Preparation and Characterization of Graphene and Carbon Nanotube Hybrid Polydimethylsiloxane Composites for Protective Coating Applications
Abstract
1. Introduction
2. Materials and Methods
2.1. Materials
2.2. Composites Manufacture
2.3. Sample Characterization
2.3.1. X-Ray Diffraction (XRD)
2.3.2. Scanning Electron Microscopy (SEM)
2.3.3. Raman
2.3.4. Differential Scanning Calorimetry (DC)
2.3.5. Thermogravimetric Analysis (TGA)
2.3.6. Tensile Test
2.3.7. Oxygen Permeability
2.3.8. Dielectric Relaxation Spectroscopy (DRS)
2.3.9. Conductivity Measurements with Loresta GX
2.3.10. Electromagnetic Interference (EMI) Shielding
3. Results and Discussion
3.1. XRD
3.2. Scanning Electron Miscroscopy (SEM)
3.3. Raman
3.4. DSC
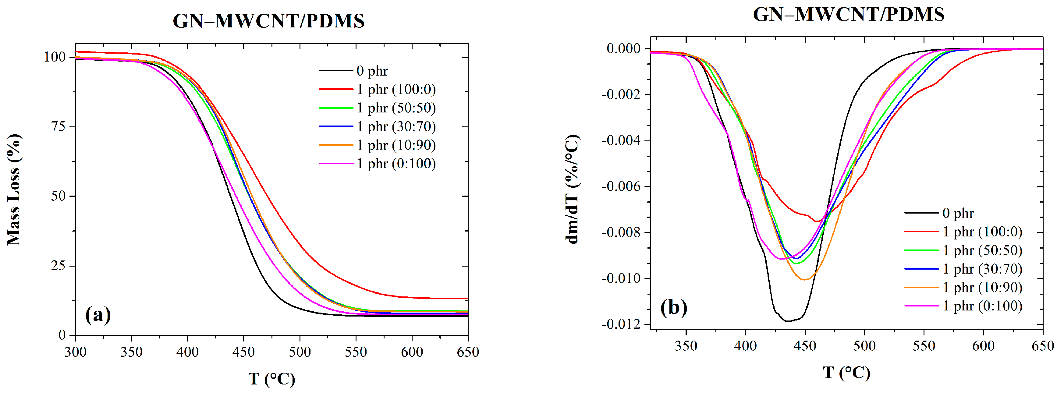
3.5. TGA
3.6. Tensile Strength
3.7. Permemability in O2
3.8. Dielectric Relaxation Spectroscopy (DRS)
3.9. Surface Resistance and Electric Conductivity Mesurements (Loresta GX)
3.10. Electromagnetic Intereference (EMI) Shielding Effectivenes
4. Conclusions
Author Contributions
Funding
Data Availability Statement
Acknowledgments
Conflicts of Interest
References
- Pradhan, B.; Srivastava, S.K. Synergistic effect of three-dimensional multi-walled carbon nanotube–graphene nanofiller in enhancing the mechanical and thermal properties of high-performance silicone rubber. Polym. Internat. 2014, 63, 1219–1228. [Google Scholar] [CrossRef]
- Yan, J.; Jeong, Y.G. Synergistic effect of hybrid carbon fillers on electric heating behavior of flexible polydimethylsiloxane-based composite films. Compos. Sci. Technol. 2015, 106, 134–140. [Google Scholar] [CrossRef]
- Shchegolkov, A.V.; Jang, S.-H.; Shchegolkov, A.V.; Rodionov, Y.V.; Glivenkova, O.A. Multistage Mechanical Activation of Multilayer Carbon Nanotubes in Creation of Electric Heaters with Self-Regulating Temperature. Materials 2021, 14, 4654. [Google Scholar] [CrossRef] [PubMed]
- Kumar, V.; Alam, M.N.; Manikkavel, A.; Choi, J.; Lee, D.-J. Investigation of silicone rubber composites reinforced with carbon nanotube, nanographite, their hybrid, and applications for flexible devices. J. Vinyl Addit. Technol. 2021, 27, 254–263. [Google Scholar] [CrossRef]
- Araby, S.; Saber, N.; Ma, X.; Kawashima, N.; Kang, H.; Shen, H.; Zhang, L.; Xu, J.; Majewski, P.; Ma, J. Implication of multi-walled carbon nanotubes on polymer/graphene composites. Mater. Design 2015, 65, 690–699. [Google Scholar] [CrossRef]
