Mechanical Characterization and Numerical Modeling of 316 Stainless Steel Specimens Fabricated Using SLM
Abstract
1. Introduction
2. Manufacturing Process
2.1. Sample Design
2.2. Parameters of the SLM Manufacturing Process
2.3. Chemical Analysis
2.4. Porosity
3. Mechanical Characterization
3.1. Experimental Work
3.2. Numerical Modeling
4. Results and Discussion
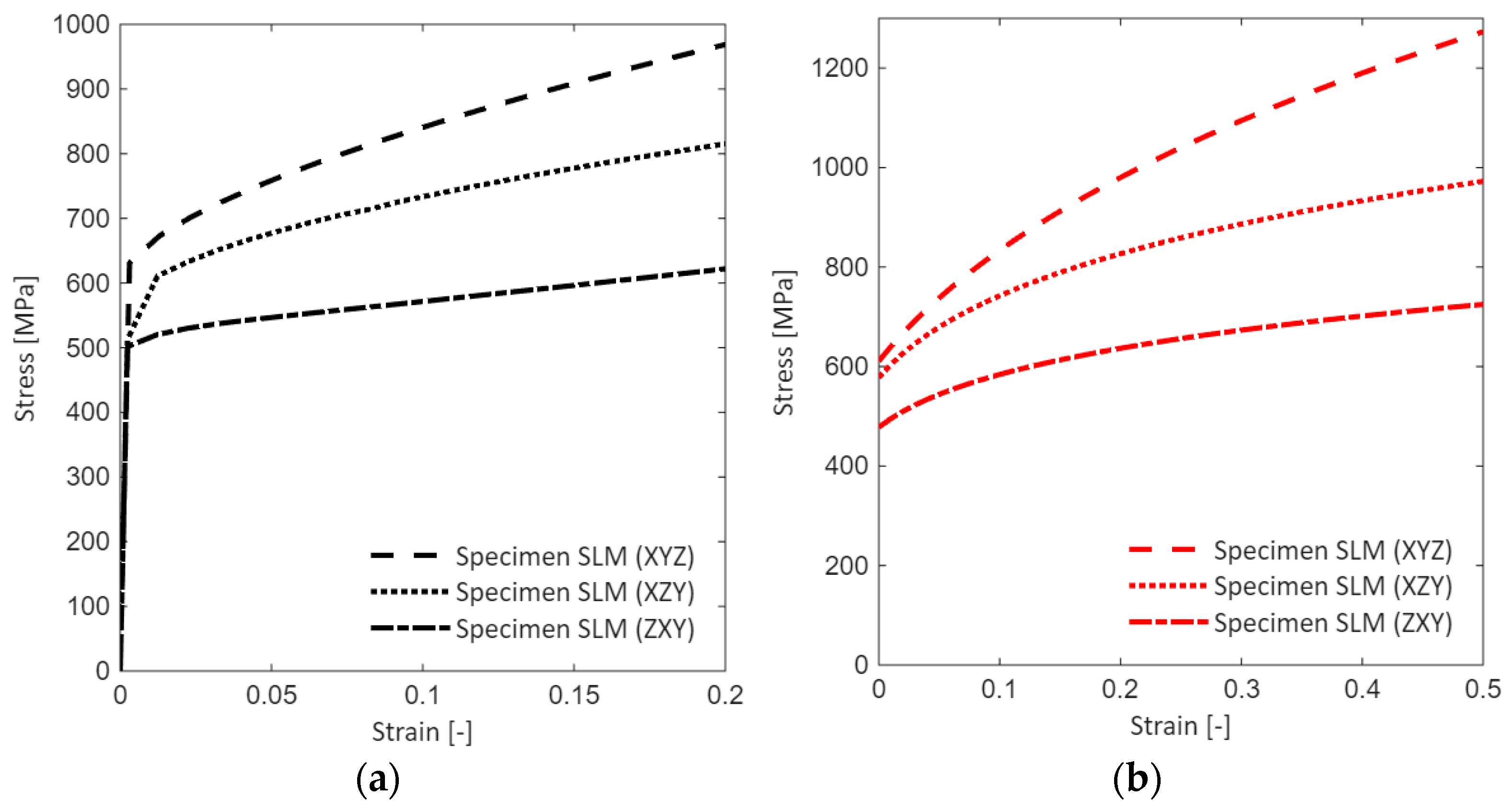
4.1. Force–Displacement Results
4.2. Modeling Failure
4.3. Phase Constitution
4.4. Morphology
4.5. Fracture Analysis
5. Conclusions
- Definition of the geometrical shapes of the samples based on the triaxiality parameter;
- Presentation of the manufacturing process;
- Analysis of the powder using SEM images and PSD;
- Chemical analysis;
- Porosity evaluation;
- Mechanical characterization by tensile tests;
- DIC analysis and correction algorithm for test data;
- Implementation of a Swift model for material definition;
- Numerical modeling;
- Implementation of a damage model based on triaxiality state;
- Validation of the numerical models;
- XRD analysis;
- SEM morphology;
- Discussion of the mechanical response of samples based on SEM morphology;
- Identification of a texture for the XZY sample followed by a discussion of the mechanical response;
- Fracture analysis correlated with optical microscopy and SEM images.
