Mathematical Model of Horizontal Track Conflict Prevention Algorithm in Detect-and-Avoid Framework
Abstract
1. Introduction
- (1)
- For the scenario of the two aircraft encounters, Cauchy’s inequality, effective in solving tangent problems for nonlinear functions, is introduced to address the crucial geometrical challenge of determining the track conflict boundary under horizontal conflict. Additionally, the boundary equation of the well-clear zone is leveraged to derive the new boundary from vertical conflicts, offering a comprehensive approach.
- (2)
- A new maneuvering strategy, designed specifically for the recovery phase, directly adopts the target value as the resolution path, contrasting with the original model that searches for a faster resolution path near the target value, simplifying computations while ensuring safety.
- (3)
- A detailed algorithm for the proposed model is presented, and simulations are conducted to verify its correctness and effectiveness.
2. The Formal Model of the DAIDALUS Conflict Prevention Algorithm
- (1)
- The ownship performs a uniform turn with a fixed rate, resulting in a constant turn radius.
- (2)
- During time T, both aircraft maintain a constant-speed straight-line flight for conflict assessment, under conditions conducive to the formation of the well-clear area.
- (3)
- As the ownship maneuvers following instructions from the remote pilot, the intruder remains on its original flight plan, without any deliberate maneuvering or active changes to its direction [27].
3. Mathematical Model of the Horizontal Track Conflict Prevention Algorithm
3.1. Mathematical Model Under Instantaneous Maneuver
3.1.1. Calculation of Track Boundary Angles
3.1.2. Conflict Detection Among Boundary Angles
3.2. Mathematical Model Under Non-Instantaneous Maneuver
3.2.1. Calculation and Detection of Boundary Angles in the Conflict Phase
- (a)
- Both aircraft do not enter the protected area either vertically or horizontally.
- (b)
- Both aircraft do not enter vertically but do enter horizontally.
- (c)
- Both aircraft enter vertically but not horizontally.
- (d)
- Both aircraft enter the protected area both vertically and horizontally.
3.2.2. Computation of Boundary Angles and Recovery Strategies in the Recovery Phase
4. Conflict Prevention Algorithm of the Proposed Model