- Barshutina, M.N.; Volkov, V.S.; Arsenin, A.V.; Yakubovsky, D.I.; Melezhik, A.V.; Blokhin, A.N.; Tkachev, A.G.; Lopachev, A.V.; Kondrashov, V.A. Biocompatible, Electroconductive, and Highly Stretchable Hybrid Silicone Composites Based on Few-Layer Graphene and CNTs. Nanomaterials 2021, 11, 1143. [Google Scholar] [CrossRef]
- Yu, D.; Dai, L. Self-Assembled Graphene/Carbon Nanotube Hybrid Films for Supercapacitors. J. Phys. Chem. Lett. 2010, 1, 467–470. [Google Scholar] [CrossRef]
- Nguyen, D.D.; Tai, N.-H.; Chen, S.-Y.; Chueh, Y.-L. Controlled growth of carbon nanotube-graphene hybrid materials for flexible and transparent conductors and electron field emitters. Nanoscale 2012, 4, 632–638. [Google Scholar] [CrossRef]
- Hu, H.; Zhao, L.; Liu, J.; Liu, Y.; Cheng, J.; Luo, J.; Liang, Y.; Tao, Y.; Wang, X.; Zhao, J. Enhanced dispersion of carbon nanotube in silicone rubber assisted by graphene. Polymer 2012, 53, 3378–3385. [Google Scholar] [CrossRef]
- Zhao, S.; Bai, L.; Zheng, J. Facile preparation of carbon nanotubes–graphene hybrids and the effect of aspect ratio of carbon nanotubes on electrical and thermal properties of silicone rubber based composites. Mater. Res. Express 2018, 5, 015301. [Google Scholar] [CrossRef]
- Lee, C.; Jug, L.; Meng, E. High strain biocompatible polydimethylsiloxane-based conductive graphene and multiwalled carbon nanotube nanocomposite strain sensors. Appl. Phys. Let. 2013, 102, 183511. [Google Scholar] [CrossRef]
- Kantarak, E.; Rucman, S.; Kumpika, T.; Sroila, W.; Tippo, P.; Panthawan, A.; Sanmuangmoon, P.; Sriboonruang, A.; Jhuntama, N.; Wiranwetchayan, O.; et al. Fabrication, Design and Application of Stretchable Strain Sensors for Tremor Detection in Parkinson Patient. Appl. Compos. Mater. 2020, 27, 955–968. [Google Scholar] [CrossRef]
- Piscitelli, F.; Lo Gatto, M.L.; Rollo, G.; Filippone, G.; Lavorgna, M. Solvent-free process for the synthesis of highly stretchable piezoresistive sensors based on polydimethylsiloxane filled with graphene nanoplatelets and carbon nanotubes. IOP Conf. Ser. Mater. Sci. Engin. 2020, 1024, 012003. [Google Scholar] [CrossRef]
- Gandhi, B.; Raghana, N.S. Graphene and graphene nanohybrid composites-based electrodes for physiological sensing applications. Biomed. Microdev. 2022, 24, 29. [Google Scholar] [CrossRef] [PubMed]
- Wei, H.; Yao, F.; Feng, X.; Zhu, X. Flexible piezoresistive pressure sensor based on graphene-carbon nanotube-polydimethylsiloxane composite. Nano Prec. Eng. 2024, 7, 033004. [Google Scholar] [CrossRef]
- ASTM D412:2006; Standard Test Methods for Vulcanized Rubber and Thermoplastic Elastomers-Tension. ASTM International: West Conshohocken, PA, USA, 2006.