Author Contributions
Funding
Data Availability Statement
Conflicts of Interest
References
- Sithole, C.; Salaheldin, E.; Athena, A.; Sipke, J.; Ian, H. Are Density Cubes Sufficient to Measure Process Performance and Quality of Geometrically Complex Parts in Laser Powder Bed Fusion? Int. J. Adv. Manuf. Technol. 2025, 139, 4211–4231. [Google Scholar] [CrossRef]
- Zhang, B.; Li, Y.; Bai, Q. Defect Formation Mechanisms in Selective Laser Melting. Chin. J. Mech. Eng. 2017, 30, 515–527. [Google Scholar] [CrossRef]
- Roehling, J.D.; Khairallah, S.A.; Shen, Y.; Bayramian, A.; Boley, C.D.; Rubenchik, A.M.; Demuth, J.; Duanmu, N.; Matthews, M.J. Physics of Large-Area Pulsed Laser Powder Bed Fusion. Addit. Manuf. 2021, 46, 102186. [Google Scholar] [CrossRef]
- Armstrong, M.; Mehrabi, H.; Naveed, N. An Overview of Modern Metal Additive Manufacturing Technology. J. Manuf. Process. 2022, 84, 1001–1029. [Google Scholar] [CrossRef]
- Frazier, W.E. Metal Additive Manufacturing: A Review. J. Mater. Eng. Perform. 2014, 23, 1917–1928. [Google Scholar] [CrossRef]
- Kok, Y.; Tan, X.P.; Wang, P.; Nai, M.L.S.; Loh, N.H.; Liu, E.; Tor, S.B. Anisotropy and Heterogeneity of Microstructure and Mechanical Properties in Metal Additive Manufacturing: A Critical Review. Mater. Des. 2018, 139, 565–586. [Google Scholar] [CrossRef]
- Grech, I.S.; Sullivan, J.H.; Lancaster, R.J.; Plummer, J.; Lavery, N.P. The Optimisation of Hot Isostatic Pressing Treatments for Enhanced Mechanical and Corrosion Performance of Stainless Steel 316L Produced by Laser Powder Bed Fusion. Addit. Manuf. 2022, 58, 103072. [Google Scholar] [CrossRef]
- Geľatko, M.; Vandžura, R.; Botko, F.; Hatala, M. Electron Beam Welding of Dissimilar Stainless Steel and Maraging Steel Joints. Materials 2024, 17, 5769. [Google Scholar] [CrossRef]
- Santamaria, R.; Salasi, M.; Rickard, W.D.A.; Pojtanabuntoeng, K.; Leadbeater, G.; Iannuzzi, M.; Reddy, S.M.; Quadir, M.Z. Crystallographic Texture and Substructural Phenomena in 316 Stainless Steel Printed by Selective Laser Melting. Materials 2023, 16, 4289. [Google Scholar] [CrossRef]
- Cegan, T.; Pagac, M.; Jurica, J.; Skotnicova, K.; Hajnys, J.; Horsak, L.; Soucek, K.; Krpec, P. Effect of Hot Isostatic Pressing on Porosity and Mechanical Properties of 316 l Stainless Steel Prepared by the Selective Laser Melting Method. Materials 2020, 13, 4377. [Google Scholar] [CrossRef]
- Ara, I.; Eshkabilov, S.; Azarmi, F.; Sevostianov, I.; Tangpong, X.W. Investigation on Elastic Properties and Unconventional Plasticity of 316L Stainless Steel Processed by Selective Laser Melting Technology. Prog. Addit. Manuf. 2022, 7, 1169–1181. [Google Scholar] [CrossRef]
- Larimian, T.; Grzesiak, D.; Al-mangour, B. Effect of Energy Density and Scanning Strategy on Densification, Microstructure and Mechanical Properties of 316L Stainless Steel Processed via Selective Laser Melting. Mater. Sci. Eng. A 2019, 770, 138455. [Google Scholar] [CrossRef]
