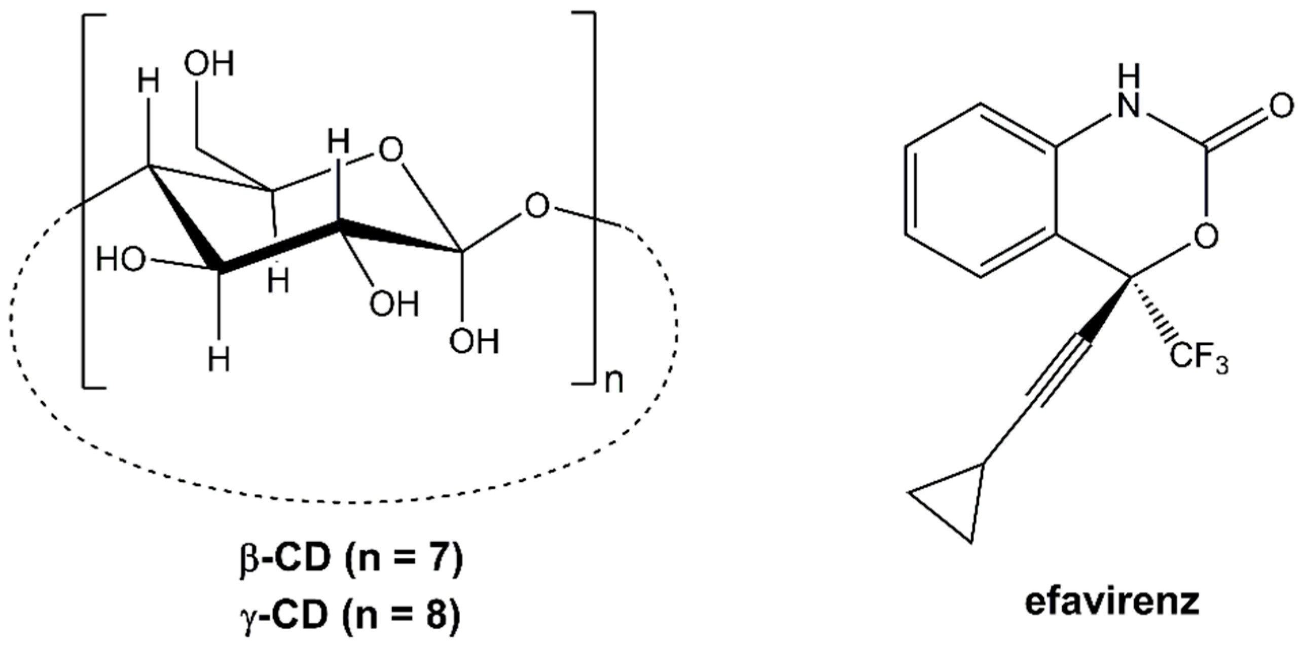
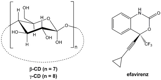
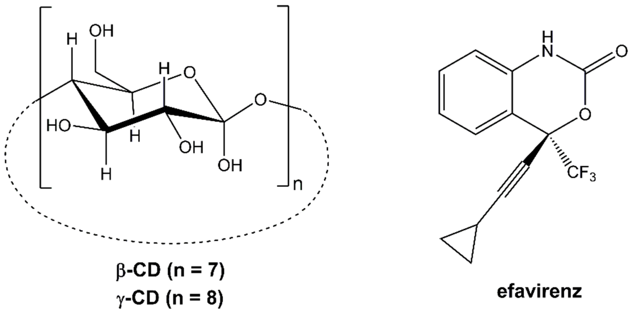
Cyclodextrin-Efavirenz Complexes Investigated by Solid State and Solubility Studies †
Abstract
1. Introduction
2. Experiments
2.1. Materials
2.2. Equipment
2.3. Solubility Isotherms
2.4. Inclusion Procedures
2.4.1. Inclusion of Efavirenz (EFV) into β-CD
2.4.2. Inclusion of Efavirenz (EFV) into γ-CD
3. Results and Discussion
3.1. Phase Solubility Studies
3.2. Preparation and Visual Inspection of Cyclodextrin-Efavirenz Co-Precipitates
3.3. FT-IR of the Co-Precipitates
3.4. Powder X-ray Diffraction of the Co-Precipitates
3.5. DSC Analysis
4. Conclusions
Data Availability Statement
Acknowledgments
Conflicts of Interest
Abbreviations
| β-CD | beta-cyclodextrin |
| EFV | efavirenz |
| HPβCD | 2-hydroxypropyl-beta-cyclodextrin |
| HPγCD | 2-hydroxypropyl-gamma-cyclodextrin |
| γ-CD | gamma-cyclodextrin |
| RAMEB | randomly-O-methylated beta-cyclodextrin |
References
- Fandaruff, C.; Rauber, G.S.; Araya-Sibaja, A.M.; Pereira, R.N.; de Campos, C.E.M.; Rocha, H.V.A.; Monti, G.A.; Malaspina, T.; Silva, M.A.S.; Cuffini, S.L. Polymorphism of anti-HIV drug efavirenz: Investigations on thermodynamic and dissolution properties. Cryst. Growth Des. 2014, 14, 4968–4974. [Google Scholar] [CrossRef]
- Rajesh, Y.V.; Balasubramaniam, J.; Bindu, K.; Sridevi, R.; Swetha, M.; Rao, V.U. Impact of superdisintegrants on efavirenz release from tablet formulations. Acta Pharm. 2010, 60, 185–195. [Google Scholar] [CrossRef] [PubMed][Green Version]
- Yang, J.; Grey, K.; Doney, J. An improved kinetics approach to describe the physical stability of amorphous solid dispersions. Int. J. Pharm. 2010, 384, 24–31. [Google Scholar] [CrossRef] [PubMed]
- Madhavi, B.B.; Kusum, B.; Charanya, C.K.; Madhu, M.N.; Harsa, V.S.; Banji, D. Dissolution enhancement of efavirenz by solid dispersion and PEGylation techniques. Int. J. Pharm. Investig. 2011, 1, 29–34. [Google Scholar] [CrossRef] [PubMed]
