Next Article in Journal
Microstructure and Mechanical Properties of Aluminum Alloy Studs Using Wire–Laser Directed Energy Deposition
Next Article in Special Issue
Analysis and Characterization of Axially Joined Friction-Welded Ti6Al4V Alloy Rods
Previous Article in Journal
Tribological Analysis of Laser-Cladded Martensitic and Mixed-Alloy Coatings: Correlating Microstructure, Hardness, and Wear Response
 
 
Font Type:
Arial Georgia Verdana
Font Size:
Aa Aa Aa
Line Spacing:
Column Width:
Background:
Article

Effect of Post-Build Annealing on the Microstructure and Mechanical Properties of LPBF-Processed AlSn10Pb10 Alloy

by
Kirill O. Akimov
1,2,
Alexander L. Skorentsev
1,3,
Nikolay M. Rusin
1,
Vadim E. Likharev
1,4,
Dmitry P. Il’yashchenko
5 and
Andrey I. Dmitriev
1,2,*
1
Institute of Strength Physics and Materials Science SB RAS, 2/4 Akademicheskii Av., Tomsk 634055, Russia
2
Department of Metal Physics, National Research Tomsk State University, 36 Lenin Av., Tomsk 634050, Russia
3
School of Nuclear Science and Engineering, National Research Tomsk Polytechnic University, 30 Lenin Av., Tomsk 634050, Russia
4
School of Advanced Manufacturing Technologies, National Research Tomsk Polytechnic University, 30 Lenin Av., Tomsk 634050, Russia
5
Yurga Technological Institute, National Research Tomsk Polytechnic University, 30 Lenin Av., Tomsk 634050, Russia
*
Author to whom correspondence should be addressed.
J. Manuf. Mater. Process. 2026, 10(3), 77; https://doi.org/10.3390/jmmp10030077
Submission received: 19 January 2026 / Revised: 18 February 2026 / Accepted: 20 February 2026 / Published: 24 February 2026

Abstract

The work studied the effect of high-temperature annealing on the phase composition, microstructure, and mechanical properties of an AlSn10Pb10 vol.% alloy obtained by laser powder bed fusion (LPBF). For this purpose, a series of anneals was carried out in the temperature range of 200–500 °C with a duration of 30 min. Using X-ray diffraction, it was determined that the annealed samples had a three-phase structure consisting of Al, β-Sn, and α-Pb phases, with a gradual decrease in their lattice elastic strain and dislocation density as the heating temperature increased. Analysis of the obtained SEM images revealed that these changes were accompanied by the coarsening of Sn and Pb inclusions and growth of the pure aluminum areas. As a result of the described structural changes with increasing annealing temperature, the ultimate compressive strength of the alloy monotonically decreased from 108 MPa (in the as-built state) to 75 MPa after annealing at 500 °C. The alloy’s ductility (strain at peak stress) also improved and reached a maximum of 26% after annealing at 400 °C. Compression test results showed that the optimal combination of ductility and strength of the LPBF-processed AlSn10Pb10 alloy was observed after annealing at 400 °C.

Graphical Abstract

1. Introduction

Aluminum alloys with tin and lead additions are traditionally used as antifriction materials in sliding bearings due to the successful combination of high fatigue strength, thermal conductivity, and the ability of soft phases to act as solid lubricants [1,2,3,4,5]. The aluminum matrix ensures high load-bearing capacity and low density of the alloys, while uniformly distributed dispersed inclusions of Sn and Pb form a thin layer on the friction surface, preventing seizure of the bearing with the counterbody during its long-term operation [6,7]. The macroscopic properties of such materials are determined by the chemical composition of the matrix, the grain structure features, and the strength of the adhesive interaction with soft phase inclusions. Concurrently, microstructural features such as inclusion shape, size, and distribution directly affect wear resistance, thermal conductivity, and fatigue resistance.
The optimal combination of strength and wear resistance of antifriction alloys is achieved with strict control of the parameters determining their structure [8,9,10]. Studies have shown that an alloy containing about 5–15% Sn and about 5–10% Pb, provided they are uniformly distributed, demonstrates a low friction coefficient while maintaining satisfactory strength [11,12]. However, achieving such uniformity using traditional casting or sintering technologies is challenging due to the wide crystallization temperature interval and density differences, which often lead to phase microsegregation and the formation of coarse eutectic colonies [13,14].
Laser powder bed fusion (LPBF) offers a solution to these challenges. Due to ultra-high cooling rates (104–106 K/s) during LPBF, it is possible to partially slow down the decomposition of the aluminum-based solid solution and fix dissolved tin and lead in the matrix grains [7,15,16]. In recent years, interest in such immiscible systems has expanded beyond tribology to thermal management applications, specifically as Phase Change Materials (PCMs) for heat storage [17,18,19]. For both applications—bearings operating under friction-induced heat and thermal storage devices—the microstructural stability of the alloy at elevated temperatures is a critical performance factor.
However, the intense thermal cycles inherent to LPBF induce significant residual stresses and non-equilibrium structures [18,20,21]. While the Al–Sn system produced by LPBF has been investigated regarding its thermal stability, the ternary Al–Sn–Pb system remains less explored in the context of additive manufacturing [22,23]. Processing this ternary system presents specific challenges due to the high vapor pressure and toxicity of Pb. Excessive laser energy density can lead to the selective evaporation of Pb, altering the alloy composition and generating hazardous fumes, which necessitates precise parameter optimization. Currently, there is a specific lack of quantitative data on the effect of annealing temperature and time on the evolution of phase sizes, lattice parameters, and dislocation density—factors that govern the kinetics of stress relaxation and the formation of an equilibrium state.
To reduce internal stresses and stabilize the structure in such alloys, post-process heat treatment, such as annealing, is essential. This allows for the control of diffusion processes, particle growth, and the relaxation of stresses induced by lattice and interphase defects. During the annealing of Al–Sn–Pb alloys, a redistribution of components occurs, leading to the formation of a stable structure where soft inclusions are distributed along grain boundaries, reducing internal stresses and improving ductility while maintaining strength.
Since data on the influence of annealing parameters on the structure and properties of LPBF-processed Al–Sn–Pb alloys are practically absent, the study of temperature-dependent relaxation and phase redistribution mechanisms has both fundamental and applied significance. Understanding the mechanisms of inclusion coarsening will allow for the development of optimized heat treatment regimes aimed at increasing the stability of products operating under elevated temperatures and variable loads, such as bearing assemblies or thermal storage systems.
The AlSn10Pb10 (vol.%) alloy was selected for this study because preliminary research indicated that it possesses the optimal combination of strength and ductility among LPBF-processed three-phase Al–Sn–Pb materials [24]. In the present work, a comprehensive study of the effects of annealing temperature on the phase composition, microstructure, and mechanical properties of the AlSn10Pb10 alloy produced by LPBF was carried out.

