Abstract
Due to the significantly increasing demand for plastic components, it has become necessary to investigate polymer recycling solutions to eliminate their adverse environmental impact. The focus of this study is to examine the feasibility of recycling polypropylene and a thermoplastic elastomer up to five times using additive manufacturing. This study also focuses on the production and evaluation of the quality of hybrid components based on polypropylene and thermoplastic elastomers. A thermomechanical recycling approach is used, which involves subjecting polymers to thermal and mechanical processes to obtain a usable material form after each recycling cycle. Additive manufacturing was used to produce specimens using the material in both filament and granular form. The thermal, mechanical, and rheological properties of the specimens were characterized by means of various analytical techniques, including tensile test, impact test, optical microscopy, Fourier-transform infrared spectroscopy, thermogravimetric analysis, dynamic scanning calorimetry, and rheological tests in order to study the degradation characteristics of the recycled polymers. The results generally indicate that the chosen recycling procedure causes only slight alterations in the material properties by means of thermal and rheological tests, while impacting mechanical properties and printability.
1. Introduction
The demand for and production of plastic components has grown significantly in recent years. The environment has been negatively impacted because of the poor collection and disposal of plastic waste. Consequently, polymer recycling is required due to the rising environmental issues surrounding plastic waste. Through the reuse of plastic waste throughout the manufacturing process, polymer recycling offers a sustainable option to reduce the negative impact and to save resources and energy. To solve this problem with waste management, the European Commission introduced a Circular Economy package in 2015 [1].
In 2021, the global production of plastics reached 390.7 million metric tons. Recycled plastics only make up roughly 8% of that total. Recycled plastics made up slightly more than 10% of the total plastic production value of 57.2 million metric tons when compared to the figures for European plastics production. The most widely used plastics, according to the data, are polypropylene (PP), low density polyethylene (LDPE), poly(vinyl chloride) (PVC), and high-density polyethylene (HDPE) [2].
Due to the versatile properties of polymers, they are used in many day-to-day applications. Therefore, it is essential to develop sustainable methods to recycle various polymer materials and reduce their negative impact on the environment. To overcome this problem, recent studies show that, based on the type of polymers, different recycling strategies can be implemented. Polymers can be recycled using technologies such as mechanical recycling, feedstock or chemical recycling, physical recycling, thermal recycling, energy recovery, and biological recycling [3,4,5,6,7,8]. Various factors affect the choice of recycling methods such as the properties of polymers, the need for pre- and post-processing, and the desired quality of the recycled material. This study deals with the recycling of polymers from known properties using thermomechanical processes.
Mechanical recycling is usually performed for thermoplastics polymers such as PP, poly(ethylene terephthalate) (PET), polyethylene (PE), polystyrene (PS), and PVC [7]. In this approach, the first step after sorting the plastic waste is shredding. The shredding process involves breaking down the plastic part into small pellets, granules, or powder forms. The next step is to process the recycled material to obtain the final component by melting the material. The processing methods mainly include extrusion, injection molding, and deep drawing [8,9]. Therefore, in mechanical recycling, a single type of polymer is used to obtain recycled components from the same material. The material goes through several mechanical and thermal processes. Shamsuyeva et al. showed the various processing steps involved in the mechanical recycling of polymers and this approach includes the identification and sorting of waste, followed by grinding, agglomerating, and compounding [4]. Recycled polymers are used in a variety of applications across manufacturing industries. Components produced from recycled material help in the reduction of demand for new plastic production. Thus, it is very beneficial when seeking to save energy and reduce costs.
Several challenges are faced during polymer recycling. Separating the contaminations is one of the main challenges. Various contaminants mix with the primary material when plastics are collected. To improve the quality of the recycled component, all dirt and other impurities must be removed. This ensures that the properties of the material after recycling are not significantly altered [10,11]. If the components are complex and produced using multiple materials then it is difficult to identify and separate the different materials. Moreover, during recycling, the material is subjected to a series of processing cycles and this affects the physical and mechanical properties of the materials [10]. Therefore, degradation is another concern linked with recycling. However, various studies were carried out to understand how the material degrades during recycling [12,13,14]. In this study, instead of polymer waste, recycling is carried out on known properties of the virgin material for up to five recycling cycles, so that the changes in the properties and the degradation behavior of the materials can clearly be examined.
According to recent research, additive manufacturing (AM) presents a potential approach to use recycled polymers [12,15]. It provides various advantages like flexibility in the design, reducing wastage, eliminating the need for mass production, and saving energy. With the development of polymer materials, there is an increasing demand for components that are lightweight and durable. Therefore, it is essential to develop sustainable methods to recycle various polymer materials. Fused Filament Fabrication (FFF) and Fused Granular Fabrication (FGF) are the most common AM methods based on material extrusion. Both involve adding material layer by layer to produce a desired object. This contrasts with subtractive manufacturing, which involves cutting, drilling, or shaping materials to obtain the desired component [16,17]. Unlike traditional filament-based printing methods, FGF uses polymer granules directly, making it possible to blend different materials during the printing process. This approach allows the production of parts that combine different properties, such as strength, heat resistance, and flame retardancy, all in a single manufacturing process. Recent research has worked on fine-tuning the printing settings to achieve these multifunctional features [18,19], while new designs in pellet extruders have made it easier to mix different materials during printing [20]. However, FGF faces specific challenges when processing elastomer composites, particularly related to achieving uniform filler distribution, maintaining dimensional accuracy, and optimizing extrusion parameters [18,19]. With the help of AM, it is possible to produce complex, durable, and lightweight components in a short time and at a reduced cost compared to conventional manufacturing processes. The most common recycling approach is to produce a filament from recycled polymer waste, and the filament can be used as the source material for the FFF process to manufacture polymer components [12,13,14,21,22,23,24]. The processing steps mainly include collection and identification of the waste. Pellets or flakes are obtained by using the process of grinding or shredding the waste. Then the pellets are cleaned and dried to remove the moisture content. The final step before AM is to produce the filament.
Polypropylene is extensively used in various applications due to its desirable properties like low density, good chemical resistance, recyclability, excellent mechanical properties, and resistance to fatigue and stress cracking [25,26]. Therefore, in recent years, to produce low-cost and durable components, the utilization of PP using FFF has increased significantly [24]. It is already clear from the literature mentioned in the previous section that PP has good recycling potential using AM. Thermoplastic elastomers can be composed of a hard thermoplastic segment and a soft elastomeric segment. Thermoplastic elastomers (TPE) can be molten and treated numerous times, unlike rubber, because of the presence of thermoplastic segments and the absence of chemical crosslinks. TPE can be easily processed by implementing methods like injection molding, extrusion, and blow molding in a manner similar to that of thermoplastics. TPE comes in a range of hardness types, from extremely soft to rigid [27,28]. In addition, TPE can bond with other plastics. This makes it suitable to be processed with different polymers [29,30]. Considering the good processability and recyclability of TPE, it has the potential to produce different components using FFF [29]. The major problems associated with TPE, due to its elastic nature, are extrusion issues. During AM, inconsistent filament feeding and extrusion are frequently caused by filament sliding or grinding in the extruder [30].
In this study, a PP grade and a TPE grade are processed and recycled using AM technology. A specific methodology is carried out, which will be explored in more detail in the following sections, and it consists of drying the material, shredding, filament extrusion, and AM. Manufacturing a specimen following this methodology is considered as a single recycling cycle, and recycling is performed up to five times. For this research, the source material is obtained in pellet form instead of plastic waste. This is conducted to ensure that there are standard reference values to compare the results after each recycling cycle. To better understand and investigate the degrading behavior of the polymers, it is also beneficial to know the properties of the source material. The pellets are used to make a filament or to directly manufacture components. Then recycling is performed according to the methodology.
