Next Article in Journal
Multi-Target Tracking with Multiple Unmanned Aerial Vehicles Based on Information Fusion
Previous Article in Journal
Urban Air Mobility Communications and Networking: Recent Advances, Techniques, and Challenges
 
 
Font Type:
Arial Georgia Verdana
Font Size:
Aa Aa Aa
Line Spacing:
Column Width:
Background:
Article

Pitch-Regulated Control Strategy for Coaxial Drone with Variable Rotor Space Ratio

1
School of Mechanical Engineering, Beijing Institute of Technology, Beijing 100081, China
2
Institute of Advanced Technology, Beijing Institute of Technology, Jinan 250300, China
3
Beijing Institute of Control Engineering, Beijing 100094, China
4
Chongqing Innovation Center, Beijing Institute of Technology, Chongqing 401122, China
*
Authors to whom correspondence should be addressed.
Drones 2024, 8(12), 703; https://doi.org/10.3390/drones8120703
Submission received: 8 October 2024 / Revised: 16 November 2024 / Accepted: 19 November 2024 / Published: 25 November 2024

Abstract

This study investigates the impact of rotor spacing on the aerodynamic performance of a coaxialcopter and promotes an innovative regulated control strategy for the coaxial drone. The present research introduces a coaxialcopter with variable rotor spacing, and employing finite element numerical simulations, we assess the aerodynamic behavior of this novel configuration. Through comprehensive measurements and analysis of its aerodynamic performance across varying rotor spacings from 0.1 R to 1 R, we validate the effectiveness of a rotor-spacing control strategy for enhancing takeoff maneuvers. The numerical simulation and experiment results reveal that the performance characteristics of both the upper and lower rotors converge toward that of a single rotor as the space ratio increases, along with a reduction in their thrust fluctuations and aerodynamic performance periodicity. Considering stable power consumption patterns and endurance performance, we analyzed the interrelations binding the pitch distance of the rotors, rotational speed, and pitch angle, vis à vis the thrust coefficient and power coefficient. Through the parameter optimization method, we demonstrate that adjusting rotor spacing offers a practical means to enhance payload capacity without increasing the power input, thereby improving efficiency, which validates the practicality and efficacy of the parameter optimization approach. Furthermore, optimizing rotor spacing for specific operational scenarios enhances overall aerodynamic performance, suggesting a viable flight control strategy for takeoff and landing conditions for coaxial drones.

1. Introduction

Coaxial twin rotors, characterized by their overlapping axes, opposite steering, and specific spacing, have garnered significant attention due to their inherent advantages, including a compact structure, self-balancing torque, and exceptional handling performance [1,2]. This configuration offers improved thrust efficiency while mitigating power loss attributed to tail rotor interference, making it a favored choice for various applications. However, the close proximity between coaxial rotors introduces complex aerodynamic interactions, leading to asymmetrical interferences that complicate flow field dynamics [3,4].
Extensive research has been conducted to analyze the aerodynamic attributes of coaxial twin-rotor systems, particularly concerning the rotor spacing’s impact on performance. Previous studies have employed computational fluid dynamics (CFDs) calculations to investigate micro coaxial twin rotors, highlighting the significance of rotor spacing and speed on aerodynamic interference and wake boundaries [5,6,7]. Additionally, researchers have employed methodologies such as the Sliding Grid method to assess aerodynamic performance under varying rotor spacing conditions [8,9,10,11]. Similarly, aerodynamic models based on the free-wake method have been established to study the influence of rotor geometric parameters on the hovering performance of coaxial twin rotors [12,13,14,15,16,17]. Research on coaxial rigid rotors has gradually begun in China, mainly focusing on basic research on aerodynamic characteristics, flight control strategies, and other aspects of coaxial rigid rotors [18,19,20,21,22]. There has been little specialized research on the issue of rotor spacing of coaxial rigid rotors.
Moreover, the effect of rotor spacing on coaxial twin-rotor aerodynamics has been studied in-depth. Investigations reveal that as the space ratio (Kd) increases, the thrust of both upper and lower rotors tends to converge towards that of a single rotor, with a persistent 20% difference observed in the lower rotor’s thrust. However, the overall aerodynamic interference between the upper and lower rotors diminishes as Kd increases, leading to a reduction in the thrust fluctuation amplitude. These insights underscore the need for optimizing rotor spacing to achieve improved aerodynamic performance.
Furthermore, the significance of rotor spacing extends to the realm of aerodynamic control strategies. The study showcases a Variable Speed Semi Differential Control Mechanism that integrates speed and pitch adjustments to enhance the overall control effectiveness. This aligns with broader research efforts focusing on optimizing control parameters, including pitch angles and speed, to attain maximum efficiency and maneuverability [23,24,25,26].
Similar rotor spacing layout studies have been conducted on the aerodynamic performance of multi-rotor aircraft. Scholars have analyzed the effect of different rotor spacings on the lift of a quadcopter using a multi-layer volume grid equivalent model [27,28,29]. In addition, the aerodynamic interference of quadrotor aircraft in vertical and forward flight states has been analyzed and calculated through numerical simulation methods [30,31,32,33,34], providing a theoretical basis for the overall aerodynamic layout design of quadrotor aircraft [35,36]. The interaction between the rotor and the fuselage, as well as between the front and rear rotors, has been studied through wind tunnel tests, obtaining the variation law of the rotor lift coefficient [37,38].
In conclusion, the investigation into coaxial twin-rotor aerodynamics, specifically the impact of rotor spacing on aerodynamic characteristics and control strategies, has yielded valuable insights. The understanding of rotor spacing’s influence on thrust, interference, and control strategies contributes to the development of more efficient and effective coaxial twin-rotor systems. As research continues to evolve, these findings will undoubtedly shape the design, optimization, and operational strategies of future coaxial rotor configurations.
In this study, we build upon previous investigations by delving into the aerodynamic flow field characteristics of coaxial drone rotors across varying pitch settings. Employing a combined control approach involving speed, rotor spacing, and pitch angle, we identify high-performance and efficiency points through parameter optimization for diverse operational scenarios.