2. Materials and Methods

For the synthesis of AlSn10Pb10 (vol.%) alloy samples obtained by LPBF, mixtures of commercial powders of aluminum grade ASD-1 (TU 48-8-226-87), tin PO 1 (GOST 9723-73), and lead PS 1 (GOST 16138-78) were used [25]. Despite the irregular morphology of the precursor Sn and Pb powders (Figure 1), the high-volume fraction of the spherical aluminum powder (80 vol.%) ensured adequate flowability and packing density of the mixture. Consequently, no recoating issues, such as uneven layer spreading or jamming of the recoater blade, were observed during the LPBF process. A fraction of powders with a size of 25–50 μm necessary for printing was sieved from them. The nominal composition of the powder mixture was 80 vol.% Al, 10 vol.% Sn, and 10 vol.% Pb. This formulation, based on volume fractions, was chosen to control the spatial distribution and surface area coverage of the soft phases, which is critical for tribological performance. However, considering the significant density differences (ρ (Al) ≈ 2.7 g/cm3, ρ (Sn) ≈ 7.3 $ g/cm3, ρ (Pb) ≈ 11.3 g/cm3), the nominal composition in mass percent corresponded to approximately Al-53.7 wt.%–18.2 wt.%Sn–28.1 wt.%Pb.
The powders were mixed for 4 h in a Turbula SPD/2-P mixer (Techno-Center LLC, Rybinsk, Russia) at a container rotation speed of 30 rpm, then the resulting mixture was dried in a vacuum oven for 8 h at 120 °C. The mixing process was conducted in steel containers hermetically sealed with rubber gaskets to prevent air ingress. The mixing parameters were selected based on our published optimization study regarding the Al–Sn–Pb system [25], which demonstrated that this duration ensures macroscopic homogeneity without particle deformation. The resulting structure of the mixture can be seen in Figure 1. The mixing mode used ensured the most homogeneous distribution of powders of different types at the macroscale level. With shorter mixing times, the distribution of components throughout the mixture volume remains inhomogeneous, and exceeding the specified mixing time increases the tendency for the agglomeration of heavy particles in the medium of lighter powders (Figure 1a). This tendency was also confirmed by images of the mixture in characteristic radiation (Figure 1b–d), as well as the results of the measurements of the volumetric concentrations of metals using the ImageJ (bundled with Java 8.) program, as shown in Figure 2 [26]. From the results presented in Figure 2, it also follows that the mobility of harder aluminum powder particles leads to the redistribution of hard and soft fractions of the mixture during its compaction by pressure and the formation of large clusters from soft particles.
Sample printing was carried out on an ONSINT AM150 3D printer (ONSINT, Zelenograd, Russia) in a chamber with flowing high-purity argon. The samples were built on a substrate of aluminum alloy AMG6 heated to 120 ± 5 °C. The thickness of the powder mixture layer applied by the squeegee (h) was 30 μm. The scanning strategy was linear, with a rotation of 67°, and the scanning speed v = 1 m/s. The laser power P = 130 W. The laser beam spot diameter on the irradiation surface (d) = 75 ± 5 μm, and the hatch distance s = 90 μm. The indicated LPBF parameters were selected based on preliminary experimental studies carried out within the framework of RSCF project no. 24-79-10099 [24]. This regime was selected to ensure a stable melt pool and low porosity of the samples (<1%).
The as-built samples were cubic with an edge length of 10 mm. Post-process annealing was performed in a muffle furnace under normal air atmosphere at temperatures ranging from 200 °C to 500 °C with a step of 100 °C and a holding time of 30 min. This duration was selected to ensure uniform heating of the bulk samples and to initiate diffusion-controlled microstructural evolution without causing excessive surface oxidation or grain growth that might occur during prolonged exposure. Additionally, these parameters were chosen to facilitate comparison with previous studies on similar aluminum-based alloys [24].
The structure of the synthesized samples, as well as the distribution of elements in them, was investigated on cross-sections located along the vertical axis of sample growth. The cross-sections were prepared according to the following procedure: first, the surface was ground on sandpaper with decreasing abrasive particle sizes (P320, P600, P1200, and P2000), and then polished on cloth with applied diamond suspension containing particles smaller than 0.5 μm. The obtained cross-sections were thoroughly washed in an ultrasonic bath with alcohol. No chemical etching was applied to the samples.
X-ray phase analysis was carried out on a DRON-8 diffractometer (Innovation Center Burevestnik, Saint Petersburg, Russia) (CuKα, λ = 1.54186 Å) equipped with a software complex containing databases for processing diffractograms. Shooting was carried out in the angle range 2θ = 10–110°. Quantitative phase analysis was performed by the RIR (Reference Intensity Ratio) method based on the intensities of the most pronounced peaks of Al, Sn, and Pb phases using standards contained in the diffractometer database. The value of microstrains was calculated using the Williamson–Hall equation:
ε = β 4 t g θ ,
where β is the peak broadening (FWHM) and θ is the Bragg angle for the corresponding peak. The dislocation density was calculated from the equation given in [27]:
δ = 1 D 2 ,
where D is the size of the coherent scattering region.
It is important to emphasize that both the microstrain (ε) calculated via the William-son–Hall equation and the dislocation density (δ) estimated using Equation (2) represent effective parameters derived from line broadening analysis. These values should be interpreted as qualitative indicators. While this approach does not account for the full complexity of dislocation arrangements, it serves as a reliable proxy to monitor the relative trend of defect annihilation and structural recovery during annealing.
Investigation of the microstructure of the cross-section surface and energy-dispersive X-ray spectroscopy (EDX) of the selected areas were carried out on a Carl Zeiss EVO-50 scanning electron microscope (Carl Zeiss, Oberkochen, Germany) at an accelerating voltage of 20 kV. Using the INCA software V 4.11, the elemental composition of the surface was calculated from the obtained spectra. Image processing was performed in the ImageJ program (Figure 3). Binarization of images with an automatic threshold was applied. The obtained binary masks were used to calculate the average area, equivalent diameter, and the fraction of the soft phase relative to the area occupied by it to the total area of the image. Additionally, separation of areas by contrast was carried out, which allowed isolating zones of pure aluminum and areas enriched with Sn + Pb, and tracing the dynamics of soft phase particle coarsening with increasing annealing temperature and time. Quantitative analysis of the microstructural features was performed on at least 10 SEM images for each condition. This sampling strategy ensured the measurement of over 500 individual particles for each annealing temperature, providing a statistical error of less than 5% for the determined mean particle sizes.
The mechanical properties of the alloy samples were determined by the compression testing of rectangular samples on an Instron-1185 universal testing machine (Instron, Norwood, MA, USA) with an upsetting speed of 0.5 mm/min. The compression axis was perpendicular to the material growth direction during the LPBF process. Since the ductile aluminum alloy undergoes barreling without catastrophic disintegration, the ductility (strain at peak stress) was defined as the strain corresponding to the maximum compressive stress (σU). Beyond this point, a decrease in flow stress was observed, which was interpreted as the onset of material failure. To reduce the influence of friction forces, graphite powder was applied to the end parts of the samples. Three samples were tested for each annealing mode.

