Extended State Observer-Based Command-Filtered Safe Flight Control for Unmanned Helicopter under Time-Varying Path Constraints and Disturbances
Abstract
1. Introduction
- A developed SPA with predictive characteristic is developed to obtain a new desired trajectory, which takes the time-varying path constraints into account. The path constraints violation can be detected earlier due to the predictive mechanism.
- The combination of the ESO and the command-filtered backstepping method is introduced to ensure that the generated safety trajectory is continuously differentiable, and the use of the command filter greatly reduces the computational complexity caused by the ESO.
- According to Lyapunov stability analysis, the signals of the UAH system are bounded, which means the UAH can track the presupposed desired trajectory on the basis of the safety requirement under path constraints and external disturbances.
2. Modeling and Problem Formulation
2.1. Modeling of the UAH System
2.2. Problem Formulation
- (1)
- To design an ESO-based command-filtered safe flight control scheme of the UAH system (1) with external disturbances.
- (2)
- To track the presupposed desired flight trajectory on the basis of satisfying the time-varying path constraints. If the path constraints conflict with , the safety of the UAH turns into the first consideration.
3. ESO-Based Command-Filtered Safe Flight Control Scheme Design
3.1. Safe Reference Trajectory Design
- Case I: At time t, the presupposed desired trajectory will be greater than the predicted upper path constraint with .
- Case II: At time t, the presupposed desired trajectory will be less than the predicted lower path constraint with .
- Case III: The UAH is expected to track the presupposed reference path .
3.2. Design of the Command Filters
3.3. ESO-Based Command-Filtered Safe Flight Controller Design in Position Subsystem
3.4. ESO-Based Command-Filtered Safe Flight Controller Design in Attitude Subsystem
3.5. ESO-Based Command-Filtered Safe Tracking Controller Design in Rotor Flapping Subsystem
3.6. Boundedness and Safety Analysis
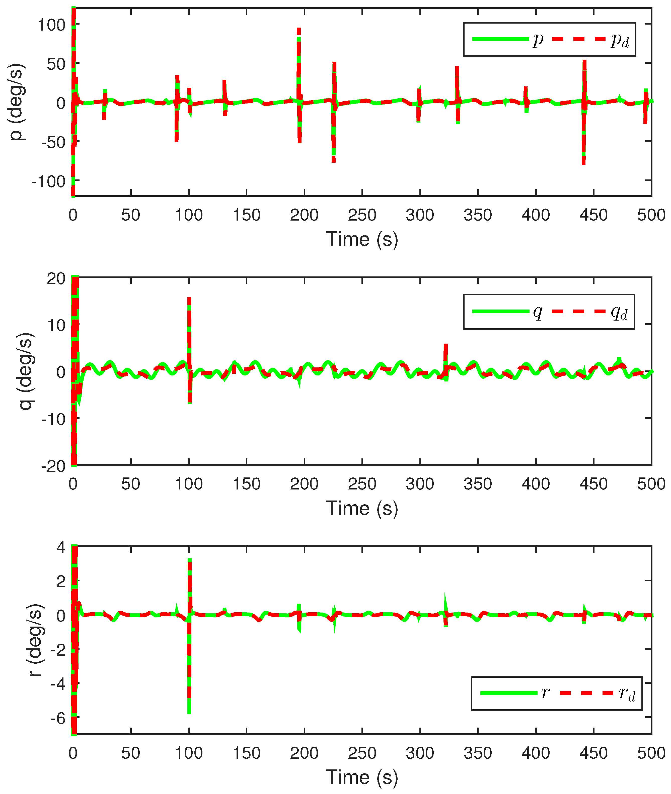
4. Numerical Simulations and Analysis
5. Conclusions
Author Contributions
Funding
Data Availability Statement
Conflicts of Interest
References
- de Assis, G.; dos Santos, M.; Basilio, M. Use of the WASPAS method to select suitable helicopters for aerial activity carried out by the military police of the state of rio de janeiro. Axioms 2023, 12, 77. [Google Scholar] [CrossRef]
- Song, B.; Liu, Y.; Fan, C. Feedback linearization of the nonlinear model of a small-scale helicopter. J. Control Theory Appl. 2010, 8, 301–308. [Google Scholar] [CrossRef]
- Vilchis, J.C.A.; Brogliato, B.; Dzul, A.; Lozano, R. Nonlinear modeling and control of helicopters. Automatica 2003, 39, 1583–1596. [Google Scholar] [CrossRef]
- Li, J.; Chen, X.; Li, Y.; Zhang, R. Control system design of flying-wing UAV based on nonlinear methodology. Def. Technol. 2017, 13, 397–405. [Google Scholar] [CrossRef]
- Chen, M.; Shi, P.; Lim, C.C. Adaptive neural fault-tolerant control of a 3-DOF model helicopter system. Automatica 2003, 39, 1583–1596. [Google Scholar] [CrossRef]
- Liu, C.; Chen, W.; Andrews, J. Tracking control of small-scale helicopters using explicit nonlinear MPC augmented with disturbance observers. Control Eng. Pract. 2012, 20, 258–268. [Google Scholar] [CrossRef]
- Yan, K.; Chen, M. Adaptive tracking flight control for unmanned autonomous helicopter with full state constraints and actuator faults. ISA Trans. 2022, 128, 32–46. [Google Scholar] [CrossRef]
- Xian, B.; Guo, J.; Zhang, Y. Adaptive backstepping tracking control of a 6-DOF unmanned helicopter. IEEE/CAA J. Autom. Sin. 2015, 2, 19–24. [Google Scholar] [CrossRef]