2. Dynamic Analysis of Coaxial Drone Rotors

2.1. Dynamic Modeling of Coaxialcopter Rotors

Utilizing two rotors with opposing rotational directions and a radius of 685 mm, both operating at a speed of 1000 r/min, we examine the flow field distribution of coaxial twin rotors during vertical flight, as depicted in Figure 1.
For the purpose of this illustration, lateral flow disturbances and rotor flapping deformations are disregarded. The incoming airflow originates upstream with a velocity of Vc and proceeds downward. Meanwhile, Vc + wu represents the flow velocity of the upper rotor’s wake at the plane where it intersects with the lower rotor.
For the simulation of the coaxial twin-rotor system, the coaxial twin-rotor system is divided into two regions, the stationary region and the rotating region, and the rotating reference frame method is used to solve the domain results. The governing equation of the rotating reference frame method [39] can be expressed as follows:
ρ t + ρ v r = 0
t ρ v + ( ρ v r v ) + ρ [ ω × ( v v t ) ] = p + [ μ ( v + v T 2 / 3 v I ) ] + f b
where v is the absolute velocity, vr is the relative velocity, vt is the velocity of the translation coordinate system, ω is the velocity of the rotation coordinate system, and I is the unit tensor. To analyze the steady-state characteristics, this study employed the incompressible Reynolds-averaged Navier–Stokes (RANS) equations, along with the Shear-Stress Transport (SST) turbulence model. The motion equation of the model is shown in Equations (3) and (4).
( ρ k ) t + ( ρ k u i ) x i = x i μ + μ i σ k k x i + P ~ k β * ρ k ω
( ρ ω ) t + ( ρ ω u ) x i = x i μ + μ t σ ω ω x i + α ρ S 2 β * ρ ω 2 + 2 ( 1 F l ) ρ σ ω 2 1 ω k x i ω x i
In transient simulations, the large eddy simulation (LES) model was utilized. The LES approach provides a more precise representation of turbulence, an improved prediction of flow characteristics, and a deeper understanding of the underlying physics, especially for flows with high Reynolds numbers and wall-bounded flows.
In this analysis, we exclude the influences of air weight and the lower rotor’s flow field, focusing solely on the vertical flight dynamics of the upper rotor. Under these conditions, the fluid distribution can be described as follows:
ρ A 0 V c = ρ A 1 V c + w u T u = ρ A 1 V c + w u 2 ρ A 0 V c 2 P u = p 2 A 1 V c + w u + ρ A 1 V c + w u 3 2 ρ A 0 V c 3 2
In the equation, A0 symbolizes the area at the infinity of the upper rotors, A1 represents the segment of the upper rotor’s wake intercepted by the lower rotor, Tu signifies the thrust produced by the upper rotor, and Pu denotes the induced power of the upper rotor. Likewise, by omitting the influence of air weight and concentrating on the distribution of the rotor’s flow field, we can derive the following results:
ρ A 1 V c + w u + v i l = ρ A 4 V c + w i l ρ A 2 V c + v i l = ρ A 5 V c + w l o T l i = ρ A 4 V c + w i l 2 ρ A V c + v i u 2 T l o = ρ A 5 V c + w l o 2 ρ A 2 V c + v i u V c P l i = ρ A 4 V c + w i l 3 2 ρ A V c + v i u 3 2 p 2 A V c + v i u P l o = ρ A 5 V c + w l o 3 2 ρ A 2 V c + v i u V c 2 2
In the given equation, A4 characterizes the wake area of the lower rotor influenced by the upper rotor, while A5 designates the wake area of the lower rotor unaffected by the upper rotor. Correspondingly, A2 represents the unobstructed inflow area for the lower rotor. Tli denotes the thrust generated by the lower rotor in the region impacted by the upper rotor, whereas Tlo stands for the thrust produced in the zone where the lower rotor remains unaffected by the upper rotor’s presence. Pli accounts for the power consumption of the lower rotor within the area influenced by the upper rotor, and Plo represents the power consumption within the segment where the lower rotor operates independently from the upper rotor.
In essence, this can be summarized as follows:
T l = T l i + T l o P l = P l i + P l o
Likewise, by omitting the influence of air weight and concentrating on the distribution of the rotor’s flow field, we can derive and evaluate the aerodynamic characteristics of the coaxialcopter rotor system with variable rotor spacing.

2.2. Evaluation Indicators for Aerodynamic Characteristics

To comprehensively assess the aerodynamic capabilities of the coaxial twin-rotor system, key parameters were employed to include the thrust coefficient (CT), moment coefficient (CM), and power coefficient (CP); in addition, hover efficiency is related to the payload and hover time of multi-rotor UAVs, which can be reflected by the figure of metric (FM):
C T = T ρ A n 2 R 2 C M = M ρ A n 2 R 3 C P = P ρ A n 3 R 3 F M = C T 3 / 2 2 C P
In the formula, T is the rotor thrust, M is the moment or torque, P is the rotor power, Ω is the rotor speed, R is the rotor radius, ρ is the gas density, and σd is the rotor solidity. Once the configuration of the coaxial twin-rotor system is established, the pursuit of optimized aerodynamic performance typically revolves around elevating the thrust, minimizing power consumption, and enhancing overall aerodynamic efficiency.

3. Aerodynamic Characteristics of Coaxial Twin-Rotor System

The field of rotor aerodynamic performance research commonly employs methods such as the Rotating Frame of Reference and the Sliding Grid technique. Within this study, we adopted the Rotating Frame of Reference method for the steady-state simulation of rotor aerodynamic behavior. Subsequently, building upon the steady-state simulation outcomes, the Sliding Grid method was employed to facilitate transient simulations.
The Rotating Frame of Reference technique entails segmenting the computational domain into three distinct zones: a static domain and two rotational domains. The rotational domain primarily encompasses grids located near the rotor. Meanwhile, the static domain accounts for the remaining area and is characterized by coarser grid sizes, which is a design choice that effectively minimizes computational costs.