3. Results and Discussion

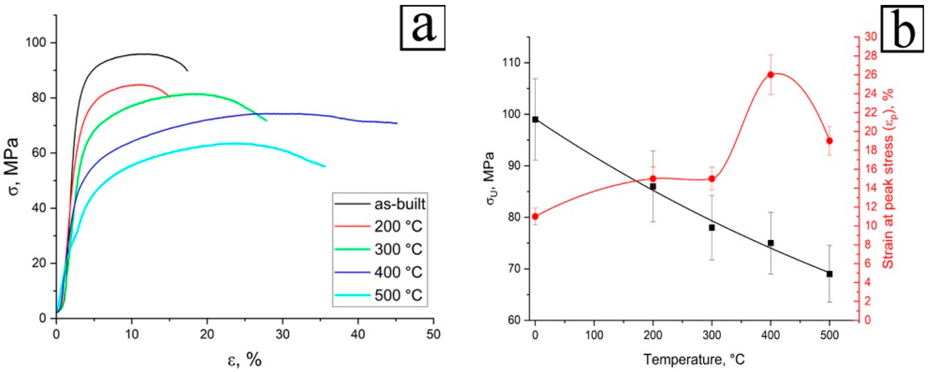
The nature of the influence of 30-min annealing on the mechanical properties of AlSn10Pb10 samples obtained by the LPBF method is reflected in Figure 4, which presents compression curves (σ–ε) as well as graphs of the dependence of the ultimate strength (σu) and the corresponding strain (εp) on the alloy annealing temperature. From the presented graphs, it follows that the maximum strength (σu ≈ 108 MPa) was demonstrated by samples not subjected to heat treatment, and their upsetting value could reach εp ≈ 11%. Such a combination of alloy properties in the “as-built” state is due to its finely dispersed microstructure formed at high melt cooling rates during the LPBF process, the high density of crystal lattice defects, and significant residual stresses in the rapidly cooled material. These factors ensure rapid strain hardening of the alloy but simultaneously limit its ability to plastic deformation. Annealing eliminates most structural defects due to the activation of diffusion, which contributes to an increase in the mobility of lattice and grain boundary dislocations and a decrease in the material flow stress [28].
Annealing of samples at 200–300 °C naturally caused a decrease in their strength with a simultaneous increase in ductility: σU decreased from 95 MPa to 80 MPa, and εp increased from 11% to 14% (Figure 4a). With an increase in annealing temperature to 400 °C, the alloy strength continued to smoothly decrease to σU ≈ 75 MPa, while ductility sharply increased to εp ≈ 26%. With further heating to 500 °C, the alloy strength decreased additionally to σU ≈ 70 MPa, but its ductility demonstrated a drop to εp ≈ 19% instead of the expected growth.
Thus, 30-min annealing of the AlSn10Pb10 alloy samples obtained by the LPBF method caused a monotonous decrease in their plastic flow stress as its temperature increased. At the same time, the ductility of synthesized samples grew, especially rapidly after annealing at 400 °C, but began to decrease with a further increase in temperature. That is, the achievement of the optimal combination of σU and εp values under the influence of heat treatment should be sought at annealing temperatures not higher than 400 °C.
The features of plastic flow of annealed samples under load are determined by their structure, which changes as the annealing temperature increases (Figure 5). The presented images show that immediately after LPBF (Figure 5a), the structure was not homogeneous, consisting of areas of different colors—gray, occupying most of the cross-section surface, as well as light and dark inclusions of various shapes. At high magnifications (Figure 5f), it was seen that the gray areas represented regions with an increased content of tin inclusions, light ones—with a high lead content. Dark inclusions consisted of pure aluminum. Thus, from Figure 5a, it can be concluded that under the selected LPBF mode, the melt components mixed selectively: tin and aluminum mixed well, and lead mixed with aluminum almost not at all but mixed with tin, forming a heavy liquid that slowed down the convective flows of lighter masses. This led to the fact that part of the aluminum does not have time to mix with tin. After crystallization, all structural elements of the alloy turned out to be elongated in one direction, which was the direction of the preferential movement of the melt masses under the influence of the temperature gradient.
Annealing at 200–300 °C caused noticeable changes in the alloy structure. Lead-rich light areas decomposed into pure lead inclusions and gray areas representing a eutectic mixture of aluminum and tin. Elongated dark inclusions of pure lead fragmented into isolated inclusions located between gray areas (Figure 5b,c).
As shown in Figure 4, annealing at 400 °C significantly increased the ductility of the samples. The corresponding microstructure is presented in Figure 5d,f. At this temperature, lead inclusions continued to coarsen but remained distributed within the Al–Sn regions, while the aluminum matrix underwent fragmentation. This finely dispersed structure correlated with the maximum observed ductility, ensuring the material’s ability to undergo significant deformation. A portion of the tin was displaced to the outer boundaries of multi-phase regions, forming extended inclusions of the soft phase. These inclusions may act as sites for strain localization. Therefore, 400 °C appears to be the critical threshold; any further increase in temperature or duration would likely lead to excessive coarsening and a subsequent reduction in ductility, as observed at higher temperatures.
Quantitative analysis of porosity performed on polished cross-sections showed that the as-built samples exhibited a high relative density with an average porosity of approximately 0.6–0.8%. Small spherical pores, likely attributed to entrapped gas, were randomly distributed. Upon annealing up to 500 °C, no significant change in the pore fraction or morphology was observed.
At an annealing temperature of 500 °C, the microstructural evolution underwent a qualitative change. Although the Sn–Pb eutectic liquid phase existed at temperatures above 183 °C, and pure Tin melted at 232 °C, it was at 500 °C that all soft phase constituents were in a fully liquid state with low viscosity and high diffusivity. This regime significantly enhanced the wettability of aluminum by the liquid metal. Consequently, the mechanism shifted to rapid liquid-phase-assisted coarsening (Ostwald ripening). This led to the coalescence of individual inclusions into large, irregular agglomerates (clearly visible in Figure 5e,f). These massive soft domains acted as stress concentrators and weak points within the matrix, initiating premature failure and causing the observed drop in ductility to 19%.
The fracture surface of the synthesized sample obtained using the SE detector was relatively smooth (Figure 6a), since most of its area was occupied by regions obtained by the cleavage of soft phase inclusions. There were also dark areas representing depressions left as a result of the separation of solid particles along their outer boundaries. An image of the same surface obtained using the BSE electron detector showed that the smooth light areas represented cleavage surfaces of Sn and Pb phase inclusions. That is, the fracture character of the synthesized sample was brittle-ductile; cracks propagated through heavy metal inclusions and along their boundaries with aluminum areas.
After annealing at 200 °C, the fracture surface became more textured, and the sizes of areas with dimple and brittle fracture were smaller (Figure 6b). The surface image in backscattered electrons showed that the change in relief was associated with the redistribution of the low-melting phase and its propagation along the matrix area boundaries.