- Yan, X.; Pang, J.; Jing, Y. Ultrasonic Measurement of Stress in SLM 316L Stainless Steel Forming Parts Manufactured Using Different Scanning Strategies. Materials 2019, 12, 2719. [Google Scholar] [CrossRef] [PubMed]
- Hu, Z.; Yan, W.; Tsui, K.-H.; Fu, B.; Kuang, Y. A Comprehensive Experimental Study on the Elastic Anisotropy of Selective Laser Melting Manufactured 316 L Stainless Steel. Mater. Today Commun. 2025, 49, 113977. [Google Scholar] [CrossRef]
- Lamb, K.; Koube, K.; Kacher, J.; Sloop, T.; Thadhani, N.; Babu, S.S. Anisotropic Spall Failure of Additively Manufactured 316L Stainless Steel. Addit. Manuf. 2023, 66, 103464. [Google Scholar] [CrossRef]
- Liu, X.; Zhou, X.; Xu, B.; Ma, J.; Zhao, C.; Shen, Z.; Liu, W. Morphological Development of Sub-Grain Cellular/Bands Microstructures in Selective Laser Melting. Materials 2019, 12, 1204. [Google Scholar] [CrossRef]
- Güden, M.; Enser, S.; Bayhan, M.; Tas, A.; Yavas, H. Materials Science & Engineering A The Strain Rate Sensitive Flow Stresses and Constitutive Equations of a Selective-Laser-Melt and an Annealed-Rolled 316L Stainless Steel: A Comparative Study. Mater. Sci. Eng. A 2022, 838, 142743. [Google Scholar] [CrossRef]
- Laurence, R.C.; Emad, D.C.; Guilherme, M.; Faria, A.; Staron, P.; Schell, N.; Ramadhan, R.S.; Cabeza, S.; Paecklar, A.; Pirling, T.; et al. Determination of Residual Stress in Additively Manufactured 316L Stainless Steel Benchmark Parts Through Synchrotron X-Ray Diffraction and Neutron Diffraction. Strain 2025, 61, e70005. [Google Scholar] [CrossRef]
- Enser, S.; Güden, M.; Taşdemirci, A.; Davut, K. The Strain Rate History Effect in a Selective-Laser-Melt 316L Stainless Steel. Mater. Sci. Eng. A 2023, 862, 144439. [Google Scholar] [CrossRef]
- Li, Z.; Yang, Z.; Liu, B.; Yang, S.; Kuai, Z.; Li, J.; Li, H.; Chen, Y.; Wu, H.; Bai, P. Microstructure and Mechanical Properties of CNC-SLM Hybrid Manufacturing 316L Parts. J. Manuf. Process. 2022, 79, 432–441. [Google Scholar] [CrossRef]
- Yang, D.; Zhao, Y.; Kan, X.; Chu, X.; Sun, H.; Zhao, Z.; Sun, J.; Wang, H. Twinning Behavior in Deformation of SLM 316L Stainless Steel. Mater. Res. Express 2022, 9, 096502. [Google Scholar] [CrossRef]
- Aziz, U.; McAfee, M.; Manolakis, I.; Timmons, N.; Tormey, D. A Review of Optimization of Additively Manufactured 316/316L Stainless Steel Process Parameters, Post-Processing Strategies, and Defect Mitigation. Materials 2025, 18, 2870. [Google Scholar] [CrossRef]
- Wang, Z.; Jiang, B.; Wu, S.; Liu, W. International Journal of Mechanical Sciences Anisotropic Tension-Compression Asymmetry in SLM 316L Stainless Steel. Int. J. Mech. Sci. 2023, 246, 108139. [Google Scholar] [CrossRef]
- Akbarzadeh, E.; Yazdani, S.; Reza, M. Materials & Design In Situ Dissolution–Reprecipitation of TiC in SLM-Fabricated Functionally Graded 316L/TiC Composites: Microstructural Evidence and Strengthening Mechanisms. Mater. Des. 2025, 260, 115009. [Google Scholar] [CrossRef]
- Li, X.; Roth, C.C.; Tancogne-dejean, T.; Mohr, D. Rate- and Temperature-Dependent Plasticity of Additively Manufactured Stainless Steel 316L: Characterization, Modeling and Application to Crushing of Shell-Lattices. Int. J. Impact Eng. 2020, 145, 103671. [Google Scholar] [CrossRef]
