Boosting Productivity of Laser Powder Bed Fusion for AlSi10Mg
Abstract
1. Introduction
- P is the laser power [W]
- v is the scanning speed [mm/s]
- h is the hatch distance [mm]
- t is the layer thickness [mm]
2. Materials and Methods
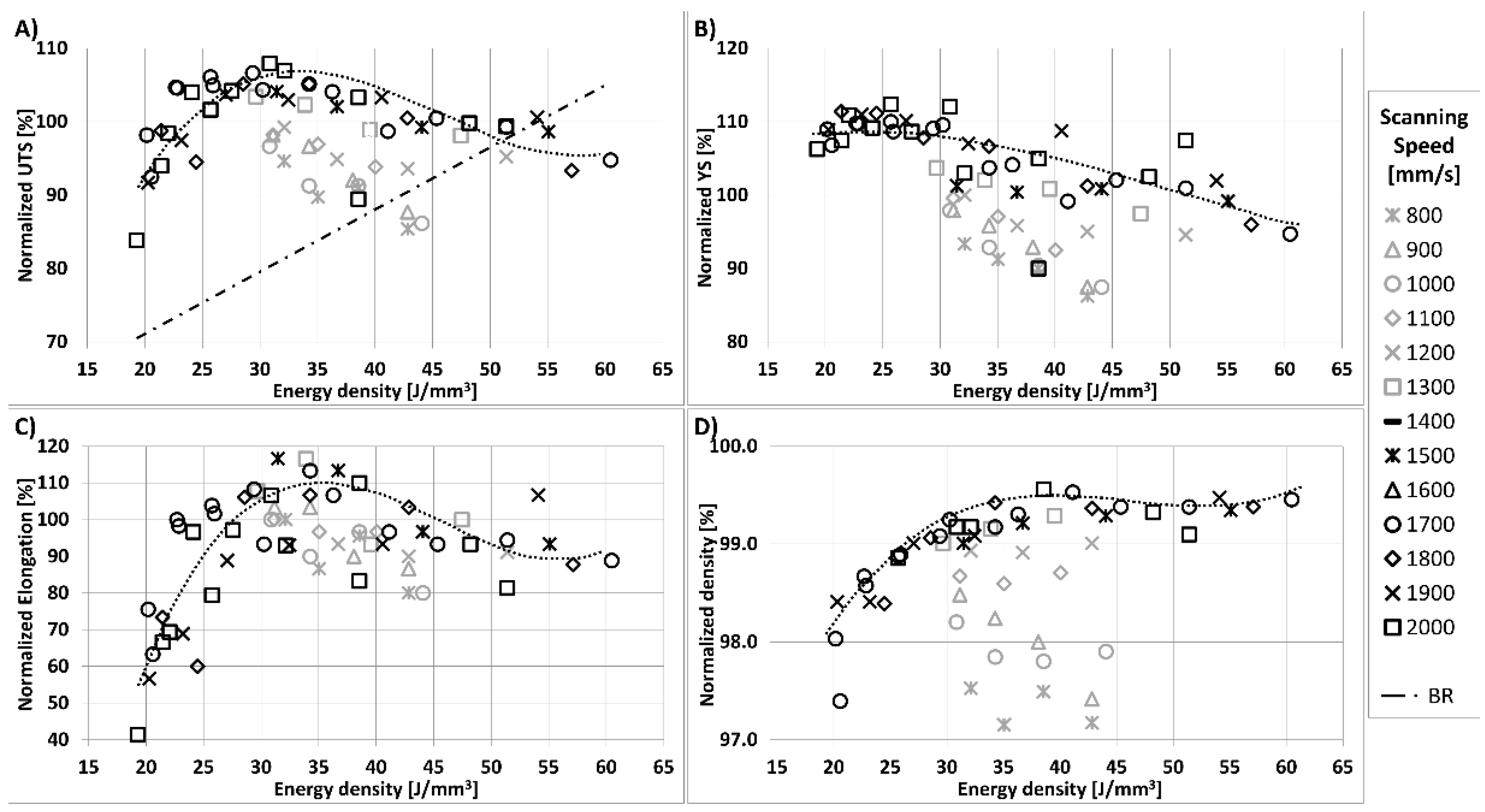
3. Results and Discussion
- 30 < E ≤ 35 J/mm3
- 35 < E ≤ 40 J/mm3
- 40 < E ≤ 45 J/mm3
4. Conclusions
- The results regarding the density, metallurgical quality and tensile properties of AlSi10Mg components produced by L-PBF allow for the reckoning that volumetric energy density is not a self-sufficient parameter for process optimization. The Archimedes density measured in this study is not significantly affected by the variation of VED, especially in the range of 25–55 J/mm3. Moreover, samples produced with equal values of VED exhibited extremely different degrees of porosity. This conclusion is consistent with the unresolved role attributed to energy density in the scientific literature. It can be concluded that more detailed variables need to be adopted for tuning the laser powder bed fusion process by taking into account the thermal history of the individual melt track.