- Chiappetta, D.A.; Hocht, C.; Taira, C.; Sosnik, A. Efavirenz-loaded polymeric micelles for pediatric anti-HIV pharmacotherapy with significantly higher oral bioavailability. Nanomedicine 2010, 5, 11–23. [Google Scholar] [CrossRef] [PubMed]
- Sathigari, S.; Chadha, G.; Lee, Y.L.; Wright, N.; Parsons, D.L.; Rangari, V.K.; Fasina, R.; Babu, J. Physicochemical characterization of efavirenz cyclodextrin inclusion complexes. AAPS PharmSciTech 2009, 10, 81–87. [Google Scholar] [CrossRef] [PubMed]





Publisher’s Note: MDPI stays neutral with regard to jurisdictional claims in published maps and institutional affiliations. |
© 2020 by the authors. Licensee MDPI, Basel, Switzerland. This article is an open access article distributed under the terms and conditions of the Creative Commons Attribution (CC BY) license (https://creativecommons.org/licenses/by/4.0/).
Share and Cite
Braga, S.S.; Lysenko, K.; El-Saleh, F.; Paz, F.A.A. Cyclodextrin-Efavirenz Complexes Investigated by Solid State and Solubility Studies. Proceedings 2021, 78, 15. https://doi.org/10.3390/IECP2020-08690
Braga SS, Lysenko K, El-Saleh F, Paz FAA. Cyclodextrin-Efavirenz Complexes Investigated by Solid State and Solubility Studies. Proceedings. 2021; 78(1):15. https://doi.org/10.3390/IECP2020-08690
Chicago/Turabian StyleBraga, Susana Santos, Karyna Lysenko, Firas El-Saleh, and Filipe A. Almeida Paz. 2021. "Cyclodextrin-Efavirenz Complexes Investigated by Solid State and Solubility Studies" Proceedings 78, no. 1: 15. https://doi.org/10.3390/IECP2020-08690
APA StyleBraga, S. S., Lysenko, K., El-Saleh, F., & Paz, F. A. A. (2021). Cyclodextrin-Efavirenz Complexes Investigated by Solid State and Solubility Studies. Proceedings, 78(1), 15. https://doi.org/10.3390/IECP2020-08690