- Favvas, E.P.; Kouvelos, E.P.; Romanos, G.E.; Pilatos, G.I.; Mitropoulos, A.C.; Kanellopoulos, N.K. Characterization of highly selective microporous carbon hollow fiber membranes prepared from a commercial co-polyimide precursor. J. Porous Mater. 2008, 15, 625–633. [Google Scholar] [CrossRef]
- Schönhals, A.; Kremer, F. Analysis of dielectric spectra. In Broadband Dielectric Spectroscopy, 1st ed.; Kremer, F., Schönhals, A., Eds.; Springer: New York, NY, USA, 2003; pp. 59–98. [Google Scholar]
- Kaiser, K.L. Electromagnetic Shielding, 1st ed.; CRC Press: New York, NY, USA, 2006; pp. 1–41. [Google Scholar]
- Ketikis, P.; Damopoulos, E.; Pilatos, G.; Klonos, P.; Kyritsis, A.; Tarantili, P.A. Preparation by solution mixing and characterization of condensation type poly(dimethyl siloxane)/graphene nanoplatelets composites. J. Compos. Mater. 2022, 56, 251–266. [Google Scholar] [CrossRef]
- Ketikis, P.; Damopoulos, E.; Pilatos, G.; Tarantili, P.A. Preparation by direct mixing and characterization of graphene nanoplatelet filled poly(dimethyl siloxane) composites. Mater. Today Proc. 2022, 54, 113–117. [Google Scholar] [CrossRef]
- Zong, Y.; Gui, D.; Li, S.; Tan, G.; Xiong, W.; Liu, J. Preparation and thermo-mechanical properties of functionalized graphene/silicone rubber nanocomposites. In Proceedings of the 16th International Conference on Electronic Packaging Technology (ICEPT), Changsha, China, 11–14 August 2015. [Google Scholar]
- Ma, W.; Li, J.; Deng, B.; Lin, X.; Zhao, X. Properties of functionalized graphene/room temperature vulcanized silicone rubber composites prepared by an In-situ reduction method. J. Wuhan Univ. Technol.-Mater. Sci. Ed. 2013, 28, 127–131. [Google Scholar] [CrossRef]
- Liu, D.; Kong, Q.-Q.; Jia, H.; Xie, L.-J.; Chen, J.; Tao, Z.; Wang, Z.; Jiang, D.; Chen, C.-M. Dual-functional 3D multi-wall carbon nanotubes/graphene/silicone rubber elastomer: Thermal management and electromagnetic interference shielding. Carbon 2021, 183, 216–224. [Google Scholar] [CrossRef]
- Wise, K.; Park, C.; Siochi, E.; Harrison, J. Stable dispersion of single wall carbon nanotubes in polyimide: The role of noncovalent interactions. Chem. Phys. Let. 2004, 391, 207–211. [Google Scholar] [CrossRef]
- Saji, J.; Khare, A.; Choudhary, R.; Mahapatra, S. Impedance analysis, dielectric relaxation, and electrical conductivity of multi-walled carbon nanotube-reinforced silicon elastomer nanocomposites. J. Elastom. Plast. 2015, 47, 394–415. [Google Scholar] [CrossRef]
- Kumar, V.; Tang, X.-W.; Liu, S.-C.; Lee, D.-J. Studies on nanocomposites reinforced with CNTs in different types of dielectric rubber. Sens. Actuat. A Phys. 2017, 267, 310–317. [Google Scholar] [CrossRef]