- Al-Dhaifallah, M.; Al-Qahtani, F.; Elferik, S.; Saif, A. Quadrotor robust fractional-order sliding mode control in unmanned aerial vehicles for eliminating external disturbances. Aerospace 2023, 10, 665. [Google Scholar] [CrossRef]
- Han, J. From PID to active disturbance rejection control. IEEE Trans. Ind. Electron. 2009, 56, 900–906. [Google Scholar] [CrossRef]
- Guo, B.; Zhao, B. On the convergence of an extended state observer 320 for nonlinear systems with uncertainty. Syst. Control Lett. 2011, 60, 420–430. [Google Scholar] [CrossRef]
- Li, S.; Yang, J.; Chen, W.; Chen, X. Generalized extended state observer based control for systems with mismatched uncertainties. IEEE Trans. Ind. Electron. 2012, 59, 4792–4802. [Google Scholar] [CrossRef]
- Yao, J.; Jiao, Z.; Ma, D. Extended-state-observer-based output feedback nonlinear robust control of hydraulic systems with backstepping. IEEE Trans. Ind. Electron. 2014, 61, 6285–6293. [Google Scholar] [CrossRef]
- Yan, K.; Chen, M.; Wu, Q.; Jiang, B. Extended state observer-based sliding mode fault-tolerant control for unmanned autonomous helicopter with wind gusts. IET Control Theory Appl. 2019, 13, 1500–1513. [Google Scholar] [CrossRef]
- Pan, J.; Shao, B.; Xiong, J.; Zhang, Q. Attitude control of quadrotor UAVs based on adaptive sliding mode. Int. J. Control Autom. Syst. 2023, 21, 2698–2707. [Google Scholar] [CrossRef]
- Peng, Z.; Wang, J. Output-feedback path-following control of autonomous underwater vehicles based on an extended state observer and projection neural networks. IEEE Trans. Syst. Man, Cybern. Syst. 2017, 48, 535–544. [Google Scholar] [CrossRef]
- Cui, R.; Chen, L.; Yang, C.; Chen, M. Extended state observer-based 340 integral sliding mode control for an underwater robot with unknown disturbances and uncertain nonlinearities. IEEE Trans. Ind. Electron. 2017, 64, 6785–6795. [Google Scholar] [CrossRef]
- Yang, X.; Yao, J.; Deng, W. Output feedback adaptive super-twisting sliding mode control of hydraulic systems with disturbance compensation. ISA Trans. 2021, 109, 175–185. [Google Scholar] [CrossRef] [PubMed]
- Farrell, J.A.; Polycarpou, M.; Sharma, M.; Dong, W. Command filtered backstepping. IEEE Trans. Autom. Control 2009, 54, 1391–1395. [Google Scholar] [CrossRef]
- Yu, J.; Peng, S.; Dong, W.; Lin, C. Adaptive fuzzy control of nonlinear systems with unknown dead zones based on command filtering. IEEE Trans. Fuzzy Syst. 2018, 26, 46–55. [Google Scholar] [CrossRef]
- Yu, J.; Shi, P.; Zhao, L. Finite-time command filtered backstepping control for a class of nonlinear systems. Automatica 2018, 92, 173–180. [Google Scholar] [CrossRef]
- Wang, J.; Alattas, K.; Bouteraa, Y.; Mofid, O.; Mobayen, S. Adaptive finite-time backstepping control tracker for quadrotor UAV with model uncertainty and external disturbance. Aerosp. Sci. Technol. 2023, 133, 108088. [Google Scholar] [CrossRef]
- Guo, J.; Wang, J.; Bo, Y. An observer-based adaptive neural network finite-time tracking control for autonomous underwater vehicles via command filters. Drones 2023, 7, 604. [Google Scholar] [CrossRef]
- Chen, M.; Ge, S.S.; Ren, B. Adaptive tracking control of uncertain MIMO nonlinear systems with input constraints. Automatica 2011, 47, 452–465. [Google Scholar] [CrossRef]
- Ding, Y.; Wang, X.; Bai, Y.; Cui, N. Novel anti-saturation robust controller for flexible air-breathing hypersonic vehicle with actuator constraints. ISA Trans. 2020, 99, 95–109. [Google Scholar] [CrossRef] [PubMed]
- Eliker, K.; Grouni, S.; Tadjine, M.; Zhang, W. Quadcopter nonsingular finite-time adaptive robust saturated command-filtered control system under the presence of uncertainties and input saturation. Nonlinear Dyn. 2021, 104, 1363–1387. [Google Scholar] [CrossRef]
- Zirkohi, M. Command filtering-based adaptive control for chaotic permanent magnet synchronous motors considering practical considerations. ISA Trans. 2021, 100, 120–135. [Google Scholar] [CrossRef]
