Toward Material-Integrated Wireless Electronics for SHM in Fiber Metal Laminates †
Abstract
1. Introduction
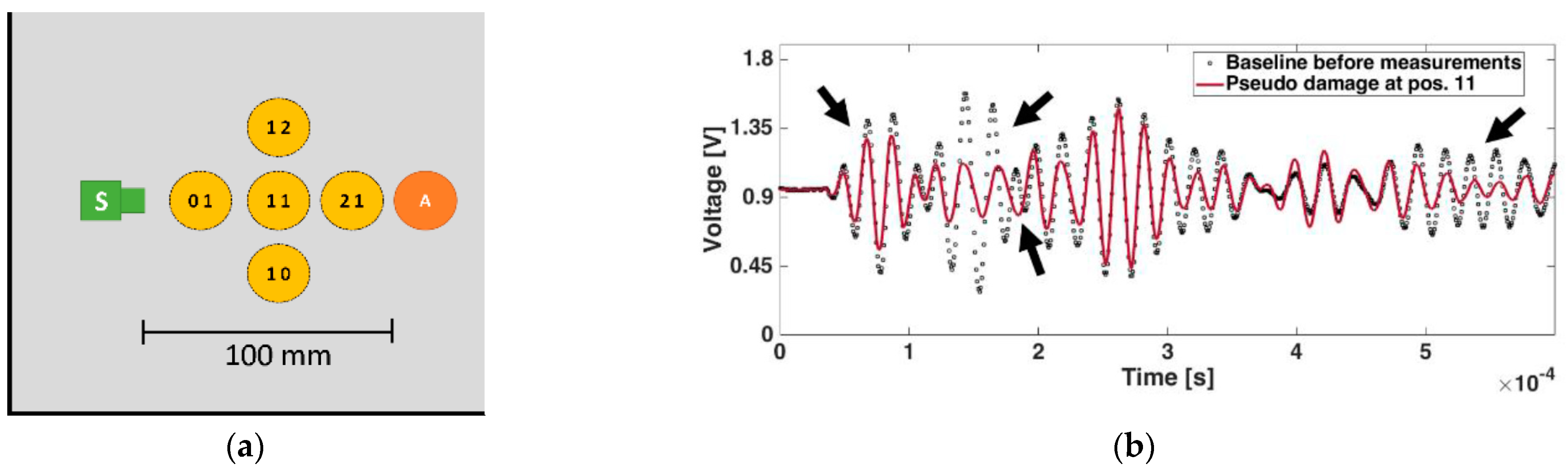
2. Materials and Methods
3. Discussion and Conclusions
Author Contributions
Funding
Institutional Review Board Statement
Informed Consent Statement
Data Availability Statement
Conflicts of Interest
References
- Bekas, D.G.; Sharif-Khodaei, Z.; Aliabadi, M.H.F. An Innovative Diagnostic Film for Structural Health Monitoring of Metallic and Composite Structures. Sensors 2018, 18, 2084. [Google Scholar] [CrossRef] [PubMed]
- Salas, M.; Focke, O.; Herrmann, A.S.; Lang, W. Wireless Power Transmission for Structural Health Monitoring of Fiber-Reinforced-Composite Materials. IEEE Sens. J. 2014, 14, 2171–2176. [Google Scholar] [CrossRef]
- Bornemann, S.; Haus, J.N.; Sinapius, M.; Lüssem, B.; Dietzel, A.; Lang, W. Stainless-Steel Antenna on Conductive Substrate for an SHM Sensor System with High Power Demand. Sensors 2021, 21, 7841. [Google Scholar] [CrossRef] [PubMed]
- Bornemann, S.; Lang, W. Considerations and Limits of Embedding Sensor Nodes for Structural Health Monitoring into Fiber Metal Laminates. Sensors 2022, 22, 4511. [Google Scholar] [CrossRef] [PubMed]

Disclaimer/Publisher’s Note: The statements, opinions and data contained in all publications are solely those of the individual author(s) and contributor(s) and not of MDPI and/or the editor(s). MDPI and/or the editor(s) disclaim responsibility for any injury to people or property resulting from any ideas, methods, instructions or products referred to in the content. |
© 2024 by the authors. Licensee MDPI, Basel, Switzerland. This article is an open access article distributed under the terms and conditions of the Creative Commons Attribution (CC BY) license (https://creativecommons.org/licenses/by/4.0/).
Share and Cite
Bornemann, S.; Rittmeier, L.; Roloff, T.; Haus, J.N.; Polle, C.; Herrmann, A.S.; Dietzel, A.; Sinapius, M.; Lang, W.; Lüssem, B. Toward Material-Integrated Wireless Electronics for SHM in Fiber Metal Laminates. Proceedings 2024, 97, 141. https://doi.org/10.3390/proceedings2024097141
Bornemann S, Rittmeier L, Roloff T, Haus JN, Polle C, Herrmann AS, Dietzel A, Sinapius M, Lang W, Lüssem B. Toward Material-Integrated Wireless Electronics for SHM in Fiber Metal Laminates. Proceedings. 2024; 97(1):141. https://doi.org/10.3390/proceedings2024097141
Chicago/Turabian StyleBornemann, Sarah, Liv Rittmeier, Thomas Roloff, Jan N. Haus, Christoph Polle, Axel S. Herrmann, Andreas Dietzel, Michael Sinapius, Walter Lang, and Björn Lüssem. 2024. "Toward Material-Integrated Wireless Electronics for SHM in Fiber Metal Laminates" Proceedings 97, no. 1: 141. https://doi.org/10.3390/proceedings2024097141
APA StyleBornemann, S., Rittmeier, L., Roloff, T., Haus, J. N., Polle, C., Herrmann, A. S., Dietzel, A., Sinapius, M., Lang, W., & Lüssem, B. (2024). Toward Material-Integrated Wireless Electronics for SHM in Fiber Metal Laminates. Proceedings, 97(1), 141. https://doi.org/10.3390/proceedings2024097141