- Wang, J.; Demartino, C.; Sberna, A.P.; Jiang, L.; Usmani, A. Enhanced Compressive Performance and Energy Absorption in SLM-Fabricated 316L Arrowhead Auxetics via Tendon and Stuffer Geometry Modification. Compos. Struct. 2025, 374, 119710. [Google Scholar] [CrossRef]
- Maamoun, A.H.; Xue, Y.F.; Elbestawi, M.A.; Veldhuis, S.C. The Effect of Selective Laser Melting Process Parameters on the Microstructure and Mechanical Properties of Al6061 and AlSi10Mg Alloys. Materials 2018, 12, 12. [Google Scholar] [CrossRef]
- Moussaoui, K.; Rubio, W.; Mousseigne, M.; Sultan, T.; Rezai, F. Effects of Selective Laser Melting Additive Manufacturing Parameters of Inconel 718 on Porosity, Microstructure and Mechanical Properties. Mater. Sci. Eng. A 2018, 735, 182–190. [Google Scholar] [CrossRef]
- Ni, C.; Zhu, L.; Zheng, Z.; Zhang, J.; Yang, Y.; Yang, J.; Bai, Y.; Weng, C.; Lu, W.F.; Wang, H. Effect of Material Anisotropy on Ultra-Precision Machining of Ti-6Al-4V Alloy Fabricated by Selective Laser Melting. J. Alloy Compd. 2020, 848, 156457. [Google Scholar] [CrossRef]
- Tolosa, I.; Garciandía, F.; Zubiri, F.; Zapirain, F.; Esnaola, A. Study of Mechanical Properties of AISI 316 Stainless Steel Processed by “Selective Laser Melting”, Following Different Manufacturing Strategies. Int. J. Adv. Manuf. Technol. 2010, 51, 639–647. [Google Scholar] [CrossRef]
- Maconachie, T.; Leary, M.; Lozanovski, B.; Zhang, X.; Qian, M.; Faruque, O.; Brandt, M. SLM Lattice Structures: Properties, Performance, Applications and Challenges. Mater. Des. 2019, 183, 108137. [Google Scholar] [CrossRef]
- Li, W.; Jing, Y. A Simple Calibrated Ductile Fracture Model and Its Application in Failure Analysis of Steel Connections. Buildings 2022, 12, 1358. [Google Scholar] [CrossRef]
- Wang, Y.Z.; Li, G.Q.; Wang, Y.B.; Lyu, Y.F.; Li, H. Ductile Fracture of High Strength Steel under Multi-Axial Loading. Eng. Struct. 2020, 210, 110401. [Google Scholar] [CrossRef]
- Wierzbicki, T.; Bao, Y.; Lee, Y.W.; Bai, Y. Calibration and Evaluation of Seven Fracture Models. Int. J. Mech. Sci. 2005, 47, 719–743. [Google Scholar] [CrossRef]
- Algarni, M. Notch Factor Correction Using Stress Triaxiality of Plane-Stress State in High-Cycle Fatigue. Int. J. Fatigue 2019, 128, 105204. [Google Scholar] [CrossRef]
- Yu, F.; Jar, P.Y.B.; Hendry, M. Fracture Behaviour at the Sharp Notch Tip of High Strength Rail Steels–Influence of Stress Triaxiality. Eng. Fract. Mech. 2017, 178, 184–200. [Google Scholar] [CrossRef]
- Mohammadhassan, T.; Gélinas, S.; Blais, C. An Investigation into the Recyclability of 316L Stainless Steel Gas-Atomized Powder Used in Laser Powder Bed Fusion Additive Manufacturing. J. Sustain. Metall. 2025, 11, 1704–1721. [Google Scholar] [CrossRef]
- ASTM 52921-13; Standard Terminology for Additive Manufacturing-Coordinate Systems and Test Methodologies. ASTM International: West Conshohocken, PA, USA, 2013.