3.1. Numerical Calculation Method

Table 1 delineates the selection of initial model parameters, which is a process rooted in the dimensional specifications of the coaxial twin rotors’ configuration.
Subsequently, aerodynamic models are formulated. Notably, the interplay between the upper and lower rotors’ distance (dp) and rotor radius (R) significantly influences rotor aerodynamic performance. Consequently, the space ratio (Kd) is introduced as a defining metric:
K d = d p R
The computational domain assumes comprehensive cylindrical geometry. To preempt any consequential impacts stemming from ground/ceiling/wall effects on the simulation outcomes, a judicious approach is adopted. This entails configuring the diameter of the static domain at ten times the rotor’s diameter whilst enveloping the rotor within the dynamic domain, a depiction of which is showcased in Figure 2; the rotor comes from Intelligence and adopts the clf5605 airfoil [31]. The upper surface functions as the pressure inlet; conversely, the lower surface serves as the pressure outlet. The cylindrical surface interfaces acts as a symmetric boundary, and a deliberate interface is delineated between the dynamic and static domains.
In this study, the computational domain is systematically partitioned into surface grids, and a meticulous approach is undertaken to ensure the quality of the rotor surface meshes. To achieve this, tetrahedral cells are employed for the surface mesh and subsequently integrated into the Fluent mesh via the generation of additional tetrahedral cells. Notably, this augmentation primarily augments the density of the dynamic domain’s mesh. To accurately capture boundary layer dynamics, eight strata of the boundary layers are specifically instituted upon the rotor surface. In total, the mesh encompasses a comprehensive scale of approximately 11 million cells. The modeling methodology encompasses the deployment of both the k-ω and LES models. A critical dimension in this is the maintenance of the y+ value below 11 on the rotor wall, as showcased in Figure 3. This prerequisite is rigorously met through judicious grid refinements, ensuring compliance with stipulated requirements.
A mesh independence study on the propeller was conducted to mitigate the influence of mesh quality and quantity on the prediction accuracy of aerodynamic performance. As shown in Figure 4, the results of the mesh independence study reveal that, with a grid count of 4.8 million, the error in aerodynamic performance is below 1.18% while keeping a reasonable computational time. Hence, this grid size was chosen for subsequent numerical calculations.

3.2. Steady-State Characteristics with Variable Pitch

The influence of the space ratio (Kd) on the rotor system’s aerodynamic performance is effectively illustrated in Figure 5. Figure 5a provides the graphical depiction of the thrust (T) variation curve of the rotor system in relation to the space ratio Kd. Correspondingly, Figure 5b presents the variation curve of the rotor’s torque (M), as influenced by the space ratio Kd.
The investigation reveals a discernible trend in the behavior of the rotor system’s upper rotor thrust Tu concerning the space ratio Kd. Specifically, the upper rotor thrust initially undergoes a decline followed by an increment as the space ratio varies. Notably, a nadir in the upper rotor thrust is identified within the range of 0.1 to 0.3. With a space ratio Kd surpassing 0.6, the upper rotor’s thrust gradually aligns with that of a single rotor.
Conversely, the lower rotor thrust Tl and the cumulative total thrust Ttotal demonstrate an ascent proportional to the augmentation of the space ratio Kd. This trend persists until the space ratio exceeds 0.5, after which the thrust augmentation of the lower rotor becomes less prominent. However, a 20% deviation from the thrust of a singular rotor Tsingle persists and is a divergence attributed to the interaction between the upper and lower rotors. This coupling effect engenders a lower thrust relative to the single-rotor configuration. In scenarios where the distance between the upper and lower rotors dp escalates, the coupling effect between them weakens, precipitating an upsurge in the overall thrust of the rotor system.
Within the interplay of the upper and lower rotor coupling, the upper rotor registers a higher induced velocity, consequently engendering superior thrust. Meanwhile, the lower rotor experiences more pronounced tip loss, culminating in a discernible gap in the thrust relative to a singular rotor configuration.
The dimensionalization of the thrust and torque outputs from the coaxial rotor system facilitates the derivation of the quality factor curve and the average thrust conversion rate. This computation is predicated upon the acquired thrust coefficient and torque coefficient values. Of particular interest is the thrust conversion rate KT, which is a metric that quantifies the ratio between the average thrust exerted by the upper and lower rotors and the thrust generated by an individual rotor. Mathematically, this is defined as follows:
K T = T u + T l / 2 T s i n g l e
Illustrated in Figure 5b and Figure 6a, the simulation outcomes unequivocally demonstrate a pronounced alignment between the variation trend of the quality factor and that of the thrust conversion rate in the space ratio Kd.
Nonetheless, for instances where the space ratio Kd resides below 0.2, the computed average thrust conversion rate KT assumes values beneath 0.5. This manifestation is indicative of a coaxial rotor system’s thrust registering even lower than that exhibited by an individual rotor configuration. Contrarily, as the space ratio exceeds 0.4, the average thrust conversion rate KT attains values exceeding 0.8. This robust elevation effectively translates into the coaxial rotor system garnering an appreciable thrust advantage.