The overall quality, structural alterations, mechanical, and thermal characteristics of the recycled specimens after recycling are investigated to understand the polymer degradation behavior. Various testing methods such as tensile test, impact test, optical microscopy, Fourier-transform infrared spectroscopy, thermogravimetric analysis, dynamic scanning calorimetry and rheological tests are performed.
2. Materials and Methods
2.1. Materials
In this work, a commercially available polypropylene (PP 56M10) was obtained in the form of pellets from the manufacturer Sabic from Sittard in the Netherlands. This PP grade has a density of 0.905 g/cm3 at room temperature, a stress at yield of 27 MPa and a strain at yield of 5%, and a Charpy impact notched strength of 12.5 kJ/m2 [31]. A medical-grade TPE, with a density of 0.880 g/cm3 at room temperature and a hardness shore A of 46, was used from KRAIBURG TPE GmbH & Co KG (Waldkraiburg, Germany) in the form of pellets [32]. According to the manufacturer, this material can be easily processed using injection molding and extrusion techniques without additional finishing requirements. In addition, it is supposed to have good adhesion to various thermoplastics polymers like polypropylene and polyethylene. Hence, it should be a suitable material to manufacture hybrid components in this study along with PP.
2.2. Recycling Methodology
In this study, two different materials are selected that have distinct properties and limitations. To address these differences, two separate methodologies for each material are proposed. The common consideration that both approaches share is the use of virgin materials in pellet form as the source material. As a result, the material is free from contamination or variations and the properties of the material are well-known and consistent throughout the study.
The recycling methodology for PP is illustrated in Figure 1. It is divided into five main categories: material preparation, shredding, filament extrusion, additive manufacturing, and testing. An important aspect of PP to consider is the possibility to absorb moisture from the surrounding environment [33]. As a result of this, subsequent processes may encounter several issues. Therefore, a drying process is required to make sure that the material is dry and moisture-free. Moisture negatively affects the general quality and characteristics of the finished products. It can lead to problems like voids, bubbles, poor surface quality, and decreased mechanical strength [33]. Drying was achieved using the Airid Polymer Dryer, from the Dutch company 3devo B.V from Utrecht, to eliminate moisture. The stirring rotator mechanism used by this dryer makes sure that the polymer is dried uniformly over all surfaces. For PP, a drying temperature of 80 °C was chosen because it achieves a balance between effective moisture removal and preventing overheating, which might possibly damage the polymer. The drying duration was set to three hours, allowing sufficient time for moisture to evaporate from the PP pellets. In addition, the mixing speed of the dryer was set to 10 rpm. One of the most important steps in the recycling process is the creation of a filament using an extruder. This process involves introducing plastic material into a hopper and then forcing it through a driving screw into a heated barrel that is maintained at a particular temperature. As the temperature rises, the plastic material melts and becomes soft, eventually being extruded out through a nozzle with a fixed diameter. The diameter of the produced filament might vary depending on several factors. It is significantly influenced by the temperatures in the heating zones, screw rotational speed, cooling rate, and the nozzle diameter. The polymer melt is then extruded through a nozzle to create a filament. The study utilized a specific type of extruder called the Composer 350, manufactured by the Dutch company 3devo B.V from Utrecht. Extruder heaters and process zones are shown in Figure 2.
Figure 1.
Detailed recycling methodology for PP.
Figure 2.
Extruder heaters and process zones (H1 to H4).
This extruder is equipped with four heating zones, which allow precise temperature control while producing filament. One main feature of the extruder is its built-in measurement system, which enables real-time monitoring of the filament diameter accuracy during production, and the extruding speeds are controlled automatically to ensure that the diameter remains within acceptable limits. In this study, the aim was to produce a filament with a diameter of 1.75 ± 0.1 mm. For all recycling cycles, identical extrusion parameters were used. Based on the literature and by trial-and-error, the extruder temperatures were set to 195 °C for the heating zone close to nozzle and the heating zone near the feeding hopper and 205 °C for heat zones in the middle part of the screw. The screw rotation speed was set to 3.5 rpm and the residence time of the material inside the extrusion barrel was around 14.5 min. The filament produced served as source material for the subsequent step of AM, where it is used in the production of three-dimensional specimens. An FFF 3D printer, model i3 MK3S+, made by Prusa Research in Prague, Czech Republic, is used in this study. To control the printing parameters during the AM process, an open-source slicing software called Superslicer was utilized. Several experiments were carried out to find the best printing parameters for PP and to improve the adhesion between the first layers of the printed object and the build platform. Factors including layer height, printing temperature, print speed, and infill density were among the parameters taken into account.
Initially, experiments were carried out to check the feasibility of the TPE to produce filaments. The methodology, similar to that used for PP, was implemented for TPE. However, due to the exceptionally soft nature of TPE pellets with a hardness value of 46 shore A, the filament extrusion process encountered significant difficulties. The extruded TPE filament exhibited inadequate performance, breaking at the nozzle exit when subjected to pulling forces exerted by the puller wheels. Hence, a different methodology was developed to proceed with the recycling of TPE. The proposed methodology is presented in Figure 3. The filament extrusion step was eliminated, and instead, specimens were directly produced from pellets using the FGF AM process. The FGF process involves the direct production of specimens from pellets without the intermediate step of filament extrusion. To facilitate this, an Ender 3 v2 FFF 3D printer made by Shenzhen Creality, China, was utilized, wherein the filament deposition system was replaced with a pellet deposition system, enabling direct printing using pellets. A single screw extruder (pellet extruder V4) made by Mahor XYZ, Andosilla, Spain, was used.
Figure 3.
Proposed recycling methodology for TPE.
The remaining steps of the methodology, including drying and testing, were carried out using the same procedure explained in the PP methodology. However, in the case of TPE, additional 3D-printed parts were manufactured in addition to the tensile test specimens to facilitate the recycling process. These extra 3D-printed parts were subsequently shredded using the previously mentioned shredding technique. The resulting shredded TPE material served as the source material for the subsequent recycling cycle. Similar to the recycling process for PP, the recycling of TPE was conducted for five consecutive cycles. After each recycling cycle, the material properties were assessed and compared to evaluate any changes or degradation in the TPE. TPE printed parts and the shredded form obtained are shown in Figure 4.
Figure 4.
(a) TPE printed parts (b) TPE shredded form.
In the second recycling cycle, the 3D printing process encountered difficulties due to an improper form of the recycled TPE pellets. These irregularly shaped pellets can lead to clogs, uneven flow, or under-extrusion. This issue resulted in failed prints and inconsistent extrusion during 3D printing. Upon observation, it was noticed that the 3D-printed TPE parts were difficult to shred using the available shredder because of its elasticity, and shredded TPE pellets exhibited a slightly sticky behavior. The sticky nature of the shredded pellets posed challenges during the feeding process through the 3D printer hopper. The material did not flow well, requiring continual manual intervention to push the pellets into the 3D printer pellet extruder. Due to the difficulties encountered during the second recycling cycle, the methodology was further modified to enhance the shredding and 3D printing process to achieve better process stability. Material homogeneity is a critical factor influencing the mechanical properties and performance of the final printed parts. Thus, any segregation or uneven distribution can lead to localized defects, anisotropy, or inconsistent functionality. The modified methodology is shown in Figure 5. The goal of the modification was to improve the shredder pellet quality in order to ensure consistent and proper feeding of material into a 3D printer. A single screw extruder with four heating zones was used to extrude the material. The purpose of the extruder was only to allow the extrusion of the material so that it can be used in the shredding process. The material was extruded through a 4 mm nozzle in the form of a filament.
