Joint Optimization for Energy Efficiency in UAV-Enabled Networks
Highlights
- The proposed method employs ground user scheduling and UAV trajectory planning to enhance energy efficiency in a UAV-enabled network.
- The primary goal of these methods is to optimize energy usage while improving the data delivery rate.
- The key constraints in the UAV-enabled network include communication, trajectory, and scheduling.
- The problem is formulated as a mixed-integer non-convex optimization problem and is addressed using linear programming, successive convex optimization, and a block coordinate descent algorithm.
Abstract
1. Introduction
Motivation and Contributions
- To improve energy efficiency, we investigate how to optimize a network of UAVs with many ground users and many UAVs simultaneously. The optimization involves four related factors: channel parameters, trajectory, energy use, and UAV communication scheduling. The MINCO problem () is the raw problem. We break it down into two subproblems while maintaining coupling constraints: the linear-programming problem of ground user scheduling () and the non-convex problem of UAV trajectory planning (). We use its structure to solve individual problems in two ways: by SCA based on Taylor expansions with probabilistic channel modeling, and by linear programming with continuous relaxation.
- Our proposed method accounts for Rician fading and outage probability constraints in the Quadratically Constrained Quadratic Programming (QCQP) formulation. This means that it takes into account how channels actually work, making it more likely that the throughput forecasts will match real-world UAV communication situations compared to earlier SCA methods that assumed that links were always reliable.
- We save energy by combining trajectory planning and scheduling, which also helps ground users save energy. Our proposed model accounts for factors that earlier studies did not, such as hovering in cities, control signals from above, and increased energy use due to many UAVs in the same area.
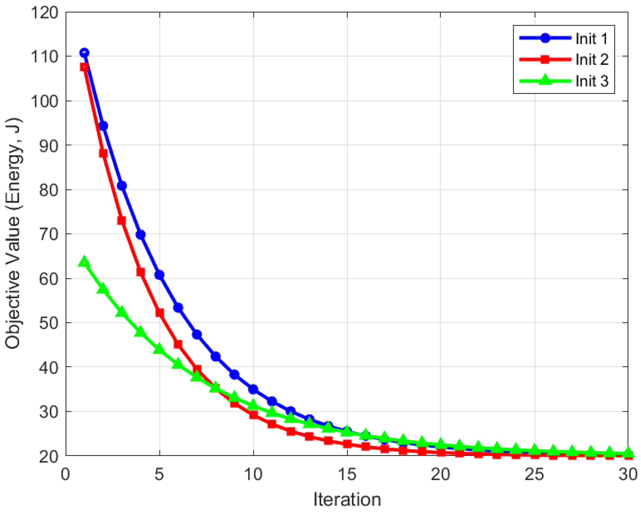
- We used the BCD algorithm, which provides formal convergence guarantees, to perform a thorough convergence analysis. We achieve this by updating variables repeatedly until all improvements are fully realized. We also evaluate the algorithm’s sensitivity to initialization and analyze its convergence characteristics, especially in the context of non-convex trajectory constraints.
- Simulations validate the proposed joint optimization approach. The results show that the algorithm converges rapidly and achieves higher energy efficiency than benchmark schemes. The effects of the Rician factor, outage probability, and UAV trajectory on energy efficiency are also studied.
2. Related Work
3. The Proposed System Model
3.1. Trajectory and Mobility
3.2. Channel Model
3.3. Communication Model
3.4. Energy Model
4. Problem Formulation
5. Proposed Solutions
| Algorithm 1 User Scheduling () |
|
5.1. User Scheduling
| Algorithm 2 Trajectory Optimization |
|
5.2. Trajectory Optimization
| Algorithm 3 BCD with Coupling Maintenance |
|
6. Results and Discussion
6.1. Performance Analysis
- Higher speeds result in links that are two to six times shorter, enabling much higher data rates.
- Reducing the length of transmission windows is more energy-friendly.
