Modeling and Simulation of an Octorotor UAV with Manipulator Arm
Abstract
1. Introduction
Main Contribution
- A conceptual design of the octorotor UAV with the manipulator arm is proposed;
- The kinematic and dynamic equations are obtained using the Denavit–Hartenberg and Newton–Euler approaches, and two controllers based on PID structure are proposed, correspondingly;
- A simulation of the octorotor UAV with the manipulator arm is executed to highlight the navigation performance.
2. The Octorotor UAV with Manipulator Arm
2.1. Problem Statement
2.2. Conceptual Model of the Multirotor Vehicle
2.3. Conceptual Model of the Manipulator Arm
- (1.)
- The base is attached to the multirotor vehicle; this base has no joint movement and is considered a fixed base;
- (2.)
- Link 1 is attached to the fixed base and performs the movement of the first joint. This link has three servomotors;
- (3.)
- Link 2 joins with link 1 and perforns the movement of the second joint;
- (4.)
- Link 3 is the last and is attached to the end-effector whose motion is caused by a servomotor attached between link 2 and link 3;
- (5.)
- Servomotors move the first two joints;
- (6.)
- The end-effector of the manipulation arm.
2.4. Description of the Octorotor UAV
3. Mathematical Model of the Octorotor UAV with the Manipulator Arm
3.1. Kinematic Model
3.2. Dynamic Model of the Octorotor UAV
3.2.1. Thrust Force
3.2.2. Moments
3.3. Octorotor UAV and Manipulator Arm System
4. Controller of the Octorotor UAV with Manipulator Arm
4.1. Octorotor UAV Attitude Controller
4.2. Octorotor UAV Altitude Controller
4.3. Octorotor UAV Navigation Controller
4.4. Manipulator Arm Position Controller
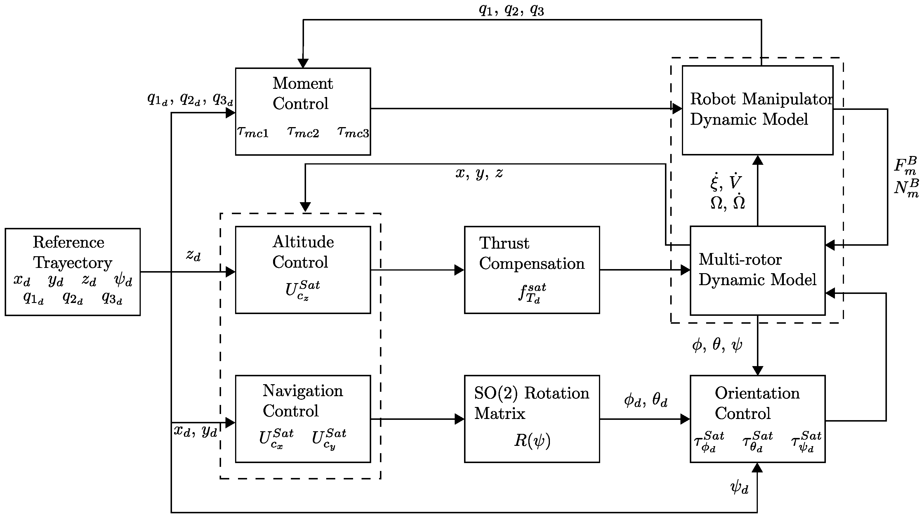
4.5. Controller of the Octorotor UAV with Manipulator Arm in SimMechanics
5. Experimental Simulation of Flight Controller in SimMechanics
5.1. Response of the Joint Positions of the Manipulator Arm
5.2. Attitude Flight Controller Response
5.3. Altitude and Navigation Flight Responses
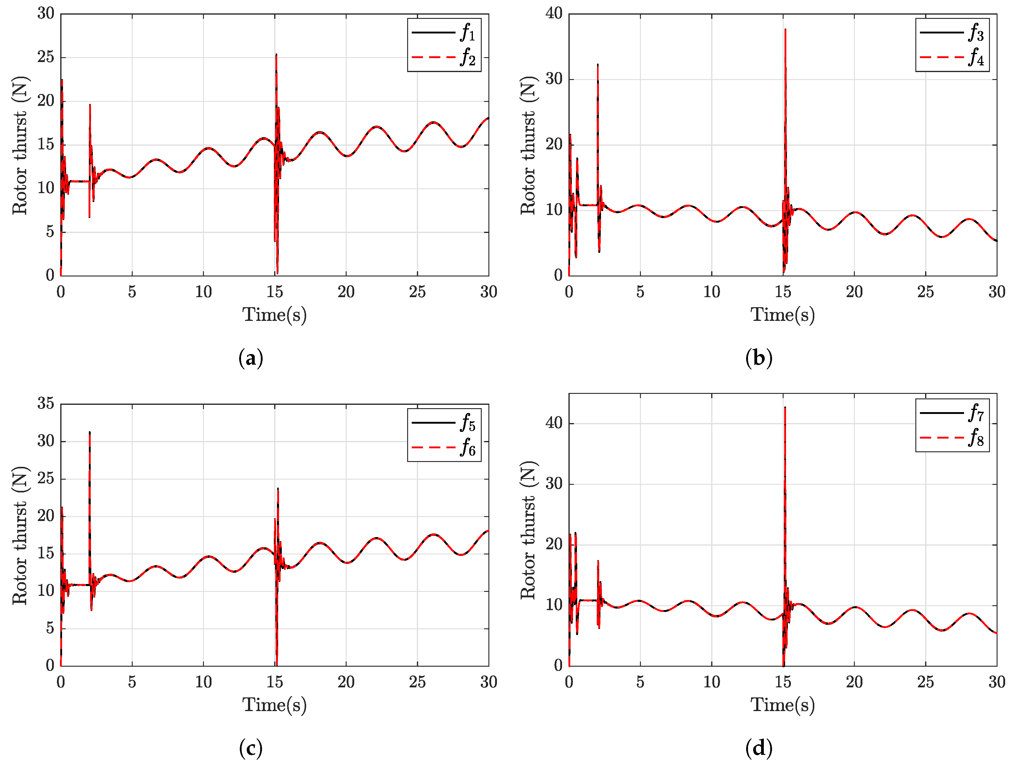
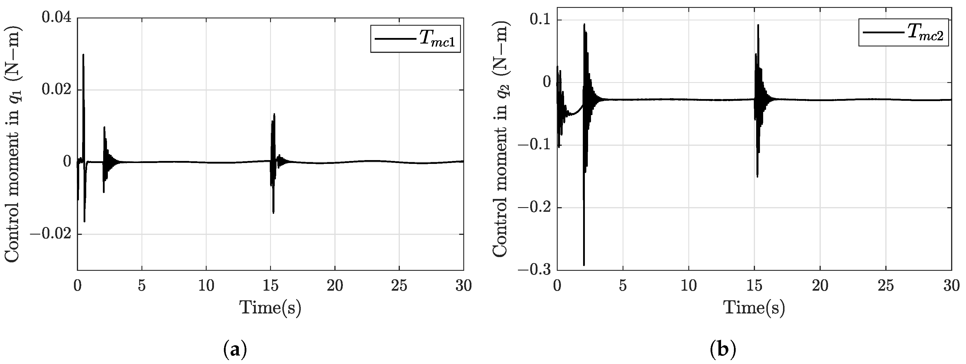
5.4. Speed Rotors, Disturbances, Forces, and Moments in the Octorotor UAV with Manipulator Arm
5.5. Simulation with a Disturbance
5.6. 3D Navigation Flight Controller
6. Conclusions
Author Contributions
Funding
Institutional Review Board Statement
Informed Consent Statement
Data Availability Statement
Acknowledgments
Conflicts of Interest
References
- Ebrahimy, A.; Zarafshan, P.; Hassan-Beygi, S.R.; Dehghani, M.; Hashemy, S.E. Design and Analysis of a Solar Linear Move Irrigation System. In Proceedings of the 2018 6th RSI International Conference on Robotics and Mechatronics (IcRoM), Tehran, Iran, 23–25 October 2018; pp. 382–387. [Google Scholar]
