Next Article in Journal
Distributed Task Allocation Algorithm for Heterogeneous UAVs Based on Reinforcement Learning
Next Article in Special Issue
Role-Structured Multi-Agent Pursuit–Evasion with Potential Game Constraints for Heterogeneous Airship–UAV Systems
Previous Article in Journal
Soft Actor-Critic-Based Power Optimization Method for UAV Wireless Charging Systems
Previous Article in Special Issue
UAV Cooperative Search Method Based on Asynchronous Collaborative Hybrid Architecture Under Urban Communication Constraints
 
 
Font Type:
Arial Georgia Verdana
Font Size:
Aa Aa Aa
Line Spacing:
Column Width:
Background:
Article

Adaptive Prescribed-Performance Guidance Law for UAVs with Predefined-Time Convergence

1
Control and Simulation Center, Harbin Institute of Technology, Harbin 150001, China
2
Shanghai Aerospace System Engineering Institute, Shanghai 201109, China
3
National Key Laboratory of Complex Systems Control and Intelligent Cooperation, Beijing 100074, China
*
Author to whom correspondence should be addressed.
Drones 2026, 10(3), 219; https://doi.org/10.3390/drones10030219
Submission received: 9 February 2026 / Revised: 14 March 2026 / Accepted: 18 March 2026 / Published: 20 March 2026
(This article belongs to the Special Issue UAV Swarm Intelligent Control and Decision-Making)

Highlights

What are the main findings?
  • A novel prescribed performance control (PPC) method is developed, which robustly modifies traditional performance function to achieve predefined-time convergence without control singularity, even under the uncertainty of target maneuver.
  • An integrated guidance framework is constructed by synthesizing the prescribed-performance control with an adaptive law, achieving predefined-time convergence of the line-of-sight angle and uncertainty compensation simultaneously.
What are the implications of the main findings?
  • This work addresses the control singularity issue, which is intractable for PPC-based guidance laws against highly maneuverable targets, providing a reliable guidance scheme for unmanned aerial vehicles (UAVs) in complex environments.
  • The developed guidance framework can be adapted to UAVs, effectively improving the guidance accuracy and time controllability in dynamic pursuer–evader scenarios.

Abstract

In order to evade interception, advanced aircraft often adopt jump-gliding trajectories to efficiently utilize aerodynamics and achieve complex maneuvers. Precise guidance of UAVs for intercepting such targets is critically challenged due to their high speed and uncertain maneuvers. For terminal guidance scenarios, the extremely short engagement window necessitates strict convergence within the predefined finite time. While PPC offers a promising framework to ensure such convergence with guaranteed transient performance, it suffers from singularity when target uncertainties drive tracking errors beyond performance bounds. To address these challenges, this paper proposes an adaptive prescribed-performance guidance law with predefined-time convergence for UAVs. Built upon the analysis that jump-gliding targets exhibit predominantly longitudinal oscillatory maneuvers, we first establish a velocity model to characterize their motion uncertainties. Using the derived uncertainty bounds and estimated parameters, a predefined-time performance function (PPF) is then developed and robustly modified to eliminate the singularity risk. By integrating this modified PPC with an adaptive law, the proposed framework achieves robust predefined-time convergence of the line-of-sight angle while simultaneously compensating for unknown target maneuvers. Theoretical analysis verifies the framework’s stability, and simulation results demonstrate its effectiveness in intercepting highly maneuverable targets.

1. Introduction

The pursuit of non-cooperative aerial targets is a critical task for UAVs in various applications, including surveillance, tracking, and some dynamic mission scenarios [1,2]. This interception scenario is inherently a two-player pursuer–evader game, where the UAV pursuer aims to minimize the miss distance and satisfy terminal constraints, while the non-cooperative target acts as the evader, maximizing its maneuver uncertainty to evade interception [3,4]. As a typical evasive strategy, high-speed aircraft often adopt jump-gliding maneuvering to extend range and enhance survivability, which poses significant challenges to the guidance systems of UAV pursuers [5,6]. The trajectories of jump-gliding targets exhibit highly nonlinear, quasi-periodic oscillations with significant aerodynamic uncertainties [7,8]. Although some online estimation techniques, such as Kalman filter [9] and Gaussian process-based method [10], are employed to observe the states of the targets, they struggle to achieve ideal estimation accuracy in practice due to the low predictability of jump-gliding trajectories. Furthermore, the sheer velocity of these targets drastically compresses the available time window for terminal guidance, demanding not merely asymptotic but finite-time or even prescribed-time convergence of guidance errors [11]. Different from the common guidance task, it is necessary to pursue jump-gliding targets with a specific terminal angle, which ensures sensor visibility and guidance effectiveness [12,13].
From the perspective of pursuit-evasion games, the jump-gliding maneuver of the evader aims to reduce the guidance accuracy of the pursuer by introducing maneuver uncertainties, while prolonging the engagement duration until the game ends. Therefore, from the pursuer’s standpoint, it must be capable of countering or suppressing the evader’s maneuver uncertainty to ensure guidance accuracy, and furthermore, the guidance errors must converge within a predefined time to achieve successful interception (shown in Figure 1). This necessitates the development of advanced guidance laws that are inherently robust and adaptive to maneuvering targets, and capable of ensuring prescribed performance.
However, existing methods are hardly capable of accomplishing such a multi-objective guidance task. Classical approaches like proportional navigation are highly sensitive to accurate target maneuver models, leading to large miss distances against high-speed unknown targets [14,15]. While modern optimal guidance laws can handle the terminal angle constraints, they typically require extensive information and lack inherent robustness against significant uncertainties [16,17]. Sliding mode guidance laws offer robustness to uncertainties by employing discontinuous control actions that force the system state to converge to the predefined sliding surface [18,19]. However, traditional sliding surfaces often only ensure asymptotic convergence, failing to meet the critical finite-time pursuit requirements.
The framework of prescribed performance control (PPC) has emerged as a promising solution for regulating transient and steady-state tracking performance [20]. By confining the error trajectory within a predefined, exponentially decaying bound, PPC-based guidance laws can theoretically manage constraints like impact angles [21,22,23,24,25]. Li [21] developed a terminal guidance law incorporating impact angle, acceleration, and autopilot dynamics constraints. Song [22] designed a robust PPC guidance and autopilot controller to improve robustness and transient response. Zhang [23] introduced a cooperative mid-course guidance law for multi-UAVs formation under uncontrollable speed, combining leader–follower strategy with prescribed performance control. Li [24] proposed a prescribed performance law for three-dimensional (3D) impact-angle control with field-of-view limits, employing a new performance function and a bias term. Ming [25] presented a terminal guidance law using prescribed performance and nonsingular terminal sliding mode to pursue maneuvering targets with impact angle constraints.
Despite the extensive applications in guidance design, the direct application of the PPC method to pursue highly maneuvering targets remains challenging, primarily due to its lack of strict predefined-time convergence guarantee and the robustness against uncertainties. Standard exponential performance bounds do not allow the designer to explicitly prescribe the exact convergence time, which is crucial for time-sensitive pursuer–evader scenarios. More critically, under large disturbances or highly uncertain maneuvers of targets, the guidance errors may violate the rigid performance bound, triggering control singularity and causing system instability [26,27]. This fragility severely limits the practical utility of conventional PPC in such guidance scenarios.
To address the aforementioned limitations, this paper proposes a novel adaptive prescribed-performance guidance law with predefined-time convergence. The main contributions of this paper are summarized as following three aspects:
  • A kinematics-based velocity model of jump-gliding targets is established by solving the non-homogeneous system of longitudinal maneuver. This model serves as a foundation for the subsequent design of the guidance law and the specification of the guidance performance.
  • A predefined-time performance function (PPF), which eliminates singularity through robust design, is developed in this paper. A boundness condition for the maneuver uncertainty is obtained from the established velocity model, by which the performance function is modified to be singularity-free.
  • Building upon the proposed PPF, a comprehensive guidance framework is constructed by integrating a non-singular terminal sliding mode scheme with an adaptive law. This integration enables simultaneous realization of two objectives: a. effective compensation for maneuvering uncertainties of targets; and b. predefined-time convergence of the line-of-sight angle.
Through theoretical analysis, this paper demonstrates the stability of the proposed guidance framework. Simulation results indicate that the proposed guidance law can effectively engage maneuvering targets within an appointed time.
The remainder of this paper is organized as follows: Section 2 formulates the problem, detailing the dynamic model of the target and the engagement geometry. Section 3 presents the core design, including the PPF and the adaptive guidance law using PPC scheme. Stability is rigorously analyzed in Section 3. Section 4 provides numerical simulations validating the effectiveness and superiority of the proposed method. Finally, conclusions are drawn in Section 5.