- Although VED is not a comprehensive parameter, it can still be useful for initial rough identification of ranges where the process is effective. In the present study, the best tensile properties were achieved at a VED between 30 and 35 J/mm3. Within this window, choosing an energy density of 30 J/mm3 represents a good compromise between part quality and productivity. For example, the use of 0.1 mm hatch distance and 2000 mm/s speed guarantees higher mechanical properties than the 0.10/1500 combination, with a 25% time saving. On a more general level, the complete set of results allows a multipurpose optimization of the process for each specific weighting of the concurrent factors.
- At a fixed laser power, the hatch distance and scanning speed actually affect the quality of the manufactured part, both in terms of mechanical properties and the absence of pores and defects, even at constant incident energy.
Author Contributions
Funding
Institutional Review Board Statement
Informed Consent Statement
Data Availability Statement
Conflicts of Interest
References
- ASTM F2792-12a; Standard Terminology for Additive Manufacturing Technologies. ASTM International: West Conshohocken, PA, USA, 2013. [CrossRef]
- Bassoli, E.; Defanti, S.; Tognoli, E.; Vincenzi, N.; Degli Esposti, L. Design for Additive Manufacturing and for Machining in the Automotive Field. Appl. Sci. 2021, 11, 7559. [Google Scholar] [CrossRef]
- Kotadia, H.R.; Gibbons, G.; Das, A.; Howes, P.D. A review of Laser Powder Bed Fusion Additive Manufacturing of aluminium alloys: Microstructure and properties. Addit. Manuf. 2021, 46, 102155. [Google Scholar] [CrossRef]
- Read, N.; Wang, W.; Essa, K.; Attallah, M.M. Selective laser melting of AlSi10Mg alloy: Process optimisation and mechanical properties development. Mater. Des. 2015, 65, 417–424. [Google Scholar] [CrossRef]
- Gupta, A.K.; Lloyd, D.J.; Court, S.A. Precipitation hardening in Al–Mg–Si alloys with and without excess Si. Mater. Sci. Eng. A 2001, 316, 11–17. [Google Scholar] [CrossRef]
- Aboulkhair, N.T.; Everitt, N.M.; Ashcroft, I.; Tuck, C. Reducing porosity in AlSi10Mg parts processed by selective laser melting. Addit. Manuf. 2014, 1, 77–86. [Google Scholar] [CrossRef]
- Qiu, C.; Panwisawas, C.; Ward, M.; Basoalto, H.C.; Brooks, J.W.; Attallah, M.M. On the role of melt flow into the surface structure and porosity development during selective laser melting. Acta Mater. 2015, 96, 72–79. [Google Scholar] [CrossRef]
- Kempen, K.; Thijs, L.; Van Humbeeck, J.; Kruth, J.-P. Mechanical Properties of AlSi10Mg Produced by Selective Laser Melting. Phys. Procedia 2012, 39, 439–446. [Google Scholar] [CrossRef]
- Raus, A.A.; Wahab, M.S.; Shayfull, Z.; Kamarudin, K.; Ibrahim, M. The Influence of Selective Laser Melting Parameters on Density and Mechanical Properties of AlSi10Mg. MATEC Web Conf. 2016, 78, 01078. [Google Scholar] [CrossRef]
- Wei, P.; Wei, Z.; Chen, Z.; Du, J.; He, Y.; Li, J.; Zhou, Y. The AlSi10Mg samples produced by selective laser melting: Single track, densification, microstructure and mechanical behavior. Appl. Surf. Sci. 2017, 408, 38–50. [Google Scholar] [CrossRef]