- Hajiahmadi, F.; Dehghani, M.; Zarafshan, P.; Moosavian, S.A.A.; Hassan-Beygi, S.R. Trajectory Control of a Robotic Carrier for Solar Power Plant Cleaning System. In Proceedings of the 2019 7th International Conference on Robotics and Mechatronics (ICRoM), Tehran, Iran, 20–21 November 2019; pp. 463–468. [Google Scholar]
- Hajiahmadi, F.; Zarafshan, P.; Dehghani, M.; Moosavian, S.A. A.; Hassan-Beygi, S.R. Dynamics Modeling and Position Control of a Robotic Carrier for Solar Panel Cleaning System. In Proceedings of the 2019 7th International Conference on Robotics and Mechatronics (ICRoM), Tehran, Iran, 20–21 November 2019; pp. 613–618. [Google Scholar]
- Cai, G.; Dias, J.; Seneviratne, L. A survey of small-scale unmanned aerial vehicles: Recent advances and future development trends. Unmanned Syst. 2014, 2, 175–199. [Google Scholar] [CrossRef]
- Freddi, A.; Lanzon, A.; Longhi, S. A feedback linearization approach to fault tolerance in quadrotor vehicles. IFAC Proc. Vol. 2011, 44, 5413–5418. [Google Scholar] [CrossRef]
- Ghadiok, V.; Goldin, J.; Ren, W. On the design and development of attitude stabilization, vision-based navigation, and aerial gripping for a low-cost quadrotor. Auton. Robot. 2012, 33, 41–68. [Google Scholar] [CrossRef]
- Doyle, C.E.; Bird, J.J.; Isom, T.A.; Kallman, J.C.; Bareiss, D.F.; Dunlop, D.J.; King, R.J.; Abbott, J.J. & Minor, M.A. An avian-inspired passive mechanism for quadrotor perching. IEEE/ASME Trans. Mechatronics 2013, 18, 506–517. [Google Scholar]
- Suarez, A.; Heredia, G.; Ollero, A. Lightweight compliant arm for aerial manipulation. In Proceedings of the 2015 IEEE/RSJ International Conference on Intelligent Robots and Systems (IROS), Hamburg, Germany, 28 September–3 October 2015; pp. 1627–1632. [Google Scholar]
- Danko, T.W.; Chaney, K.P.; Oh, P.Y. A parallel manipulator for mobile manipulating UAVs. In Proceedings of the 2015 IEEE international conference on technologies for practical robot applications (TePRA), Woburn, MA, USA, 11–12 May 2015; pp. 1–6. [Google Scholar]
- Mellinger, D.; Lindsey, Q.; Shomin, M.; Kumar, V. Design, modeling, estimation and control for aerial grasping and manipulation. In Proceedings of the 2011 IEEE/RSJ International Conference on Intelligent Robots and Systems, San Francisco, CA, USA, 25–30 September 2011; pp. 2668–2673. [Google Scholar]
- Korpela, C.M.; Danko, T.W.; Oh, P.Y. MM-UAV: Mobile manipulating unmanned aerial vehicle. J. Intell. Robot. Syst. 2012, 65, 93–101. [Google Scholar] [CrossRef]
- Cano, R.; Pérez, C.; Pruano, F.; Ollero, A.; Heredia, G. Mechanical design of a 6-DOF aerial manipulator for assembling bar structures using UAVs. In Proceedings of the 2nd RED-UAS 2013 Workshop on Research, Education and Development of Unmanned Aerial Systems, Compiegne, France, 20–22 November 2013; Volume 218. [Google Scholar]
- Bernard, M.; Kondak, K.; Maza, I.; Ollero, A. Autonomous transportation and deployment with aerial robots for search and rescue missions. J. Field Robot. 2011, 28, 914–931. [Google Scholar] [CrossRef]