6.2. Algorithm Performance
6.2.1. Rician K-Factor
6.2.2. BCD Convergence
6.2.3. Scalability
6.2.4. Outage Probability Constraints
6.2.5. Multi-UAV Impact
7. Conclusions
Author Contributions
Funding
Data Availability Statement
Acknowledgments
Conflicts of Interest
References
- Karaman, B.; Basturk, I.; Taskin, S.; Kara, F.; Zeydan, E.; Yanikomeroglu, H. Enhancing Resiliency of Integrated Space-Air-Ground-Sea Networks with Renewable Energies: A Use Case After the 2023 Türkiye Earthquake. IEEE Commun. Mag. 2024, 62, 104–111. [Google Scholar] [CrossRef]
- Kwasinski, A. Effects of Hurricane Ian on Communication Networks and Electric Power Infrastructures. In Proceedings of the 2023 Resilience Week (RWS); IEEE: Piscataway, NJ, USA, 2023; pp. 1–7. [Google Scholar]
- Paniagua-Gómez, M.; Fernandez-Carmona, M. Trends and Challenges in Real-Time Stress Detection and Modulation: The Role of the IoT and Artificial Intelligence. Electronics 2025, 14, 2581. [Google Scholar] [CrossRef]
- Zeng, Y.; Zhang, R.; Lim, T.J. Wireless communications with unmanned aerial vehicles: Opportunities and challenges. IEEE Commun. Mag. 2016, 54, 36–42. [Google Scholar] [CrossRef]
- Yang, S.; Luo, Y.; Miao, W.; Ge, C.; Sun, W.; Luo, C. RF signal-based UAV detection and mode classification: A joint feature engineering generator and multi-channel deep neural network approach. Entropy 2021, 23, 1678. [Google Scholar] [CrossRef]
- Bor-Yaliniz, I.; Yanikomeroglu, H. The new frontier in RAN heterogeneity: Multi-tier drone-cells. IEEE Commun. Mag. 2016, 54, 48–55. [Google Scholar] [CrossRef]
- Hayat, S.; Yanmaz, E.; Muzaffar, R. Survey on unmanned aerial vehicle networks for civil applications: A communications viewpoint. IEEE Commun. Surv. Tutor. 2016, 18, 2624–2661. [Google Scholar] [CrossRef]
- Mohsan, S.A.H.; Khan, M.A.; Noor, F.; Ullah, I.; Alsharif, M.H. Towards the unmanned aerial vehicles (UAVs): A comprehensive review. Drones 2022, 6, 147. [Google Scholar] [CrossRef]
- Zhan, C.; Zeng, Y.; Zhang, R. Energy-efficient data collection in UAV enabled wireless sensor network. IEEE Wirel. Commun. Lett. 2017, 7, 328–331. [Google Scholar] [CrossRef]
- Alzenad, M.; El-Keyi, A.; Yanikomeroglu, H. 3-D placement of an unmanned aerial vehicle base station for maximum coverage of users with different QoS requirements. IEEE Wirel. Commun. Lett. 2017, 7, 38–41. [Google Scholar] [CrossRef]
- Tesfay, C.H.; Xiang, Z.; Yang, L.; Berwo, M.A.; Mahmood, J.; Chaudhry, S.A. An effective and efficient UAV leader selection scheme in swarm of UAVs. Phys. Commun. 2024, 67, 102513. [Google Scholar] [CrossRef]
- Zeng, Y.; Zhang, R.; Lim, T.J. Throughput maximization for UAV-enabled mobile relaying systems. IEEE Trans. Commun. 2016, 64, 4983–4996. [Google Scholar] [CrossRef]
- Liao, Y.; Chen, X.; Xia, S.; Ai, Q.; Liu, Q. Energy minimization for UAV swarm-enabled wireless inland ship MEC network with time windows. IEEE Trans. Green Commun. Netw. 2022, 7, 594–608. [Google Scholar] [CrossRef]
- Qian, L.P.; Zhang, H.; Wang, Q.; Wu, Y.; Lin, B. Joint multi-domain resource allocation and trajectory optimization in UAV-assisted maritime IoT networks. IEEE Internet Things J. 2022, 10, 539–552. [Google Scholar] [CrossRef]