- Scaramuzza, D.; Achtelik, M.; Doitsidis, L.; Friedrich, F.; Kosmatopoulos, E.; Martinelli, A.; Achtelik, M.W.; Chli, M.; Chatzichristofis, S.; Kneip, L.; et al. Vision-controlled micro flying robots: From system design to autonomous navigation and mapping in GPS-denied environments. IEEE Robot. Autom. Mag. 2014, 21, 26–40. [Google Scholar] [CrossRef]
- Cui, J.; Lai, S.; Dong, X.; Liu, P.; Chen, B.; Lee, T.H. Autonomous navigation of UAV in forest. In Proceedings of the International Conference on Unmanned Aircraft Systems, Orlando, FL, USA, 27–30 May 2014; pp. 726–733. [Google Scholar]
- Suzuki, S.; Ishii, T.; Aida, Y. Collision-Free guidance control of small unmanned helicopter using nonlinear model predictive control. SICE J. Control. Meas. Syst. Integr. 2014, 7, 347–355. [Google Scholar] [CrossRef][Green Version]
- Zou, Y.; Huo, W. Trajectory tracking controller for miniature unmanned helicopters with position and velocity constraints. Control Theory Appl. 2015, 32, 1316–1324. [Google Scholar]
- Yan, K.; Chen, M.; Wu, Q. Neural network-based adaptive fault tolerant tracking control for unmanned autonomous helicopters with prescribed performance. Proc. Inst. Mech. Eng. Part J. Aerosp. Eng. 2019, 233, 4350–4362. [Google Scholar] [CrossRef]
- Unnikrishnan, S. Adaptive Envelope Protection Methods for Aircraft; Georgia Institute of Technology: Atlanta, GA, USA, 2006. [Google Scholar]
- Ma, H.; Chen, M.; Yang, H.; Wu, Q.; Chadli, M. Switched safe tracking control design for unmanned autonomous helicopter with disturbances. Nonlinear Anal. Hybrid Syst. 2021, 39, 100979. [Google Scholar] [CrossRef]
- Ma, H.; Chen, M.; Wu, Q. Disturbance observer-based safe tracking control for unmanned helicopters with partial state constraints and disturbances. IEEE/CAA J. Autom. Sin. 2022, 10, 2056–2069. [Google Scholar] [CrossRef]















| Symbol | Value (Unit) |
|---|---|
| 800.0 (kg) | |
| g | 9.8 (m/s2) |
| 52 (N/rad) | |
| 0.03 (m/) | |
| 4.4 (N·m) | |
| (0.1, 0.1) (s) | |
| (20, 20) (rad/ms) | |
| (358, 778, 601) (kg·m2) | |
| (2.1, 4, 0.7) (m) |
| Symbol | Value (Unit) |
|---|---|
| (m) | |
| (m/s) | |
| (deg) | |
| (deg/s) | |
| (m) | |
| (m) | |
| (m) | |
| 0 (deg) |
Disclaimer/Publisher’s Note: The statements, opinions and data contained in all publications are solely those of the individual author(s) and contributor(s) and not of MDPI and/or the editor(s). MDPI and/or the editor(s) disclaim responsibility for any injury to people or property resulting from any ideas, methods, instructions or products referred to in the content. |
© 2024 by the authors. Licensee MDPI, Basel, Switzerland. This article is an open access article distributed under the terms and conditions of the Creative Commons Attribution (CC BY) license (https://creativecommons.org/licenses/by/4.0/).
Share and Cite
Ma, H.; Tao, F.; Ren, R.; Fu, Z.; Wang, N. Extended State Observer-Based Command-Filtered Safe Flight Control for Unmanned Helicopter under Time-Varying Path Constraints and Disturbances. Drones 2024, 8, 158. https://doi.org/10.3390/drones8040158
Ma H, Tao F, Ren R, Fu Z, Wang N. Extended State Observer-Based Command-Filtered Safe Flight Control for Unmanned Helicopter under Time-Varying Path Constraints and Disturbances. Drones. 2024; 8(4):158. https://doi.org/10.3390/drones8040158
Chicago/Turabian StyleMa, Haoxiang, Fazhan Tao, Ruonan Ren, Zhumu Fu, and Nan Wang. 2024. "Extended State Observer-Based Command-Filtered Safe Flight Control for Unmanned Helicopter under Time-Varying Path Constraints and Disturbances" Drones 8, no. 4: 158. https://doi.org/10.3390/drones8040158
APA StyleMa, H., Tao, F., Ren, R., Fu, Z., & Wang, N. (2024). Extended State Observer-Based Command-Filtered Safe Flight Control for Unmanned Helicopter under Time-Varying Path Constraints and Disturbances. Drones, 8(4), 158. https://doi.org/10.3390/drones8040158