This tendency for fracture surface relief refinement continued after annealing samples at 300 °C (Figure 6c). The number of dimples left by torn-out aluminum particles increased, and their size decreased. Analysis of the fracture surface taken by the BSE detector showed that inclusions of low-melting Sn and Pb phases became smaller and uniformly distributed throughout the material volume. Along with the uniform distribution of particles of these phases, a tendency was observed for aluminum particles coarsening surrounded by tin layers, which, upon separation, left large and deep depressions with gentle edges on the fracture surface. That is, the fracture surface relief acquires a duplex character—on the one hand, it becomes finer due to the refinement of second-phase inclusions and their more uniform distribution throughout the volume, but at the same time, it coarsens due to the appearance of aluminum agglomerates.
At 400 °C, the processes of fragmentation and the distribution of Sn and Pb phases throughout the volume of the aluminum matrix of the alloy were completed. These were uniformly distributed along the boundaries of aluminum areas, leveling the boundaries between their agglomerates (Figure 6d). This structure corresponded to the maximum ductility of the alloy. However, a tendency for isolated inclusions of low-melting phases to connect into continuous intergranular networks was already beginning to manifest.
Sn and Pb inclusions finally formed a continuous lead–tin network at an annealing temperature of 500 °C. The plastic flow of such a material under load was accompanied by deformation localization in bands oriented along the network lines. As the ductility reserve of intergranular network layers caught in localized shear bands was quickly exhausted, they began to delaminate along the softest material between adjacent aluminum areas. As a result, the banks of cracks passing between Al areas were predominantly covered with Sn and Pb layers, which are stronger due to their adhesive interaction with the Al surface. The banded nature of fracture is clearly visible in Figure 6e.
Thus, the study of the fracture surface relief of annealed samples established that the fracture of the AlSn10Pb10 alloy occurs predominantly by crack propagation through Sn and Pb inclusions. During the annealing of samples, these inclusions are refined due to the propagation of the liquid phase along the boundaries of the aluminum matrix. The uniform distribution of Sn and Pb leads to equalization of the alloy composition and structure throughout the sample volume, more uniform deformation distribution in it under loading, and the alloy’s ductility improves. The greatest structure homogeneity is achieved during annealing at about 400 °C.
Simultaneously, the propagation of Sn and Pb is accompanied by the formation of continuous layers in the intergranular space, which, unlike isolated inclusions, contribute to deformation localization along their occurrence sites. The higher the annealing temperature, the more aluminum dissolves in the liquid phase and the more connected the intergranular network becomes during annealing. Its formation contributes to plastic flow localization and worsens the deformation capabilities of alloy samples (Figure 4).
Despite the substantial transformation of the alloy structure during annealing, its phase composition remained stable, which clearly follows from the X-ray diffractograms of samples subjected to 30-min annealing at various temperatures given below.
Analysis of XRD patterns showed that in all states, the AlSn10Pb10 alloy retained a three-phase structure represented by an aluminum matrix Al (fcc), as well as crystalline phases β-Sn (tetr.) and α-Pb (fcc) (Figure 7). On the diffractogram of the sample before heat treatment (black curve), all three components were clearly identified, while Al reflections had broadening and slight asymmetry. These factors indicate the presence of microstrains and dislocation densities higher than, for example, in sintered material, which is a consequence of rapid melt solidification during LPBF [29].
After annealing at 200 °C (red curve), narrowing and symmetrization of α-Al diffraction lines were observed, indicating the beginning of the relaxation of internal lattice distortions. Sn and Pb reflections retained intensity and distinctness, which indicates the stability of their crystalline state during annealing, whereas according to the ternary phase diagram Al–Sn–Pb, at temperatures close to the eutectic point of the Sn–Pb subsystem (≈183 °C), the equilibrium composition of Sn and Pb phases may change. Simultaneously, in this temperature range, the diffusion mobility of atoms in the boundary regions of aluminum increases, which contributes to local stress relaxation at the α-Al/Sn and α-Al/Pb interfaces.
Further temperature increasing up to 300 °C (green curve) or 400 °C (blue curve) was accompanied by a sequential decrease in the half-width of reflections belonging to aluminum. These changes reflect a decrease in its lattice defectiveness due to the relief of internal stresses. In this temperature range, relaxation processes are activated, including a decrease in microstrains and partial dislocation annihilation, which was confirmed by peak narrowing in X-ray patterns. Simultaneously, a slight increase in the relative intensity of Sn and Pb reflections was observed, which is consistent with the gradual redistribution of low-melting phases throughout the material volume during annealing.
After annealing at 500 °C (light blue curve), α-Al diffraction lines became the narrowest. The shape and intensity of Sn and Pb reflections remained unchanged, which confirmed the stability of their phase state in the investigated temperature range. It can be assumed that during annealing at this temperature, the relaxation of the defective structure of the aluminum matrix is completed. and a stable distribution of soft phases along its boundaries is established.
Quantitative dependencies calculated from the results of diffractogram analysis—aluminum lattice parameter (a), microstrain value, dislocation density, and sizes of coherent scattering regions (D)—on temperature confirmed the trends described above (Figure 8).
The evolution of the aluminum lattice parameter (Figure 8) is governed by two competing mechanisms: compositional changes in the solid solution and the relaxation of residual stresses. Considering the atomic radii of tin (1.62 Å) and lead (1.75 Å) are larger than aluminum (1.43 Å), the precipitation of these elements from the supersaturated matrix during annealing should theoretically induce lattice contraction. However, Figure 8 demonstrates a monotonic increase in the lattice parameter from 4.050 Å to 4.057 Å. This trend suggests that the dominant factor is not solute precipitation, but the relaxation of macroscopic residual compressive stresses typical for LPBF-processed materials. In the as-built state, rapid cooling generates significant compressive forces that elastically strain the lattice; high-temperature annealing relieves this strain, allowing the lattice to expand toward its stress-free equilibrium state.