2. Problem Formulation

2.1. Dynamic Model of the Maneuvering Targets

The jump-gliding targets are subjected to the earth’s gravity and aerodynamic forces. Taking the gravitational acceleration g = 9.8   m / s 2 , the nonlinear dynamics of the targets are characterized by the standard flight dynamics equations (see [28] for details):
V ˙ t = D m g sin γ t γ ˙ t = L m V t cos σ + V t r t g V t cos γ t ϕ ˙ t = L sin σ m V t cos γ t r ˙ t = V t sin γ t ϑ ˙ t = V t cos γ t cos ϕ t r t cos φ φ ˙ t = V t cos γ t sin ϕ t r t
where V t  is the velocity of the target, γ t  denotes the flight path angle, ϕ t  denotes the velocity heading angle, σ  denotes the bank angle, r t  is the geocentric distance, ϑ t  and  φ t  are the latitude and the longitude of the target, respectively. D  and  L  represent the drag and lift forces, respectively. According to the analysis presented in [29], the longitudinal and lateral maneuvers can be decoupled within a short pursuit cycle, and lateral maneuvers can be ignored due to their slow variation within the short guidance phase. The geocentric distance is much larger than the flight altitude, so the terms related to r t  can also be neglected. Consequently, Equation (1) can be reduced to
q ˙ 1 q ˙ 2 = A 1 η η 1 q 1 q 2 g 0 ,
where q 1 = V t sin γ t , q 2 = V t cos γ t . Regarding the auxiliary variables A = D / m V t  and  η = L / D  as constants, the solution to the above non-homogeneous system associated with V t  is given by
V t sin γ t = c 0 γ + c 1 γ e A t sin ω t + α γ , V t cos γ t = η c 0 + c 1 e A t cos ω t + α γ ,
which demonstrates a sinusoidal-like trajectory of the target’s maneuver. The auxiliary variables used in (2) are as follows
c 0 γ = V t 0 sin γ t 0 g A 1 + η 2 δ sin α γ ; ω = A η ; c 1 γ = g A 1 + η 2 δ ; α γ = tan 1 1 + ε 1 + η 2 sin γ t 0 η + ε 1 + η 2 cos γ t 0 ;
where V t 0  and  γ t 0  are the initial velocity and flight path angle. Other variables are given by ε = A V t 0 / g , ς = arctan 1 / η  and  δ = 1 + ε 2 1 + η 2 + 2 ε sin γ t 0 η cos γ t 0 .
Remark 1.
The treatment of A  and  η  as constants follows the widely adopted frozen-parameter assumption commonly used in hypersonic trajectory analysis [2,29]. This assumption is justified from two aspects: (1) Within the short terminal guidance phase, the variations in Mach number and velocity are limited, resulting in only small changes in A  and  η . (2) The resulting sinusoidal form has been shown to reasonably approximate the real flight trajectory in [29] with simulation results, supporting its validity for guidance design purposes.

2.2. 3D Guidance Dynamics

Consider a 3D engagement scenario containing a UAV and a target, where the target is modeled in Section 2.1, and the corresponding guidance geometry is illustrated in Figure 2. Herein, M x y z  is defined as a reference frame, with the origin located at the UAV’s center of mass. M x 1 y 1 z 1  demonstrates the line-of-sight (LOS) frame, which is obtained by rotating the M x y z  frame through the LOS angle q = [ q ε , q β ] T . The position vector from the UAV to the target is expressed in the LOS frame as
R m t = R cos q ε cos q β , cos q ε sin q β , sin q ε T ,
where R  represents the distance between UAV and target. In practice, the guidance law is active only while the relative distance remains above a certain threshold; beyond this point, the UAV switches to a collision course to avoid singularity. Consequently, for the entire duration where the proposed guidance law is active, R ( t ) R f > 0  holds. Differentiating (3) with respect to time and using the kinematic relation R ¨ m t = a t a m  yields the relative acceleration equations (see [30])
R ¨ R q ˙ ε 2 R q ˙ β 2 cos 2 q ε = a T r a M r , R q ¨ ε + 2 R ˙ q ˙ ε + R q ˙ β 2 sin q ε cos q ε = a T ε a M ε , R q ¨ β cos q ε 2 R ˙ q ˙ β cos q ε + 2 R q ˙ ε q ˙ β sin q ε = a T β a M β .
where a m = [ a M r , a M ε , a M β ] T  and  a t = [ a T r , a T ε , a T β ] T  denote the acceleration vectors of UAV and target in the LOS frame. The target acceleration is obtained by transforming its flight-path acceleration a t b = [ V ˙ t , V t γ ˙ t , V t ϕ ˙ t cos γ t ] T  into the LOS coordinates. Substituting the target velocity model (2) into this transformation yields the explicit expressions:
a T ε = c t e A t cos ω t + α t cos q ε + c t e A t sin ω t + α t sin q ε cos ϕ q β ,
a T β = c t e A t sin ω t + α t sin ϕ q β .
where c t = c 1 γ A 2 + ω 2  and  α t = α γ + arctan A / ω .
In the guidance control system, the objective is to design the UAV’s acceleration α m  such that the LOS rate q ˙  converges, thereby achieving target pursuit. Specifically, to pursue highly maneuverable targets, references [31,32] indicate that the UAV should maintain a terminal angle, thus improving sensor visibility and guidance effectiveness. Therefore, this paper reformulates the pursuit problem as a control problem for the LOS angle. It is important to emphasize that if the LOS angle settles at a constant value, the LOS rate will correspondingly converge to a neighborhood of the origin, thereby ensuring a successful engagement of the target by the UAV. Defining a constant desired LOS angle as q f = [ q ε f , q β f ] T  ( q ˙ f = 0 ), the tracking error and the angular rate are formulated as
x 1 = q ε q ε f q β q β f , x 2 = q ˙ ε q ˙ β .
By collecting the results in (4)–(6), a guidance model is given by
x ˙ 1 = x 2 , x ˙ 2 = F + B u + d ,
where
F = q ˙ β 2 cos q ε sin q ε 2 R ˙ q ˙ ε R 2 q ˙ β q ˙ ε tan q ε 2 R ˙ q ˙ β R ; B = 1 R 0 0 1 R cos q ε ;
d = c t R e A t cos ω t + α t cos q ε + sin ω t + α t sin q ε cos ϕ t q β c t e A t sin ω t + α t sin ϕ t q β R cos q ε ,
and u = [ a M ε , a M β ] T  is the system input. Engaging a highly maneuverable target generally requires the UAV to adopt a head-on pursuit, which implies that the LOS angle is small, i.e., q max q q max , resulting in cos q ε 0 . Since R > 0  is satisfied before the interception time, input matrix B  is non-singular. The vector form of (8) is described as
x ˙ = f x , u 0 ; 1 T d ,
where x = x 1 , x 2 T  is an integrated state vector, 0 = d i a g 0 , 0  is a zero matrix and 1 = d i a g 1 , 1  is an identity matrix
Lemma 1.
Consider the function f x , u = [ x 2 , F + B u ] T  where the state  x  and input  u  are evolved in a compact set D 4 × 2 . the function f x , u  is Lipschitz continuous with respect to  x , and there exists a Lipschitz constant  L D > 0 .
Proof. 
The smoothness of trigonometric and algebraic operations, together with the non-singularity of B  (guaranteed by R > 0  and  cos q ε 0 ), ensures that every entry of f x , u  is continuously differentiable with respect to x  on the compact set D . A continuously differentiable function on a compact set has a bounded Jacobian, which directly implies Lipschitz continuity. Hence, there exists a finite Lipschitz constant L D > 0  dependent on the bounds of R , q , and the diameter of D .□
Assumption 1.
The kinematic parameters in Equations (5) and (6) are assumed to be bounded, and can be estimated by the detection system, where the estimates can be denoted as c ^ t ,   ω ^ ,   α ^ t . According to the analysis in [2], these estimation results are subject to small errors, implying the following relationship
c ^ t = c t + Δ c t , ω ^ = ω + Δ ω , α ^ t = α t + Δ α t ,
where Δ c t ,   Δ ω ,   Δ α t  are bounded errors.
Remark 2.
Since the parameters in Assumption 1 are all bounded, it is easy to verify that there exists an unknown positive constant d max  such that d d max  with  R > 0 .
Given the disturbed guidance model illustrated in (9), this work aims to design a guidance law u  to ensure the convergence of the LOS error, thereby guaranteeing successful engagement of the target by the UAV.