- Brandl, E.; Heckenberger, U.; Holzinger, V.; Buchbinder, D. Additive manufactured AlSi10Mg samples using Selective Laser Melting (SLM): Microstructure, high cycle fatigue, and fracture behavior. Mater. Des. 2012, 34, 159–169. [Google Scholar] [CrossRef]
- Ngnekou, J.N.D.; Nadot, Y.; Henaff, G.; Nicolai, J.; Ridosz, L. Influence of defect size on the fatigue resistance of AlSi10Mg alloy elaborated by selective laser melting (SLM). Procedia Struct. Integr. 2017, 7, 75–83. [Google Scholar] [CrossRef]
- Zhang, B.; Li, Y.; Bai, Q. Defect Formation Mechanisms in Selective Laser Melting: A Review. Chin. J. Mech. Eng. 2017, 30, 515–527. [Google Scholar] [CrossRef]
- Brika, S.E.; Letenneur, M.; Dion, C.A.; Brailovski, V. Influence of particle morphology and size distribution on the powder flowability and laser powder bed fusion manufacturability of Ti-6Al-4V alloy. Addit. Manuf. 2020, 31, 100929. [Google Scholar] [CrossRef]
- Weingarten, C.; Buchbinder, D.; Pirch, N.; Meiners, W.; Wissenbach, K.; Poprawe, R. Formation and reduction of hydrogen porosity during selective laser melting of AlSi10Mg. J. Mater. Process. Technol. 2015, 221, 112–120. [Google Scholar] [CrossRef]
- Buchbinder, D.; Schleifenbaum, H.; Heidrich, S.; Meiners, W.; Bültmann, J. High Power Selective Laser Melting (HP SLM) of Aluminum Parts. Phys. Procedia 2011, 12, 271–278. [Google Scholar] [CrossRef]
- Galy, C.; Le Guen, E.; Lacoste, E.; Arvieu, C. Main defects observed in aluminum alloy parts produced by SLM: From causes to consequences. Addit. Manuf. 2018, 22, 165–175. [Google Scholar] [CrossRef]
- Oliveira, J.P.; LaLonde, A.D.; Ma, J. Processing parameters in laser powder bed fusion metal additive manufacturing. Mater. Des. 2020, 193, 108762. [Google Scholar] [CrossRef]
- Yang, K.V.; Rometsch, P.; Jarvis, T.; Rao, J.; Cao, S.; Davies, C.; Wu, X. Porosity formation mechanisms and fatigue response in Al-Si-Mg alloys made by selective laser melting. Mater. Sci. Eng. A 2018, 712, 166–174. [Google Scholar] [CrossRef]
- Bertoli, U.S.; Wolfer, A.J.; Matthews, M.J.; Delplanque, J.-P.R.; Schoenung, J.M. On the limitations of Volumetric Energy Density as a design parameter for Selective Laser Melting. Mater. Des. 2017, 113, 331–340. [Google Scholar] [CrossRef]
- Ciurana, J.; Hernandez, L.; Delgado, J. Energy density analysis on single tracks formed by selective laser melting with CoCrMo powder material. Int. J. Adv. Manuf. Technol. 2013, 68, 1103–1110. [Google Scholar] [CrossRef]
- Kempen, K.; Thijs, L.; Yasa, E.; Badrossamay, M.; Verheecke, W.; Kruth, J. Process Optimization and Microstructural Analysis for Selective Laser Melting of AlSi10Mg. In Proceedings of the 22nd Annual International Solid Freeform Fabrication Symposium—An Additive Manufacturing Conference, Austin, TX, USA, 17 August 2011; pp. 484–495. [Google Scholar]
- Prashanth, K.G.; Scudino, S.; Maity, T.; Das, J.; Eckert, J. Is the energy density a reliable parameter for materials synthesis by selective laser melting? Mater. Res. Lett. 2017, 5, 386–390. [Google Scholar] [CrossRef]
- Zhang, H.; Zhu, H.; Qi, T.; Hu, Z.; Zeng, X. Selective laser melting of high strength Al–Cu–Mg alloys: Processing, microstructure and mechanical properties. Mater. Sci. Eng. A 2016, 656, 47–54. [Google Scholar] [CrossRef]