Thus, the lattice parameter of the aluminum phase increased from 4.050 Å in the initial state to 4.057 Å at 500 °C, the microstrain value decreased from 2.4 × 10−3 to 2.0 × 10−3, and the dislocation density decreased by more than 25%. The size of coherent scattering regions increased from about 45 to 52 nm, which reflects a tendency towards a decrease in the degree of lattice distortion. The combination of these factors indicates the dominance of the partial recrystallization process in the α-Al matrix, accompanied by dislocation annihilation and redistribution of point defects. The relief of residual elastic stresses formed during the LPBF process led to an effective expansion of interplanar spacings, which was expressed in the shift of aluminum lines to lower 2θ. Thus, the observed change in the lattice parameter should be considered as an indicator of thermoelastic relaxation and recovery of the defective structure.
The combined analysis of X-ray diffraction data (Figure 7 and Figure 8) allows for the conclusion that heat treatment in the range of 200–500 °C leads to the formation of a more homogeneous and thermodynamically stable structure, which naturally affects the mechanical properties of the alloy—reducing their flow stress and increasing ductility.
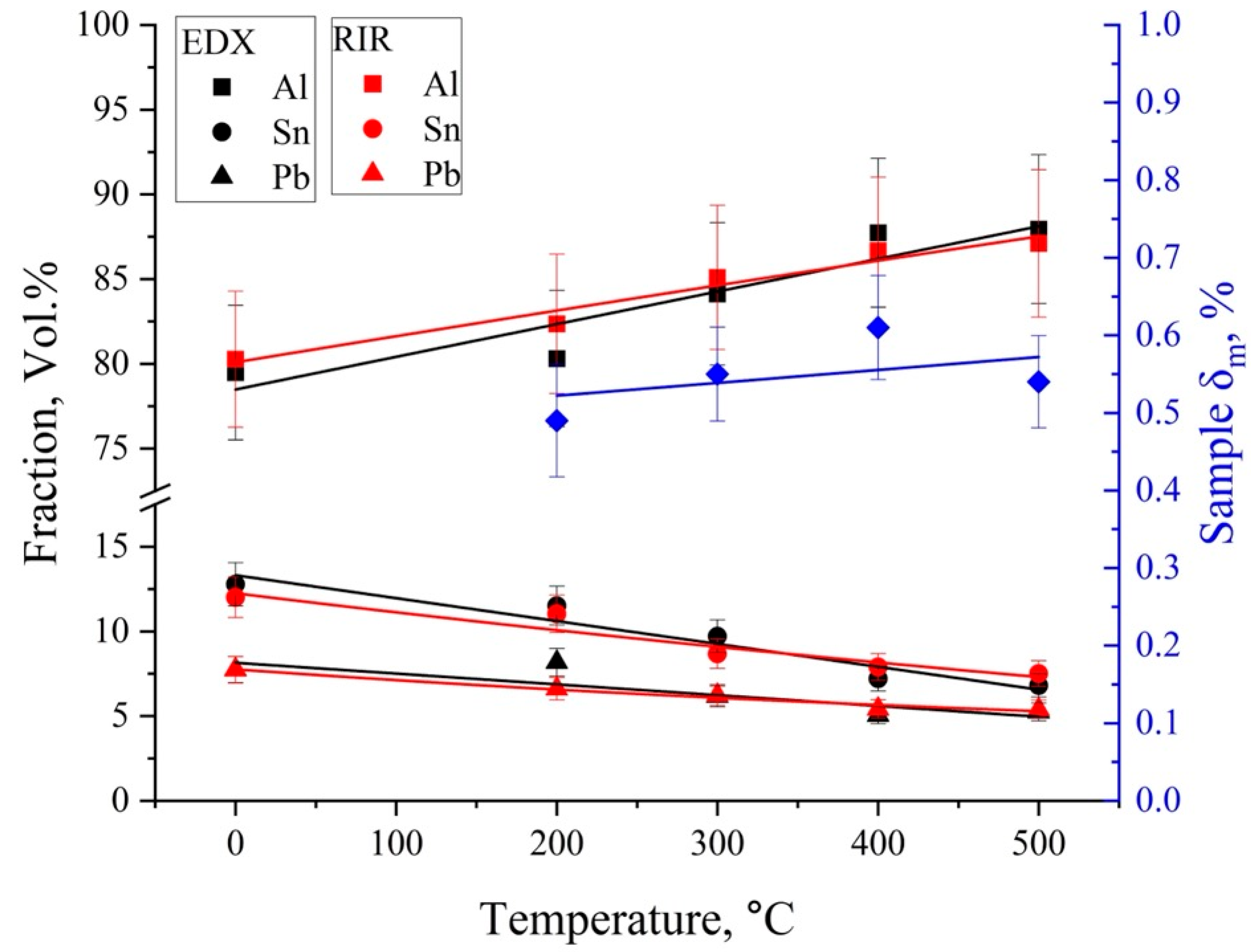
Figure 9 presents changes in the volume fractions of Al, Sn, and Pb determined by the X-ray phase analysis (RIR) and energy-dispersive spectroscopy (EDX) methods, as well as the dependence of the relative change in sample mass δm on the annealing temperature. It is necessary to acknowledge that the quantitative phase analysis performed via the RIR method is subject to microabsorption effects due to the significant difference in mass attenuation coefficients between aluminum and lead. Consequently, the phase fraction values presented in Figure 9 should be interpreted as trend indicators reflecting the general precipitation kinetics during annealing, rather than precise stoichiometric quantities.
With an increase in temperature from the as-built state to 500 °C, an increase in the aluminum phase fraction and a decrease in Sn and Pb fractions were observed. At the same time, the total chemical composition of the system remained constant and corresponded to AlSn10Pb10, which was confirmed by mass stability, as the δm values did not exceed 0.6%, which is within the experimental measurement error. In addition, using the binarization method of SEM images, it was established that the area occupied by the soft phase in the images fluctuated within 20 ± 1%.
The observed changes in phase fractions reflect not the redistribution of elements, but the microstructural rearrangement of the material. With increasing temperature, defect relaxation and partial densification of the aluminum matrix occur without changing the chemical composition and mass of the sample. The decrease in Sn and Pb fractions determined by the RIR method was partially associated with the microabsorption effect manifesting during the coarsening of particles of these phases. Since the X-ray absorption coefficients for Sn and Pb significantly exceeded the values for Al, part of the volume of the intergranular network walls became inaccessible for diffraction analysis, which led to a decrease in the visible intensity of their reflections [30].
Insignificant changes in δm during heat treatment may be due to the degassing of residual gases from micropores or surface defects formed during the LPBF process, as well as statistical error during weighing. Loss of low-melting components at the investigated temperatures did not occur. Thus, the recorded variations in phase fractions and δm indicate that structural changes in the alloy are internal in nature and are associated with defect relaxation and phase redistribution while maintaining the constant composition of AlSn10Pb10.
Figure 10 shows the dependencies of the equivalent diameter of Sn and Pb particles and the fraction of aluminum matrix areas free from soft phases on the annealing temperature.
With increasing temperature, both parameters monotonically increased: the inclusion size increased from 0.6 to 1.9 μm, and the fraction of matrix areas from 5 to 35%. The growth of particle size was accompanied by the expansion of Al areas depleted in Sn and Pb, which indicates the synchronous nature of these processes—the more intensively soft phase particles coarsen, the faster matrix areas are freed. The proportional increase in Deq and the fraction of Al areas confirmed the interconnected evolution of structural parameters and is consistent with the continuous diffusion mechanism proceeding within the same stable phases.
Coarsening of inclusions and an increase in the volume of Al areas lead to a decrease in the fraction of interphase boundaries and a decrease in defect density in the matrix. This contributes to the relaxation of internal stresses and can lead to a decrease in strength and an increase in alloy ductility with increasing annealing temperature.
Comparison of fractographic analysis data with X-ray structural and mechanical results showed that the evolution of the fracture surface fully reflects the processes of phase redistribution in the Al–Sn–Pb system. The optimal combination of toughness and strength was achieved at an annealing temperature of about 400 °C, at which a finely dispersed uniform distribution of soft phases in the aluminum matrix was realized. This state ensures a balance between plastic deformation of the matrix and cohesive strength of phase interfaces.
It is instructive to compare the observed behavior of the ternary AlSn10Pb10 alloy with the characteristics of binary Al–Sn alloys processed by LPBF reported in the literature [17]. While binary systems typically exhibit a cellular structure that undergoes evolution upon heating, the introduction of lead alters the kinetics. Since both Sn and Pb are immiscible in aluminum, their co-presence results in a complex distribution of soft phases. The current study demonstrates that the addition of lead does not compromise the mechanical integrity. On the contrary, the ternary system achieved exceptional ductility (up to 26% compressive strain) after annealing at 400 °C. This suggests that the significant coarsening and redistribution of the soft Sn and Pb phases (as observed in Figure 6) facilitate strain accommodation more effectively than the fine cellular network typical of the as-built state, thereby justifying the application of this ternary composition.
It is necessary to acknowledge the limitations of the current experimental design. While the annealing process was conducted using a fixed time duration that allowed for the identification of critical temperature thresholds for softening, a multi-factor study involving varying annealing times is required to fully establish the kinetics of the phase transformations.