3. Adaptive Guidance Law with Predefined-Time Convergence

Based on the established guidance model accounting for the maneuver uncertainty of the target, this Section details the design of a novel adaptive guidance law using the PPC technique. The core objective is to enforce the LOS to converge to the desired angle in finite time, thereby guaranteeing a successful interception. To effectively govern both the transient and steady-state performance, a prescribed performance function with the predefined-time convergence property is constructed. The constrained error dynamics are then transformed into an unconstrained system via the error mapping technique.
A sliding mode surface is synthesized from the transformed error, and a robust sliding mode controller is developed to fast drive the sliding mode variable to zero under uncertainty of the target. The robustness is achieved by a dedicated adaptive law, which continuously estimates the bound of the uncertainty and provides real-time compensation. The overall architecture, integrating these components, is illustrated in Figure 3.

3.1. Predefined-Time Performance Function

To specify the transient and steady-state performance of the tracking error, e t = x 1 t = e ε t , e β t T , the performance function is designed in this section. In particular, a performance function should satisfy the following definition.
Definition 1.
A continuous function ρ : R + R +  is called a performance function if it satisfies:
(1)
ρ t  is positive and strictly decreasing;
(2)
lim t ρ t = ρ > 0
Based on the design principle of the PPC method, the tracking error should be restricted within the region between two performance functions, which is given by
ρ d , i t < e i t < ρ u , i t , i ε , β ,
where ρ d , i  and  ρ u , i  are the lower bound and upper bound. Following Definition 1, ρ d , i  and  ρ u , i  are realized through cosine-like functions:
ρ u , i ( t ) = ρ u 0 , i ρ u , i 2 cos π t t f , i + ρ u 0 , i + ρ u , i 2   0 t < t f , i , ρ u , i   t t f , i ,
ρ d , i ( t ) = ρ d 0 , i ρ d , i 2 cos π t t f , i + ρ d 0 , i + ρ d , i 2   0 t < t f , i , ρ d , i   t t f , i ,
where t f , i  represents a predefined convergence time. It is easy to check that the both functions will smoothly transfer from initial values ρ u 0 , i , ρ d 0 , i  to final values ρ u , i , ρ d , i , i ε , β . According to the performance specification, these parameters can be determined by user in the offline stage. The first derivative of the performance function ρ u , i  is obtained as follows:
ρ ˙ u , i ( t ) = π ( ρ u 0 , i ρ u , i ) 2 t f , i sin ( π t t f , i ) , 0 t < t f , i , 0   , t t f , i ,
which indicates the following properties:
(1)
when t = 0 ,   ρ ˙ u , i ( 0 ) = 0  holds;
(2)
when t t f ,   lim t t f ρ ˙ u , i ( t ) = 0  holds;
(3)
when t t f ,   ρ ˙ u , i ( t ) = 0  holds;
Despite the satisfactory dynamic performance delivered by PPC, it has a notable issue: once the states violate the performance bounds, the singularity problem of controller solving is inevitable. Such an issue is especially prominent in the guidance system involving the maneuver uncertainty of targets, as studied in this work. Therefore, it is necessary to modify the performance bounds in response to accommodate the effect of uncertainty, thereby preventing singularity phenomena. First and foremost, it is essential to quantify the effect of uncertainties, which is analyzed by the following lemma:
Lemma 2.
Consider the guidance system (9) and its nominal counterpart x ¯ ˙ = f ( x ¯ , u )  with initial condition  x ( 0 ) = x ¯ ( 0 ) . If the inequality  L D < A  holds, the deviation between the actual and nominal state is bounded by
x ( t ) x ¯ ( t ) c t e A L D t R f L D 5 + 1 cos 2 q max , t > 0 .
Proof. 
Considering the boundness of the trigonometric functions, it is easy to find that d  satisfies
d t = d 1 2 t + d 2 2 t c t e A t R 5 + 1 cos 2 q max c t e A t R f 5 + 1 cos 2 q max .
Define the error x ˜ ( t ) = x ( t ) x ¯ ( t ) . Its dynamics are:
x ˜ ˙ ( t ) = f ( x , u ) f ( x ¯ , u ) + d ( t ) .
Taking norms and applying the Lipschitz condition along with the disturbance bound yields:
x ˜ ˙ ( t ) f ( x , u ) f ( x ¯ , u ) + d ( t ) L D x ˜ ( t ) + d t .
Applying the Gronwall–Bellman inequality gives:
x ˜ ( t ) 0 t e L D ( t τ ) d τ d τ , c t R f 5 + 1 cos 2 q max e L D t e A t L D + A .
Since e L D t e A t L D + A 1 L D e ( A L D ) t , the above inequality is bounded by an exponentially decaying function:
x ˜ ( t ) c t R f L D 5 + 1 cos 2 q max e ( A L D ) t .
which ends the proof. □
Given that c t  in Lemma 2 is not exactly known, the estimated value c t  is adopted to replace c t . Hence, the performance functions are modified to
ρ 1 , i ( t ) = ρ u , i ( t ) + ψ ( t ) , ρ 2 , i ( t ) = ρ d , i ( t ) ψ ( t ) ,
where the correction signal ψ ( t )  is given by
ψ t = c ^ t e A L D t R f L D 5 + 1 cos 2 q max .
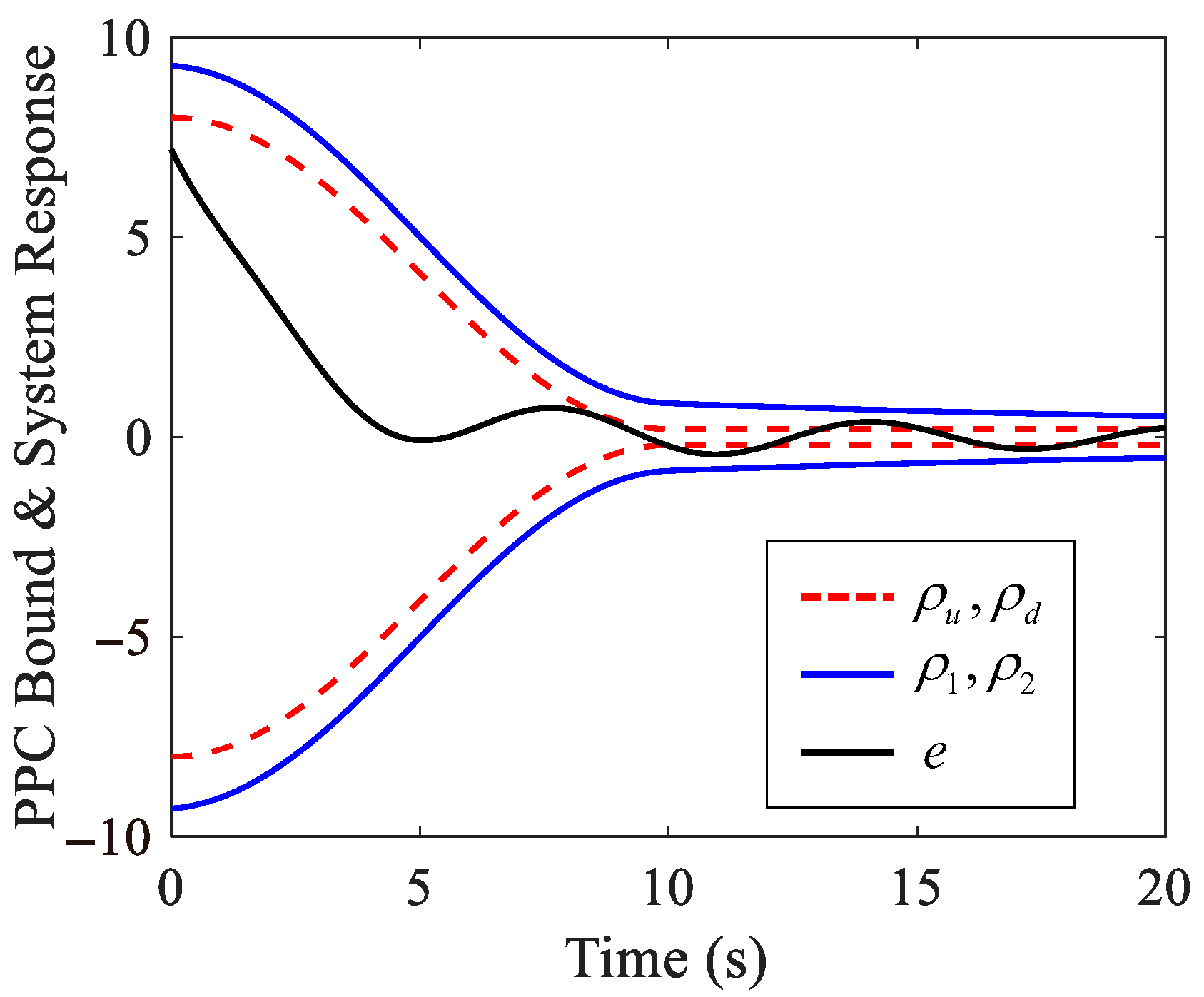
The difference between these two performance functions can be observed in Figure 4. It can be seen that the tracking error exceeds ρ d , i  and  ρ u , i , triggering the singularity issue. In contrast, the tracking error always maintains within the region between ρ 1 , i  and  ρ 2 , i .
A mapping mechanism is introduced here:
ε = ε ε ε β = ln ( e ε ρ 2 , ε ) ln ( ρ 1 , ε e ε ) ln ( e β ρ 2 , β ) ln ( ρ 1 , β e β ) ,
where ε ( t )  is a transformed error vector. Taking the first derivative of the transformed error obtains:
ε ˙ = r a e ˙ V a ,
where r a  and  V a  are given by
r a = ρ 1 , ε ρ 2 , ε ( e ε ρ 2 , ε ) ( ρ 1 , ε e ε ) 0 0 ρ 1 , β ρ 2 , β ( e β ρ 2 , β ) ( ρ 1 , β e β ) ,
V a = ρ ˙ 2 , ε e ε ρ 2 , ε + ρ ˙ 1 , ε ρ 1 , ε e ε ρ ˙ 2 , β e β ρ 2 , β + ρ ˙ 1 , β ρ 1 , β e β .
In this paper, r a  is non-singular due to the modification design of ρ 1 , i  and  ρ 2 , i .