Figure 5.
Modified recycling methodology for TPE.
To ensure adequate feeding into the shredder, the filament was cut into small pieces before shredding. The shredded pellets were used to create the 3D printed specimens using the modified 3D printer. Despite achieving a slight improvement in the quality of the shredded pellets (Figure 6), the modified methodology still encountered similar printing issues as observed in the previous approach due to the use of pellet form. For TPE, the pellet form of the material can lead to challenges during the 3D printing process. The main challenge was to achieve precise and consistent material flow through the printer nozzle. The final printing quality and accuracy may suffer as a result of this uneven flow. The irregular pellet shape caused issues with feeding and extrusion, leading to inconsistent material deposition. Therefore, to enhance the quality of the pellets even more, the extruded TPE material was manually cut. The resulting pellets were cut to sizes ranging from 1 mm to 6 mm. These pellets were suitable for 3D printing and were consequently chosen to proceed with the recycling process.
Figure 6.
(a) Extruded, (b) shredded, and (c) manually cut TPE material.
2.3. Optical Analysis
After each recycling cycle, the 3D-printed specimens were subjected to microscopic analysis using a Keyence One shot 3D VR-5000 profilometer by Keyence Corporation, Osaka, Japan. The purpose of this analysis was to assess the surface quality and dimensional precision of the specimens. The analysis was performed to compare the changes in the quality of the specimens after each recycling cycle. With the help of optical microscopy, it is possible to detect defects such as surface irregularities, cracks, voids, bubbles, and poor layer adhesion [12,13,14].
2.4. Mechanical Analysis
Tensile tests were conducted following the ISO 527-2/1BA standard for PP ASTM D412 C standard for TPE to examine the mechanical properties of the specimens [34,35]. The tensile tests aimed to measure parameters such as elastic modulus, tensile strength, stress at break, and strain at break. These tests were performed after each recycling cycle to study the alterations in the mechanical properties. The tests were carried out using a universal tensile testing machine Inspect Duo 10 by Hegewald and Peschke, Nossen, Germany. The test speed of the machine ranges from 0.8 μm/min up to 600 mm/min. The change in length measurement is performed using the video extensometer ONE1, which is a non-contact deformation measuring device. A strain gauge load cell was used for high-precision force measurement. The testing speed was set to 50 mm/min for PP and 500 mm/min for TPE, respectively. During the testing process, a total of five readings were taken, and the average value was calculated and used for comparison purposes to study the properties after each recycling cycle.
Tensile test specimens were printed in a flat position on the build plate, with the longest side aligned parallel to the x-axis. The manufactured 3D-printed specimens can show minor variations in the dimensions. A total of 25 PP specimens were manufactured, consisting of 5 specimens for each recycling cycle. Similarly, for TPE, 18 specimens were produced, with 3 specimens for each recycling cycle, following the standard guidelines.
In addition, to determine the impact strength of the specimens, Charpy tests were performed using a HIT5.5P impact testing machine by ZwickRoell, Ulm, Germany. The tests were conducted according to the ISO 179-1 standard with a notch at room temperature [36]. Similar to the tensile tests, the average value of five readings was considered to study the impact properties after each recycling cycle.
2.5. Chemical Analysis
Fourier-transformation infrared spectroscopy (FTIR) was applied for analysis of the chemical composition. After each cycle of recycling, FTIR measurements were conducted to study any potential alterations in the chemical composition of the material. The results are used to examine any changes in the functional groups and chemical bonds by comparing the infrared spectra of the material before and after recycling.
For this study, an FTIR Frontier spectrometer by PerkinElmer Inc., Waltham, USA, was used. The output spectrum was obtained by passing the infrared radiation through the material sample. The infrared spectrum can be categorized into three regions: far-infrared (above 400 cm−1), mid-infrared (between 400 and 4000 cm−1), and near-infrared (between 4000 and 13,000 cm−1) [37,38]. The obtained results from the FTIR apparatus were within the mid-infrared range in the generated spectrum.
2.6. Thermal Analysis
In this study, measurements were carried out on a DSC 8000, a power-compensated type of DSC instrument from PerkinElmer Inc., Waltham, MA, USA. Initially, the specimen was prepared by drying for at least 24 h at 50 °C under vacuum. Approximately 5 mg of material was used to conduct the test. The flow of purge gas is set to create a controlled atmosphere within the chamber of the DSC device. In this case, nitrogen gas was used. Finally, the temperature program is set, specifying the desired rate at which the temperature will change during the experiment. For PP, the samples were heated from −40 °C to 220 °C at a heating rate of 10 K/min and again cooled down from 220 °C to −40 °C. For TPE, the samples were heated from −40 °C to 200 °C at a heating rate of 10 K/min and again cooled down from 220 °C to −40 °C. For both materials the sample was held for 15 min at maximum temperature.
The TGA measurements were conducted using the PerkinElmer TGA 4000 instrument. To obtain the results, a specific procedure was followed. Similar to DSC, initially, the specimen was prepared by drying for at least 24 h at 50 °C under vacuum. Nitrogen gas was used at a rate of 20 mL/min to create a controlled and inert atmosphere. A specimen mass of 15 mg was selected for all measurements. For PP and TPE, a similar program was used. After attaining an equilibrium temperature of 30 °C, the samples were heated from 30 °C to 600 °C at a rate of 10 K/min.
2.7. Rheological Analysis
In this study, a compression molding apparatus was used to produce the cylindrical specimens for rheological investigations. The compression molding temperature was selected slightly above the melting temperature as determined by the DSC measurements. For PP and TPE, the compression molding temperature was 170 °C and 165 °C, respectively. The diameter of the plate was 24 mm and the thickness was 1 mm. The samples were dried at a temperature of 50 °C for at least 24 h before conducting the tests. For both materials, two amplitude tests and a frequency test were performed using a Kinexus Ultra+ parallel plates rotational rheometer (NETZSCH-Gerätebau GmbH, Selb, Germany). Frequency sweeps were performed with a constant shear amplitude of 3% by varying the angular frequency from 251.2–0.01 rad/s. Amplitude sweeps were performed by varying the shear amplitude from 0.5% to 5% at a constant frequency of 10 rad/s.
2.8. Production of Hybrid Components
In addition to polymer recycling, the aim of this study is to manufacture hybrid components based on PP and TPE. As mentioned earlier, the manufacturer of the TPE pellets already indicated that the provided pellets have bonding properties with different polymers, including PP. To achieve a multi-material part, an AM process based on extrusion was used. This technology helps to create complex and functional components to obtain unique combinations of properties from the materials used. In this case, the AM printer used was the NX pro dual from the manufacturer Tumaker from Valencia, Spain, which has two separate extruders for material deposition. The most important factor when seeking to manufacture a hybrid component was to calibrate the height of the extruder nozzle so that it is equally aligned for both extruders and to calibrate the offset between both extruders. To select and to optimize the printing parameters, the slicing software Simplify3D (version 4.1.2) was used.
In this study, the components shown in Figure 7 were manufactured. The processing temperature used for producing the samples was 235 °C for both materials. The regions where the two materials meet are critical for assessing the strength of the bond. These divisions create multiple types of interfaces, such as flat, cylindrical, and angled, which simulate different bonding challenges. The varying geometry and layer transitions in each model ensure the capability of the printer to deposit and to adhere the materials uniformly under different conditions. These tests could also help to identify which combinations and geometries work best for multi-material designs.