4. Conclusions

In the present work, the effect of post-build annealing temperature (in the range of 200–500 °C for 30 min) on the phase composition, microstructural evolution, and mechanical properties of the AlSn10Pb10 alloy manufactured by laser powder bed fusion (LPBF) was investigated. A direct correlation was established between thermally activated relaxation processes, phase evolution, and the mechanical response of the material.
The following main results were obtained:
(1)
The initial (as-built) state after LPBF is characterized by a metastable, highly defective microstructure with a high level of microstrains (ε ≈ 2.4 × 10−3), which ensures maximum strength (108 MPa) with limited ductility (10%).
(2)
The X-ray diffraction analysis revealed that the LPBF-processed alloy consisted of Al, Sn, and Pb phases. Annealing in the range of 200–500 °C led to the relaxation of the metastable as-built structure, characterized by a reduction in microstrain and dislocation density.
(3)
Microstructural analysis (SEM) and quantitative image processing revealed that increasing the annealing temperature leads to the coalescence of soft phases (Sn, Pb) and purification of the aluminum matrix. The average equivalent diameter of inclusions (Deq) increased linearly from 0.6 μm (as-built) to 1.9 μm (500 °C), while the fraction of pure Al areas in the matrix sharply increased from 5% to 35%.
(4)
The mechanical properties of the alloy demonstrated a strong dependence on the annealing temperature. The ultimate compressive strength (σu) monotonically decreased from 108 MPa to 75 MPa, which correlates with defect relaxation and phase coarsening (classical softening).
A key result is the non-monotonous change in ductility (εp). Ductility reached a maximum value of 26% at an annealing temperature of 400 °C, which is more than 2.5 times higher than the value in the initial state. Further heating to 500 °C led to the excessive coalescence of inclusions, which began to act as fracture initiators, reducing ductility to 19%.
Thus, the study showed that annealing at 400 °C is the optimal heat treatment mode for the AlSn10Pb10 alloy obtained by the LPBF method, allowing us to achieve the best combination of moderate strength and high ductility, which is critically important for antifriction applications and serves as a basis for future tribological evaluation.

Author Contributions

Conceptualization, N.M.R.; Methodology, N.M.R.; Formal analysis, A.L.S. and D.P.I.; Investigation, A.L.S., K.O.A., and V.E.L.; Data curation, A.L.S., K.O.A., and V.E.L.; Writing—original draft, K.O.A.; Writing—review & editing, N.M.R. and A.L.S.; Visualization, K.O.A., A.L.S., and D.P.I.; Supervision, A.I.D.; Project administration, A.I.D. All authors have read and agreed to the published version of the manuscript.

Funding

The work was performed within the framework of Assignment of the Russian Science Foundation (Project No. 24-79-10099).

Data Availability Statement

The original contributions presented in this study are included in the article. Further inquiries can be directed to the corresponding author.

Conflicts of Interest

The authors declare no conflicts of interest.