- Michael, N.; Fink, J.; Kumar, V. Cooperative manipulation and transportation with aerial robots. Auton. Robot. 2011, 30, 73–86. [Google Scholar] [CrossRef]
- Hunt, G.; Mitzalis, F.; Alhinai, T.; Hooper, P.A.; Kovac, M. 3D printing with flying robots. In Proceedings of the 2014 IEEE International Conference on Robotics and Automation (ICRA), Hong Kong, China, 31 May–7 June 2014; pp. 4493–4499. [Google Scholar]
- Coulombe, C.; Saussié, D.; Achiche, S. Modeling and gain-scheduled control of an aerial manipulator. Int. J. Dyn. Control. 2022, 10, 217–229. [Google Scholar] [CrossRef]
- Ding, Y.; Wang, Y.; Chen, B. A practical time-delay control scheme for aerial manipulators. Proc. Inst. Mech. Eng. Part I J. Syst. Control. Eng. 2021, 235, 371–388. [Google Scholar] [CrossRef]
- Zhou, Z.; Wei, H.; Liu, X.; Lu, L.; Wang, Y.; Lv, Y. Modeling, Simulation and Verification of Quadrotor UAV. In Proceedings of the 2020 2nd International Conference on Robotics, Intelligent Control and Artificial Intelligence, Shanghai, China, 17–19 October 2020; pp. 44–48. [Google Scholar]
- Tandel, A.; Deshpande, A.R.; Deshmukh, S.P.; Jagtap, K.R. Modeling, analysis and PID controller implementation on double wishbone suspension using SimMechanics and Simulink. Procedia Eng. 2014, 97, 1274–1281. [Google Scholar] [CrossRef]
- Mariappan, S.M.; Veerabathiran, A. Modelling and simulation of multi spindle drilling redundant SCARA robot using SolidWorks and MATLAB/SimMechanics. Rev. Fac. Ing. Univ. Antioq. 2016, 63–72. [Google Scholar] [CrossRef]
- Kang, H.J.; Ro, Y.S. Robot manipulator modeling in Matlab-SimMechanics with PD control and online gravity compensation. In Proceedings of the International Forum on Strategic Technology 2010, Ulsan, Republic of Korea, 13–15 October 2010; pp. 446–449. [Google Scholar]
- Kathpal, A.; Singla, A. SimMechanics™ based modeling, simulation and real-time control of Rotary Inverted Pendulum. In Proceedings of the 2017 11th International Conference on Intelligent Systems and Control (ISCO), Coimbatore, India, 5–6 January 2017; pp. 166–172. [Google Scholar]
- Shaoqiang, Y.; Zhong, L.; Xingshan, L. Modeling and simulation of robot based on Matlab/SimMechanics. In Proceedings of the 2008 27th Chinese Control Conference, Kunming, China, 16–18 July 2008; pp. 161–165. [Google Scholar]
- Jatsun, S.; Lushnikov, B.; Emelyanova, O.; Leon, A.S. M. Synthesis of simmechanics model of quadcopter using solidworks CAD translator function. In Proceedings of the 15th International Conference on Electromechanics and Robotics “Zavalishin’s Readings”, ER(ZR) 2020, Ufa, Russia, 15–18 April 2020; pp. 125–137. [Google Scholar]
- Udai, A.D.; Rajeevlochana, C.G.; Saha, S.K. Dynamic simulation of a KUKA KR5 industrial robot using MATLAB SimMechanics. In Proceedings of the 15th National Conference on Machines and Mechanisms, Chennai, India, 30 November–2 December 2011; Volume 96, pp. 1–8. [Google Scholar]