3.3. Transient State Characteristics with Variable Pitch

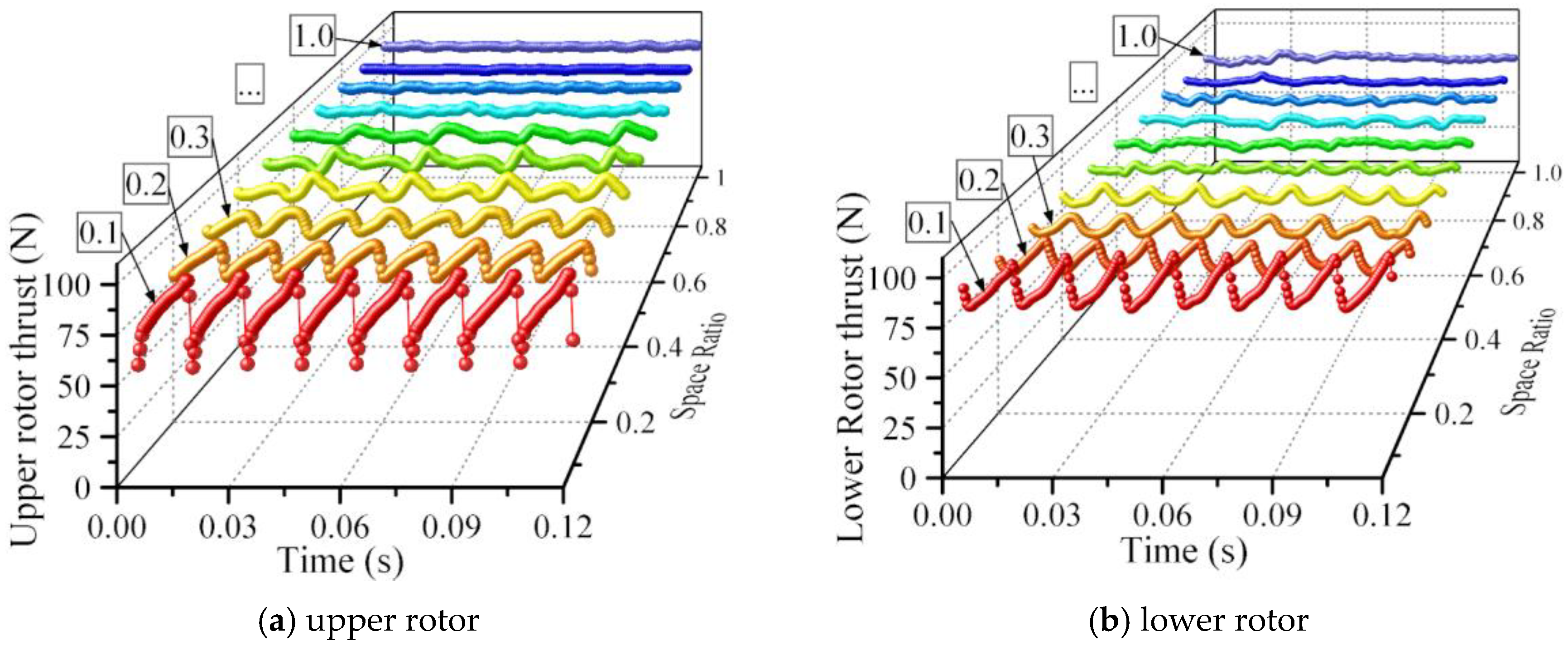
Numerical simulations of transient aerodynamic characteristics yield real-time insights into the dynamic alterations in thrust manifested by the upper and lower rotors during rotation. Extracting the simulation outcomes of rotor rotations spanning two cycles across varying space ratios furnishes a comprehensive visualization (Figure 7). The analysis of the graphical representation underscores the periodic oscillations characterizing rotor thrust, with four distinct thrust cycles aligning per rotation cycle.
Intriguingly, as the space ratio Kd escalates, the mutual influence between rotors progressively wanes, precipitating a marked attenuation in the amplitude of rotor thrust fluctuations, as shown in Figure 8. Notably, this shift is paralleled by a reduction in the conspicuous periodicity inherent to rotor thrust oscillations, which gradually assumes a more stabilized profile. During transitions of the space ratio Kd within the range of 0.1 to 1 (Interval is 0.1), the upper rotor’s thrust fluctuation amplitude registers a remarkable reduction of 92.4%, while the corresponding decrease for the lower rotor attains 77.1%.
Meanwhile, the distance between the upper and lower rotors dp substantively governs the vigor and steadiness of the vortex formations engendered by the rotor system. Augmented rotor spacing notably mitigates interference originating from proximate rotors, consequently fostering heightened vortex stability. However, with diminished rotor spacing, the proximity of neighboring rotors disturbs vortex formations, precipitating an adverse impact on the strength and stability of these vortices.
Drawing insights from Figure 9, the vortices manifest primarily in the vicinity of the rotor’s root and tip. In instances characterized by a relatively modest space ratio Kd, the diametrically opposing directions of the upper and lower rotor vortices evoke a mutual constriction between the vortex systems of these rotors.
Remarkably, as demonstrated by Figure 10, the incremental elevation of the space ratio Kd progressively weakens the interaction manifesting at the root-level vortices. Notably, despite these dynamics, the aerodynamic interplay between the lower rotor and the vortex system at its tip remains influenced by the latter’s pronounced downwash velocity.

4. Optimization of Control Strategy Based on Pitch Adjustment

4.1. Correlation Analysis of Control Parameters

Alterations in the space ratio prompt shifts in aerodynamic attributes, including rotor thrust and moment. Notably, when viewed through the lens of actuation speed and load considerations, the advantages of adjusting the rotor space ratio relative to changes in rotor speed become more pronounced. This underscores a notable potential for application within flight control strategies. Regarding this strategy, the evaluation criteria are centered around the thrust coefficient and the power coefficient. The former governs the maneuverability of the coaxial rotor system, while the latter acts as a metric for quantifying energy consumption efficiency.
A thorough investigation delves into the interrelations binding the three pivotal parameters: the pitch distance of the rotors (dp), rotational speed (n), and pitch angle (α), vis à vis the thrust coefficient and power coefficients. Derived from the outcomes from Figure 11 and Figure 12, it becomes evident that the rotational speed exerts minimal influence on both the thrust coefficient and power coefficient within the coaxial rotor system.
Conspicuously, the change trajectory of the thrust coefficient, vis à vis alterations in the space ratio Kd, mirrors that of the thrust characteristics. However, a pronounced alignment manifests as both the thrust coefficient and the power coefficient surge proportionally in tandem with augmented pitch angles.
The findings underscore the efficacy of manipulating the pitch distance ratio to swiftly and seamlessly modulate thrust performance. Importantly, such adjustments yield minimal influence on the power coefficient, indicating a relatively consistent power consumption pattern and implying negligible disruptions to the endurance ability. Such a trait distinguishes it from conventional flight control methodologies that frequently involve altering rotational speed in drones or modifying pitch angles in helicopters, thus presenting a significant potential. Furthermore, it is noteworthy that the parameters capable of impacting aerodynamic performance do not impose mutual constraints. Instead, they can be orchestrated harmoniously to achieve elevation both in thrust performance and the overall endurance attributes. This holistic approach optimizes flight control efficacy, ultimately leading to amplified thrust and an extended operational range.
Consequently, a method for optimizing control strategies is proposed (as shown in Figure 13), encompassing a subsequent parameter optimization procedure tailored to the coaxial helicopter rotor model.
This process capitalizes on the initial parameters, thereby facilitating the augmentation of the thrust coefficient via pitch dp adjustments and the reduction in the power coefficient through precise modifications of the pitch angle, α. When the torque and power performance for the rotor are both beyond the initial values, the optimal coaxialcopter rotor parameter sets its reach, and the optimization is complete.