Figure 7.
Selected hybrid components.
3. Results and Discussions
3.1. Filament Production
According to the recycling approach, the filaments from PP with a thickness diameter of 1.75 mm were produced after each recycling cycle using a single screw extruder with four heating zones. The filament diameter was monitored during the process using the software provided by the manufacturer. The expected filament diameter was 1.75 mm with a tolerance of ±0.05 mm. The cross-section of the filament was observed using a light microscope, as shown in Figure 8a. The cross-section was not exactly circular. Multiple measurements were taken to measure the diameter of the cross-section along the length of the filament. The graph that shows the diameter over the number of readings is depicted in Figure 8b. The readings were taken at equidistant spacings of 20 cm. As can be seen, the diameter of the cross-section varies from 1.7 mm to 1.9 mm.
Figure 8.
(a) Correlation between filament diameter and the number of measurements taken; (b) Cross-sectional profile of the filament.
The possible cause for the irregular cross-section is non-uniform cooling. The fan blows the air into the extruded material from the sides only. Therefore, the cooling is not radially uniform. Moreover, as shown, the sensor detects the filament thickness only for the sides and thus the reading of the monitoring system varies slightly from the actual cross-section diameter. However, it was observed in the subsequent AM step that these results of the filament with a tolerance of ± 0.01 mm were still under the accuracy limit of the 3D-printer. The filament turns a little darker after every recycling cycle, possibly because of repeated thermal reprocessing. Air bubbles were not observed even after the 5th extrusion cycle. However, to avoid contamination of the produced filaments, spools were stored in a dryer at 60 °C. PP filament spools for the 1st and 5th recycling cycle are shown in Figure 9.
Figure 9.
PP filament on spools after the 1st and 5th recycling cycle.
3.2. Additive Manufacturing and Optical Analysis Results
The specimens for the mechanical tests were produced using AM. The optimum printing parameters for PP and TPE to produce the specimens are listed in Table 1.
Table 1.
Printing parameters for PP and TPE.
It was observed that, after recycling, the surface quality of the specimens slightly decreases, mainly because of the instability in the flow rate. In a study by Spoerk et al., similar behavior for PP blends was observed, where 15 extrusion tests were carried out to produce filaments, and the quality of the part after the 15th extrusion cycle was poor because of filament ovalities [14]. Thus, the slight visual deficiencies observed in the case of PP are the result of over-extrusion because of flow rate instabilities. In Figure 10, the optical results for PP are presented, where the tensile test specimens are observed from the top and side view after each recycling cycle. The numbers on the top left side denote the recycling cycle.
Figure 10.
(a) Top view and (b) side view of PP specimen (optical micrographs, top left numbers indicate recycling cycle).
The main challenge during FGF from TPE was to achieve homogeneous deposition of the pellets in the 3D-printer and to find the optimum printing parameters. To overcome this problem, a modified methodology was developed and explained in Section 2.2. Because of continuous reprocessing, the difference in the color of the pellets and the specimens produced was clearly seen visually. In Figure 11, the specimens produced from the virgin material and after the fifth recycling cycle are placed together to highlight the change in color.
Figure 11.
Virgin versus fifth recycling cycle TPE specimen.
The optical results are shown in Figure 12. Apart from the change in color, the quality of the specimens for all recycling cycles is almost the same, unlike PP where over-extrusion was observed after the third recycling cycle. The highlighted digits represent the number of recycling cycles. In this study, flow rate consistency was indirectly observed based on the quality of the printed parts. It was observed that all printed specimens were fully filled with no observed voids, layer gaps, or major surface defects, indicating a stable extrusion during printing. Hence, the homogeneity and completeness of the printed parts suggest that the flow rate remained reasonably consistent throughout the printing process.
Figure 12.
(a) Top view and (b) side view of TPE specimen (optical micrographs, top left and bottom right numbers indicate recycling cycle).
3.3. Mechanical Analysis Results
For a better understanding, the comparative results of all recycling cycles of PP and TPE are shown in Figure 13, which shows a nominal stress-nominal strain graph that represents the typical behavior of one specimen from each recycling cycle. For PP, with an increase in the number of recycling cycles, a slight increase of the tensile strength of the materials was observed. It must be noted that during tensile testing of the TPE specimen, the results were not optimal, as the softness of the TPE material posed challenges in obtaining accurate curves. Because of the flexibility of the material, the force applied by the jaws to hold the specimens was not consistent. This resulted in many failed tests. Therefore, to obtain more accurate results, the clamping mechanism to hold the TPE specimens must be optimized, otherwise a tensile test machine highly suitable to test flexible material should be used. However, this was not covered in this study, and the results obtained using the available setup are presented.
Figure 13.
Nominal stress vs. nominal strain for (a) PP and (b) TPE.
To further highlight the difference between the tensile strength and strain at break values for each recycling cycle, a bar graph was constructed. The graph in Figure 14a,b presents the average values of PP specimens for comparison, along with the corresponding standard deviations. It was noticed that the strain at which the material breaks decreases as the recycling cycle advances. It implies that with each successive recycling, the ability of PP to elongate or to deform before breaking reduces. The maximum force the material can endure increases after the second recycling cycle. Hence, with recycling, the material demonstrates increased strength. In the case of TPE (Figure 14c,d), the results show random variations in the properties of the material after recycling. Based on the results, with the increasing number of recycling cycles, the strain at break seems to increase. The tensile strength was discovered to be considerably below the values provided by the manufacturer.
Figure 14.
(a) Tensile strength, (b) strain at break vs. recycling cycle of PP, (c) tensile strength, and (d) strain at break vs. recycling cycle of TPE at room temperature.
In addition, to evaluate the impact properties, the Charpy impact notch test was measured for PP. Interestingly, it was observed that PP exhibited a consistent and stable behavior in terms of impact resistance across multiple recycling cycles, with 8.65 , 8.45 , 8.57 , 8.24 , and 8.12 for the first to the fifth recycling cycle, respectively, as shown in Figure 15.
Figure 15.
Impact resistance of PP after recycling.
Thus, the ability of the material to endure impact remained mostly unaltered throughout the recycling process. Moreover, the impact testing for TPE specimens was not successful mainly because of flexibility. As soon as the hammer of the setup hits the specimens, it jumps off randomly without any measurement values obtained.
3.4. Thermal Analysis Results
3.4.1. Differential Scanning Calorimetry
DSC measurements were carried out for two heating cycles and a cooling cycle. The DSC curves specifically for the first, third, and fifth recycling cycles during the second heating cycle are shown in Figure 16. The highlighted area shows the melting peak and crystallization.
Figure 16.
DSC data of (a) PP and (b) TPE of this study.
The melting point of the α-phase of PP was approximately 164 , and crystallization was observed around 118 . The results indicated that the melting and crystallization behavior of the specimens remained consistent and had not been affected significantly by undergoing recycling. The literature value of melting enthalpy of 100% crystalline PP material is 207 . The crystallinity of the specimen is determined by the experimental heat of fusion and the literature value for a 100% crystalline material [37]. Table 2 shows the crystallinity of the PP specimens.
Table 2.
Crystallinity of PP samples after recycling.