3.2. Adaptive Predefined-Time Controller with Prescribed Performance

In this section, a PPC-based controller is designed to guarantee the predefined-time convergence of guidance error, while an adaptive-law-based compensation control is generated to suppress the effect of the maneuver uncertainty of the target. The overall control framework is illustrated in Figure 3. In order to ensure the fast convergence of the transformed error ε , a finite-time sliding mode surface is formulated as follows:
s = ε ˙ + a ε + b ε p / q sgn ( ε ) ,
where a 2 × 2 , b 2 × 2  are diagonal gain matrices to be designed, and p , q  are positive odd integers with the constraint 1 < p / q < 2 , ensuring the desired convergence properties. sgn ( )  denotes the sign function. To ensure that the system state reaches the sliding surface s = 0  within finite time, a fast power-reaching law is applied:
s ˙ = k 1 s k 2 s u / v sgn ( s ) ,
where k 1 2 × 2 , k 2 2 × 2  are diagonal gain matrices to be designed, and u , v  are positive odd integers with the constraint 0 < u / v < 1 . Differentiating the sliding surface s  yields:
s ˙ = ε ¨ + a ε ˙ + p q b ε p / q 1 ε ˙ .
Taking the derivative of ε ˙  gives
ε ¨ = r ˙ a x 2 + r a ( F + B u + d ) V ˙ a .
Rearranging the above equation gives:
ε ¨ = Φ a + r a B u + r a d ,
where Φ a  is provided by
r a B u = k 1 s k 2 s u / v sgn ( s ) r a d a ε ˙ b p q ε p / q 1 ε ˙ Φ a .
Substituting (20) and (23) into (21) obtains
r a B u = k 1 s k 2 s u / v sgn ( s ) r a d a ε ˙ b p q ε p / q 1 ε ˙ Φ a .
Hence, an achievable control law can be designed as
u c = B 1 K ^ sgn ( s ) r a 1 B 1 [ Φ a + a ε ˙ + p q b ε p / q 1 ε ˙ + k 1 s + k 2 s u / v sgn ( s ) ] ,
where B 1 K ^ sgn ( s )  is a robust action to suppress the effect of uncertainty, and the last term is a PPC-based sliding mode controller. K ^  denotes an adaptive gain, which is an estimate of a positive constant K *  with K * > d . A well-known issue with such an adaptive scheme is the gain drift issue: even when the disturbance is small or zero, any nonzero tracking error s 0  (e.g., due to measurement noise) will cause K ^ ( t )  to increase indefinitely. To address this issue, a projection operator is introduced, yielding the following adaptive law:
K ^ ˙ = γ s σ K ^ ,
where γ > 0  is a positive learning rate, and σ > 0  is a correction coefficient.

3.3. Stability Analysis

Define the estimation error as K ˜ = K * K ^ . Since K *  is a constant satisfying K * > d , the equation of estimation error is obtained as
K ˜ ˙ = σ K ˜ γ r a s + σ K * .
Substituting (22) and (25) into (21) yields the actual dynamics of the sliding surface:
s ˙ = k 1 s k 2 s u v sgn ( s ) + r a d K ^ sgn ( s ) .
By analyzing the above error dynamics, we can draw the following stability conclusion.
Theorem 1.
Consider the guidance dynamics given by model (8) under Assumptions 1. Suppose that guidance law (25) is implemented with the adaptive law (26), then the resulting closed-loop system is stable, and the errors e t , s t , ε t , and K ^ t  are uniformly ultimately bounded. For the sake of readability, the proof is located in Appendix A.
Remark 3.
The proposed three-dimensional guidance law (25) is inherently applicable to combined maneuvers involving lateral turns. The adaptive law can estimate the composite disturbance containing longitudinal and lateral uncertainties, enabling effective compensation. However, when the target executes simultaneous longitudinal oscillations and lateral maneuvers, obtaining an analytical characterization of the disturbance becomes difficult, which complicates the precise adjustment of the PPFs. In such cases, a more conservative bound based on the target’s maximum maneuver capability can be employed to ensure singularity-free operation. Future work will explore more advanced disturbance observation techniques to address this limitation.