- Dai, H.; Yang, Y.; Zhang, K.; Hao, J.; Li, B. Spectrum and Energy Efficiency Optimization for UAV Enabled Integrated Sensing and Communication. In Proceedings of the 2025 IEEE 25th International Conference on Communication Technology (ICCT); IEEE: Piscataway, NJ, USA, 2025; pp. 1064–1068. [Google Scholar]
- Tan, X.; Tian, F.; Feng, X.; Wu, W. Energy-Efficient Optimization for UAV-ISAC with Joint Adaptive Task Scheduling, Power Allocation and Trajectory Planning. In Proceedings of the 2025 IEEE 25th International Conference on Communication Technology (ICCT); IEEE: Piscataway, NJ, USA, 2025; pp. 990–996. [Google Scholar]
- Liu, B.; Zhu, H. Energy-effective data gathering for UAV-aided wireless sensor networks. Sensors 2019, 19, 2506. [Google Scholar] [CrossRef]
- Wu, H.; Wu, M.; Peng, W.; Chen, S.; Feng, Z. ITS: Improved Tabu Search Algorithm for Path Planning in UAV-Assisted Edge Computing Systems. In Proceedings of the 2023 IEEE International Conference on Web Services (ICWS); IEEE: Piscataway, NJ, USA, 2023; pp. 340–349. [Google Scholar]
- Nassereddin, K.; Al-Hubaishi, M. Energy-Efficient Multi-UAV Trajectory Planning Using Machine Learning. In Proceedings of the 2025 International Conference on Intelligent Computing, Information and Control Systems (ICOIICS); IEEE: Piscataway, NJ, USA, 2025; pp. 410–416. [Google Scholar]
- Bakirci, M. A Novel Swarm Unmanned Aerial Vehicle System: Incorporating Autonomous Flight, Real-Time Object Detection, and Coordinated Intelligence for Enhanced Performance. Trait. Signal 2023, 40, 2063–2078. [Google Scholar] [CrossRef]
- Sun, Y.; Xu, D.; Ng, D.W.K.; Dai, L.; Schober, R. Optimal 3D-trajectory design and resource allocation for solar-powered UAV communication systems. IEEE Trans. Commun. 2019, 67, 4281–4298. [Google Scholar] [CrossRef]
- Fu, Z.; Liu, J.; Mao, Y.; Qu, L.; Xie, L.; Wang, X. Energy-efficient UAV-assisted federated learning: Trajectory optimization, device scheduling, and resource management. IEEE Trans. Netw. Serv. Manag. 2025, 22, 974–988. [Google Scholar] [CrossRef]
- Al-Hourani, A.; Kandeepan, S.; Lardner, S. Optimal LAP altitude for maximum coverage. IEEE Wirel. Commun. Lett. 2014, 3, 569–572. [Google Scholar] [CrossRef]
- Matolak, D.W.; Sun, R. Unmanned aircraft systems: Air-ground channel characterization for future applications. IEEE Veh. Technol. Mag. 2015, 10, 79–85. [Google Scholar] [CrossRef]
- Gou, H.; Zhao, S.; Rao, Y.; Zhang, G.; Sha, J.; Lu, Z.; Du, P. Energy-Efficient Trajectory Design and Resource Allocation for Multi-UAV-Enabled ISAC in IoT Networks. IEEE Trans. Consum. Electron. 2025, 72, 1672–1684. [Google Scholar] [CrossRef]
- Ponniah, J.; Dantsker, O.D. Strategies for scaleable communication and coordination in multi-agent (uav) systems. Aerospace 2022, 9, 488. [Google Scholar] [CrossRef]
- Jing, L.; Wang, H.; Qin, Z.; Zhao, Y.; Zhu, Y.; Zhao, W. Energy-Efficient 3D Trajectory Optimization and Resource Allocation for UAV-Enabled ISAC Systems. Entropy 2026, 28, 248. [Google Scholar] [CrossRef]
- Ijaz, H.; Ahmad, R.; Ahmed, R.; Ahmed, W.; Kai, Y.; Jun, W. A UAV-assisted edge framework for real-time disaster management. IEEE Trans. Geosci. Remote Sens. 2023, 61, 1001013. [Google Scholar] [CrossRef]