It was 40.8% for virgin material and 38.3%, 38.5%, 37.0%, 38.2%, and 37.7% for the first to the fifth recycling cycles, respectively. Thus, the crystallinity remained stable throughout the recycling cycles. As a result, the mechanical properties were only slightly affected by recycling. According to existing research, the α-modification of PP is the most commonly observed due to its high thermodynamic stability [39]. In this study, it was found that the α-phase of PP is associated with a melting point of 164 . The second most common crystal modification in PP is known as β-polypropylene. The multiple recycling cycles involving extrusion and AM subjected the PP material to shear stresses. The morphology of PP can be impacted by shear flow, which can result in the inclusion of β-crystals into its structure. The β-crystals tend to develop after the formation of oriented α-crystals in the sheared PP melt. The presence of β-crystals is generally expected to contribute to higher energy dissipation during impact and to potentially enhance the impact strength [13,39]. However, the presence of β-phase, which is commonly observed in theory at around 130 °C, was not detected in the actual DSC curves [13,40].
Upon analyzing the heating curve of the TPE material, it was found that the melting temperature occurred at approximately 148 . Additionally, the crystallization temperature and glass transition temperature were approximately 101 and 12 , respectively. Furthermore, when comparing the heat flow across different recycling cycles, only slight variations were observed, as can be seen in the graph above. This implies that the thermal characteristics of the TPE remained relatively consistent throughout the recycling process.
3.4.2. Thermogravimetric Analysis
The TGA results for five recycling cycles are represented in Figure 17. The graph represents the relative mass of the PP samples at different temperatures. As the temperature increases, the sample undergoes thermal degradation, resulting in a loss of mass.
Figure 17.
TGA analysis of (a) PP and (b) TPE after recycling.
It was observed that for all PP samples, the degradation started at around 207.1 with minimal variances. It must be mentioned that all samples decomposed fully at roughly 455 . Specifically, the virgin PP sample decomposed at 453.7 , while the samples from the first, second, third, fourth, and fifth recycling cycles decomposed at 455.3 , 459.9 , 458.8 , 454.1 , and 454.3 , respectively. Thus, the thermal degradation trend remained practically the same for all recycling cycles of PP with slight deviations.
Similar to PP, the thermal degradation for different recycling cycles of TPE showed minimal variations. In other words, the recycling process did not influence the thermal degradation behavior of TPE samples. The onset and end temperatures for TPE samples were approximately 233 and 456 , respectively.
3.5. Fourier Transformation Infrared Spectroscopy Results
Fourier transformation infrared spectroscopy was conducted to obtain the composition and to identify any potential degradation during recycling. To minimize the risk of moisture-related artifacts in the FTIR spectra and to ensure accurate characterization of the material, before FTIR analysis, the specimens were dried in a vacuum oven at 50 °C for a minimum of 24 h. Figure 18 presents the FTIR spectra of PP and TPE samples for the first, third, and fifth recycling cycles. These spectra provide valuable information about the molecular modes and functional groups present in the material. It is possible to evaluate any changes or modifications of the chemical composition of the samples during the process of recycling. Typically, significant material degradation or compositional changes during recycling are reflected in the FTIR spectra through characteristic alterations. These may include a reduction in the intensity of fundamental absorption bands or the formation of new absorption bands.
Figure 18.
(a) FTIR analysis of PP and (b) FTIR analysis of TPE, after recycling.
The bands and peaks observed in the FTIR spectra for PP were compared to the information available in the literature to determine the chemical composition of the samples [33,39]. It was observed that the amplitudes of the sample for the recycling cycle vary slightly. The amplitudes of 1376 and 1456 , corresponding to CH2 and CH3 groups, respectively, showed a slight increase until the third recycling cycle, followed by a decrease for the fifth recycling cycle. Similarly, slight variations were also observed for C-C and CH3 rocking vibrations. However, the variations observed were only on a small scale. Therefore, the reduction of the mechanical properties after the multiple recycling cycles for PP is not significant. These findings indicate that the PP material can maintain its mechanical performance reasonably well even after multiple recycling cycles.
The FTIR analysis was carried out on the TPE material in the range of 650 to 4000 . The functional groups corresponding to the bands were determined from the information provided in the literature [33,41]. The analysis revealed the presence of several functional groups within the TPE material. These include CH2 stretching vibrations, CH2=CH groups indicating the presence of double bonds, C-H stretching vibrations in polystyrene, CH wagging vibrations, and CH bending vibrations in aromatic rings. It is worth noting that depending on the formulation and content of the TPE material, the specific bands seen in the FTIR analysis may differ. It can be clearly seen that the curves look almost identical, suggesting that there is no effect of recycling on the polymer chains or chemical structure of TPE.
3.6. Rheological Analysis Results
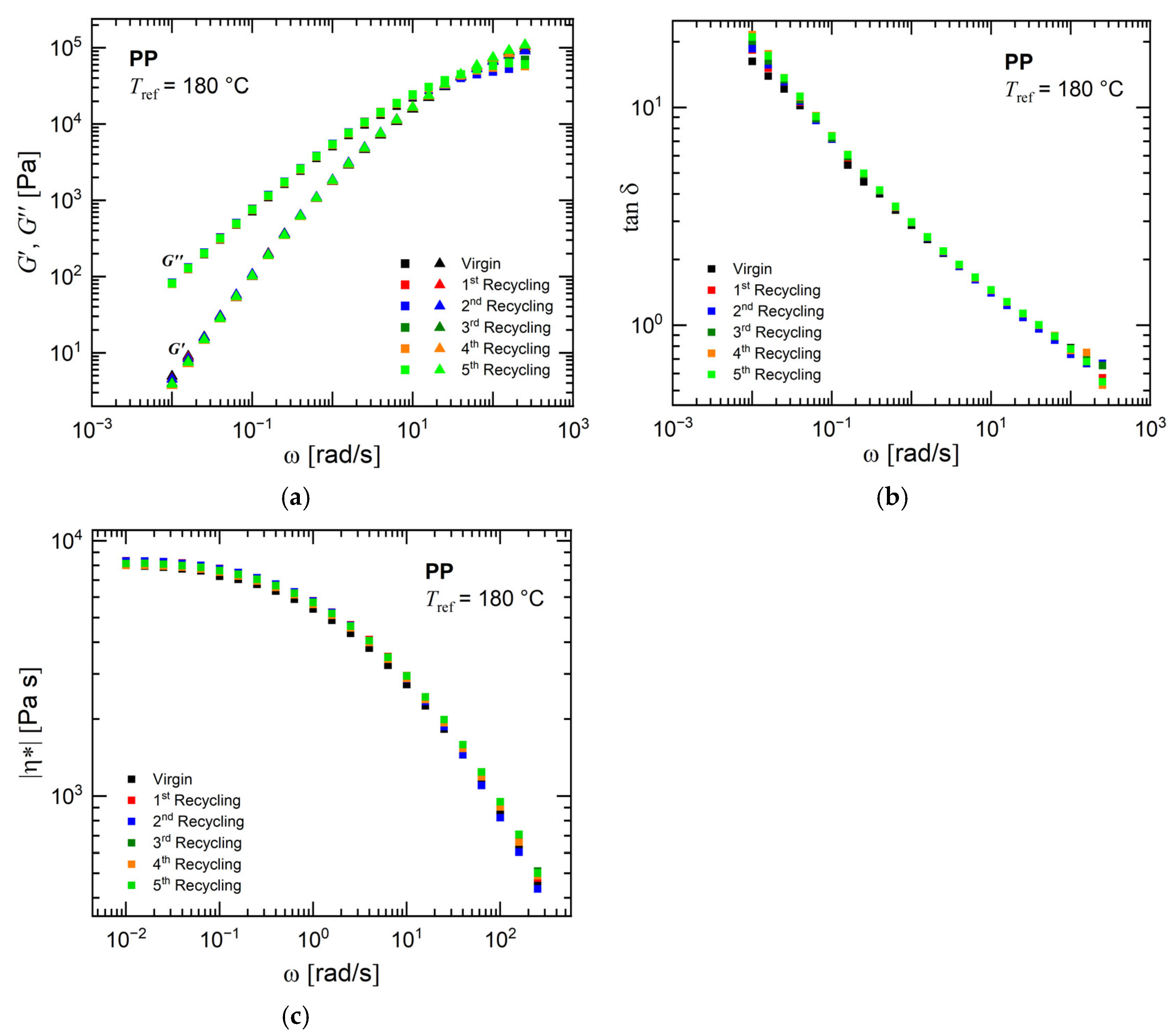
In this study, frequency sweeps were carried out. In Figure 19, the results of rheological analysis of PP for all recycling cycles are shown.