4. Simulation Results

In this section, numerical simulations are carried out to evaluate the performance of the proposed adaptive prescribed-performance guidance law. The target considered is a typical jump-gliding vehicle, whose maneuver profile and kinematic parameters are adopted from [2]. Four cases are designed to comprehensively assess different aspects of the guidance system:
(1)
Case 1 compares the proposed method with the conventional PPC guidance law, highlighting the improvement in interception performance and the effective mitigation of the singularity issue.
(2)
Case 2 investigates the robustness of the proposed guidance law under various initial engagement geometries by varying the initial positions of the UAV and the target.
(3)
Case 3 examines the guidance performance under strong target maneuver uncertainties.
(4)
Case 4 presents a sensitivity analysis with respect to key design parameters of the guidance law, illustrating their influence on convergence accuracy and control effort.
The jump-gliding trajectory of the target is generated using the model described in [2], and the detailed initial conditions for the UAV and target in each case are listed in Table 1. The parameters of the guidance law (25) are summarized in Table 2. To quantitatively evaluate the interception performance, three metrics are employed: the miss distance, the interception time, and the root mean square error (RMSE) of the LOS angle. The miss distance is defined as the closest distance between the UAV and the target during the engagement, i.e., R m i s s = min t R t . The interception time is the time instant when the relative distance between the UAV and the target first reaches its minimum. The LOS angle RMSE is computed over the entire guidance phase as
e R M S E = 1 N k = 1 N x 1 ( t k ) 2 ,
where N  is the number of sampling instants. This metric reflects the overall accuracy of the LOS angle regulation. The statistical results of the four cases are summarized in Table 3.

4.1. Performance Comparison with Conventional PPC Guidance Law

In this subsection, the proposed guidance law is compared with the conventional PPC guidance law. It should be noted that the conventional PPC employs the original performance function without the uncertainty-based boundary modification introduced in Equations (12) and (13), whereas the proposed method adopts the modified performance bounds defined in Equation (15). The simulation results are presented in Figure 5.
As can be observed, the modified performance boundaries effectively accommodate the error variations induced by target uncertainties, and the tracking errors in both the elevation and azimuth channels converge to within 0.5 °  at the terminal time. In contrast, for the conventional PPC without boundary adjustment, the elevation error exceeds the upper bound of the prescribed performance function at approximately t = 30.8   s , triggering a control singularity and causing the simulation to terminate prematurely. These results clearly demonstrate that the proposed method alleviates the singularity issue inherent in conventional PPC under significant maneuver uncertainties.
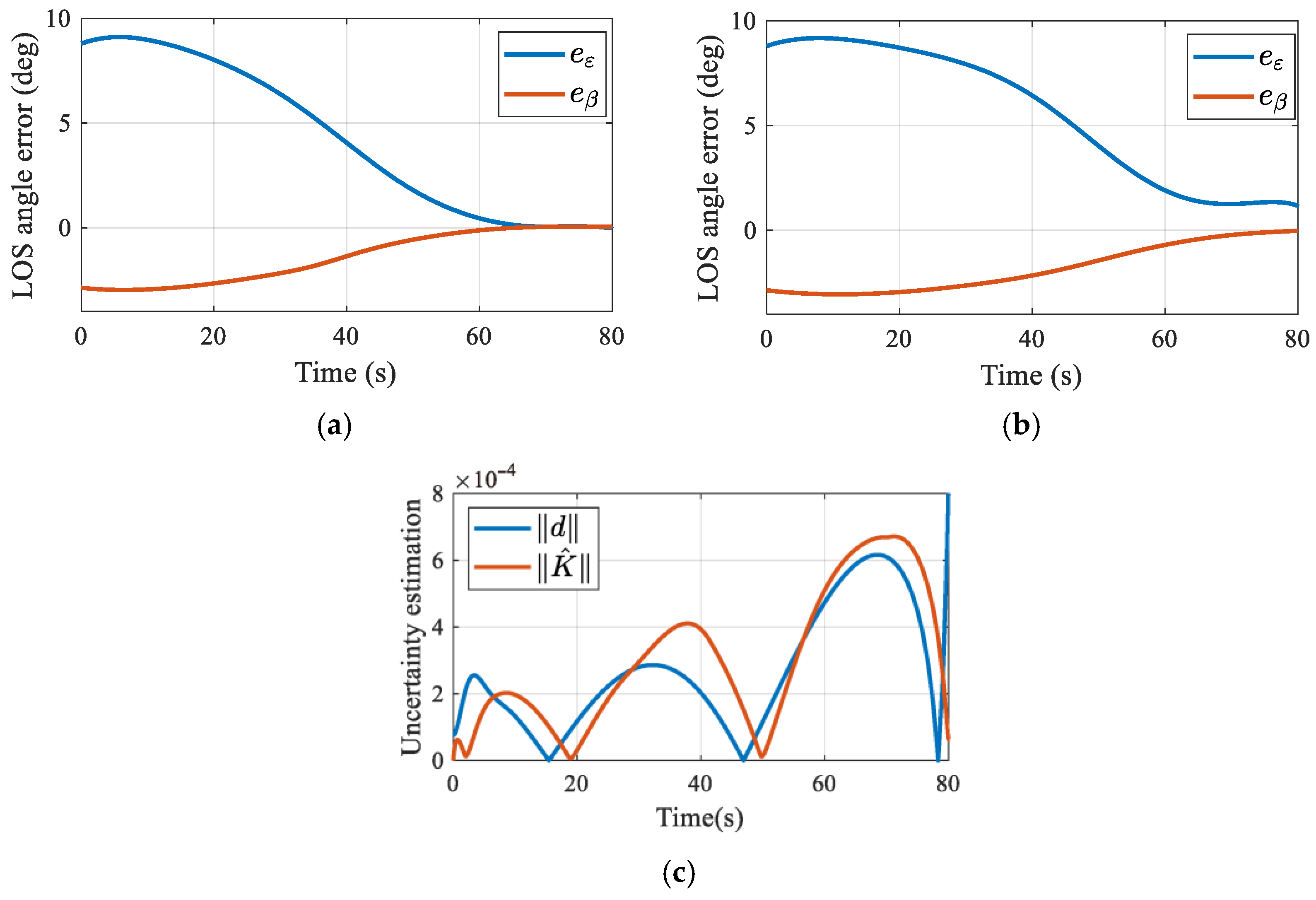
To further validate the effectiveness of the adaptive mechanism in suppressing target-induced uncertainties, the proposed guidance law is compared with a pure PPC version, which is obtained by removing the adaptive term from the control law (i.e., setting K ^ = 0 ). Since the pure PPC lacks uncertainty compensation, it is more prone to control singularity caused by the tracking error exceeding the prescribed bounds. To ensure a fair comparison and allow the simulation to run to completion, the performance function bounds for the pure PPC are appropriately enlarged to prevent premature termination.
The comparative results are presented in Figure 6. It can be observed that the LOS errors of the proposed method eventually converge to zero throughout the engagement, whereas the pure PPC exhibits significantly larger deviations. Table 3 further confirms that the proposed approach achieves a smaller miss distance. Moreover, the evolution of the adaptive gain K ^ , also shown in Figure 6c demonstrates that K ^  approximately tracks the upper bound of the lumped disturbance d t , thereby providing effective compensation and enhancing guidance accuracy. These results clearly highlight the necessity and benefits of the adaptive term in dealing with severe maneuver uncertainties.