- Olakanmi, E.O.; Cochrane, R.F.; Dalgarno, K.W. A review on selective laser sintering/melting (SLS/SLM) of aluminium alloy powders: Processing, microstructure, and properties. Prog. Mater. Sci. 2015, 74, 401–477. [Google Scholar] [CrossRef]
- Facchini, L.; Vicente, N.; Lonardelli, I.; Magalini, E.; Robotti, P.; Molinari, A. Metastable Austenite in 17-4 Precipitation-Hardening Stainless Steel Produced by Selective Laser Melting. Adv. Eng. Mater. 2010, 12, 184–188. [Google Scholar] [CrossRef]
- Thijs, L.; Verhaeghe, F.; Craeghs, T.; Humbeeck, J.V.; Kruth, J.P. A study of the microstructural evolution during selective laser melting of Ti-6Al-4V. Acta Mater. 2010, 58, 3303–3312. [Google Scholar] [CrossRef]
- Gu, D.; Hagedorn, Y.-C.; Meiners, W.; Meng, G.; Batista, R.J.S.; Wissenbach, K.; Poprawe, R. Densification behavior, microstructure evolution, and wear performance of selective laser melting processed commercially pure titanium. Acta Mater. 2012, 60, 3849–3860. [Google Scholar] [CrossRef]
- Sola, A.; Nouri, A. Microstructural porosity in additive manufacturing: The formation and detection of pores in metal parts fabricated by powder bed fusion. J. Adv. Manuf. Process. 2019, 1, e10021. [Google Scholar] [CrossRef]
- Yang, T.; Liu, T.; Liao, W.; MacDonald, E.; Wei, H.; Chen, X.; Jiang, L. The influence of process parameters on vertical surface roughness of the AlSi10Mg parts fabricated by selective laser melting. J. Mater. Process. Technol. 2019, 266, 26–36. [Google Scholar] [CrossRef]
- SLM Solutions Group AG Al-Alloy AlSi10Mg/EN AC-43000 Material Datasheet. Available online: https://www.slm-solutions.com/fileadmin/Content/Powder/MDS/MDS_Al-Alloy_AlSi10Mg_0520_EN.pdf (accessed on 14 March 2022).
- Yu, W.; Sing, S.L.; Chua, C.K.; Tian, X. Influence of re-melting on surface roughness and porosity of AlSi10Mg parts fabricated by selective laser melting. J. Alloys Compd. 2019, 792, 574–581. [Google Scholar] [CrossRef]
- Stugelmayer, E. Characterization of Process Induced Defects in Laser Powder Bed Fusion Processed AlSi10Mg Alloy. Ph.D. Thesis, Montana Tech, Butte, MT, USA, 2018. [Google Scholar]
- King, W.E.; Barth, H.D.; Castillo, V.M.; Gallegos, G.F.; Gibbs, J.W.; Hahn, D.E.; Kamath, C.; Rubenchik, A.M. Observation of keyhole-mode laser melting in laser powder-bed fusion additive manufacturing. J. Mater. Process. Technol. 2014, 214, 2915–2925. [Google Scholar] [CrossRef]
- Thijs, L.; Kempen, K.; Kruth, J.-P.; Van Humbeeck, J. Fine-structured aluminium products with controllable texture by selective laser melting of pre-alloyed AlSi10Mg powder. Acta Mater. 2013, 61, 1809–1819. [Google Scholar] [CrossRef]
- Aboulkhair, N.T.; Maskery, I.; Tuck, C.; Ashcroft, I.; Everitt, N.M. The microstructure and mechanical properties of selectively laser melted AlSi10Mg: The effect of a conventional T6-like heat treatment. Mater. Sci. Eng. A 2016, 667, 139–146. [Google Scholar] [CrossRef]
- Giovagnoli, M.; Silvi, G.; Merlin, M.; Di Giovanni, M.T. Optimisation of process parameters for an additively manufactured AlSi10Mg alloy: Limitations of the energy density-based approach on porosity and mechanical properties estimation. Mater. Sci. Eng. A 2021, 802, 140613. [Google Scholar] [CrossRef]









| Element | Al | Si | Cu | Mn | Mg | Zn | Fe |
|---|---|---|---|---|---|---|---|
