Green concrete composites containing coir fibre. Chem. Eng. Trans. 2017, 61, 1879–1884. [Google Scholar]
- Ralegaonkar, R.; Gavali, H.; Aswath, P.; Abolmaali, S. Application of chopped basalt fibers in reinforced mortar: A review. Constr. Build. Mater. 2018, 164, 589–602. [Google Scholar] [CrossRef]
- Booya, E.; Gorospe, K.; Ghaednia, H.; Das, S. Durability properties of engineered pulp fibre reinforced concretes made with and without supplementary cementitious materials. Compos. Part B Eng. 2019, 172, 376–386. [Google Scholar] [CrossRef]
- Onuaguluchi, O.; Banthia, N. Plant-based natural fibre reinforced cement composites: A review. Cem. Concr. Compos. 2016, 68, 96–108. [Google Scholar] [CrossRef]
- Jami, T.; Karade, S.R.; Singh, L.P. A review of the properties of hemp concrete for green building applications. J. Clean. Prod. 2019, 239, 117852. [Google Scholar] [CrossRef]
- Sen, T.; Reddy, H.N.J. Various Industrial Applications of Hemp, Kinaf, Flax and Ramie Natural Fibres. Int. J. Innov. Manag. Technol. 2011, 2, 192–198. [Google Scholar]
- Ede, A.N.; Aina, A.O. Effects of Coconut Husk and Propylene Fiber on the Fire Resistance of Concrete. Int. J. Eng. Sci. Manag. 2015, 5, 171–179. [Google Scholar]
- Anowai, S.I.; Job, O.F. Durability properties of banana fibre reinforced fly ash concrete. Int. Res. J. Eng. Technol. 2017, 4, 1168–1174. [Google Scholar]
- Nwankwo, P.O.; Achuenu, E. Compressive Behaviour of Sisal Fibre Reinfoced Ternary Concrete at Elevated Temperatures. Int. J. Adv. Res. Technol. 2014, 3, 123–131. [Google Scholar]
- Netinger Grubeša, I.; Marković, B.; Gojević, A.; Brdarić, J. Effect of hemp fibers on fire resistance of concrete. Constr. Build. Mater. 2018, 184, 473–484. [Google Scholar] [CrossRef]
- Juradin, S.; Boko, I. Possibility of cement composite reinforcement by Spanish broom fibres. Gradevinar 2018, 70, 487–495. [Google Scholar]
- Juradin, S.; Boko, I.; Netinger Grubeša, I.; Jozić, D.; Mrakovčić, S. Influence of different treatment and amount of Spanish broom and hemp fibres on the mechanical properties of reinforced cement mortars. Constr. Build. Mater. 2021, 273, 121702. [Google Scholar] [CrossRef]
- Juradin, S.; Boko, I.; Netinger Grubeša, I.; Jozić, D.; Mrakovčić, S. Influence of harvesting time and maceration method of Spanish Broom (Spartium junceum L.) fibers on mechanical properties of reinforced cement mortar. Constr. Build. Mater. 2019, 225, 243–255. [Google Scholar] [CrossRef]
- Juradin, S.; Boko, I.; Netinger Grubeša, I.; Jozić, D.; Mrakovčić, S. Effects of different chemical pretreatments of natural fibers on the mechanical properties of cement mortar. In Proceedings of the International Conference on Sustainable Materials, Systems and Structures, Rovinj, Croatia, 20–22 March 2019; Ivanković, A.M., Marić, M.K., Staruss, A., Kišiček, T., Eds.; RILEM Publications S.A.R.L., Curran Associates, Inc.: West Chester, OH, USA, 2019; pp. 195–201. [Google Scholar]
- Juradin, S.; Boko, I.; Netinger Grubeša, I.; Jozić, D.; Mrakovčić, S.; Vukojević, I. Properties of Spanish Broom Fiber Reinforced Concrete. Solid State Phenom. 2021, 322, 72–77. [Google Scholar] [CrossRef]
- Katović, D.; Katović, A.; Krnčević, M. Spanish Broom (Spartium junceum L.)—History and Perspective. J. Nat. Fibers. 2011, 8, 81–98. [Google Scholar] [CrossRef]
- Verma, D.; Goh, K.L. Effect of Mercerization/Alkali Surface Treatment of Natural Fibres and Their Utilization in Polymer Composites: Mechanical and Morphological Studies. J. Compos. Sci. 2021, 5, 175. [Google Scholar] [CrossRef]
- HRN EN 197-1:2012 Cement—Part 1: Composition, Specifications and Conformity Criteria for Common Cements (EN 197-1:2011). Available online: https://repozitorij.hzn.hr/norm/HRN+EN+197-1%3A2012 (accessed on 2 August 2021).