- Bajd, T.; Mihelj, M.; Lenarčič, J.; Stanovnik, A.; Munih, M. Robotics; Springer Science & Business Media: Heidelberg, Germany, 2010; Volume 43. [Google Scholar]
- Stengel, R.F. Flight Dynamics; Princeton University Press: Princeton, NJ, USA, 2004. [Google Scholar]
- Stevens, B.L.; Lewis, F.L. Aircraft Control and Simulation; John Wiley and Sons: Hoboken, NJ, USA, 1992. [Google Scholar]























| Parameter | Value | Parameter | Value | Parameter | Value |
|---|---|---|---|---|---|
| m | (kg) | (kg–m) | |||
| g | (m/s) | d | (m) | (kg–m) | |
| (kg–m) |
| Parameter | Value | Parameter | Value | Parameter | Value |
|---|---|---|---|---|---|
| (kg) | (m) | (N–m) | |||
| (kg) | (m) | (N–m) | |||
| (kg) | (m) | (N–m) |
| Gain | Value | Gain | Value | Gain | Value |
|---|---|---|---|---|---|
| 20 | 20 | 10,000 | |||
| 3000 | |||||
| 15 | 15 | 2000 |
| Gain | Value | Gain | Value | Gain | Value |
|---|---|---|---|---|---|
| 30 | 1000 | 30 | |||
| 1 | 800 | 1 | |||
| 20 | 1200 | 20 |
| Gain | Value | Gain | Value | Gain | Value |
|---|---|---|---|---|---|
| 5 | 3 | 5 | |||
| 1 | 4 | 6 | |||
Disclaimer/Publisher’s Note: The statements, opinions and data contained in all publications are solely those of the individual author(s) and contributor(s) and not of MDPI and/or the editor(s). MDPI and/or the editor(s) disclaim responsibility for any injury to people or property resulting from any ideas, methods, instructions or products referred to in the content. |
© 2023 by the authors. Licensee MDPI, Basel, Switzerland. This article is an open access article distributed under the terms and conditions of the Creative Commons Attribution (CC BY) license (https://creativecommons.org/licenses/by/4.0/).
Share and Cite
Ollervides-Vazquez, E.J.; Tellez-Belkotosky, P.A.; Santibañez, V.; Rojo-Rodriguez, E.G.; Reyes-Osorio, L.A.; Garcia-Salazar, O. Modeling and Simulation of an Octorotor UAV with Manipulator Arm. Drones 2023, 7, 168. https://doi.org/10.3390/drones7030168
Ollervides-Vazquez EJ, Tellez-Belkotosky PA, Santibañez V, Rojo-Rodriguez EG, Reyes-Osorio LA, Garcia-Salazar O. Modeling and Simulation of an Octorotor UAV with Manipulator Arm. Drones. 2023; 7(3):168. https://doi.org/10.3390/drones7030168
Chicago/Turabian StyleOllervides-Vazquez, Edmundo Javier, Pablo A. Tellez-Belkotosky, Victor Santibañez, Erik G. Rojo-Rodriguez, Luis A. Reyes-Osorio, and Octavio Garcia-Salazar. 2023. "Modeling and Simulation of an Octorotor UAV with Manipulator Arm" Drones 7, no. 3: 168. https://doi.org/10.3390/drones7030168
APA StyleOllervides-Vazquez, E. J., Tellez-Belkotosky, P. A., Santibañez, V., Rojo-Rodriguez, E. G., Reyes-Osorio, L. A., & Garcia-Salazar, O. (2023). Modeling and Simulation of an Octorotor UAV with Manipulator Arm. Drones, 7(3), 168. https://doi.org/10.3390/drones7030168