- Zhang, C.; Tjiu, W.W.; Liu, T.; Lui, W.Y.; Phang, I.Y.; Zhang, W.-D. Dramatically Enhanced Mechanical Performance of Nylon-6 Magnetic Composites with Nanostructured Hybrid One-Dimensional Carbon Nanotube−Two-Dimensional Clay Nanoplatelet Heterostructures. J. Phys. Chem. B 2011, 115, 3392–3399. [Google Scholar] [CrossRef]
- Ivanenko, K.; Ushakova, L.M.; Avramenko, T.; Revo, S.; Kartel, M.T.; Sementsov, Y.I. Influence of Nanofillers Concentration on Physical and Mechanical Characteristics of Their Polymer Composites. In Spriger Proceedings in Physics Nanomaterials and Nanocomposites, Nanostructure Surfaces, and Their Applications; Spinger International Publishing: Berlin/Heidelberg, Germany, 2020; pp. 685–698. [Google Scholar] [CrossRef]
- Zhao, X.; Zhang, Q.; Chen, D.; Lu, P. Enhanced Mechanical Properties of Graphene-Based Poly(vinyl alcohol) Composites. Macromolecules 2010, 43, 2357–2363. [Google Scholar] [CrossRef]
- Yang, C.-R.; Chen, C.-D.; Cheng, C.; Shi, W.-H.; Chen, P.-H.; Teng, T.-P. Synergistic effect of hybrid fillers/polydimethylsiloxane composites on enhancing thermal conductivity. Case Stud. Therm. Eng. 2021, 28, 101591. [Google Scholar] [CrossRef]
- Balandin, A.A.; Ghosh, S.; Bao, W.; Calizo, I.; Teweldebrhan, D.; Miao, F.; Lau, C.N. Superior thermal conductivity of single-layer graphene. Nano Lett. 2008, 8, 902–907. [Google Scholar] [CrossRef]
- Cao, C.-F.; Zhu, G.-T.; Tang, L.-C. Flame retardant properties of polymer/graphene nanocomposites. In Flame Retardant Nanocomposites: Emergent Nanoparticles and Their Applications, 1st ed.; Thomas, S., Vahabi, H., Somasekharan, L., Eds.; Elsevier Science: London, UK, 2024; pp. 159–200. [Google Scholar]
- Ketikis, P.; Stavrianakou, D.; Damopoulos, E.; Pilatos, G.; Todorova, N.; Trapalis, C.; Tarantili, P.A. The effect of graphene oxide on thermomechanical and permeability properties of poly(dimethyl siloxane) composites. Mater. Today Proc. 2022, 54, 80–90. [Google Scholar] [CrossRef]
- Alamusi; Hu, N.; Fukunaga, H.; Atobe, S.; Yaolu Liu, Y.; Li, J. Piezoresistive Strain Sensors Made from Carbon Nanotubes Based Polymer Nanocomposites. Sensors 2011, 11, 10691–10723. [Google Scholar] [CrossRef]
- Alig, I.; Pötschke, P.; Lellinger, D.; Skipa, T.; Pegel, S.; Kasaliwal, G.R.; Villmow, T. Establishment, morphology and properties of carbon nanotube networks in polymer melts. Polymer 2012, 1, 4–28. [Google Scholar] [CrossRef]
- Panagiotis, A.; Klonos, P.A.; Papadopoulos, L.; Kourtidou, D.; Chrissafis, K.; Peoglos, V.; Kyritsis, A.N.; Bikiaris, D.N. Effects of Expandable Graphite at Moderate and Heavy Loadings on the Thermal and Electrical Conductivity of Amorphous Polystyrene and Semicrystalline High-Density Polyethylene. Appl. Nano 2021, 2, 31–45. [Google Scholar] [CrossRef]