References

  1. Zeng, M.Q.; Hu, R.Z.; Song, K.Q.; Dai, L.Y.; Lu, Z.C. Enhancement of wear properties of ultrafine-structured Al–Sn alloy-embedded Sn nanoparticles through in situ synthesis. Tribol. Lett. 2019, 67, 84. [Google Scholar] [CrossRef]
  2. Seo, N.; Lee, S.H.; Lee, J.; Park, S.; Kim, M.S.; Lee, S.J.; Jung, J.G. Microstructural evolution and aging behavior of multicomponent Al–Sn–Zn–Mg–Li alloy. J. Alloys Compd. 2025, 1011, 178381. [Google Scholar] [CrossRef]
  3. Xu, M.; Yin, Y.G.; Li, C.M.; Zhang, G.T.; Duan, C.C. Effects of macrosegregation on mechanical and tribological properties of squeeze casting immiscible bearing alloys. China Foundry 2023, 20, 443–451. [Google Scholar] [CrossRef]
  4. Huang, S.; Zhu, B.; Zhang, Y.; Liu, H.; Wu, S.; Xie, H. Microstructure comparison for AlSn20Cu antifriction alloys prepared by semi-continuous casting, semi-solid die casting, and spray forming. Metals 2022, 12, 1552. [Google Scholar] [CrossRef]
  5. Barros, A.; Cruz, C.; Botelho, T.; Silva, A.; Casteletti, L.; Garcia, A.; Cheung, N. Dry sliding wear features of an Al–20Sn–5Zn alloy affected by microstructural length scales. Lubricants 2022, 10, 352. [Google Scholar] [CrossRef]
  6. Mironov, A.; Gershman, I.; Gershman, E.; Podrabinnik, P.; Kuznetsova, E.; Peretyagin, P.; Peretyagin, N. Properties of Journal Bearing Materials That Determine Their Wear Resistance on the Example of Aluminum-Based Alloys. Materials 2021, 14, 535. [Google Scholar] [CrossRef]
  7. Bertelli, F.; Freitas, E.S.; Cheung, N.; Arenas, M.A.; Conde, A.; de Damborenea, J.; Garcia, A. Microstructure, tensile properties and wear resistance correlations on directionally solidified Al–Sn–(Cu;Si) alloys. J. Alloys Compd. 2017, 695, 3621–3631. [Google Scholar] [CrossRef]
  8. Rusin, N.M.; Skorentsev, A.L.; Kolubaev, E.A. Effect of equal channel angular pressing on mechanical and tribological properties of sintered Al–Sn composites. J. Mater. Eng. Perform. 2020, 29, 1955–1963. [Google Scholar] [CrossRef]
  9. Noskova, N.I.; Korshunov, A.G.; Korznikov, A.V. Microstructure and Tribological Properties of Al-Sn, Al-Sn-Pb, and Sn-Sb-Cu Alloys Subjected to Severe Plastic Deformation. Met. Sci. Heat Treat. 2008, 50, 593–599. [Google Scholar] [CrossRef]
  10. Abed, E.J. Study of solidification and mechanical properties of Al–Sn casting alloys. Asian Trans. Eng. 2012, 2, 89–98. [Google Scholar]
  11. Mosleh, A.O.; Alzahrani, B.; Ahmed, A.; Khan, M.; Khraisheh, M.; Al-Mangour, B. Bearing Aluminum-Based Alloys: Microstructure, Mechanical and Tribological Properties—A Review. Materials 2022, 15, 8394. [Google Scholar] [CrossRef]
  12. Pathak, J.P.; Mohan, S. Tribological Behaviour of Conventional Al–Sn and Equivalent Al–Pb Alloys under Lubrication. Bull. Mater. Sci. 2003, 26, 315–320. [Google Scholar] [CrossRef]
  13. Manasijević, D.; Balanović, L.; Marković, I.; Gorgievski, M.; Stamenković, U.; Kovačević, A. Thermal Properties and Microstructure of Al–Sn Alloys. J. Alloys Compd. 2024, 195, 112297. [Google Scholar] [CrossRef]
  14. De Albuquerque, S.; Reinhart, G.; Soltani, H.; Camilo Magalhães, D.C.; Spinelli, J.E.; Nguyen-Thi, H. In Situ Observation by X-Ray Radioscopy of Liquid Decomposition During Directional Solidification of Al–Cu–Sn Alloys. Metals 2025, 15, 296. [Google Scholar] [CrossRef]
  15. Rometsch, P.A.; Jia, Q.; Yang, K.V.; Wu, X.; Huang, A. Review of High-Strength Aluminium Alloys for Additive Manufacturing by Laser Powder Bed Fusion (LPBF). Mater. Des. 2022, 219, 110779. [Google Scholar] [CrossRef]
  16. Xiao, Z.; Yu, W.; Fu, H.; Deng, Y.; Wu, Y.; Zheng, H. Recent Progress on Microstructure Manipulation of Laser Powder Bed Fused Aluminium Alloys: A Review. Mater. Res. Lett. 2023, 11, e2125880. [Google Scholar] [CrossRef]
  17. Confalonieri, C.; Casati, R.; Gariboldi, E. Effect of Process Parameters on Laser Powder Bed Fusion of Al–Sn Miscibility Gap Alloy. Quantum Beam Sci. 2022, 6, 17. [Google Scholar] [CrossRef]
  18. Confalonieri, C.; Bassani, P.; Gariboldi, E. Microstructural and thermal response evolution of metallic form-stable phase change materials produced from ball-milled powders. J. Therm. Anal. Calorim. 2020, 142, 85–96. [Google Scholar] [CrossRef]
  19. Confalonieri, C.; Gariboldi, E. Al–Sn Miscibility Gap Alloy Produced by Powder Bed Laser Melting for Application as Phase Change Material. J. Alloys Compd. 2021, 881, 160596. [Google Scholar] [CrossRef]
  20. Rusin, N.M.; Akimov, K.O.; Skorentsev, A.L.; Dmitriev, A.I. Influence of laser power during laser powder bed fusion on the structure and properties of Al–40Sn alloy prepared from a mixture of elemental powders. J. Alloys Compd. 2025, 1013, 178648. [Google Scholar] [CrossRef]
  21. Shi, G.; Lin, W.; Liu, Y.; Zhang, P.; Li, Y.; Zhao, X. A Review of the Vaporization Behavior of Some Metal and Alloy Powders in Laser Powder-Bed Fusion Additive Manufacturing. Micromachines 2024, 15, 846. [Google Scholar] [CrossRef]
  22. Cahn, R.W. Al–Sn and Al–Pb Systems. In Binary Alloy Phase Diagrams, 2nd ed.; Massalski, T.B., Ed.; ASM International: Materials Park, OH, USA, 1990; Volume 1, pp. 172–234. [Google Scholar]
  23. MSIT (Materials Science International Team); Bodak, O.I. Al–Pb–Sn Ternary Phase Diagram Evaluation. In SpringerMaterials (MSI Eureka); Springer Nature: Berlin/Heidelberg, Germany, 1993. [Google Scholar]
  24. Nikonov, A.Y.; Akimov, K.O.; Skorentsev, A.L.; Rusin, N.M.; (ISPMS SB RAS, Tomsk, Russia). Private communication, 2024.
  25. Akimov, K.O.; Skorentsev, A.L.; Rusin, N.M.; Likharev, V.E.; Nikonov, A.Y.; Dmitriev, A.I. Optimization of powder mixing parameters for the Al–Sn–Pb system for use in selective laser melting. Powder Metall. Funct. Coat. 2025, 19, 15–23. [Google Scholar]
  26. National Institutes of Health (NIH). ImageJ: Image Processing and Analysis in Java. Available online: https://imagej.net/ij/ (accessed on 19 January 2026).
  27. Williamson, G.K.; Smallman, R.E. Dislocation densities in some annealed and cold-worked metals from measurements on the X-ray debye-scherrer spectrum. Philos. Mag. 1955, 1, 34–46. [Google Scholar] [CrossRef]
  28. Muñoz, J.A.; Barriobero-Vila, P.; Stark, A.; Schell, N.; Zhu, Y.; Cabrera, J.M. Softening kinetics and mechanism during the annealing of an Al-Si alloy produced by laser powder bed fusion. J. Alloys Compd. 2025, 1005, 176141. [Google Scholar] [CrossRef]
  29. Rusin, N.M.; Skorentsev, A.L.; Likharev, V.E. Structure and tribomechanical properties of sintered Al–Sn–Pb composites. Russ. Phys. J. 2024, 67, 2288–2296. [Google Scholar] [CrossRef]
  30. Scarlett, N.V.Y.; Madsen, I.C. Effect of microabsorption on the determination of amorphous content via powder X-ray diffraction. Powder Diffr. 2018, 33, 26–37. [Google Scholar] [CrossRef]
Figure 1. SEM image of Al+10 vol.% Sn+ 10 vol.% Pb powder mixture (a) and corresponding Al (b), Sn (c), Pb (d) EDX maps.
Figure 1. SEM image of Al+10 vol.% Sn+ 10 vol.% Pb powder mixture (a) and corresponding Al (b), Sn (c), Pb (d) EDX maps.
Jmmp 10 00077 g001
Figure 2. Image of the powder mixture compact (a) with the corresponding EDX spectrum (b) and the value of the volume content of Al and soft phase (Sn + Pb) calculated using threshold processing in the ImageJ software.
Figure 2. Image of the powder mixture compact (a) with the corresponding EDX spectrum (b) and the value of the volume content of Al and soft phase (Sn + Pb) calculated using threshold processing in the ImageJ software.
Jmmp 10 00077 g002
Figure 3. SEM image of the AlSn10Pb10 alloy structure before (a) and after (b) the processing procedure in ImageJ.
Figure 3. SEM image of the AlSn10Pb10 alloy structure before (a) and after (b) the processing procedure in ImageJ.
Jmmp 10 00077 g003
Figure 4. Compression curves (σ–ε) (a), values of ultimate strength (σU) and strain at peak stress (εp) (b) of the AlSn10Pb10 alloy samples obtained by the LPBF method at different annealing temperatures.
Figure 4. Compression curves (σ–ε) (a), values of ultimate strength (σU) and strain at peak stress (εp) (b) of the AlSn10Pb10 alloy samples obtained by the LPBF method at different annealing temperatures.
Jmmp 10 00077 g004
Figure 5. SEM images of the structure of AlSn10Pb10 samples before (a) and after annealing at different temperatures ((b) 200; (c) 300; (d) 400; (e) 500 °C), as well as an SEM image of the AlSn10Pb10 sample structure after annealing at 400 °C with a highlighted area of pure aluminum (f) and the corresponding EDX spectrum (g).
Figure 5. SEM images of the structure of AlSn10Pb10 samples before (a) and after annealing at different temperatures ((b) 200; (c) 300; (d) 400; (e) 500 °C), as well as an SEM image of the AlSn10Pb10 sample structure after annealing at 400 °C with a highlighted area of pure aluminum (f) and the corresponding EDX spectrum (g).
Jmmp 10 00077 g005aJmmp 10 00077 g005b
Figure 6. SE and BSE SEM images of the fracture surface of the AlSn10Pb10 alloy samples annealed at temperatures (°C): as-built (a), 200 (b), 300 (c), 400 (d), and 500 (e).
Figure 6. SE and BSE SEM images of the fracture surface of the AlSn10Pb10 alloy samples annealed at temperatures (°C): as-built (a), 200 (b), 300 (c), 400 (d), and 500 (e).
Jmmp 10 00077 g006aJmmp 10 00077 g006b
Figure 7. X-ray diffractograms of the AlSn10Pb10 alloy samples obtained by the LPBF method before and after annealing.
Figure 7. X-ray diffractograms of the AlSn10Pb10 alloy samples obtained by the LPBF method before and after annealing.
Jmmp 10 00077 g007
Figure 8. Structural characteristics of the AlSn10Pb10 alloy before and after annealing at different temperatures.
Figure 8. Structural characteristics of the AlSn10Pb10 alloy before and after annealing at different temperatures.
Jmmp 10 00077 g008
Figure 9. Volume content of Al, Sn, Pb in the AlSn10Pb10 alloy samples before and after annealing at different temperatures, as well as the relative change in sample mass after annealing.
Figure 9. Volume content of Al, Sn, Pb in the AlSn10Pb10 alloy samples before and after annealing at different temperatures, as well as the relative change in sample mass after annealing.
Jmmp 10 00077 g009
Figure 10. Dependencies of the equivalent diameter (Deq) of soft phase particles (Sn, Pb) (a) and the content of pure Al areas in the AlSn10Pb10 structure (b) on the annealing temperature.
Figure 10. Dependencies of the equivalent diameter (Deq) of soft phase particles (Sn, Pb) (a) and the content of pure Al areas in the AlSn10Pb10 structure (b) on the annealing temperature.
Jmmp 10 00077 g010
Disclaimer/Publisher’s Note: The statements, opinions and data contained in all publications are solely those of the individual author(s) and contributor(s) and not of MDPI and/or the editor(s). MDPI and/or the editor(s) disclaim responsibility for any injury to people or property resulting from any ideas, methods, instructions or products referred to in the content.