- Rabbani, A.; Salehi, S. Dynamic Modeling of the Formation Damage and Mud Cake Deposition Using Filtration Theories Coupled with SEM Image Processing. J. Nat. Gas Sci. Eng. 2017, 42, 157–168. [Google Scholar] [CrossRef]
- ASTM E8/E82-09; Test Methods for Tension Testing of Metallic Materials. ASTM International: West Conshohocken, PA, USA, 2009.
- ASTM F3122-14; Guide for Evaluating Mechanical Properties of Metal Materials Made via Additive Manufacturing Processes. ASTM International: West Conshohocken, PA, USA, 2014.
- Kang, L.; Zhang, C.; Bradford, M.A.; Liu, X. Full-Range Stress–Strain Relationship and Fracture Model for Laser Cladding Additively Manufactured 316L Stainless Steel Sheets. Eng. Struct. 2023, 297, 116997. [Google Scholar] [CrossRef]
- Charmi, A.; Falkenberg, R.; Ávila, L.; Mohr, G.; Sommer, K.; Ulbricht, A.; Sprengel, M.; Saliwan Neumann, R.; Skrotzki, B.; Evans, A. Mechanical Anisotropy of Additively Manufactured Stainless Steel 316L: An Experimental and Numerical Study. Mater. Sci. Eng. A 2021, 799, 140154. [Google Scholar] [CrossRef]
- Ronneberg, T.; Davies, C.M.; Hooper, P.A. Revealing Relationships between Porosity, Microstructure and Mechanical Properties of Laser Powder Bed Fusion 316L Stainless Steel through Heat Treatment. Mater. Des. 2020, 189, 108481. [Google Scholar] [CrossRef]
- Dixit, S.; Liu, S.; Murdoch, H.A.; Smith, P.M. Investigating Build Orientation-Induced Mechanical Anisotropy in Additive Manufacturing 316L Stainless Steel. Mater. Sci. Eng. A 2023, 880, 145308. [Google Scholar] [CrossRef]
- Zeng, F.; Yang, Y.; Qian, G. Fatigue Properties and S-N Curve Estimating of 316L Stainless Steel Prepared by SLM. Int. J. Fatigue 2022, 162, 106946. [Google Scholar] [CrossRef]
- Zhang, Q.; Peng, J.; Li, M.; Miao, X.; Liu, X.; Zhu, X.; Lu, D. Anisotropy of Mechanical Property and Fracture Mechanism for SLM 316L Stainless Steel under Quasi-Uniaxial and Biaxial Tensile Loadings. Mater. Sci. Eng. A 2025, 926, 147960. [Google Scholar] [CrossRef]
- Weaver, J.S.; Rosenthal, I. Understanding Anisotropic Tensile Properties of Laser Powder Bed Fusion Additive Metals; National Institute of Standards and Technology: Gaithersburg, MD, USA, 2021. [CrossRef]
- Hallquist, J.O. LS-DYNA ® Theory Manual. Livermore Softw. Technol. Corp. 2006, 3, 25–31. [Google Scholar]
- Tabacu, S.; Ducu, C. Numerical Investigations of 3D Printed Structures under Compressive Loads Using Damage and Fracture Criterion: Experiments, Parameter Identification, and Validation. Extreme. Mech. Lett. 2020, 39, 100775. [Google Scholar] [CrossRef]
- Xu, W.; Wang, C.; Long, Y.; Li, C.; Li, G.; Ding, S. The Influence of Deformation Affected Region on Microstructure and Mechanical Property of 316L Fabricated by Hybrid Additive-Subtractive Manufacturing. J. Manuf. Process. 2024, 117, 154–169. [Google Scholar] [CrossRef]