- Li, M.; He, S.; Li, H. Minimizing mission completion time of UAVs by jointly optimizing the flight and data collection trajectory in UAV-enabled WSNs. IEEE Internet Things J. 2022, 9, 13498–13510. [Google Scholar] [CrossRef]
- Chen, Q. Joint trajectory and resource optimization for UAV-enabled relaying systems. IEEE Access 2020, 8, 24108–24119. [Google Scholar] [CrossRef]
- Cao, S.; Zhan, Z.; Dai, C.; Chen, S.; Zhang, W.; Han, Z. Delay-aware and energy-efficient IoT task scheduling algorithm with double blockchain enabled in cloud–fog collaborative networks. IEEE Internet Things J. 2023, 11, 3003–3016. [Google Scholar] [CrossRef]
- Wang, X.; Wu, P.; Yuan, X.; Hu, Y.; Zhang, Y. Joint Trajectory and User Scheduling Design for UAV-Assisted Secure Communication. In Proceedings of the 2024 19th International Symposium on Wireless Communication Systems (ISWCS); IEEE: Piscataway, NJ, USA, 2024; pp. 1–6. [Google Scholar]
- Al-Hourani, A.; Kandeepan, S.; Jamalipour, A. Modeling air-to-ground path loss for low altitude platforms in urban environments. In Proceedings of the 2014 IEEE Global Communications Conference; IEEE: Piscataway, NJ, USA, 2014; pp. 2898–2904. [Google Scholar]
- Sun, R.; Matolak, D.W.; Rayess, W. Air-ground channel characterization for unmanned aircraft systems—Part IV: Airframe shadowing. IEEE Trans. Veh. Technol. 2017, 66, 7643–7652. [Google Scholar] [CrossRef]
- Ma, H.; Tao, Y.; Fang, Y.; Chen, P.; Li, Y. Multi-Carrier Initial-Condition-Index-Aided DCSK Scheme: An Efficient Solution for Multipath Fading Channel. IEEE Trans. Veh. Technol. 2025, 74, 15743–15757. [Google Scholar] [CrossRef]
- Matolak, D.W.; Sun, R. Air–ground channel characterization for unmanned aircraft systems—Part I: Methods, measurements, and models for over-water settings. IEEE Trans. Veh. Technol. 2016, 66, 26–44. [Google Scholar] [CrossRef]
- Esmail, M.A.; Fathallah, H.; Alouini, M.S. Outage probability analysis of FSO links over foggy channel. IEEE Photonics J. 2017, 9, 1–12. [Google Scholar] [CrossRef]
- Guerra, A.; Guidi, F.; Dardari, D.; Djurić, P.M. Networks of UAVs of low complexity for time-critical localization. IEEE Aerosp. Electron. Syst. Mag. 2022, 37, 22–38. [Google Scholar] [CrossRef]
- Hu, H.; Song, W.; Wang, Q.; Hu, R.Q.; Zhu, H. Energy efficiency and delay tradeoff in an MEC-enabled mobile IoT network. IEEE Internet Things J. 2022, 9, 15942–15956. [Google Scholar] [CrossRef]
- Han, Z.; Zhou, T.; Xu, T.; Hu, H. Joint user association and deployment optimization for delay-minimized UAV-aided MEC networks. IEEE Wirel. Commun. Lett. 2023. [Google Scholar] [CrossRef]
- Zeng, Y.; Chen, S.; Cui, Y.; Yang, J.; Fu, Y. Joint resource allocation and trajectory optimization in UAV-enabled wirelessly powered MEC for large area. IEEE Internet Things J. 2023, 10, 15705–15722. [Google Scholar] [CrossRef]
- Sun, L.; Wan, L.; Wang, J.; Lin, L.; Gen, M. Joint resource scheduling for UAV-enabled mobile edge computing system in Internet of Vehicles. IEEE Trans. Intell. Transp. Syst. 2022, 24, 15624–15632. [Google Scholar] [CrossRef]
- Radhakrishnan, V.; Wu, W. Energy Efficient Communication Design in UAV Enabled WPCN Using Dome Packing Method in Water Distribution System. Energies 2022, 15, 3844. [Google Scholar] [CrossRef]