4.2. Interception Performance Under Different Initial Conditions

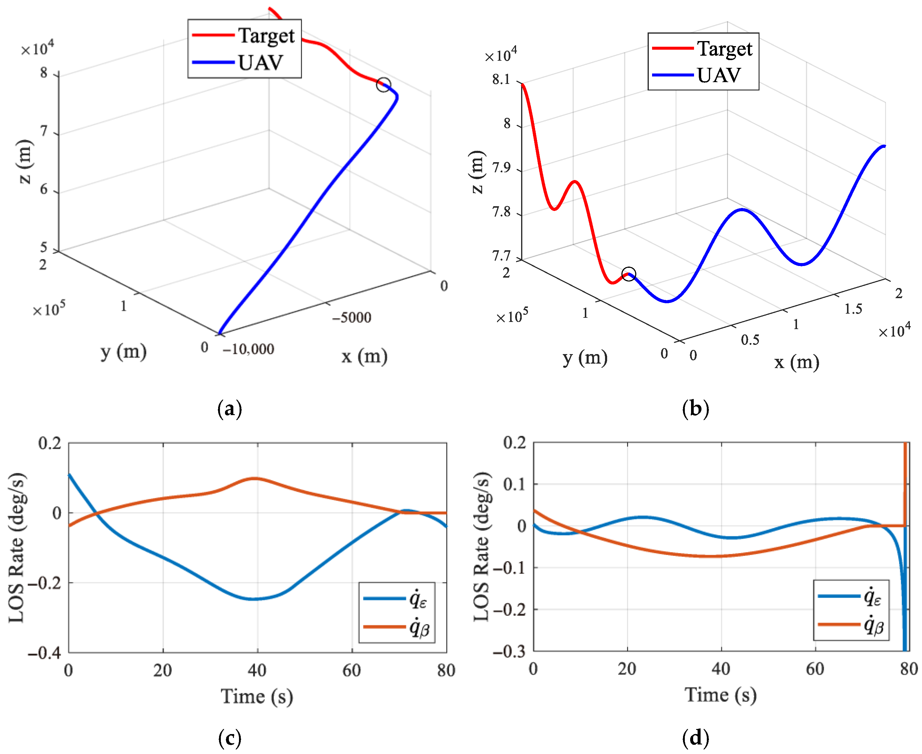
In this subsection, the adaptability of the proposed guidance law to different engagement geometries is evaluated by varying the initial positions of the UAV and the target, as summarized in Table 1. The corresponding simulation results, including 3D interception trajectories, LOS angular rates, relative distance, and acceleration commands, are presented in Figure 7 and Figure 8.
As shown in Figure 7a,b, despite the variations in initial geometry, the UAV successfully intercepts the target in all tested scenarios, demonstrating the versatility of the proposed method in three-dimensional pursuit missions. The LOS angular rates in Figure 7c,d converge to a small value for each case, indicating that the guidance law maintains consistent angular convergence regardless of the initial setup. The relative distance curves in Figure 8a,b exhibit a smooth and monotonic decrease, confirming that no undesirable oscillations or divergence occur during the engagement.
Figure 8c,d presents the acceleration commands for both the elevation and azimuth channels. It can be observed that the required control efforts remain within reasonable bounds across all initial conditions; although slight saturation occurs in some cases, it does not compromise the convergence of the miss distance. Overall, these results confirm the robustness and adaptability of the proposed method in practical three-dimensional interception scenarios.

4.3. Robustness Verification Under Strong Target Maneuver Uncertainties

In this subsection, a more challenging scenario with strong target maneuvers is considered. Under such severe maneuver uncertainties, the UAV’s acceleration commands frequently reach saturation limits throughout most of the engagement. To evaluate the impact of actuator saturation on guidance performance, a comparative study is conducted between the proposed method with and without acceleration constraints. The simulation results are presented in Figure 9.
As can be observed, despite persistent saturation in the control input, the proposed guidance law with acceleration constraints still ensures successful interception, and the miss distance remains within an acceptable range. Compared with the unconstrained case, the saturation leads to slightly degraded transient response and larger LOS angle errors, but the overall convergence trend and terminal accuracy are preserved. This demonstrates that the proposed method possesses a certain degree of tolerance to actuator saturation under extreme maneuver conditions, further confirming its robustness against strong target uncertainties.

4.4. Parametric Sensitivity Analysis of the Proposed Guidance Law

In this subsection, a parametric sensitivity analysis is conducted to evaluate the robustness of the proposed guidance law with respect to variations in its core design parameters. The parameters considered include the sliding mode gains k 1  and  k 2 , as well as the adaptation rate γ  in the adaptive law. For each parameter, perturbations of ± 5% , ± 10% , and ± 20%  relative to the nominal values (listed in Table 2) are introduced, and Monte Carlo simulations with 20 runs per perturbation level are performed to obtain averaged performance metrics. The results, including the miss distance, interception time and RMSE, are summarized in Table 4.
From Table 4, it can be observed that within the tested perturbation range, both the miss distance and the LOS angle RMSE remain at relatively low levels, indicating that the guidance law maintains satisfactory interception performance despite moderate parameter variations. Specifically, variations in k 1  and  k 2  primarily affect the convergence speed and the smoothness of the control input; however, even with 20% changes, the degradation in terminal accuracy is marginal, with the miss distance increasing by less than 0.6 m compared to the nominal case. The adaptation rate γ  influences the responsiveness of the uncertainty compensation: smaller γ  leads to slower adaptation and slightly larger tracking errors, while larger γ  accelerates compensation but may introduce minor oscillations. Nevertheless, all tested cases still ensure successful interception without triggering control singularity. These results demonstrate that the proposed guidance law exhibits a satisfactory degree of robustness against parameter uncertainties, making it suitable for practical implementation where exact parameter tuning may not be feasible.

5. Conclusions

This paper has proposed an adaptive prescribed-performance guidance law with predefined-time convergence for UAVs pursuing highly maneuverable targets. By establishing a velocity model to characterize target maneuver uncertainties, developing a robustly modified predefined-time performance function to eliminate singularity, and integrating an adaptive compensation mechanism, the proposed framework achieves robust predefined-time convergence of the LOS angle while effectively countering unknown target maneuvers. Theoretical stability analysis and numerical simulations validate its effectiveness and superiority over conventional methods.
Despite these contributions, several limitations should be acknowledged. The target maneuver model assumes predominantly longitudinal oscillatory motion based on [29]; simultaneous lateral maneuvers may introduce additional uncertainties not fully captured. Furthermore, ideal UAV dynamics are assumed without considering sensor noise, autopilot lag, or communication constraints, which are important for real-world deployment on operational platforms.
Future research will address these limitations by developing coupled target dynamics, investigating robust filters to mitigate noise sensitivity, and extending the framework to multi-UAV cooperative pursuit scenarios. For guidance system design, this work demonstrates that modified prescribed-performance bounds enable singularity-free operation under target uncertainties, while predefined-time convergence ensures engagement success within the terminal guidance window—both critical insights for developing next-generation UAV interception systems capable of reliably engaging high-speed threats.

Author Contributions

Conceptualization, L.S., S.L. and Z.Y.; methodology, L.S. and S.L.; software, L.S. and Z.Y.; validation, L.S. and Z.Y.; formal analysis, S.L.; investigation, L.S. and S.L.; writing—original draft preparation, L.S. and S.L.; writing—review and editing, B.Y. and J.M.; supervision, J.M. and B.Y. All authors have read and agreed to the published version of the manuscript.

Funding

This research received no external funding.

Data Availability Statement

The raw data supporting the conclusions of this article will be made available by the authors on request.

Conflicts of Interest

The authors declare no conflicts of interest.