| Algorithm 1: Conflict Prevention Algorithm of the proposed model |
| input: Flight states of the ownship and the intruder at a specified sampling time |
| output: A full 360-degree conflict prevention band of the ownship under the sampling moment |
![]() |
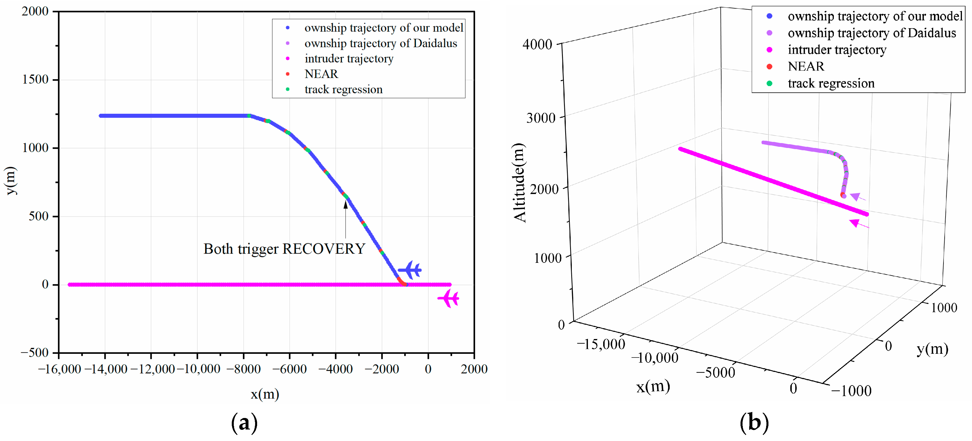
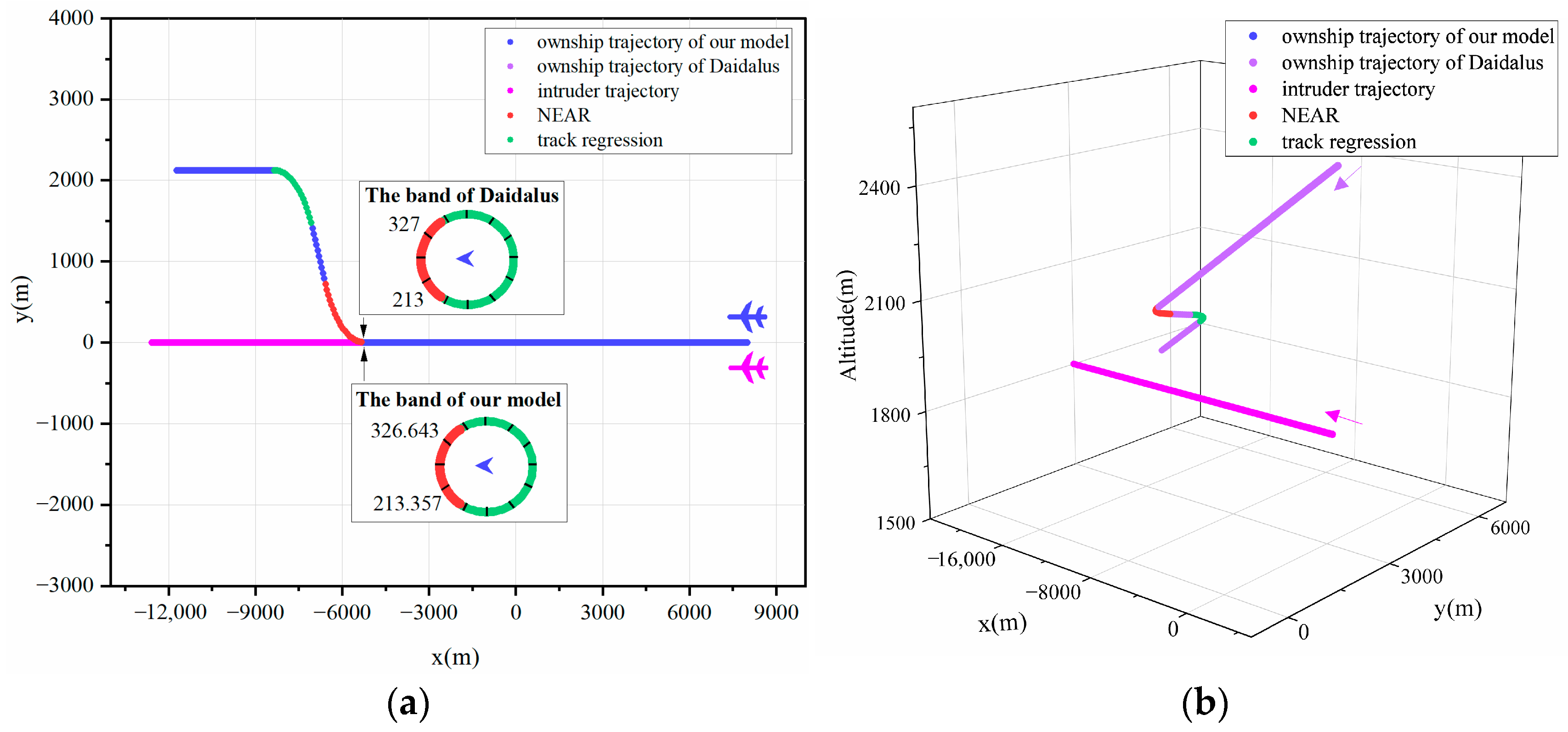
5. Simulation Analysis
5.1. Simulation Overview
5.2. Simulation Comparison
6. Conclusions
Author Contributions
Funding
Data Availability Statement
Conflicts of Interest
Appendix A
| Scenario | Range, m | Horizontal Direction, Degrees | Horizontal Speed, m/s | Altitude, m | Vertical Speed, m/s |
|---|---|---|---|---|---|
| 1 | 12,908.0 | O 1 = 270 T = 180 | O = 82.3 | O = 1981.2 | O = 0 |
| T = 82.3 | T = 1981.2 | T = 0 | |||
| 2 | 18,279.0 | O = 270 | O = 82.3 | O = 1981.2 | O = 0 |
| T = 90 | T = 82.3 | T = 1981.2 | T = 0 | ||
| 3 | 13,353.0 | O = 270 | O = 82.3 | O = 1981.2 | O = 0 |
| T = 0 to 90 | T = 82.3 | T = 1981.2 | T = 0 | ||
| 4 | 16,872.0 | O = 270 | O = 82.3 | O = 1698.4 | O = 2.54 |
| T = 135 | T = 82.3 | T = 1981.2 | T = 0 | ||
| 5 | 1870.5 | O = 270 | O = −66.9 | O = 1981.2 | O = 0 |
| T = 270 | T = 82.3 | T = 1780.5 | T = 2.54 | ||
| 6 | 1557.9 | O = 100 | O = 66.4 | O = 607.5 | O = −6.76 |
| T = 95 | T = 47.8 | T = 452.0 | T = −1.81 | ||
| 7 | 12,908.0 | O = 270 | O = 82.3 | O = 1981.2 | O = 0 |
| T = 0 | T = 82.3 | T = 1698.4 | T = 2.54 | ||
| 8 | 0.0 | O = 270 | O = 82.3 | O = 2590.8 | O = −2.54 |
| T = 270 | T = 82.3 | T = 1981.2 | T = 0 | ||
| 9 | 1557.9 | O = 95 | O = 47.8 | O = 452.0 | O = −1.81 |
| T = 100 | T = 66.4 | T = 607.5 | T = −6.76 |
References
- Tan, Y.; Wang, J.; Liu, J.; Kato, N. Blockchain-Assisted Distributed and Lightweight Authentication Service for Industrial Unmanned Aerial Vehicles. IEEE Int. Things J. 2022, 9, 16928–16940. [Google Scholar] [CrossRef]
- Marques, P.; Pádua, L.; Sousa, J.J.; Fernandes-Silva, A. Advancements in Remote Sensing Imagery Applications for Precision Management in Olive Growing: A Systematic Review. Remote Sens. 2024, 16, 1324. [Google Scholar] [CrossRef]
- Zhang, Z.; Zhu, L. A Review on Unmanned Aerial Vehicle Remote Sensing: Platforms, Sensors, Data Processing Methods, and Applications. Drones 2023, 7, 398. [Google Scholar] [CrossRef]