Share and Cite

MDPI and ACS Style

Akimov, K.O.; Skorentsev, A.L.; Rusin, N.M.; Likharev, V.E.; Il’yashchenko, D.P.; Dmitriev, A.I. Effect of Post-Build Annealing on the Microstructure and Mechanical Properties of LPBF-Processed AlSn10Pb10 Alloy. J. Manuf. Mater. Process. 2026, 10, 77. https://doi.org/10.3390/jmmp10030077

AMA Style

Akimov KO, Skorentsev AL, Rusin NM, Likharev VE, Il’yashchenko DP, Dmitriev AI. Effect of Post-Build Annealing on the Microstructure and Mechanical Properties of LPBF-Processed AlSn10Pb10 Alloy. Journal of Manufacturing and Materials Processing. 2026; 10(3):77. https://doi.org/10.3390/jmmp10030077

Chicago/Turabian Style

Akimov, Kirill O., Alexander L. Skorentsev, Nikolay M. Rusin, Vadim E. Likharev, Dmitry P. Il’yashchenko, and Andrey I. Dmitriev. 2026. "Effect of Post-Build Annealing on the Microstructure and Mechanical Properties of LPBF-Processed AlSn10Pb10 Alloy" Journal of Manufacturing and Materials Processing 10, no. 3: 77. https://doi.org/10.3390/jmmp10030077

APA Style

Akimov, K. O., Skorentsev, A. L., Rusin, N. M., Likharev, V. E., Il’yashchenko, D. P., & Dmitriev, A. I. (2026). Effect of Post-Build Annealing on the Microstructure and Mechanical Properties of LPBF-Processed AlSn10Pb10 Alloy. Journal of Manufacturing and Materials Processing, 10(3), 77. https://doi.org/10.3390/jmmp10030077

Article Metrics

Back to TopTop