- Kuester, S.; Demarquette, N.R.; Ferreira, J.C.; Soares, B.G.; Barra, G.M.O. Hybrid nanocomposites of thermoplastic elastomer and carbon nanoadditives for electromagnetic shielding. Europ. Polym. J. 2017, 88, 328–339. [Google Scholar] [CrossRef]
- Zhao, S.; Yan, Y.; Gao, A.; Zhao, S.; Cui, J.; Zhang, G. Flexible Polydimethylsilane Nanocomposites Enhanced with a Three-Dimensional Graphene/Carbon Nanotube Bicontinuous Framework for High-Performance Electromagnetic Interference Shielding. ACS Appl. Mater. Interf. 2018, 10, 26723–26732. [Google Scholar] [CrossRef] [PubMed]
- Zhu, S.; Xing, C.; Wu, F.; Zuo, X.; Zhang, Y.; Yu, C.; Chen, M.; Li, W.; Li, Q.; Liu, L. Cake-like flexible carbon nanotubes/graphene composite prepared via a facile method for high-performance electromagnetic interference shielding. Carbon 2019, 145, 259–265. [Google Scholar] [CrossRef]















| GN–MWCNT (w/w) | ID/IG | Peak G (cm−1) |
|---|---|---|
| 1 phr (100:0) | 0.58 ± 0.06 | 1579 ± 2 |
| 1 phr (50:50) | 1.15 ± 0.02 | 1586 ± 1 |
| 1 phr (30:70) | 1.09 ± 0.06 | 1592 ± 4 |
| 1 phr (10:90) | 1.11 ± 0.09 | 1588 ± 3 |
| 1 phr (0:100) | 1.24 ± 0.02 | 1591 ± 5 |
| 2 phr (100:0) | 0.80 ± 0.01 | 1581 ± 1 |
| 2 phr (50:50) | 1.10 ± 0.06 | 1583 ± 2 |
| 2 phr (10:90) | 1.19 ± 0.03 | 1589 ± 3 |
| 2 phr (0:100) | 1.21 ± 0.02 | 1591 ± 2 |
| 4 phr (100:0) | 0.75 ± 0.02 | 1581 ± 1 |
| 4 phr (50:50) | 1.08 ± 0.03 | 1582 ± 2 |
| 4 phr (10:90) | 1.17 ± 0.03 | 1589 ± 4 |
| 4 phr (0:100) | 1.20 ± 0.02 | 1590 ± 2 |
| GN–MWCNT (w/w) | Tg (°C) | Tc (°C) | Tm (°C) | ΔHc,PDMS (J/g) | ΔHm,PDMS (J/g) | Xc (%) |
|---|---|---|---|---|---|---|
| 0 phr | −123.2 ± 0.2 | −69.8 ± 1.2 | −44.5 ± 0.6 | −24.75 ± 0.33 | 24.99 ± 2.35 | 40.77 |
| 1 phr (100:0) | −122.2 ± 0.8 | −64.7 ± 0.1 | −42.2 ± 0.0 | −22.88 ± 0.23 | 23.15 ± 0.09 | 37.77 |
| 1 phr (50:50) | −121.3 ± 0.9 | −65.9 ± 0.2 | −44.5 ± 0.4 | −26.50 ± 0.24 | 23.00 ± 0.63 | 37.52 |
| 1 phr (30:70) | −122.8 ± 0.2 | −66.0 ± 0.0 | −44.4 ± 0.2 | −27.21 ± 2.03 | 24.10 ± 1.13 | 39.31 |
| 1 phr (10:90) | −121.1 ± 0.1 | −66.7 ± 0.1 | −44.2 ± 0.5 | −24.82 ± 0.34 | 24.06 ± 0.13 | 39.25 |
| 1 phr (0:100) | −123.6 ± 1.5 | −68.3 ± 0.0 | −45.2 ± 0.0 | −25.33 ± 0.98 | 24.86 ± 0.65 | 40.55 |
| 2 phr (100:0) | −122.1 ± 0.2 | −70.5 ± 0.5 | −41.6 ± 0.4 | −26.45 ± 0.45 | 23.52 ± 0.22 | 38.37 |
| 2 phr (50:50) | −126.0 ± 1.4 | −66.5 ± 0.0 | −45.0 ± 0.3 | −25.87 ± 1.38 | 24.72 ± 0.42 | 40.33 |
| 2 phr (10:90) | −126.5 ± 0.6 | −67.7 ± 1.4 | −44.8 ± 1.3 | −23.82 ± 2.1 | 23.2 ± 2.81 | 37.85 |
| 2 phr (0:100) | −122.6 ± 0.2 | −70.6 ± 2.1 | −44.3 ± 0.4 | −25.40 ± 0.51 | 23.97 ± 1.31 | 39.10 |
| 4 phr (100:0) | −121.0 ± 2.7 | −67.3 ± 0.7 | −39.5 ± 0.2 | −26.74 ± 0.23 | 24.76 ± 0.23 | 40.39 |