- Liao, Y.; Jia, Z.; Dong, C.; Zhang, L.; Wu, Q.; Hu, H.; Han, Z. Interference Analysis for Coexistence of UAVs and Civil Aircrafts Based on Automatic Dependent Surveillance-Broadcast. IEEE Trans. Veh. Technol. 2024, 1–5. [Google Scholar] [CrossRef]
- Liao, Y.; Jia, Z.; Dong, C.; Zhang, L.; Wu, Q.; Hu, H.; Han, Z. Sharing airspace with Uncrewed Aerial Vehicles (UAVs): Views of the General Aviation (GA) community. J. Air. Transp. Manag. 2022, 102, 102218. [Google Scholar] [CrossRef]
- Guan, X.; Lyu, R.; Shi, H.; Chen, J. A survey of safety separation management and collision avoidance approaches of civil UAS operating in integration national airspace system. Chin. J. Aeronaut. 2020, 33, 2851–2863. [Google Scholar] [CrossRef]
- Hu, J.; Wang, T.; Zhang, H.; Pan, Q.; Zhang, J.; Xu, Z. A review of rule-based collision avoidance technology for autonomous UAV. Sci. China Technol. Sci. 2023, 66, 2481–2499. [Google Scholar] [CrossRef]
- Lieb, J.; Volkert, A. Unmanned Aircraft Systems Traffic Management: A Comparison on the FAA UTM and the European CORUS ConOps Based on U-Space. In Proceedings of the 2020 IEEE/AIAA 39th Digital Avionics Systems Conference (DASC), San Antonio, TX, USA, 11 October 2020; pp. 1–6. [Google Scholar]
- Lappas, V.; Zoumponos, G.; Kostopoulos, V.; Lee, H.I.; Shin, H.-S.; Tsourdos, A.; Tantardini, M.; Shomko, D.; Munoz, J.; Amoratis, E.; et al. EuroDRONE, a European Unmanned Traffic Management Testbed for U-Space. Drones 2022, 6, 53. [Google Scholar] [CrossRef]
- Tang, J.; Lao, S.; Wan, Y. Systematic Review of Collision-Avoidance Approaches for Unmanned Aerial Vehicles. IEEE Syst. J. 2022, 16, 4356–4367. [Google Scholar] [CrossRef]
- Yu, S.; Park, J. Collision Avoidance Algorithm for a Fixed-Wing UAV Utilizing Geometric Estimation Considering Multiple Dynamic Obstacles. Int. J. Aeronaut. Space Sci. 2024, 25, 1–18. [Google Scholar] [CrossRef]
- Krozel, J.; Peters, M. Strategic Conflict Detection and Resolution for Free Flight. In Proceedings of the 36th IEEE Conference on Decision and Control, San Diego, CA, USA, 12 December 1997; pp. 1822–1828. [Google Scholar]
- Gnanasekera, M.; Katupitiya, J. A Time Optimal Reactive Collision Avoidance Method for UAVs Based on a Modified Collision Cone Approach. In Proceedings of the 2020 IEEE/RSJ International Conference on Intelligent Robots and Systems (IROS), Las Vegas, NV, USA, 24 October 2020; pp. 5685–5692. [Google Scholar]