- Xie, J.; Fu, Q.; Jia, R.; Lin, F.; Li, M.; Zheng, Z. Optimal Energy and Delay Tradeoff in UAV-Enabled Wireless Sensor Networks. Drones 2023, 7, 368. [Google Scholar] [CrossRef]
- Sun, Z.; Yang, D.; Xiao, L.; Cuthbert, L.; Wu, F.; Zhu, Y. Joint energy and trajectory optimization for UAV-enabled relaying network with multi-pair users. IEEE Trans. Cogn. Commun. Netw. 2020, 7, 939–954. [Google Scholar] [CrossRef]
- Huang, X.; Wen, Y.; Leng, S.; Zhang, Y. Distributed energy-efficient computation offloading and trajectory planning in aerial edge networks. In Proceedings of the GLOBECOM 2022-2022 IEEE Global Communications Conference; IEEE: Piscataway, NJ, USA, 2022; pp. 1746–1751. [Google Scholar]
- Guo, L.; Zhang, S.; Ji, X. Joint optimization for energy efficient full-duplex UAV relaying with multiple user pairs. Comput. Netw. 2024, 253, 110732. [Google Scholar] [CrossRef]
- Li, Y.; Ding, H.; Yang, Z.; Li, B.; Liang, Z. Integrated trajectory optimization for UAV-enabled wireless powered MEC system with joint energy consumption and AoI minimization. Comput. Netw. 2024, 254, 110842. [Google Scholar] [CrossRef]
- Yang, Y.; Pesavento, M. A unified successive pseudoconvex approximation framework. IEEE Trans. Signal Process. 2017, 65, 3313–3328. [Google Scholar] [CrossRef]
- Danilova, M.; Dvurechensky, P.; Gasnikov, A.; Gorbunov, E.; Guminov, S.; Kamzolov, D.; Shibaev, I. Recent theoretical advances in non-convex optimization. In High-Dimensional Optimization and Probability: With a View Towards Data Science; Springer: Berlin/Heidelberg, Germany, 2022; pp. 79–163. [Google Scholar]
- Yang, H.; Xie, X. Energy-efficient joint scheduling and resource management for UAV-enabled multicell networks. IEEE Syst. J. 2019, 14, 363–374. [Google Scholar] [CrossRef]
- Janji, S.; Kliks, A. Energy-Efficient User Clustering for UAV-Enabled Wireless Networks Using EM Algorithm. In Proceedings of the 2021 International Conference on Software, Telecommunications and Computer Networks (SoftCOM); IEEE: Piscataway, NJ, USA, 2021; pp. 1–6. [Google Scholar]
- Zhou, R.; Palomar, D.P. Solving high-order portfolios via successive convex approximation algorithms. IEEE Trans. Signal Process. 2021, 69, 892–904. [Google Scholar] [CrossRef]
- Mozaffari, M.; Saad, W.; Bennis, M.; Debbah, M. Mobile unmanned aerial vehicles (UAVs) for energy-efficient Internet of Things communications. IEEE Trans. Wirel. Commun. 2017, 16, 7574–7589. [Google Scholar] [CrossRef]
- Ono, F.; Ochiai, H.; Miura, R. A wireless relay network based on unmanned aircraft system with rate optimization. IEEE Trans. Wirel. Commun. 2016, 15, 7699–7708. [Google Scholar] [CrossRef]
- Hong, M.; Razaviyayn, M.; Luo, Z.Q.; Pang, J.S. A unified algorithmic framework for block-structured optimization involving big data: With applications in machine learning and signal processing. IEEE Signal Process. Mag. 2015, 33, 57–77. [Google Scholar] [CrossRef]
- Wu, Q.; Zeng, Y.; Zhang, R. Joint trajectory and communication design for multi-UAV enabled wireless networks. IEEE Trans. Wirel. Commun. 2018, 17, 2109–2121. [Google Scholar] [CrossRef]