- Toraya, H. Direct derivation (DD) of weight fractions of individual crystalline phases from observed intensities and chemical composition data: Incorporation of the DD method into the whole-powder-pattern fitting procedure. J. Appl. Cryst. 2018, 51, 446–455. [Google Scholar] [CrossRef]
- HRN EN 12350-6:2019 Testing Fresh Concrete—Part 6: Density (EN 12350-6:2019). Available online: https://repozitorij.hzn.hr/norm/HRN+EN+12350-6%3A2019 (accessed on 2 August 2021).
- HRN EN 12350-7:2019 Testing Fresh Concrete—Part 7: Air Content—Pressure Methods (EN 12350-7:2019). Available online: https://repozitorij.hzn.hr/norm/HRN+EN+12350-7%3A2019 (accessed on 2 August 2021).
- HRN EN 12350-2:2019 Testing Fresh Concrete—Part 2: Slump Test (EN 12350-2:2019). Available online: https://repozitorij.hzn.hr/norm/HRN+EN+12350-2%3A2019 (accessed on 2 August 2021).
- HRN U.M1.032:1981 Temperature Measuring of Fresh Concrete; Library of the Faculty of Civil Engineering, Architecture and Geodesy, University of Split: Split, Croatia, 1981.
- Bamigboye, G.; Ngene, B.; Aladesuru, O.; Mark, O.; Adegoke, D.; Jolayemi, K. Compressive Behaviour of Coconut Fibre (Cocos nucifera) Reinforced Concrete at Elevated Temperatures. Fibers 2020, 8, 5. [Google Scholar] [CrossRef] [Green Version]
- Torić, N.; Boko, I.; Juradin, S.; Baloević, G. Mechanical properties of lightweight concrete after fire exposure. Struct. Concr. 2016, 17, 1071–1081. [Google Scholar] [CrossRef]
- RILEM TC 129 MHT. Test methods for mechanical propertiesof concrete at high temperatures—Part 3: Compressive strength for service and accident conditions. Mater. Struct. 1995, 28, 410–414. [Google Scholar] [CrossRef]
- RILEM TC 200 HTC. Mechanical concrete properties at high temperatures—Modelling and applications—Part 1: Introduction, General presentation. Mater. Struct. 2007, 40, 841–853. [Google Scholar] [CrossRef] [Green Version]
- HRN EN 12504-4:2021 Testing Concrete—Part 4: Determination of Ultrasonic Pulse Velocity. Available online: https://repozitorij.hzn.hr/norm/HRN+EN+12504-4%3A2021 (accessed on 2 August 2021).
- HRN EN 12390-3:2019 Testing Hardened Concrete—Part 3: Compressive Strength of Test Specimen. Available online: https://repozitorij.hzn.hr/norm/HRN+EN+12390-3%3A2019 (accessed on 2 August 2021).
- Naus, D.J. The Effect of Elevated Temperature on Concrete Materials and Structures—A Literature Review; Oak Ridge National Laboratory: Oak Ridge, TN, USA, 2006; p. 204. [Google Scholar]
- Mihoub, I.; Khelifa, M.R.; Mezhoud, S. Impact of elevated temparture on the properties of concrete reinforced with alfa fiber. Civ. Environ. Eng. Rep. 2020, 30, 161–185. [Google Scholar] [CrossRef]
- Ultrasonic Pulse Velocity Meter. Available online: https://www.iricen.gov.in/LAB/res/pdf/test-32.pdf (accessed on 9 August 2021).
- Al Rawi, K.H.; Al Khafagy, M.A.S. Effect of adding sisal fiber and Iraqi bauxite on some properties of concrete. J. Tech. 2011, 24, 58–73. [Google Scholar]
- Hedjazi, S.; Castillo, D. Relationships among compressive strength and UPV of concrete reinforced with different types of fibers. Heliyon 2020, 6, e03646. [Google Scholar] [CrossRef] [PubMed]
- HRN EN 1992-1-2:2013/ A1:2019, Eurocode 2: Design of Concrete Structures-Part 1-2: General Rules-Structural Fire Design, (EN 1992-1-2:2004/A1:2019)). Available online: https://repozitorij.hzn.hr/norm/HRN+EN+1992-1-2%3A2013%2FA1%3A2019 (accessed on 2 August 2021).