- Zhuang, J.; Zhang, Y.; Xu, P.; Zhao, Y.; Luo, J.; Song, S. Multiple Moving Obstacles Avoidance for USV using Velocity Obstacle Method. In Proceedings of the 2021 IEEE International Conference on Unmanned Systems (ICUS), Beijing, China, 15 October 2021; pp. 140–145. [Google Scholar]
- Ma, H.; Cai, Z.; Xu, G.; Yang, G.; Chen, G. Dynamic Smooth and Stable Obstacle Avoidance for Unmanned Aerial Vehicle Based on Collision Prediction. Optim. Control. Appl. Methods 2023, 45, 737–757. [Google Scholar] [CrossRef]
- Van den Berg, J.; Lin, M.; Manocha, D. Reciprocal Velocity Obstacles for Real-Time Multi-Agent Navigation. In Proceedings of the 2008 IEEE International Conference on Robotics and Automation, Pasadena, CA, USA, 19 May 2008. [Google Scholar]
- Tan, C.Y.; Huang, S.; Tan, K.K.; Huat Teo, R.S. Three Dimensional Collision Avoidance for Multi Unmanned Aerial Vehicles Using Velocity Obstacle. J. Intell. Robot. Syst. 2020, 97, 227–248. [Google Scholar] [CrossRef]
- Zhang, H.; Zhang, J.; Zhong, G.; Liu, H.; Liu, W. Multivariate Combined Collision Detection for Multi-Unmanned Aircraft Systems. IEEE Access 2022, 10, 103827–103839. [Google Scholar] [CrossRef]
- Zhang, S.; Xu, T.; Cheng, H.; Liang, F. Collision Avoidance of Fixed-Wing UAVs in Dynamic Environments Based on Spline-RRT and Velocity Obstacle. In Proceedings of the 2020 International Conference on Unmanned Aircraft Systems (ICUAS), Athens, Greece, 1 September 2020; pp. 48–58. [Google Scholar]
- He, Y.; Shi, X.; Lu, J.; Zhao, C.; Zhao, G. Grouping Formation and Obstacle Avoidance Control of UAV Swarm Based on Synchronous DMPC. Int. J. Aerospace Eng. 2024, 2024, 4934194. [Google Scholar] [CrossRef]
- Muñoz, C.; Narkawicz, A.; Hagen, G.; Upchurch, J.; Dutle, A.; Consiglio, M.; Chamberlain, J. DAIDALUS: Detect and Avoid Alerting Logic for Unmanned Systems. In Proceedings of the 2015 IEEE/AIAA 34th Digital Avionics Systems Conference (DASC), Prague, Czech Republic, 13 September 2015; pp. 5A1-1–5A1-12. [Google Scholar]
- A Mathematical Basis for the Safety Analysis of Conflict Prevention Algorithms. Available online: https://ntrs.nasa.gov/citations/20090025481 (accessed on 18 August 2024).