- Tian, H.; Jia, X.; Liang, W.; Bao, H. Energy Efficient Tradeoff Scheme for UAV-Assisted Wireless Sensor Network Data Collection. In Proceedings of the 2025 IEEE 25th International Conference on Communication Technology (ICCT); IEEE: Piscataway, NJ, USA, 2025; pp. 985–989. [Google Scholar]















| Abbreviation | Meaning |
|---|---|
| AoI | Age-of-Information |
| BS | Base Station |
| BCD | Block Coordinate Descent |
| CDF | Cumulative Distribution Function |
| ISP | Internet Service Provider |
| IoT | Internet of Things |
| IoV | Internet of Vehicles |
| Kc | K-factor |
| LoS | Line-of-Sight |
| MINCO | Mixed-Integer Non-Convex Optimization |
| NLoS | None-Line-of-Sight |
| QCQP | Quadratically Constrained Quadratic Programming |
| SCA | Successive Convex Approximation |
| SCO | Successive Convex Optimization |
| TBS | Terrestrial Base Station |
| UAV | Unmanned Aerial Vehicle |
| Study Area | Reference | Contributions | Limitations |
|---|---|---|---|
| UAV Deployment | Zeng et al. [12] | Optimal UAV altitude balancing path loss and LoS probability | Ignores Ground User (GU) energy constraints; oversimplified channel model |
| Mozaffari et al. [21] | Probabilistic LoS model for 3D placement in urban areas | Static UAVs; no energy-aware scheduling | |
| Sharma et al. [28] | Post-earthquake deployment using seismic data | Neglects fading effects and GU battery limitations | |
| Trajectory Optimization | Zhan et al. [9] | Propulsion energy minimization via velocity control | Simplified LoS model; no fairness mechanism |
| Li et al. [29] | Non-convex optimization for mission time minimization | Assumes fixed-rate links; ignores fading | |
| Chen et al. [30] | Multi-UAV trajectory–resource co-optimization using MARL | No joint scheduling; ignores GU energy | |
| Energy-Aware Scheduling | Chen et al. [30] | Joint trajectory-scheduling for UAV energy efficiency | Neglects ground device energy constraints |
| Cao et al. [31] | Sum-user energy minimization with TDMA scheduling | Static UAVs; ignores trajectory dynamics | |
| Wang et al. [32] | Network lifetime maximization in UAV-IoT networks | Overlooks fading-induced outages | |
| Channel Modeling | Al-Hourani et al. [33] | Elevation-dependent LoS/NLoS path loss models | No small-scale fading characterization |
| Matolak et al. [34,36] | Rician K-factor dependence on altitude/environment | Not integrated with energy optimization | |
| MEC & Energy–Delay Trade-offs | Han et al. [40] | Task delay minimization in UAV-MEC networks | Focuses on UAV energy; ignores GU fairness |
| Xie et al. [44] | Energy–delay trade-off in multi-UAV sensor networks | Simplified channel models | |
| Guo et al. [47] | Joint trajectory–power-scheduling for fixed-wing UAVs | Assumes free-space LoS; no outage analysis | |
| Algorithmic Approaches | Li et al. [48] | AoI–energy trajectory optimization | Focuses on UAV energy; ignores GU energy and fading |
| Yang et al. and Danilova et al. [49,50] | Unified BCD-SCA for wireless resource allocation | Not applied to MINCO problems with outage constraints | |
| Energy Efficiency | Proposed work | Ground user and UAVs’ energy efficiency using joint optimization (LP, SCA, and BCD). | Null |
| Key Symbols | Definitions |