| Wt % | Balance | 9–11 | ≤0.05 | ≤0.45 | 0.2–0.45 | ≤0.1 | ≤0.55 |
| Energy Density [J/mm3] (Build Time [%]) | Hatch Distance [mm] | ||||||||||
|---|---|---|---|---|---|---|---|---|---|---|---|
| 0.06 | 0.08 | 0.10 | 0.12 | 0.14 | 0.16 | 0.18 | 0.20 | 0.22 | 0.24 | ||
| Scanning Speed [mm/s] | 800 | 42.8 (70.8) | 38.5 (63.8) | 35.0 (58.0) | 32.1 (53.1) | ||||||
| 900 | 42.8 (70.8) | 38.1 (63.0) | 34.3 (56.7) | 31.1 (51.5) | |||||||
| 1000 | 44.0 (72.9) | 38.5 (63.8) | 34.3 (56.7) | 30.8 (51.0) | |||||||
| 1100 | 40.0 (66.2) | 35.0 (58.0) | 31.1 (51.5) | ||||||||
| 1200 | 51.4 (85.0) | 42.8 (70.8) | 36.7 (60.7) | 32.1 (53.1) | |||||||
| 1300 | 47.4 (78.5) | 39.5 (65.4) | 33.9 (56.0) | 29.6 (49.0) | |||||||
| 1400 | 55.1 (91.1) | 44.0 (72.9) | 36.7 (60.7) | 31.5 (52.0) | |||||||
| 1500 | 51.4 (85.0) | 41.1 (68.0) | 34.3 (56.7) | 29.4 (48.6) | 25.7 (42.5) | 22.8 (37.8) | 20.6 (34.0) | ||||
| 1600 | 48.2 (79.7) | 38.5 (63.8) | 32.1 (53.1) | 27.5 (45.5) | 24.1 (39.8) | 21.4 (35.4) | |||||
| 1700 | 60.5 (100.0) | 45.3 (75.0) | 36.3 (60.0) | 30.2 (50.0) | 25.9 (42.9) | 22.7 (37.5) | 20.2 (33.3) | ||||
| 1800 | 57.1 (94.4) | 42.8 (70.8) | 34.3 (56.7) | 28.5 (47.2) | 24.5 (40.5) | 21.4 (35.4) | |||||
| 1900 | 54.1 (89.5) | 40.6 (67.1) | 32.5 (53.7) | 27.0 (44.7) | 23.2 (38.3) | 20.3 (33.6) | |||||
| 2000 | 51.4 (85.0) | 38.5 (63.8) | 30.8 (51.0) | 25.7 (42.5) | 22.0 (36.4) | 19.3 (31.9) | |||||
| Normalized UTS Normalized YS Normalized Elongation | Hatch Distance [mm] | ||||||||||
|---|---|---|---|---|---|---|---|---|---|---|---|
| 0.06 | 0.08 | 0.10 | 0.12 | 0.14 | 0.16 | 0.18 | 0.20 | 0.22 | 0.24 | ||
| Scanning Speed [mm/s] | 800 | ||||||||||
| 900 | |||||||||||
| 1000 | |||||||||||
| 1100 | |||||||||||
| 1200 | |||||||||||
| 1300 | |||||||||||
| 1400 | |||||||||||
| 1500 | |||||||||||
| 1600 | |||||||||||
| 1700 | |||||||||||
| 1800 | |||||||||||
| 1900 | |||||||||||
| 2000 | |||||||||||
Publisher’s Note: MDPI stays neutral with regard to jurisdictional claims in published maps and institutional affiliations. |
© 2022 by the authors. Licensee MDPI, Basel, Switzerland. This article is an open access article distributed under the terms and conditions of the Creative Commons Attribution (CC BY) license (https://creativecommons.org/licenses/by/4.0/).
Share and Cite
Defanti, S.; Cappelletti, C.; Gatto, A.; Tognoli, E.; Fabbri, F. Boosting Productivity of Laser Powder Bed Fusion for AlSi10Mg. J. Manuf. Mater. Process. 2022, 6, 112. https://doi.org/10.3390/jmmp6050112
Defanti S, Cappelletti C, Gatto A, Tognoli E, Fabbri F. Boosting Productivity of Laser Powder Bed Fusion for AlSi10Mg. Journal of Manufacturing and Materials Processing. 2022; 6(5):112. https://doi.org/10.3390/jmmp6050112
Chicago/Turabian StyleDefanti, Silvio, Camilla Cappelletti, Andrea Gatto, Emanuele Tognoli, and Fabrizio Fabbri. 2022. "Boosting Productivity of Laser Powder Bed Fusion for AlSi10Mg" Journal of Manufacturing and Materials Processing 6, no. 5: 112. https://doi.org/10.3390/jmmp6050112
APA StyleDefanti, S., Cappelletti, C., Gatto, A., Tognoli, E., & Fabbri, F. (2022). Boosting Productivity of Laser Powder Bed Fusion for AlSi10Mg. Journal of Manufacturing and Materials Processing, 6(5), 112. https://doi.org/10.3390/jmmp6050112