Appendix A

Proof of Theorem 1.
Choose the following Lyapunov function:
V 1 = 1 2 s T s + 1 2 γ K ˜ 2 .
Taking the time derivative of V 1  and substituting the error Equations (27) and (28), the following result is obtained:
V ˙ 1 = s T s ˙ + 1 γ K ˜ K ˜ ˙ , = s T k 1 s k 2 s u v sgn ( s ) + r a d K * K ˜ sgn ( s ) + 1 γ K ˜ σ K ˜ γ r a s + σ K * , = σ γ K ˜ 2 K ˜ r a s + σ K * K ˜ γ s T k 1 s k 2 s u v + 1 + s T r a d s r a K * K ˜ , = σ γ K ˜ 2 + σ K * K ˜ γ s r a K * s T k 1 s k 2 s u v + 1 + r a s T d .
Using the condition K * > d  yields
V ˙ 1 σ γ K ˜ 2 + σ K * K ˜ γ s r a K * s T k 1 s k 2 s u v + 1 + r a s K * , σ γ K ˜ 2 s T k 1 s + σ K * K ˜ γ k 2 s u v + 1 .
Using the triangle inequality, we have
V ˙ 1 σ γ K ˜ 2 s T k 1 s k 2 s u v + 1 + σ K * 2 2 γ + σ K ˜ 2 2 γ , σ 2 γ K ˜ 2 s T k 1 s + σ K * 2 2 γ , min { 2 λ min ( k 1 ) , σ } V 1 + Δ ,
where λ min ( k 1 )  is the smallest eigenvalue of the gain matrix k 1 , Δ = σ K * 2 / 2 γ = σ d max 2 / 2 γ  is an external input signal. Inequity (A2) indicates that s t  and  K ^ t  are uniformly ultimately bounded, with their bounds given by
s δ s = 2 Δ c ; K ˜ δ k = 2 γ Δ c ,
where c = min 2 λ min ( k 1 ) , σ . According to (19), the boundness of s  also implies the boundness of ε , thereby indicating the boundness of e .
Furthermore, considering the convergence characteristics of the transformed error, the following Lyapunov function is introduced:
V ˙ 2 = ε T ε ˙ , = ε T ( a ε b ε p / q sgn ( ε ) + s ) , = ε T a ε ε T b ε p / q sgn ( ε ) + ε T s .
It is obvious that ε T b ε p / q sgn ( ε ) = i = 1 2 b i i ε i p / q + 1 0  is negative definite. Using the boundness result in (A3), inequality (A4) further follows
V ˙ 2 ε T a ε + ε T s , ε T a ε + δ s ε , ε ( λ min ( a ) ε δ s ) .
Since ε  is also uniformly ultimately bounded, any trajectory starting outside this boundary will converge and eventually enter and remain within the compact set defined by the following equation:
Ω ε = ε 2 : ε δ s λ min ( a ) .
These results have proven Theorem 1. □