Figure 19.
(a) Dynamic moduli and , (b) loss tangent , and (c) magnitude of complex viscosity for PP after recycling.
The storage modulus () is associated with the elastic behaviour of the sample and the loss modulus () measures the amount of energy dissipation. From the results of frequency sweeps, it is clear that the PP behaves as a viscoelastic fluid because the viscous modulus is larger than the elastic modulus in the range of measured frequencies, i.e., > . The behavior of and corresponds to the terminal regime of the Maxwell model. Recycling does not affect the storage modulus and loss modulus significantly. The variations of the elastic and viscous behavior of the material after multiple recycling cycles are reflected in the changes of the storage modulus and the loss modulus during frequency sweeps in the linear-viscoelastic area. However, the dynamic moduli and do not significantly depend on the recycling cycle, which reveals the absence of significant thermal degradation.
Bonardi et al. studied the effects of the degree of recycling on PP. It was observed that because of subsequent recycling, the moduli were shifted horizontally towards higher frequencies [42]. However, it is worth mentioning that this shift was not observed in our case. The degradation behavior can be easily observed by measuring the zero shear rate viscosity after each recycling cycle. Typically, repeated recycling causes the viscosity to decrease alongside the increasing number of recycling steps. The complex viscosity versus angular frequency ω curve is shown in Figure 19c. The zero-shear rate viscosity is the ratio of and in the terminal zone:
From the first to the fifth recycling cycle, the zero shear rate viscosity is 8321 , 8316 , 7994 , 7978 , and 8124 , respectively. There is only a slight variation in the viscosity of the PP material after performing multiple recycling cycles. Thus, it can be stated that the five recycling cycles do not affect the properties of PP significantly.
Similarly, the frequency and amplitude sweeps after each recycling cycle were carried out for TPE. The measurements were performed at 190 under a nitrogen atmosphere. Figure 20 shows the combined results obtained for five recycling cycles of TPE.
Figure 20.
(a) Dynamic moduli and , (b) loss tangent , (c) magnitude of complex viscosity for TPE after recycling.
For TPE, it is observed from the curve that is larger than . Hence, the material has a pronounced elastic behavior in the measured frequency and temperature range. However, in the LVE region, no terminal behavior is visible. The tan δ values vary after recycling due to various factors such as chain scission, cross-linking changes, or changes in molecular weight distribution. The increased value indicates the degradation of the polymers due to the increase of damping and energy dissipation [39,42]. Finally, Figure 20c shows the plot of complex viscosity versus the varied angular frequency. In this case, the TPE material does not follow the Maxwell model but instead follows the Kelvin–Voigt model in the range of low frequencies. Therefore, no zero shear rate viscosity can be defined. The results obtained from the rheological measurement for PP and TPE suggested that there were only slight variations in the values after five recycling cycles.
3.7. Production of Hybrid Components Results
The goal of this study is to manufacture hybrid components from PP and TPE to validate the bonding ability of TPE towards PP as indicated by the TPE pellets manufacturer. The manufactured hybrid components are shown in comparison with the sliced components in Figure 21.
Figure 21.
Manufactured hybrid components.
The figure reveals that it was possible to produce a multi-material component from TPE and PP. The prepared components were also observed under a profilometer to check the quality of the surface and bonding. The results for several samples can be seen in Figure 22.
Figure 22.
Closeup photographs of the bonding zone between PP and TPE.
It can be seen from the above photographs that the material is properly molten and the region where the materials meet show good bonding characteristics with each other. In this study, only the feasibility to produce hybrid components from PP and TPE was shown. Further investigations can examine the adhesion between both materials as they have different viscoelastic properties and manufacture hybrid components using recycled material. For this purpose, there is a need to develop an approach to produce specific specimen geometry and setup. However, this was not considered in this study and has a potential future scope.
4. Conclusions
This study focused on recycling PP and TPE materials by repeatedly processing these materials through five recycling cycles and producing and examining hybrid components from PP and TPE. After each recycling cycle, specimens are additively manufactured based on the FFF process. To perform a recycling cycle, a specific methodology is followed. Additionally, the proposed methodology was modified for TPE material to improve the pellet form in order to successfully produce specimens using a pellet 3D printer. During AM, the difficulty for PP was to obtain proper adhesion between the deposited material and the build plate, while for TPE, being elastic in nature, it is challenging to obtain consistent deposition. To fully examine and compare the behavior of the material during recycling, thermal, mechanical, and rheological investigations were performed.
The mechanical analysis of PP revealed that its tensile strength slightly increased with multiple recycling cycles, while the strain at break decreased after recycling. The impact strength of PP showed neutral behavior throughout the five recycling cycles. Meanwhile, due to the elastic behavior of TPE, the mechanical test results of TPE show random variation. The DSC results clearly indicated that the melting and crystallization behavior of the specimens for both PP and TPE remained consistent and had not been affected significantly by undergoing recycling. Additionally, from the DSC measurements, the crystallinity of PP after each recycling cycle was studied. It is clearly evident that recycling up to five cycles has no influence on the crystallinity of PP, which supports the consistent impact strength observed during recycling. TGA was conducted to examine the thermal degradation behavior. The thermal degradation trend remained practically the same for all recycling cycles of PP and TPE, with only slight deviations. Furthermore, FTIR analysis was performed to identify the functional groups present in the materials. For TPE, the amplitude of the groups for different recycling cycles remained the same, while for PP, slight variations were observed. As PP undergoes multiple recycling cycles, it can be exposed to thermal and oxidative degradation and might result in slight variations in FTIR peak intensities due to changes in the chemical structure of the material. These changes might lead to a gradual increase in brittleness and hence the mechanical properties of PP are also slightly deteriorated.
The plot of and obtained using rheological analysis suggests that the loss modulus dominates for PP, while for TPE the storage modulus is larger. Specifically, PP behaves as a viscoelastic fluid and TPE shows more elastic behavior. As a result, difficulties are faced when processing TPE using AM. According to the literature, the multiple recycling cycles cause the viscosity to decrease, shift moduli towards higher frequencies, and increase the value of However, after comparing the results for different recycling cycles, this typical behavior is not observed for up to five cycles and only slight variations can be seen. Hence, processing the material after recycling using additive manufacturing remains feasible without requiring further optimization of print properties. The study also aimed to evaluate the potential of producing hybrid components from PP and TPE. Despite different viscoelastic properties, the multi-material components from PP and TPE were successfully produced. The ability of TPE to stick with PP is proved by the results obtained. Further measurements are required to test the bonding strength of the materials. For future work, the initial interlayer bonding strength between layers of recycled material should be investigated. Additionally, the interlayer bonding between layers of hybrid parts made of TPE and PP requires further examination. Furthermore, analyzing the quality of the interface section optically could provide more insight into the material bonding. The use of scanning electron microscopy or transmission electron microscopy could offer valuable information about the homogeneity of the extrusion, as well as the presence of microbubbles and impurities. Incorporating these analyses into future studies would provide a more comprehensive understanding of the effects of several recycling cycles. The implementation of real-time process monitoring methods of the printing process could be beneficial to optimize the part quality, especially when printed from recycled materials [43,44,45].