- LeCun, Y.; Bengio, Y.; Hinton, G. Deep learning. Nature 2015, 521, 436–444. [Google Scholar] [CrossRef] [PubMed]
- Park, K.; Kim, J. Aircraft Collision Avoidance Modeling and Optimization Using Deep Reinforcement Learning. Inst. Control Robot. Syst. 2021, 27, 652–659. [Google Scholar] [CrossRef]
- Young Ryu, J.; Lee, H.; Lee, H.-T. Detect and Avoid AI System Model Using a Deep Neural Network. In Proceedings of the 2022 IEEE/AIAA 41st Digital Avionics Systems Conference (DASC), Portsmouth, VA, USA, 18 September 2022; pp. 1–8. [Google Scholar]
- Evaluation, Analysis and Results of the DANTi Flight Test Data, the DAIDALUS Detect and Avoid Algorithm, and the DANTi Concept for Detect and Avoid in the Cockpit. Available online: https://ntrs.nasa.gov/citations/20205004594 (accessed on 18 August 2024).
- RTCA-DO-365: Minimum Operational Performance Standards (MOPS) for Detect and Avoid (DAA) System. Available online: https://www.document-center.com/standards/show/RTCA-DO-365 (accessed on 18 August 2024).
- Errico, A.; Di Vito, V. A Method for Evaluating Aircraft Dependencies Using the Closest Point of Approach Methodology to Support ATM Operations. In Proceedings of the 33th Congress of the International Council of the Aeronautical Sciences (ICAS), Stockholm, Sweden, 4 September 2022. [Google Scholar]













Disclaimer/Publisher’s Note: The statements, opinions and data contained in all publications are solely those of the individual author(s) and contributor(s) and not of MDPI and/or the editor(s). MDPI and/or the editor(s) disclaim responsibility for any injury to people or property resulting from any ideas, methods, instructions or products referred to in the content. |
© 2024 by the authors. Licensee MDPI, Basel, Switzerland. This article is an open access article distributed under the terms and conditions of the Creative Commons Attribution (CC BY) license (https://creativecommons.org/licenses/by/4.0/).
Share and Cite
Wang, S.; Lin, Y.; Zhang, Y. Mathematical Model of Horizontal Track Conflict Prevention Algorithm in Detect-and-Avoid Framework. Drones 2024, 8, 595. https://doi.org/10.3390/drones8100595
Wang S, Lin Y, Zhang Y. Mathematical Model of Horizontal Track Conflict Prevention Algorithm in Detect-and-Avoid Framework. Drones. 2024; 8(10):595. https://doi.org/10.3390/drones8100595
Chicago/Turabian StyleWang, Suli, Yunsong Lin, and Yuan Zhang. 2024. "Mathematical Model of Horizontal Track Conflict Prevention Algorithm in Detect-and-Avoid Framework" Drones 8, no. 10: 595. https://doi.org/10.3390/drones8100595
APA StyleWang, S., Lin, Y., & Zhang, Y. (2024). Mathematical Model of Horizontal Track Conflict Prevention Algorithm in Detect-and-Avoid Framework. Drones, 8(10), 595. https://doi.org/10.3390/drones8100595