4.2. Optimization Design of Control Strategy

The foundational approach to parameter optimization involves utilizing the initial parameters as the control group and contrasting them with the test parameters constituting the comparison group. The meticulous specification of these parameters is detailed and presented in Table 2.
The simulation results reveal that test group D achieved good performance with a power coefficient reduction of 14.15% and a 3.02% increase in the thrust coefficient, which verifies the feasibility of the control strategy parameter optimization process.
In addition, the change in aerodynamic performance (test points A and B) was compared by changing only one parameter, either the space ratio or pitch angle, but the results showed that the optimization goal was not achieved. Therefore, the two parameters of the pitch distance ratio and pitch angle (test points C and D) were changed at the same time to further analyze the change in pneumatics performance of the coaxial twin-rotor system under the combined action of the two parameters.
The simulation outcomes delineate a commendable performance within test group D, marked by a substantial reduction in power coefficient by 14.15%, coupled with a concurrent elevation of the thrust coefficient by 3.02%. This outcome serves to affirm the practical feasibility of the control strategy parameter optimization process.
Furthermore, a comparative assessment was conducted concerning the alteration of aerodynamic performance (test groups A and B), as shown in Figure 14, wherein a sole parameter, either the pitch distance ratio or the pitch angle, was manipulated.
Regrettably, the results underscore an inability to meet the optimization objectives. Consequently, a more nuanced approach emerged wherein both the space ratio and the pitch angle were concurrently adjusted (test groups C and D), thereby facilitating a comprehensive analysis of the pneumatic performance shifts inherent to the coaxial twin-rotor system under the joint influence of these two parameters.

5. Experimental Verification of Rotor Aerodynamic Performance

The composition of the test platform in this article mainly includes a rotor module; the power module consists of a DC power supply, a DC brushless motor, and a speed control system; the measurement system mainly measures the speed, thrust, moment, power, and rotor spacing of the rotor. The measured data are transmitted to the computer through data acquisition system for analysis and calculation in order to obtain the aerodynamic results of coaxial twin rotors under different blade spacings. The test platform is shown in Figure 15.
In order to verify the effect of rotor spacing on the aerodynamic interference of the coaxial reversing twin rotor, the experimental and simulation values of the thrust of the upper and lower rotors with rotor spacing were compared. The influence of the test rig’s support structure on the measurement performance results is unavoidable but small. In addition, the experimental results contain almost the same effect on all experimental results; therefore, the influence of the supporting structure and environment on experimental results is neglected in this study.
At a speed of 1000 r/min and rotor spacing of 0.1~1 R, it has been verified that the thrust of the upper and lower rotors of a coaxial twin rotor varies with blade spacing. The specific experiment is shown in Figure 16.
We compared the numerical simulation results at a speed of 1000 r/min with the experimental results, as shown in Figure 17.
It can be seen that although there is a certain deviation between the numerical simulation results and the experimental results, the variation trend in thrust and torque with rotor spacing in the numerical simulation is consistent with the experimental results. Due to instrument errors in the experiment and grid accuracy in numerical simulation calculations, the maximum relative error between numerical simulation calculations and experimental results is less than 10%, which proves the effectiveness of the numerical simulation calculation method in this paper.
Similarly, experimental verification was conducted on the aerodynamic performance of each set of test points for parameter optimization, as shown in Figure 18.
It can be seen that the experimental results are still slightly larger than the simulation results, and the relative error remains within 10%. This also verifies the reliability of the parameter optimization process and results.

6. Conclusions

This study introduces a novel approach to swiftly modulate thrust performance in coaxial rotor systems by manipulating the space ratio; the aerodynamic performance of coaxial rotor systems with variable rotor spacing was explored, and the following conclusion can be drawn:
  • When space ratio Kd surpasses 0.5, both the upper and lower rotor thrusts converge toward that of a single rotor; the lower rotor, however, retains a persistent 20% difference. As Kd increases, the coaxial thrust gradually aligns with the double single-rotor thrust, even as the lower rotor incurs losses attributable to the upper rotor’s interaction effect.
  • As the space ratio increases, thrust fluctuations in the upper and lower rotors become more gradual, reducing their aerodynamic performance periodicity. In the range of space ratios from 0.1 to 1, thrust fluctuation amplitude decreases by 92.4% for the upper rotor and 77.1% for the lower rotor.
  • When the rotor spacing is set at 0.4 R with a pitch angle of 7.5°, a notable 3.02% increase in the thrust coefficient and a significant 14.15% reduction in the power coefficient are observed when compared to the configuration of a 0.2 R pitch and a pitch angle of 10°. This observation further validates the practicality and efficacy of the parameter optimization approach.
  • The investigation validates the expeditious thrust modulation achievable through space ratio manipulation in coaxial rotor systems, maintaining both stable power consumption patterns and endurance performance.
This paper mainly explores new ideas in aerodynamic performance and control strategies by introducing the variable rotor space ratio. However, it does not research specific flight control based on the proposed strategy. So, there is no restriction to ensure the same torque when achieving the same lift, though this result would be more practical. From an aerodynamic performance perspective, this paper explains that the rotor space ratio can adjust aerodynamic performance, like the variable speed or variable rotor pitch angle. It can also be combined with others to form a better flight adjustment control strategy. I will further study the aerodynamic characteristics and feasibility of the pitch control strategy under the condition of maintaining torque balance.
In essence, this research propels the advancement of parameter optimization strategies for coaxial rotor systems. Through the efficacy of space ratio manipulation, the introduction of innovative approaches, and contributions to energy-efficient flight control strategies, this study significantly enriches the field’s knowledge and possibilities.