- Ibrahim, R.K.; Hamid, R.; Taha, M.R. Fire resistance of high-volume fly ash mortars with nanosilica addition. Constr. Build. Mater. 2012, 36, 779–786. [Google Scholar] [CrossRef]
- Sideris, K.K.; Manita, P. Residual mechanical characteristics and spalling resistance of fiber reinforced self-compacting concretes exposed to elevated temperatures. Constr. Build. Mater. 2013, 41, 296–302. [Google Scholar] [CrossRef]
- Sanchayan, S.; Foster, S.J. High temperature behaviour of hybrid steel—PVA fibre reinforced reactive powder concrete. Mater. Struct. Constr. 2016, 49, 769–782. [Google Scholar] [CrossRef]
- Bangi, M.R.; Horiguchi, T. Effect of fibre type and geometry on maximum pore pressures in fibre-reinforced high strength concrete at elevated temperatures. Cem. Concr. Res. 2012, 42, 459–466. [Google Scholar] [CrossRef]
- Karahan, O.; Durak, U.; İlkentapar, S.; Atabey, I.I.; Atiş, C.D. Resistance of polypropylene fibered mortar to elevated temperature under different cooling regimes. J. Construct. 2019, 18, 386–397. [Google Scholar] [CrossRef]
- Ozawa, M.; Sato, R.; Yoon, M.-H.; Rokugo, K.; Kim, G.-Y.; Choe, G.-C. Thermal properties of jute fiber concrete at high temperature. J. Struct. Fire Eng. 2017, 7, 182–192. [Google Scholar] [CrossRef]















| Mineral | wt % | 
|---|---|
| C3S | 75.4 | 
| βC2S | 10.7 | 
| C3A | 0.7 | 
| C4AF | 11.7 | 
| CSH2 | 0.2 | 
| CaSO4 anhydrite | 0.9 | 
| MgO | 0.4 | 
| Constituent/Mixtures | E | PP | SB-5 | SB-15 | SB-S40 | |
|---|---|---|---|---|---|---|
| Cement (kg/m3) | 400 | 400 | 400 | 400 | 400 | |
| Water/cement ratio | 0.48 | 0.48 | 0.48 | 0.48 | 0.48 | |
| Aggregate | 0–4 mm (kg/m3) | 913.9 | 900.9 | 900.9 | 900.9 | 900.9 | 
| 4–8 mm (kg/m3) | 205 | 202.2 | 202.2 | 202.2 | 202.2 | |
| 8–16 mm (kg/m3) | 746.4 | 735.4 | 735.4 | 735.4 | 735.4 | |
| Fibers | PP fibers (kg/m3) | - | 9.1 | - | - | - | 
| SB–5 fibers (kg/m3) | - | - | 10 | - | - | |
| SB–15 fibers (kg/m3) | - | - | - | 10 | - | |
| SB–S40 fibers (kg/m3) | - | - | - | - | 10 | |
| Mixture | E | PP | SB-5 | SB-15 | SB-S40 | 
|---|---|---|---|---|---|
| Density (kg/m3) | 2466 | 2374 | 2370 | 2332 | 2353 | 
| Air content (%) | 3.2 | 2.8 | 2.8 | 3.2 | 3.8 | 
| Temperature (°C) | 19.2 | 21.1 | 19.7 | 19.2 | 19.5 | 
| Slump test (mm) | 50 | 0 | 10 | 10 | 0 | 
| Properties | Temp (°C) | Time (h) | E | PP | SB-5 | SB-15 | SB-S40 | 
|---|---|---|---|---|---|---|---|
| Weight (g) | 20 | 0 | 2324 ± 47.9 | 2286 ± 52.4 | 2312 ± 19.0 | 2316 ± 13.5 | 2320 ± 18.0 | 
| 100 | 0 | 2272 ± 18.0 | 2229 ± 11.3 | 2240 ± 23.7 | 2256 ± 8.9 | 2263 ± 13.8 | |
| 96 | 2204 ± 71.8 | 2183 ± 113.2 | 2264 ± 8.7 | 2252 ± 9.6 | 2233 ± 6.7 | ||
| 400 | 0 | 2238 ±30.8 | 2192 ± 17.6 | 2200 ± 2.7 | 2221 ± 12.5 | 2220 ± 14.3 | |