| 4 phr (50:50) | −119.6 ± 0.8 | −69.6 ± 0.6 | −45.1 ± 0.5 | −25.36 ± 1.64 | 22.91 ± 1.65 | 37.37 |
| 4 phr (10:90) | −120.1 ± 1.9 | −74.0 ± 0.8 | −46.5 ± 0.4 | −24.46 ± 1.69 | 23.16 ± 0.19 | 37.78 |
| 4 phr (0:100) | −121.2 ± 1.7 | −75.0 ± 0.2 | −44.3 ± 0.1 | −22.34 ± 3.22 | 19.34 ± 2.57 | 31.55 |
| GN–MWCNT (w/w) | Tonset (°C) | Td5% (°C) | Tpeak (°C) | Tendset (°C) | Residue (%) |
|---|---|---|---|---|---|
| 0 phr | 371.4 ± 0.1 | 381.4 ± 2.7 | 434.1 ± 2.3 | 504.0 ± 1.8 | 7.85 ± 1.22 |
| 1 phr (100:0) | 360.6 ± 0.5 | 397.2 ± 1.9 | 456.6 ± 5.3 | 593.5 ± 2.1 | 13.56 ± 0.21 |
| 1 phr (50:50) | 363.2 ± 1.0 | 387.8 ± 0.2 | 442.0 ± 0.1 | 562.9 ± 0.9 | 9.78 ± 1.47 |
| 1 phr (30:70) | 368.7 ± 0.5 | 390.4 ± 1.3 | 441.2 ± 1.7 | 564.5 ± 0.5 | 7.84 ± 0.22 |
| 1 phr (10:90) | 368.2 ± 0.6 | 391.1 ± 0.8 | 449.0 ± 1.3 | 554.6 ± 4.1 | 8.56 ± 0.09 |
| 1 phr (0:100) | 347.6 ± 1.7 | 371.1 ± 1.1 | 435.5 ± 2.7 | 553.2 ± 1.1 | 7.24 ± 0.16 |
| 2 phr (100:0) | 407.1 ± 2.8 | 427.9 ± 0.9 | 496.1 ± 1.4 | 622.2 ± 2.0 | 10.27 ± 0.05 |
| 2 phr (50:50) | 378.0 ± 2.4 | 396.1 ± 4.9 | 459.7 ± 2.4 | 568.1 ± 0.3 | 9.48 ± 0.61 |
| 2 phr (10:90) | 368.9 ± 1.5 | 381.0 ± 5.5 | 444.6 ± 1.2 | 576.8 ± 7.4 | 8.72 ± 0.23 |
| 2 phr (0:100) | 358.7 ± 3.1 | 381.8 ± 4.0 | 447.7 ± 0.1 | 580.2 ± 1.0 | 8.18 ± 0.46 |
| 4 phr (100:0) | 424.5 ± 1.3 | 440.2 ± 1.2 | 510.9 ± 2.7 | 632.8 ± 3.6 | 12.17 ± 0.09 |
| 4 phr (50:50) | 388.9 ± 3.7 | 406.1 ± 4.1 | 482.9 ± 6.6 | 568.4 ± 1.8 | 11.44 ± 0.09 |
| 4 phr (10:90) | 366.5 ± 0.9 | 393.7 ± 3.5 | 452.7 ± 0.1 | 589.2 ± 0.3 | 12.99 ± 1.01 |
| 4 phr (0:100) | 371.2 ± 1.5 | 393.8 ± 0.5 | 445.9 ± 1.8 | 573.6 ± 4.0 | 9.71 ± 0.80 |
| Filler Content (GN–MWCNT) | Tensile Strength (ΜPa) | Modulus of Elasticity (MPa) | Strain at Break (%) |
|---|---|---|---|
| 0 phr | 0.33 ± 0.05 | 1.10 ± 0.07 | 47.78 ± 7.62 |
| 1 phr (100:0) | 0.45 ± 0.03 | 1.05 ± 0.06 | 83.62 ± 12.04 |
| 1 phr (50:50) | 0.51 ± 0.04 | 1.34 ± 0.02 | 62.94 ± 7.45 |
| 1 phr (30:70) | 0.52 ± 0.07 | 1.28 ± 0.00 | 65.67 ± 14.52 |
| 1 phr (10:90) | 0.48 ± 0.03 | 1.35 ± 0.04 | 52.57 ± 2.47 |
| 1 phr (0:100) | 0.66 ± 0.05 | 1.63 ± 0.04 | 65.27 ± 3.16 |
| 2 phr (100:0) | 0.49 ± 0.08 | 0.98 ± 0.02 | 48.53 ± 7.24 |
| 2 phr (50:50) | 0.70 ± 0.10 | 1.39 ± 0.13 | 76.07 ± 13.17 |
| 2 phr (10:90) | 0.51 ± 0.03 | 1.34 ± 0.03 | 59.82 ± 4.13 |
| 2 phr (0:100) | 0.53 ± 0.11 | 1.76 ± 0.11 | 46.37 ± 12.63 |
| 4 phr (100:0) | 0.57 ± 0.05 | 0.83 ± 0.01 | 158.43 ± 14.90 |
| 4 phr (50:50) | 0.66 ± 0.03 | 1.41 ± 0.06 | 74.23 ± 6.45 |
| 4 phr (10:90) | 0.44 ± 0.04 | 1.57 ± 0.10 | 46.57 ± 4.44 |
| 4 phr (0:100) | 0.64 ± 0.10 | 2.19 ± 0.11 | 54.08 ± 4.30 |
| GN–MWCNT (w/w) | Surface Resistance, ρ (Ω/cm2) | Conductivity, σ (S/cm) |
|---|---|---|
| 1 phr (100:0) | - | - |
| 1 phr (50:50) | 6.66 × 107 ± 2.66 × 107 | 1.64 × 10−7 ± 0.53 × 10−7 |