Author Contributions

Conceptualization, Z.K. and W.W.; Data curation, M.Z. and J.T.; Funding acquisition, Z.K., H.Z. and W.W.; Investigation, M.Z., W.L., Q.M. and J.T.; Methodology, Z.K., M.Z. and Y.H.; Project administration, Z.Y. and W.W.; Resources, Z.K., H.Z. and W.W.; Software, Y.S.; Supervision, Z.K. and W.W.; Validation, M.Z. and Q.M.; Visualization, Z.K., M.Z. and W.L.; Writing—original draft, M.Z.; Writing—review and editing, Z.K., Y.H. and Z.Y. All authors have read and agreed to the published version of the manuscript.

Funding

This research was funded by the Beijing Natural Science Foundation, grant number 3244036; the National Key Research and Development Program, grant number 2020YFC1512500; the Shandong Postdoctora1 Science Foundation, grant number SDCX-ZG-202303052; and the Natural Science Foundation of Chongqing, China, grant number CSTB2022NSCQ-MSX1101.

Data Availability Statement

Data are available on reasonable request from the authors.

Acknowledgments

We sincerely thank the reviewers who contributed their expertise and time to reviewing this manuscript. Thank you very much to the China Academy of Space Technology 502 Research Institute for providing the technical support in this experiment. In addition, we would like to clarify that AI-based language tools were utilized during the preparation of this manuscript, including grammar checking and language polishing. The content of the paper, including all scientific arguments, data interpretations, and conclusions, was produced by the authors without automated AI content generation.

Conflicts of Interest

The authors declare no conflicts of interest.