In summary, the five recycling cycles have a slight impact on the thermal, mechanical, and rheological properties. It must be noted that polymer recycling in this study is performed under laboratory boundary conditions with well-known material properties. However, it would be valuable to explore the suggested recycling methodology with actual polymer waste, considering real-world environmental factors that could influence the material properties. This practical approach could provide a more comprehensive understanding of the recycling process and its applicability beyond the controlled laboratory conditions, enabling us to address plastic waste challenges in a more sustainable manner. The study also suggests a potential further study to improve the feeding mechanism for processing TPE using AM. Conducting more extensive tests would enhance the understanding of the feasibility of polymer recycling. Furthermore, investigating the adhesion behavior of the hybrid components holds the potential for producing functional products in the future.
Author Contributions
S.G.K. and J.K. conceptualized the study and designed the research framework. Methodology development was carried out by S.G.K., J.K. and D.H.-H. The investigation, including data collection and analysis, was conducted by S.G.K. Experimental validation and result verification were performed by D.H.-H. and U.A.H. Necessary resources were provided by J.K. Data curation and preprocessing were handled by S.G.K. The original manuscript draft was written by S.G.K. and J.K., while M.S. and U.A.H. critically reviewed, revised, and edited the manuscript to enhance clarity and coherence. The study was supervised and guided by U.A.H. and M.S. All authors have read and agreed to the published version of the manuscript.
Funding
This research received no external funding.
Data Availability Statement
The data presented in this study are available upon request from the corresponding author due to collaborations with the manufacturer and trade secrets.
Acknowledgments
We would like to thank Kraiburg TPE for providing the material. The experimental support of Pascal Brech is gratefully acknowledged.
Conflicts of Interest
The authors declare no conflicts of interest.
References
- Mrowiec, B. Plastics in the circular economy (CE). Environ. Prot. Nat. Resour. 2018, 29, 16–19. [Google Scholar] [CrossRef]
- Plastics Europe. Plastics—The Facts 2022 An Analysis of European Plastics Production, Demand and Waste Data. 2022. Available online: https://newsroom.kunststoffverpackungen.de/wp-content/uploads/2022/10/Plastics-the-facts-2022-Plastic-Europe.pdf (accessed on 16 June 2023).
- Valerio, O.; Muthuraj, R.; Codou, A. Strategies for polymer to polymer recycling from waste: Current trends and opportunities for improving the circular economy of polymers in South America. Curr. Opin. Green Sustain. Chem. 2020, 25, 100381. [Google Scholar] [CrossRef]
- Shamsuyeva, M.; Endres, H. Plastics in the context of the circular economy and sustainable plastics recycling: Comprehensive review on research development, standardization and market. Compos. Part C Open Access 2021, 6, 100168. [Google Scholar] [CrossRef]
- Stein, R.S. Polymer Recycling: Opportunities and Limitations. Proc. Natl. Acad. Sci. USA 1992, 89, 835–838. Available online: http://www.jstor.org/stable/2358390 (accessed on 16 June 2023). [CrossRef]
- Singh, N.; Hui, D.; Singh, R.; Ahuja, I.P.S.; Feo, L.; Fraternali, F. Recycling of plastic solid waste: A state of art review and future applications. Compos. Part B Eng. 2017, 115, 409–422. [Google Scholar] [CrossRef]
- Schyns, Z.O.G.; Shaver, M.P. Mechanical Recycling of Packaging Plastics: A Review. Macromol. Rapid Commun. 2020, 42, e2000415. [Google Scholar] [CrossRef]
- Tsuchimoto, I.; Kajikawa, Y. Recycling of Plastic Waste: A Systematic Review Using Bibliometric Analysis. Sustainability 2022, 14, 16340. [Google Scholar] [CrossRef]
- Yin, S.; Tuladhar, R.; Shi, F.; Shanks, R.A.; Combe, M.; Collister, T. Mechanical reprocessing of polyolefin waste: A review. Polym. Eng. Sci. 2015, 55, 2899–2909. [Google Scholar] [CrossRef]
- Hopewell, J.; Dvorak, R.; Kosior, E. Plastics recycling: Challenges and opportunities. Philos. Trans. R. Soc. B Biol. Sci. 2009, 364, 2115–2126. [Google Scholar] [CrossRef]
- Pivnenko, K.; Jakobsen, L.; Eriksen, M.; Damgaard, A.; Astrup, T. Challenges In Plastics Recycling. In Proceedings of the Fifteenth International Waste Management and Landfill SymposiumAt: S. Margherita di Pula, Cagliari, Italy, 13–17 October 2015. [Google Scholar]
- Cruz, F.A.; Lanza, S.; Boudaoud, H.; Hoppe, S.; Camargo, M. Polymer Recycling and Additive Manufacturing in an Open Source context: Optimization of processes and methods. In Proceedings of the Annual International Solid Freeform Fabrication Symposium, ISSF 2015, Austin, TX, USA, 10–13 August 2015; pp. 1591–1600. [Google Scholar]
- Vidakis, N.; Petousis, M.; Tzounis, L.; Maniadi, A.; Velidakis, E.; Mountakis, N.; Papageorgiou, D.; Liebscher, M.; Mechtcherine, V. Sustainable Additive Manufacturing: Mechanical Response of Polypropylene over Multiple Recycling Processes. Sustainability 2021, 13, 159. [Google Scholar] [CrossRef]
- Spoerk, M.; Arbeiter, F.; Raguž, I.; Holzer, C.; Gonzalez-Gutierrez, J. Mechanical Recyclability of Polypropylene Composites Produced by Material Extrusion-Based Additive Manufacturing. Polymers 2019, 11, 1318. [Google Scholar] [CrossRef]
- Shanmugam, V.; Das, O.; Neisiany, R.E.; Babu, K.; Singh, S.; Hedenqvist, M.S.; Berto, F.; Ramakrishna, S. Polymer Recycling in Additive Manufacturing: An Opportunity for the Circular Economy. Mater. Circ. Econ. 2020, 2, 11. [Google Scholar] [CrossRef]
- Alexandre, A.; Sanchez, F.A.C.; Boudaoud, H.; Camargo, M.; Pearce, J.M. Mechanical Properties of Direct Waste Printing of Polylactic Acid with Universal Pellets Extruder: Comparison to Fused Filament Fabrication on Open-Source Desktop Three-Dimensional Printers. 3D Print. Addit. Manuf. 2020, 7, 237–247. [Google Scholar] [CrossRef]
- Marchewka, J.; Laska, J. Processing of poly-l-lactide and poly(l-lactide-co-trimethylene carbonate) blends by fused filament fabrication and fused granulate fabrication using RepRap 3D printer. Int. J. Adv. Manuf. Technol. 2020, 106, 4933–4944. [Google Scholar] [CrossRef]