| 1 phr (30:70) | 1.42 × 107 ± 0.47 × 107 | 7.49 × 10−7 ± 2.12 × 10−7 |
| 1 phr (10:90) | 1.47 × 107 ± 0.27 × 107 | 6.97 × 10−7 ± 1.33 × 10−7 |
| 1 phr (0:100) | 2.32 × 102 ± 0.00 | 6.32 × 10−3 ± 0.00 |
| 2 phr (100:0) | - | - |
| 2 phr (50:50) | 1.43 × 104 ± 0.03 × 104 | 68.5 × 10−5 ± 1.40 × 10−5 |
| 2 phr (10:90) | 3.45 × 103 ± 0.08 × 103 | 2.29 × 10−3 ± 0.05 × 10−3 |
| 2 phr (0:100) | 3.49 × 102 ± 0.10 × 102 | 2.05 × 10−2 ± 0.00 |
| 4 phr (100:0) | - | - |
| 4 phr (50:50) | 2.02 × 103 ± 0.06 × 103 | 4.21 × 10−3 ± 0.00 |
| 4 phr (10:90) | 1.26 × 102 ± 0.20 × 102 | 4.92 × 10−2 ± 1 × 10−2 |
| 4 phr (0:100) | 6.96 × 101 ± 0.25 × 101 | 8.98 × 10−2 ± 0.00 |
Disclaimer/Publisher’s Note: The statements, opinions and data contained in all publications are solely those of the individual author(s) and contributor(s) and not of MDPI and/or the editor(s). MDPI and/or the editor(s) disclaim responsibility for any injury to people or property resulting from any ideas, methods, instructions or products referred to in the content. |
© 2024 by the authors. Licensee MDPI, Basel, Switzerland. This article is an open access article distributed under the terms and conditions of the Creative Commons Attribution (CC BY) license (https://creativecommons.org/licenses/by/4.0/).
Share and Cite
Ketikis, P.; Tsalas, I.; Klonos, P.A.; Pilatos, G.; Giannakopoulou, T.; Kyritsis, A.; Trapalis, C.; Tarantili, P.A. Preparation and Characterization of Graphene and Carbon Nanotube Hybrid Polydimethylsiloxane Composites for Protective Coating Applications. J. Compos. Sci. 2024, 8, 499. https://doi.org/10.3390/jcs8120499
Ketikis P, Tsalas I, Klonos PA, Pilatos G, Giannakopoulou T, Kyritsis A, Trapalis C, Tarantili PA. Preparation and Characterization of Graphene and Carbon Nanotube Hybrid Polydimethylsiloxane Composites for Protective Coating Applications. Journal of Composites Science. 2024; 8(12):499. https://doi.org/10.3390/jcs8120499
Chicago/Turabian StyleKetikis, Panayiotis, Ioannis Tsalas, Panagiotis A. Klonos, George Pilatos, Tatiana Giannakopoulou, Apostolos Kyritsis, Christos Trapalis, and Petroula A. Tarantili. 2024. "Preparation and Characterization of Graphene and Carbon Nanotube Hybrid Polydimethylsiloxane Composites for Protective Coating Applications" Journal of Composites Science 8, no. 12: 499. https://doi.org/10.3390/jcs8120499
APA StyleKetikis, P., Tsalas, I., Klonos, P. A., Pilatos, G., Giannakopoulou, T., Kyritsis, A., Trapalis, C., & Tarantili, P. A. (2024). Preparation and Characterization of Graphene and Carbon Nanotube Hybrid Polydimethylsiloxane Composites for Protective Coating Applications. Journal of Composites Science, 8(12), 499. https://doi.org/10.3390/jcs8120499