- Liverani, E.; Toschi, S.; Ceschini, L.; Fortunato, A. Effect of Selective Laser Melting (SLM) Process Parameters on Microstructure and Mechanical Properties of 316L Austenitic Stainless Steel. J. Mater. Process. Technol. 2017, 249, 255–263. [Google Scholar] [CrossRef]
- Saeidi, K.; Gao, X.; Zhong, Y.; Shen, Z.J. Hardened Austenite Steel with Columnar Sub-Grain Structure Formed by Laser Melting. Mater. Sci. Eng. A 2015, 625, 221–229. [Google Scholar] [CrossRef]
- Nakano, T. Control of Crystallographic Textures by Metal Additive Manufacturing-A Review. IOP Conf. Ser. Mater. Sci. Eng. 2024, 1310, 012013. [Google Scholar] [CrossRef]
- Chaithanya Kumar, K.N.; Sharma, S.; Radhakrishnan, M.; Randhavan, R.; Verma, K.K.; Dowden, S.; Hughes, Z.W.; Banerjee, R.; Dahotre, N.B. Electron Beam Additive Manufacturing of SS316L with a Stochastic Scan Strategy: Microstructure, Texture Evolution, and Mechanical Properties. Metals 2024, 14, 1278. [Google Scholar] [CrossRef]
- Ma, Y.; Naeem, M.; Zhu, L.; He, H.; Sun, X.; Yang, Z.; He, F.; Harjo, S.; Kawasaki, T.; Wang, X.L. Microscopic Insights of the Extraordinary Work-Hardening Due to Phase Transformation. Acta Mater. 2024, 270, 119822. [Google Scholar] [CrossRef]
- Wang, C.; Wang, L.; Lin, X.; Liu, G.; Su, J.; Huang, W. Effect of the Cellular Structure on Austenite Distribution and Cryogenic Mechanical Properties of Maraging Stainless Steel Processed by Laser Powder Bed Fusion. Mater. Sci. Eng. A 2025, 947, 149243. [Google Scholar] [CrossRef]
- Hassanin, H.; El-Sayed, M.A.; Ahmadein, M.; Alsaleh, N.A.; Ataya, S.; Ahmed, M.M.Z.; Essa, K. Optimising Surface Roughness and Density in Titanium Fabrication via Laser Powder Bed Fusion. Micromachines 2023, 14, 1642. [Google Scholar] [CrossRef]
- Shifeng, W.; Shuai, L.; Qingsong, W.; Yan, C.; Sheng, Z.; Yusheng, S. Effect of Molten Pool Boundaries on the Mechanical Properties of Selective Laser Melting Parts. J. Mater. Process. Technol. 2014, 214, 2660–2667. [Google Scholar] [CrossRef]
- Rosenthal, I.; Stern, A.; Frage, N. Strain Rate Sensitivity and Fracture Mechanism of AlSi10Mg Parts Produced by Selective Laser Melting. Mater. Sci. Eng. A 2017, 682, 509–517. [Google Scholar] [CrossRef]
- Cao, T.S.; Mazière, M.; Danas, K.; Besson, J. A Model for Ductile Damage Prediction at Low Stress Triaxialities Incorporating Void Shape Change and Void Rotation. Int. J. Solids Struct. 2015, 63, 240–263. [Google Scholar] [CrossRef]




























| Category | Parameter | Value | Units |
|---|---|---|---|
| General | Layer thickness | 20 | |
| Laser beam diameter | 55 | ||
| Scan Pattern | Scanning strategy | Chess, Zig-Zag | |
| Hatch distance | 0.080 | ||
| Hatch offset | 0.050 | ||
| Laser—Core (Hatching) | Laser power | 113 | |
| Scanning speed | 700 | ||
| Spot diameter | 55 | ||
| Laser—Borders (In Skin/Core) | Laser power | 70 | |