References

  1. Nonami, K. Prospect and Recent Research & Development for Civil Use Autonomous Unmanned Aircraft as UAV and MAV. J. Syst. Des. Dyn. 2007, 1, 120–128. [Google Scholar] [CrossRef]
  2. Zhu, Z.; Zhao, Q.J.; Li, P. Unsteady flow interaction mechanism of coaxial rigid rotors in hover. Acta Aeronaut. Astronaut. Sin. 2016, 37, 568–578. [Google Scholar]
  3. Yuan, M.C.; Liu, P.A.; Fan, F. Wind Tunnel Test Investigation of Coaxial Rigid Rotor Aerodynamic Interaction. J. Nanjing Univ. Aeronaut. Astronaut. 2019, 51, 257–262. [Google Scholar] [CrossRef]
  4. Giljarhus, K.E.T.; Porcarelli, A.; Apeland, J. Investigation of Rotor Efficiency with Varying Rotor Pitch Angle for a Coaxial Drone. Drones 2022, 6, 91. [Google Scholar] [CrossRef]
  5. Lakshminarayan, V.K.; Baeder, J.D. Computational Investigation of Microscale Coaxial-Rotor Aerodynamics in Hover. J. Aircr. 2010, 47, 940–955. [Google Scholar] [CrossRef]
  6. Passe, B.J.; Sridharan, A.; Baeder, J.D. Computational Investigation of Coaxial Rotor Interactional Aerodynamics in Steady Forward Flight. In Proceedings of the 33rd AIAA Applied Aerodynamics Conference, American Institute of Aeronautics and Astronautics, Dallas, TX, USA, 22 June 2015. [Google Scholar]
  7. Luo, J.; Zhu, L.; Yan, G. Novel Quadrotor Forward-Flight Model Based on Wake Interference. AIAA J. 2015, 53, 3522–3533. [Google Scholar] [CrossRef]
  8. Lei, Y.; Ye, Y.Q.; Wang, H.D. Aerodynamic Performance Analysis of Coaxial Rotors with Different Rotor Spacing. Mach. Des. Manuf. 2023, 81–85. [Google Scholar]
  9. Lei, Y.; Ye, Y.Q.; Wang, H.D. Study on Aerodynamic Characteristics of Coaxial Rotors UAV with Different Rotor Spacing. Mech. Sci. Technol. Aerosp. Eng. 2022, 41, 487–492. [Google Scholar] [CrossRef]
  10. Lei, Y.; Wang, H.D.; Ye, Y.Q. Optimal analysis of rotor arrangement for a micro quadrotor aircraft. Chin. J. Comput. Mech. 2020, 37, 412–416. [Google Scholar]
  11. Lei, Y.; Ji, Y.X.; Wang, C.W. Numerical simulation and experimental study on aerodynamics of the microcoaxial rotors. J. Exp. Fluid. Mech. 2017, 31, 67–73. [Google Scholar]
  12. Wang, Q.; Chen, M.; Wang, B.B. Effect of geometric parameters of rotor on hovering performance of caoxial rotor. J. Aerosp. Power 2014, 29, 1434–1443. [Google Scholar] [CrossRef]
  13. Huang, S.L.; Xu, G.H.; Li, C.H. Flow Field Analysis of Coaxial Twin Rotors Based on Free Wake. J. Nanjing Univ. Aeronaut. Astronaut. 2008, 40, 721–726. [Google Scholar] [CrossRef]
  14. Lu, C.L.; Qi, H.T.; Xu, G.H. Unsteady flow field interation of coxial rotor. J. Aerosp. Power 2019, 34, 1459–1470. [Google Scholar] [CrossRef]
  15. Chi, C.; Lumba, R.; Su Jung, Y.; Datta, A. Aeromechanical Analysis of a Next-Generation Mars Hexacopter Rotor. J. Aircr. 2022, 59, 1463–1477. [Google Scholar] [CrossRef]
  16. Deng, J.; Fan, F.; Liu, P.; Huang, S.; Lin, Y. Aerodynamic Characteristics of Rigid Coaxial Rotor by Wind Tunnel Test and Numerical Calculation. Chin. J. Aeronaut. 2019, 32, 568–576. [Google Scholar] [CrossRef]
  17. Makeev, P.V.; Ignatkin, Y.M.; Shomov, A.I. Numerical Investigation of Full Scale Coaxial Main Rotor Aerodynamics in Hover and Vertical Descent. Chin. J. Aeronaut. 2021, 34, 666–683. [Google Scholar] [CrossRef]
  18. Yuan, Y.; Chen, R.L.; Li, P. Analysis of rotor control strategy for coaxial rigid rotor high-speed helicopters. J. Northwestern Polytech. Univ. 2017, 35, 915–921. [Google Scholar]
  19. Liu, X.L.; Xu, G.H.; Shi, Y.J. Research on influence of rotor configuration on the aerodynamic characteristics of coaxial rigid rotor helicopter. Flight Dyn. 2022, 40, 41–47+53. [Google Scholar] [CrossRef]
  20. Li, H.; Jia, H.; Chen, Z. Analysis and experiment on aerodynamic characteristics of coaxial roto r system. Opt. Precis. Eng. 2021, 29, 2140–2148. [Google Scholar] [CrossRef]
  21. Yuan, Y.; Chen, R.; Li, P. Trim Investigation for Coaxial Rigid Rotor Helicopters Using an Improved Aerodynamic Interference Model. Aerosp. Sci. Technol. 2019, 85, 293–304. [Google Scholar] [CrossRef]
  22. Zhang, W.; Liao, X.; Fan, W.; Wang, Y.; Mu, Y.; Xin, J. Modeling of the Unsteady Aerodynamic Force of Turbine Blades Considering Nonuniform Vane Pitch. Phys. Fluids 2024, 36, 017141. [Google Scholar] [CrossRef]
  23. Zhang, H.L.; Qian, J.P.; Guo, C. Analysis of Aerodynamic Interference Characteristics Between Wings of Suspension Bullets Multi-Rotor Suspension Device. J. Ordnance Equip. Eng. 2021, 42, 25–29. [Google Scholar]
  24. Liu, S. Design of the co-axial twin-rotor unmanned helicopter’s rotor and control system. J. Mach. Des. 2021, 38, 84–89. [Google Scholar] [CrossRef]
  25. Zeng, W.; Lin, Y.F.; Huang, S.L. Preliminary Experimental Research on Unsteady Aerodynamic Characteristics of Coaxial Rigid Rotor. Helicopter Tech. 2017, 191, 13–17. [Google Scholar]
  26. Jacobellis, G.; Singh, R.; Johnson, C.; Sirohi, J.; McDonald, R. Experimental and Computational Investigation of Stacked Rotor Performance in Hover. Aerosp. Sci. Technol. 2021, 116, 106847. [Google Scholar] [CrossRef]
  27. Liu, X.S.; Ang, H.S.; Xiao, T.H. Analysis of rotor interference effects on quad-rotor lift in hover. Adv. Aeronaut. Sci. Eng. 2014, 5, 148–153. [Google Scholar] [CrossRef]
  28. Li, P.; Lei, B.; Zhu, J.Y. Research on Influence of Rotor Spacing on Load Characteristics of Micro Quadrotor UAVs. Mech. Sci. Technol. Aerosp. Eng. 2020, 39, 978–984. [Google Scholar] [CrossRef]
  29. Zhao, H.; Li, X.W.; Li, L. Numerical simulation under disturbance wind and its flow control of flow field of micro rotary-wings. Chin. J. Comput. Mech. 2015, 32, 429–433. [Google Scholar]
  30. Zhong, S.; Ma, Z.; Zhou, P.; Wu, H.; Zhang, X. Predicting the Aerodynamic Noise of Counter-Rotating Coaxial Rotors. J. Sound Vib. 2023, 547, 117487. [Google Scholar] [CrossRef]
  31. Zhang, W.; Xu, B.; Xiang, C.; Yao, Z.; Zhang, H.; Fan, W.; Zhao, Z.; Hu, Y. Aerodynamic Performance Study of Propellers for Mars Atmospheric Environment. Phys. Fluids 2023, 35, 127124. [Google Scholar] [CrossRef]
  32. Lakshminarayan, V.K.; Baeder, J.D. High-Resolution Computational Investigation of Trimmed Coaxial Rotor Aerodynamics in Hover. J. Am. Helicopter Soc. 2009, 54, 042008. [Google Scholar] [CrossRef]
  33. Jiang, Y.; Li, H.; Jia, H. Aerodynamics Optimization of a Ducted Coaxial Rotor in Forward Flight Using Orthogonal Test Design. Shock. Vib. 2018, 2018, 1–9. [Google Scholar] [CrossRef]
  34. Wei, Y.; Deng, H.; Li, K.; Xiong, H.; Jiang, M. Experimental Investigation of Aerodynamic Characteristic for a Coaxial Rotor Aircraft. In Proceedings of the 2020 3rd International Conference on Unmanned Systems (ICUS), IEEE, Harbin, China, 27 November 2020; pp. 251–257. [Google Scholar]
  35. Wang, C.; Tang, Z.F.; Xu, P. Numerical simulation of flow field and aerodynamic interference of quad-rotor UAV. Flight Dyn. 2018, 36, 83–87. [Google Scholar] [CrossRef]
  36. Shen, A.; Zhou, S.D.; Wang, M. Simulation and analysis of multi-rotor UAV flow field. Flight Dyn. 2018, 36, 29–33. [Google Scholar] [CrossRef]
  37. Hwang, J.Y.; Jung, M.K.; Kwon, O.J. Numerical Study of Aerodynamic Performance of a Multirotor Unmanned-Aerial-Vehicle Configuration. J. Aircr. 2015, 52, 839–846. [Google Scholar] [CrossRef]
  38. Nguyen, D.H.; Liu, Y.; Mori, K. Experimental Study for Aerodynamic Performance of Quadrotor Helicopter. Trans. Jpn. Soc. Aeronaut. Space Sci. 2018, 61, 29–39. [Google Scholar] [CrossRef]
  39. Hayami, K.; Sugawara, H.; Yumino, T.; Tanabe, Y.; Kameda, M. CFD Analysis on the Performance of a Coaxial Rotor with Lift Offset at High Advance Ratios. Aerosp. Sci. Technol. 2023, 135, 108194. [Google Scholar] [CrossRef]
Figure 1. Aerodynamic model of coaxialcopter rotors.
Figure 1. Aerodynamic model of coaxialcopter rotors.
Drones 08 00703 g001
Figure 2. Rotor basin model and grid processing.
Figure 2. Rotor basin model and grid processing.
Drones 08 00703 g002
Figure 3. Wall y+ value of coaxial rotors.
Figure 3. Wall y+ value of coaxial rotors.
Drones 08 00703 g003
Figure 4. Mesh independence analysis.
Figure 4. Mesh independence analysis.
Drones 08 00703 g004
Figure 5. Steady-state aerodynamic characteristics of coaxial drone rotors.
Figure 5. Steady-state aerodynamic characteristics of coaxial drone rotors.
Drones 08 00703 g005
Figure 6. Steady-state aerodynamic characteristics of coaxial drone rotors.
Figure 6. Steady-state aerodynamic characteristics of coaxial drone rotors.
Drones 08 00703 g006
Figure 7. Transient state aerodynamic characteristics of coaxial drone rotors.
Figure 7. Transient state aerodynamic characteristics of coaxial drone rotors.
Drones 08 00703 g007
Figure 8. Average thrust fluctuations of coaxial rotors at different space ratios.
Figure 8. Average thrust fluctuations of coaxial rotors at different space ratios.
Drones 08 00703 g008
Figure 9. Vortex distribution in coaxial drone rotors.
Figure 9. Vortex distribution in coaxial drone rotors.
Drones 08 00703 g009
Figure 10. The comparison of vortex interference at different space ratios.
Figure 10. The comparison of vortex interference at different space ratios.
Drones 08 00703 g010
Figure 11. The influence of different parameters on the thrust coefficient.
Figure 11. The influence of different parameters on the thrust coefficient.
Drones 08 00703 g011
Figure 12. The influence of different parameters on the power coefficient.
Figure 12. The influence of different parameters on the power coefficient.
Drones 08 00703 g012
Figure 13. Workflow of parameter optimization.
Figure 13. Workflow of parameter optimization.
Drones 08 00703 g013
Figure 14. Thrust and power coefficients of five sets of parameters.
Figure 14. Thrust and power coefficients of five sets of parameters.
Drones 08 00703 g014
Figure 15. Test platform of coaxialcoptor rotor.
Figure 15. Test platform of coaxialcoptor rotor.
Drones 08 00703 g015
Figure 16. Aerodynamic test of coaxialcopter under different rotor spacings.
Figure 16. Aerodynamic test of coaxialcopter under different rotor spacings.
Drones 08 00703 g016
Figure 17. Comparison of simulation and experimental results of coaxialcopter rotors.
Figure 17. Comparison of simulation and experimental results of coaxialcopter rotors.
Drones 08 00703 g017
Figure 18. Comparison of simulation and experimental results for parameter optimization.
Figure 18. Comparison of simulation and experimental results for parameter optimization.
Drones 08 00703 g018
Table 1. Basic parameters of coaxialcopter rotor.
Table 1. Basic parameters of coaxialcopter rotor.
NameSymbolValue (Unit)
Rotor radiusR685 (mm)
Rotate speednP1000 (r/min)
Pitch angleα10 (°)
Space ratioKd0.2
Table 2. Results of strategy optimization method.
Table 2. Results of strategy optimization method.
Test GroupSpace Ratio KdPitch Angle α (°)CTCP
Initial point0.2100.1180.0807
Test point A0.4100.12140.0929
Test point B0.27.50.11480.0777
Test point C0.450.10240.0523
Test point D0.47.50.12160.0693
Disclaimer/Publisher’s Note: The statements, opinions and data contained in all publications are solely those of the individual author(s) and contributor(s) and not of MDPI and/or the editor(s). MDPI and/or the editor(s) disclaim responsibility for any injury to people or property resulting from any ideas, methods, instructions or products referred to in the content.