References

  1. Sun, N.; Zhao, J.; Shi, Q.; Liu, C.; Liu, P. Moving target tracking by unmanned aerial vehicle: A survey and taxonomy. IEEE Trans. Ind. Inform. 2024, 20, 7056–7068. [Google Scholar] [CrossRef]
  2. Sun, L.; Yang, B.; Ma, J. Trajectory prediction in pipeline form for intercepting hypersonic gliding vehicles based on LSTM. Chin. J. Aeronaut. 2023, 36, 421–433. [Google Scholar] [CrossRef]
  3. Hamidoğlu, A. Designing discrete-time control-based strategies for pursuit-evasion games on the plane. Optimization 2025, 74, 239–268. [Google Scholar] [CrossRef]
  4. Yang, B.; Wang, X.; Zhang, P.; Li, C. Resilient pursuit evasion guidance with feedback game strategy. Aerosp. Sci. Technol. 2024, 153, 109427. [Google Scholar] [CrossRef]
  5. Wang, L.; Li, Y.; Zhang, G.; Wang, X. Hybrid Trajectory Planning for Energy-Augmented Skip–Glide Vehicles via Hierarchical Bayesian Optimization. Symmetry 2025, 17, 1430. [Google Scholar] [CrossRef]
  6. Liu, S.; Yan, B.; Huang, W.; Zhang, X.; Yan, J. Current status and prospects of terminal guidance laws for intercepting hypersonic vehicles in near space: A review. J. Zhejiang Univ. -Sci. A 2023, 24, 387–403. [Google Scholar] [CrossRef]
  7. Hu, Y.; Gao, C.; Li, J.; Jing, W. Maneuver mode analysis and parametric modeling for hypersonic glide vehicles. Aerosp. Sci. Technol. 2021, 119, 107166. [Google Scholar] [CrossRef]
  8. Liu, Z.; Hu, Y.; Gao, C.; Jing, W.; Ji, X. Modeling and analysis of maneuver laws based on higher order multi-resolution dynamic mode decomposition for hypersonic glide vehicles. Def. Technol. 2025, 48, 34–47. [Google Scholar] [CrossRef]
  9. Zhang, K.; Xiong, J.; Fu, T. Coupled dynamic model of state estimation for hypersonic glide vehicle. J. Syst. Eng. Electron. 2018, 29, 1284–1292. [Google Scholar] [CrossRef]
  10. Liu, Z.; Hu, Y.; Gao, C.; Jing, W. Data-Driven Online Modeling and Tracking of Hypersonic Glide Vehicles. IFAC-PapersOnLine 2025, 59, 393–398. [Google Scholar] [CrossRef]
  11. Wang, J.; Zhang, R. Terminal guidance for a hypersonic vehicle with impact time control. J. Guid. Control Dyn. 2018, 41, 1790–1798. [Google Scholar] [CrossRef]
  12. Zhang, L.; Li, D.; Jing, L.; Ju, X.; Cui, N. Appointed-time cooperative guidance law with line-of-sight angle constraint and time-to-go control. IEEE Trans. Aerosp. Electron. Syst. 2022, 59, 3142–3155. [Google Scholar] [CrossRef]
  13. Ding, Y.; Yue, X.; Chen, G.; Si, J. Review of control and guidance technology on hypersonic vehicle. Chin. J. Aeronaut. 2022, 35, 1–18. [Google Scholar] [CrossRef]
  14. Yuan, P.J.; Chern, J.S. Ideal proportional navigation. J. Guid. Control Dyn. 1992, 15, 1161–1165. [Google Scholar] [CrossRef]
  15. Ghosh, S.; Ghose, D.; Raha, S. Capturability analysis of a 3-D retro-PN guidance law for higher speed nonmaneuvering targets. IEEE Trans. Control Syst. Technol. 2013, 22, 1864–1874. [Google Scholar] [CrossRef]
  16. Ryoo, C.; Cho, H.; Tahk, M. Optimal guidance laws with terminal impact angle constraint. J. Guid. Control Dyn. 2005, 28, 724–732. [Google Scholar] [CrossRef]
  17. Jung, C.; Lee, C. Optimal impact angle control guidance law considering aerodynamic drag. J. Guid. Control Dyn. 2024, 47, 2435–2443. [Google Scholar] [CrossRef]
  18. Harl, N.; Balakrishnan, S. Impact time and angle guidance with sliding mode control. IEEE Trans. Control Syst. Technol. 2011, 20, 1436–1449. [Google Scholar] [CrossRef]
  19. Liang, Y.W.; Chen, C.C.; Liaw, D.C.; Feng, Y.C.; Cheng, C.C.; Chen, C.H. Robust guidance law via integral-sliding-mode scheme. J. Guid. Control Dyn. 2014, 37, 1038–1042. [Google Scholar] [CrossRef]
  20. Bu, X. Prescribed performance control approaches, applications and challenges: A comprehensive survey. Asian J. Control 2023, 25, 241–261. [Google Scholar] [CrossRef]
  21. Li, X.; Ye, J.; Zhou, C.; Tang, X. Prescribed performance guidance law with multiple constraints. Int. J. Aerosp. Eng. 2022, 2022, 5191568. [Google Scholar] [CrossRef]
  22. Song, H.; Zhang, T.; Zhang, G.; Lu, C. Integrated interceptor guidance and control with prescribed performance. Int. J. Robust Nonlinear Control 2015, 25, 3179–3194. [Google Scholar] [CrossRef]
  23. Zhang, Z.; Hu, Q.; Han, T.; Wu, H. Cooperative Incremental Mid-Course Guidance Law Under Uncontrollable Speed with Prescribed Performance and Enhanced Robustness. IEEE Trans. Aerosp. Electron. Syst. 2025, 61, 14599–14613. [Google Scholar] [CrossRef]
  24. Li, H.; Liu, Y.; Li, K.; Liang, Y.G. Analytical prescribed performance guidance with field-of-view and impact-angle constraints. J. Guid. Control Dyn. 2024, 47, 728–741. [Google Scholar] [CrossRef]
  25. Ming, C.; Wang, X. Nonsingular terminal sliding mode control-based prescribed performance guidance law with impact angle constraints. Int. J. Control Autom. Syst. 2022, 20, 715–726. [Google Scholar] [CrossRef]
  26. Yang, Z.; Yang, B.; Ji, R.; Ma, J. Adaptive Finite Time Prescribed Performance Fault Tolerant Control for Spacecraft Attitude Maneuver. In Proceedings of the 2023 62nd IEEE Conference on Decision and Control (CDC), Singapore, 13-15 December 2023; IEEE: New York, NY, USA, 2023; pp. 5863–5868. [Google Scholar]
  27. Lei, J.; Meng, T.; Wang, W.; Li, H.; Jin, Z. Singularity-avoidance prescribed performance control for spacecraft attitude tracking. IEEE Trans. Aerosp. Electron. Syst. 2023, 59, 5405–5421. [Google Scholar] [CrossRef]
  28. Anderson, J.D. Introduction to Flight, 3rd ed.; McGraw-Hill: New York, NY, USA, 1989. [Google Scholar]
  29. Qin, L.; Li, J.L.; Zhou, D. Study on the motion characteristics of foreign glide warhead with high speed in the near space. J. Tactical Missile Technol. 2015, 1, 16–20. [Google Scholar]
  30. Zarchan, P. Tactical and Strategic Missile Guidance, 6th ed.; AIAA: Reston, VA, USA, 2012. [Google Scholar]
  31. Wu, G.; Zhang, K. A novel guidance law for intercepting a highly maneuvering target. Int. J. Aerosp. Eng. 2021, 2021, 2326323. [Google Scholar] [CrossRef]
  32. He, S.; Lin, D.; Wang, J. Robust terminal angle constraint guidance law with autopilot lag for intercepting maneuvering targets. Nonlinear Dyn. 2015, 81, 881–892. [Google Scholar] [CrossRef]
Figure 1. Performance requirements and technical challenges for UAV against highly maneuverable targets. The lines in the figure represent the trajectories of the UAV and the target.
Figure 1. Performance requirements and technical challenges for UAV against highly maneuverable targets. The lines in the figure represent the trajectories of the UAV and the target.
Drones 10 00219 g001
Figure 2. 3D UAV–target relative motion geometry.
Figure 2. 3D UAV–target relative motion geometry.
Drones 10 00219 g002
Figure 3. Adaptive predefined-time guidance control framework.
Figure 3. Adaptive predefined-time guidance control framework.
Drones 10 00219 g003
Figure 4. Comparison of two prescribed performance functions.
Figure 4. Comparison of two prescribed performance functions.
Drones 10 00219 g004
Figure 5. Tracking error of the LOS angle. (a) Elevation angle error under proposed method; (b) azimuth angle error under proposed method; (c) elevation angle error under conventional PPC; (d) azimuth angle error under conventional PPC.
Figure 5. Tracking error of the LOS angle. (a) Elevation angle error under proposed method; (b) azimuth angle error under proposed method; (c) elevation angle error under conventional PPC; (d) azimuth angle error under conventional PPC.
Drones 10 00219 g005
Figure 6. Comparison between the proposed method and version without adaptive law (a) LOS angle error under proposed method; (b) LOS angle error without adaptive law; (c) uncertainty estimation effect.
Figure 6. Comparison between the proposed method and version without adaptive law (a) LOS angle error under proposed method; (b) LOS angle error without adaptive law; (c) uncertainty estimation effect.
Drones 10 00219 g006
Figure 7. 3D interception trajectories (a,b) and LOS angular rates (c,d) under two different initial conditions.
Figure 7. 3D interception trajectories (a,b) and LOS angular rates (c,d) under two different initial conditions.
Drones 10 00219 g007
Figure 8. Relative distance curves (a,b) and LOS acceleration commands (c,d) under two different initial conditions.
Figure 8. Relative distance curves (a,b) and LOS acceleration commands (c,d) under two different initial conditions.
Drones 10 00219 g008
Figure 9. Simulation results under strong target maneuver; (a) three-dimensional interception trajectory and (c) acceleration commands with acceleration constraints; (b) three-dimensional trajectory and (d) acceleration commands without acceleration constraints.
Figure 9. Simulation results under strong target maneuver; (a) three-dimensional interception trajectory and (c) acceleration commands with acceleration constraints; (b) three-dimensional trajectory and (d) acceleration commands without acceleration constraints.
Drones 10 00219 g009
Table 1. Initial conditions for each case.
Table 1. Initial conditions for each case.
Case1Case2-aCase2-bCase3Case4
Target initial position/km(0, 50, −10)(0, 50, −10)(0, 80, 10)(0, 80, 10)(0, 50, −10)
UAV initial position/km(200, 81, 0)(200, 81, 0)(200, 81, 0)(200, 81, 0)(200, 81, 0)
Initial LOS Elevation angle/deg8.808.800.280.288.80
Initial LOS Azimuth angle/deg−2.87−2.872.872.87−2.87
Note: All position coordinates are given in the North-Up-East (NUE) coordinate system.
Table 2. Parameters of the simulation and the guidance law.
Table 2. Parameters of the simulation and the guidance law.
ParameterValueParameterValueParameterValue
V t 0 / Ma 5 V m 0 / Ma 2.5Overload constraint/ g ± 5
ρ u 0 , i 2 ρ u , i 0.3 t f 70
a 0.01 0 0 0.01 b 0.01 0 0 0.01 p / q 5 / 3
u / v 3 / 5
k 1 0.01 0 0 0.01 k 2 0.02 0 0 0.02 γ 0.02
σ 5
Table 3. Performance metrics comparison under different simulation cases.
Table 3. Performance metrics comparison under different simulation cases.
Performance
Metrics
Case 1 with Adaptive LawCase 1 Without Adaptive LawCase 2-aCase 2-bCase 3 with ConstraintCase 3 Without Constraint
R m i s s /m1.474.761.471.352.331.96
t int /s83.8082.4983.8079.0680.5380.47
e R M S E /deg5.7036.6385.7031.8231.9791.946
Table 4. Sensitivity analysis results: average miss distance, interception time, LOS angle RMSE under parameter perturbations.
Table 4. Sensitivity analysis results: average miss distance, interception time, LOS angle RMSE under parameter perturbations.
Parameter R m i s s /m t int /s e R M S E /deg
k 1 ± 5% 1.5383.715.792
k 1 ± 10% 1.6283.855.853
k 1 ± 20% 1.7483.745.946
k 2 ± 5% 1.5583.755.732
k 2 ± 10% 1.6783.695.753
k 2 ± 20% 1.8184.135.834
γ ± 5% 1.6583.625.845
γ ± 10% 1.8784.075.933
γ ± 20% 2.0684.216.348
Disclaimer/Publisher’s Note: The statements, opinions and data contained in all publications are solely those of the individual author(s) and contributor(s) and not of MDPI and/or the editor(s). MDPI and/or the editor(s) disclaim responsibility for any injury to people or property resulting from any ideas, methods, instructions or products referred to in the content.

Share and Cite

MDPI and ACS Style

Sun, L.; Li, S.; Yang, Z.; Yang, B.; Ma, J. Adaptive Prescribed-Performance Guidance Law for UAVs with Predefined-Time Convergence. Drones 2026, 10, 219. https://doi.org/10.3390/drones10030219

AMA Style

Sun L, Li S, Yang Z, Yang B, Ma J. Adaptive Prescribed-Performance Guidance Law for UAVs with Predefined-Time Convergence. Drones. 2026; 10(3):219. https://doi.org/10.3390/drones10030219

Chicago/Turabian Style

Sun, Lihan, Shiyao Li, Ze Yang, Baoqing Yang, and Jie Ma. 2026. "Adaptive Prescribed-Performance Guidance Law for UAVs with Predefined-Time Convergence" Drones 10, no. 3: 219. https://doi.org/10.3390/drones10030219

APA Style

Sun, L., Li, S., Yang, Z., Yang, B., & Ma, J. (2026). Adaptive Prescribed-Performance Guidance Law for UAVs with Predefined-Time Convergence. Drones, 10(3), 219. https://doi.org/10.3390/drones10030219

Article Metrics

Back to TopTop