| Scanning speed | 500 | ||
| Number of contours | 1 | - | |
| Overlap/Offset | Border distance | 0.035 | |
| Beam compensation | 0.075 | ||
| Exposure Strategy | Scan order | Out–In | |
| Other Important Settings | Jump path optimization | Enabled | |
| Element | Fe | Cr | Ni | Mo | Mn | Si |
|---|---|---|---|---|---|---|
| Samples | 65.16 | 18.71 | 12.45 | 2.19 | 0.86 | 0.63 |
| AISI 316 | >63 | 16.5–18.5 | 10–12.5 | 2–2.5 | <2 | <1 |
| Sample | Yield Stress (True) | Maximum Stress (True) | Strain at Maximum Stress |
|---|---|---|---|
| 316 rolled | |||
| XYZ [43,44,45] | |||
| XZY | |||
| ZXY [43,44,45] |
| Sample | Yield Strain | Hardening Parameter | Hardening Exponent |
|---|---|---|---|
| XYZ | 0.07 | 1550 | 0.35 |
| XZY | 0.04 | 1100 | 0.20 |
| ZXY | 0.04 | 800 | 0.16 |
| Sample | |||
|---|---|---|---|
| Global | Minimum | Maximum | |
| XYZ | −0.55 | 0 | 3.67 |
| XZY | −1.61 | 0 | 14.05 |
| ZXY | −1.33 | 0 | 4.10 |
| Sample | Parameter | |||
|---|---|---|---|---|
| XYZ | 1.0 | 1.50 | 0.10 | 0.50 |
| XZY | 1.0 | 1.50 | 0.10 | 0.15 |
Disclaimer/Publisher’s Note: The statements, opinions and data contained in all publications are solely those of the individual author(s) and contributor(s) and not of MDPI and/or the editor(s). MDPI and/or the editor(s) disclaim responsibility for any injury to people or property resulting from any ideas, methods, instructions or products referred to in the content. |
© 2026 by the authors. Licensee MDPI, Basel, Switzerland. This article is an open access article distributed under the terms and conditions of the Creative Commons Attribution (CC BY) license.
Share and Cite
Badea, A.-G.; Tabacu, S.; Aparaschivei, A.-I.; Negrea, D.; Moga, S.; Ducu, C. Mechanical Characterization and Numerical Modeling of 316 Stainless Steel Specimens Fabricated Using SLM. J. Manuf. Mater. Process. 2026, 10, 29. https://doi.org/10.3390/jmmp10010029
Badea A-G, Tabacu S, Aparaschivei A-I, Negrea D, Moga S, Ducu C. Mechanical Characterization and Numerical Modeling of 316 Stainless Steel Specimens Fabricated Using SLM. Journal of Manufacturing and Materials Processing. 2026; 10(1):29. https://doi.org/10.3390/jmmp10010029
Chicago/Turabian StyleBadea, Ana-Gabriela, Stefan Tabacu, Alina-Ionela Aparaschivei, Denis Negrea, Sorin Moga, and Catalin Ducu. 2026. "Mechanical Characterization and Numerical Modeling of 316 Stainless Steel Specimens Fabricated Using SLM" Journal of Manufacturing and Materials Processing 10, no. 1: 29. https://doi.org/10.3390/jmmp10010029
APA StyleBadea, A.-G., Tabacu, S., Aparaschivei, A.-I., Negrea, D., Moga, S., & Ducu, C. (2026). Mechanical Characterization and Numerical Modeling of 316 Stainless Steel Specimens Fabricated Using SLM. Journal of Manufacturing and Materials Processing, 10(1), 29. https://doi.org/10.3390/jmmp10010029