- Georgopoulou, A.; Clemens, F. Pellet-based fused deposition modeling for the development of soft compliant robotic grippers with integrated sensing elements. Flex. Print. Electron. 2022, 7, 025010. [Google Scholar] [CrossRef]
- Goh, G.D.; Wong, K.K.; Jaw, W.Q.; Gobi, R.; Vellayappan, M.V.; Goh, Y.J.J.; Nai, M.L.S. Exploring PLA/TPU blends in pellet-based printing for multifunctional applications: Blending and interfacial properties. Mater. Sci. Eng. R Rep. 2025, 164, 100981. [Google Scholar] [CrossRef]
- Jung, M.-S.; Ha, J.-U.; Park, J.-K. Development of a pellet extruder for blending different materials and study on the properties of eco-friendly flame retardant materials printed using a large-scale 3D printer. Int. J. Adv. Manuf. Technol. 2024, 136, 1339–1361. [Google Scholar] [CrossRef]
- Beltrán, F.R.; Arrieta, M.P.; Moreno, E.; Gaspar, G.; Muneta, L.M.; Carrasco-Gallego, R.; Yáñez, S.; Hidalgo-Carvajal, D.; de la Orden, M.U.; Urreaga, J.M. Evaluation of the Technical Viability of Distributed Mechanical Recycling of PLA 3D Printing Wastes. Polymers 2021, 13, 1247. [Google Scholar] [CrossRef]
- Zander, N.E.; Gillan, M.; Burckhard, Z.; Gardea, F. Recycled polypropylene blends as novel 3D printing materials. Addit. Manuf. 2019, 25, 122–130. [Google Scholar] [CrossRef]
- Woern, A.L.; Byard, D.J.; Oakley, R.B.; Fiedler, M.J.; Snabes, S.L.; Pearce, J.M. Fused Particle Fabrication 3-D Printing: Recycled Materials’ Optimization and Mechanical Properties. Materials 2018, 11, 1413. [Google Scholar] [CrossRef]
- Hertle, S.; Drexler, M.; Drummer, D. Additive Manufacturing of Poly(propylene) by Means of Melt Extrusion. Macromol. Mater. Eng. 2016, 301, 1482–1493. [Google Scholar] [CrossRef]
- White, J.L.; Choi, D.D. Polyolefins; Carl Hanser Verlag GmbH & Co. KG.: Munich, Germany, 2004. [Google Scholar] [CrossRef]
- Spontak, R.J.; Patel, N.P. Thermoplastic elastomers: Fundamentals and applications. Curr. Opin. Colloid Interface Sci. 2000, 5, 333–340. [Google Scholar] [CrossRef]
- Grady, B.P.; Cooper, S.L.; Robertson, C.G. Thermoplastic Elastomers. In The Science and Technology of Rubber; Elsevier: Amsterdam, The Netherlands, 2013; pp. 591–652. [Google Scholar] [CrossRef]
- Banerjee, S.S.; Bhowmick, A.K. High-temperature thermoplastic elastomers from rubber–plastic blends: A state-of-the-art review. Rubber Chem. Technol. 2017, 90, 1–36. [Google Scholar] [CrossRef]
- Andre, T.; Couvreur, R.; Tamrakar, S.; Mielewski, D.; Kiziltas, A. Closed-loop recycling of additive manufacturing waste for value-added automotive foam applications. Polym. Compos. 2023, 45, 16383–16392. [Google Scholar] [CrossRef]
- Andanje, M.N.; Wamai, J.; Bruno, M.; Carrara, S. A comparative analysis of printable AM filaments developed from recycled HDPE and recycled PP—Extrusion process optimization. In Proceedings of the 2022 Sustainable Research and Innovation (SRI) Conference, Pretoria, South Africa and Online, 20–24 June 2022. [Google Scholar]
- Sabic, Technical Data Sheet: SABIC® PP 56M10. Available online: https://www.sabic.com/en/products/polymers/polypropylene-pp/sabic-pp?grade=56m10 (accessed on 7 February 2023).
- Kraiburg TPE. Technical Data Sheet: TM5MED, THERMOLAST® M; internal document; Kraiburg TPE: Waldkraiburg, Germany, 2023. [Google Scholar]
- Stuart, B. Polymer Analysis, 1st ed.; Wiley: Hoboken, NJ, USA, 2008. (Original Work Published 2008); Available online: https://www.perlego.com/book/2766418/polymer-analysis-pdf (accessed on 10 June 2023).
- ISO 527-2; Plastics — Determination of tensile properties - Part 2: Test conditions for moulding and extrusion plastics. International Organization for Standardization: Geneva, Switzerland, 2012.
- ASTM D412 (2013); Standard Test Methods for Vulcanized Rubber and Thermoplastic Elastomers—Tension. ASTM International: West Conshohocken, PA, USA, 2013.
- ISO 179-1; Plastics—Determination of Charpy Impact Properties—Part 1: Non-Instrumented Impact Test. International Organization for Standardization: Geneva, Switzerland, 2010.
- Ehrenstein, G.W.; Riedel, G.; Trawie, P. Thermal Analysis of Plastics; Carl Hanser Verlag: Munich, Germany, 2004; Volume I–XXIX. [Google Scholar] [CrossRef]
- D’Amico, T.; Donahue, C.J.; Rais, E.A. Thermal Analysis of Plastics. J. Chem. Educ. 2008, 85, 404. [Google Scholar] [CrossRef]
- Bonardi, A.; Cilloni, R.; Paganuzzi, V.; Grizzuti, N. Effects of Degree of Recycling on the Rheology and Processability of Thermoplastic Polymers. J. Polym. Eng. 2003, 23, 79–94. [Google Scholar] [CrossRef]
- Papageorgiou, D.G.; Chrissafis, K.; Bikiaris, D.N. β-Nucleated Polypropylene: Processing, Properties and Nanocomposites. Polym. Rev. 2015, 55, 596–629. [Google Scholar] [CrossRef]
- Toma, L.-G.; Popescu, I.V.; Setnescu, R.; Setnescu, T.; Marinescu, V.; Ion, R.-M. Thermal and spectral characterization of PP-TPE blends. Mater. Methods Technol. (CD-ROM) 2011, 5, 266–277. [Google Scholar]
- Mezger, T.G. The Rheology Handbook; Vincentz Network: Hannover, Germany, 2019. [Google Scholar] [CrossRef]
- Oleff, A.; Küster, B.; Stonis, M.; Overmeyer, L. Process monitoring for material extrusion additive manufacturing: A state-of-the-art review. Prog. Addit. Manuf. 2021, 6, 705–730. [Google Scholar] [CrossRef]
- Oleff, A.; Küster, B.; Overmeyer, L. Determination of quality classes for material extrusion additive manufacturing using image processing. Int. J. Adv. Manuf. Technol. 2024, 132, 1585–1598. [Google Scholar] [CrossRef]
- Oleff, A.; Küster, B.; Stonis, M.; Overmeyer, L. Optische Qualitätsprüfung für die additive Materialextrusion. Z. Wirtsch. Fabrikbetrieb 2020, 115, 52–56. [Google Scholar] [CrossRef]
Disclaimer/Publisher’s Note: The statements, opinions and data contained in all publications are solely those of the individual author(s) and contributor(s) and not of MDPI and/or the editor(s). MDPI and/or the editor(s) disclaim responsibility for any injury to people or property resulting from any ideas, methods, instructions or products referred to in the content. |
© 2025 by the authors. Licensee MDPI, Basel, Switzerland. This article is an open access article distributed under the terms and conditions of the Creative Commons Attribution (CC BY) license (https://creativecommons.org/licenses/by/4.0/).





