|---|---|
| The maximum travel distance. | |
| The distance between the ground user and the UAV in each time slot. | |
| The horizontal distance between the ground user and the UAV. | |
| The cumulative distribution function of the outage probability. | |
| The average channel power gain. | |
| The Rician channel coefficient. | |
| The path loss for LoS conditions between the user and UAV. | |
| The path loss for NLoS conditions between the user and UAV. | |
| The average path loss between the user and UAV’s steps to slot n. | |
| Scheduling variables. | |
| The maximum speed of the UAV. | |
| The UAV trajectory can be divided into different sequences based on the discrete time n. | |
| The elevation angle of the UAV with the ground users. |
| Parameters | Description | Values |
|---|---|---|
| Rician factor | 10 | |
| Maximum UAV speed | 50 M/s | |
| Transmit power | 0.1 W | |
| Noise power spectral density | −110 dBm | |
| ℶ | SNR gap | 7 dB |
| B | Bandwidth | 1 MHz |
| H | Height of UAV from the ground | 100 M |
| Frequency | 2.4 GHz | |
| c | Speed of light | 3 × m/s |
| Reference channel power | −60 dBm | |
| UAV weight | 2 Kg | |
| A | Rotor disc area | 0.2 m |
| Air density | 1.225 Kg/ | |
| Bland velocity | 40 m/s |
| Reference | Time | Energy Used | Data Transmission Rates | Propulsion Energy |
|---|---|---|---|---|
| Chen et al. [30] | 300 s | - | 0.925 bps/Hz | 2.5 Wh |
| Guo et al. [47] | 40 s | 11 kbits/J | - | - |
| 80 s | 14.5 kbits/J | - | - | |
| 120 s | 17 kbits/J | - | - | |
| Wu et al. [57] | 75 s | 0.5 W | 1.8434 bps | - |
| Tian et al. [58] | - | 2.5 J | 30 bps | - |
| Ours | 40 s | GU 5 J | 10–20 bps/Hz | 2.3 Wh |
| 80 s | GU 5 J | 10–20 bps/Hz | 4.52 Wh | |
| 120 s | GU 5 J | 10–20 bps/Hz | 5.92 Wh |
Disclaimer/Publisher’s Note: The statements, opinions and data contained in all publications are solely those of the individual author(s) and contributor(s) and not of MDPI and/or the editor(s). MDPI and/or the editor(s) disclaim responsibility for any injury to people or property resulting from any ideas, methods, instructions or products referred to in the content. |
© 2026 by the authors. Licensee MDPI, Basel, Switzerland. This article is an open access article distributed under the terms and conditions of the Creative Commons Attribution (CC BY) license.
Share and Cite
Tesfay, C.H.; Xiang, Z.; Yang, L.; Mahmood, J.; Chaudhry, S.A.; Das, A.K. Joint Optimization for Energy Efficiency in UAV-Enabled Networks. Drones 2026, 10, 262. https://doi.org/10.3390/drones10040262
Tesfay CH, Xiang Z, Yang L, Mahmood J, Chaudhry SA, Das AK. Joint Optimization for Energy Efficiency in UAV-Enabled Networks. Drones. 2026; 10(4):262. https://doi.org/10.3390/drones10040262
Chicago/Turabian StyleTesfay, Cheru Haile, Zheng Xiang, Long Yang, Jabar Mahmood, Shehzad Ashraf Chaudhry, and Ashok Kumar Das. 2026. "Joint Optimization for Energy Efficiency in UAV-Enabled Networks" Drones 10, no. 4: 262. https://doi.org/10.3390/drones10040262
APA StyleTesfay, C. H., Xiang, Z., Yang, L., Mahmood, J., Chaudhry, S. A., & Das, A. K. (2026). Joint Optimization for Energy Efficiency in UAV-Enabled Networks. Drones, 10(4), 262. https://doi.org/10.3390/drones10040262