Share and Cite

MDPI and ACS Style

Ke, Z.; Zhao, M.; Hu, Y.; Shu, Y.; Liu, W.; Meng, Q.; Tu, J.; Zhang, H.; Yao, Z.; Wei, W. Pitch-Regulated Control Strategy for Coaxial Drone with Variable Rotor Space Ratio. Drones 2024, 8, 703. https://doi.org/10.3390/drones8120703

AMA Style

Ke Z, Zhao M, Hu Y, Shu Y, Liu W, Meng Q, Tu J, Zhang H, Yao Z, Wei W. Pitch-Regulated Control Strategy for Coaxial Drone with Variable Rotor Space Ratio. Drones. 2024; 8(12):703. https://doi.org/10.3390/drones8120703

Chicago/Turabian Style

Ke, Zhifang, Molei Zhao, Yu Hu, Yongjie Shu, Weibo Liu, Qingkai Meng, Jinghan Tu, Haitao Zhang, Zhaopu Yao, and Wei Wei. 2024. "Pitch-Regulated Control Strategy for Coaxial Drone with Variable Rotor Space Ratio" Drones 8, no. 12: 703. https://doi.org/10.3390/drones8120703

APA Style

Ke, Z., Zhao, M., Hu, Y., Shu, Y., Liu, W., Meng, Q., Tu, J., Zhang, H., Yao, Z., & Wei, W. (2024). Pitch-Regulated Control Strategy for Coaxial Drone with Variable Rotor Space Ratio. Drones, 8(12), 703. https://doi.org/10.3390/drones8120703

Article Metrics

Back to TopTop