| 96 | 2247 ± 7.6 | 2195 ± 3.4 | 2201 ± 46.9 | 2226 ± 11.5 | 2237 ± 16.3 | ||
| Ultrasonic pulse velocity (m/s) | 20 | 0 | 4286 ± 38.5 | 4027 ± 52.4 | 4081 ± 34.2 | 4027 ± 24.6 | 4022 ± 52.6 | 
| 100 | 0 | 4033 ± 24.1 | 3611 ± 25.8 | 3659 ± 53.1 | 3640 ± 44.8 | 3583 ± 156.5 | |
| 96 | 3937 ± 51.4 | 3573 ± 107.4 | 3696 ± 38.4 | 3678 ± 18.4 | 3730 ± 36.4 | ||
| 400 | 0 | 2754 ± 20.8 | 2466 ± 11.3 | 2622 ± 5.0 | 2547 ± 52.1 | 2488 ± 125.7 | |
| 96 | 2784 ± 51.7 | 2468 ± 29.9 | 2507 ± 48.2 | 2561 ± 18.7 | 2567 ± 16.3 | ||
| Dinamic modulus of elasticity (GPa) | 20 | 0 | 38.77 ± 1.1 | 33.62 ± 1.3 | 34.79 ± 0.6 | 33.96 ± 0.5 | 33.93 ± 0.9 | 
| 100 | 0 | 33.47 ± 0.5 | 26.31 ± 0.4 | 27.13 ± 0.9 | 27.03 ± 0.6 | 26.28 ± 2.3 | |
| 96 | 31.38 ± 1.8 | 25.46 ± 2.4 | 27.94 ± 0.6 | 27.57 ± 0.4 | 28.14 ± 0.5 | ||
| 400 | 0 | 15.36 ± 0.4 | 12.05 ± 0.1 | 13.69 ± 0.1 | 13.02 ± 0.6 | 12.41 ± 1.3 | |
| 96 | 15.77 ± 0.6 | 12.09 ± 0.2 | 12.53 ± 0.7 | 13.19 ± 0.3 | 13.32 ± 0.2 | ||
| Compressive strength (MPa) | 20 | 0 | 45.05 ± 2.6 | 48.52 ± 4.0 | 50.74 ± 2.7 | 45.46 ± 4.3 | 50.64 ± 3.9 | 
| 100 | 0 | 35.86 ± 4.9 | 44.43 ± 2.2 | 42.50 ± 4.1 | 47.75 ± 0.6 | 42.52 ± 1.2 | |
| 96 | 38.80 ± 5.6 | 39.78 ± 5.9 | 43.94 ± 0.0 | 39.50 ± 5.3 | 42.31 ± 1.8 | ||
| 400 | 0 | 25.99 ± 2.6 | 21.90 ± 2.3 | 24.48 ± 0.5 | 23.86 ± 1.3 | 21.30 ± 4.6 | |
| 96 | 25.51 ± 1.5 | 18.56 ± 2.9 | 20.70 ± 0.7 | 20.36 ± 1.9 | 20.67 ± 0.1 | 
| Publisher’s Note: MDPI stays neutral with regard to jurisdictional claims in published maps and institutional affiliations. | 
© 2021 by the authors. Licensee MDPI, Basel, Switzerland. This article is an open access article distributed under the terms and conditions of the Creative Commons Attribution (CC BY) license (https://creativecommons.org/licenses/by/4.0/).
Share and Cite
Juradin, S.; Vranješ, L.K.; Jozić, D.; Boko, I. Post-Fire Mechanical Properties of Concrete Reinforced with Spanish Broom Fibers. J. Compos. Sci. 2021, 5, 265. https://doi.org/10.3390/jcs5100265
Juradin S, Vranješ LK, Jozić D, Boko I. Post-Fire Mechanical Properties of Concrete Reinforced with Spanish Broom Fibers. Journal of Composites Science. 2021; 5(10):265. https://doi.org/10.3390/jcs5100265
Chicago/Turabian StyleJuradin, Sandra, Lidia Karla Vranješ, Dražan Jozić, and Ivica Boko. 2021. "Post-Fire Mechanical Properties of Concrete Reinforced with Spanish Broom Fibers" Journal of Composites Science 5, no. 10: 265. https://doi.org/10.3390/jcs5100265
APA StyleJuradin, S., Vranješ, L. K., Jozić, D., & Boko, I. (2021). Post-Fire Mechanical Properties of Concrete Reinforced with Spanish Broom Fibers. Journal of Composites Science, 5(10), 265. https://doi.org/10.3390/jcs5100265
 
         
                                                




 
       